Stable and Efficient Dye-Sensitized Solar Cells and Supercapacitors Developed Using Ionic-Liquid-Doped Biopolymer Electrolytes
Abstract
1. Introduction
2. Results and Discussion
2.1. Ionic Conductivity
2.2. Wagner’s DC Polarization
2.3. Linear Sweep Voltammetry
2.4. X-ray Diffraction
2.5. FTIR Spectroscopy
2.6. Polarized Optical Microscopy
2.7. Thermogravimetric Analysis
3. Device Application and Performance
3.1. Fabrication of the EDLC
3.2. Fabrication of the DSSC
3.3. Performance of the EDLC
3.3.1. Low-Frequency Electrochemical Impedance Spectroscopy
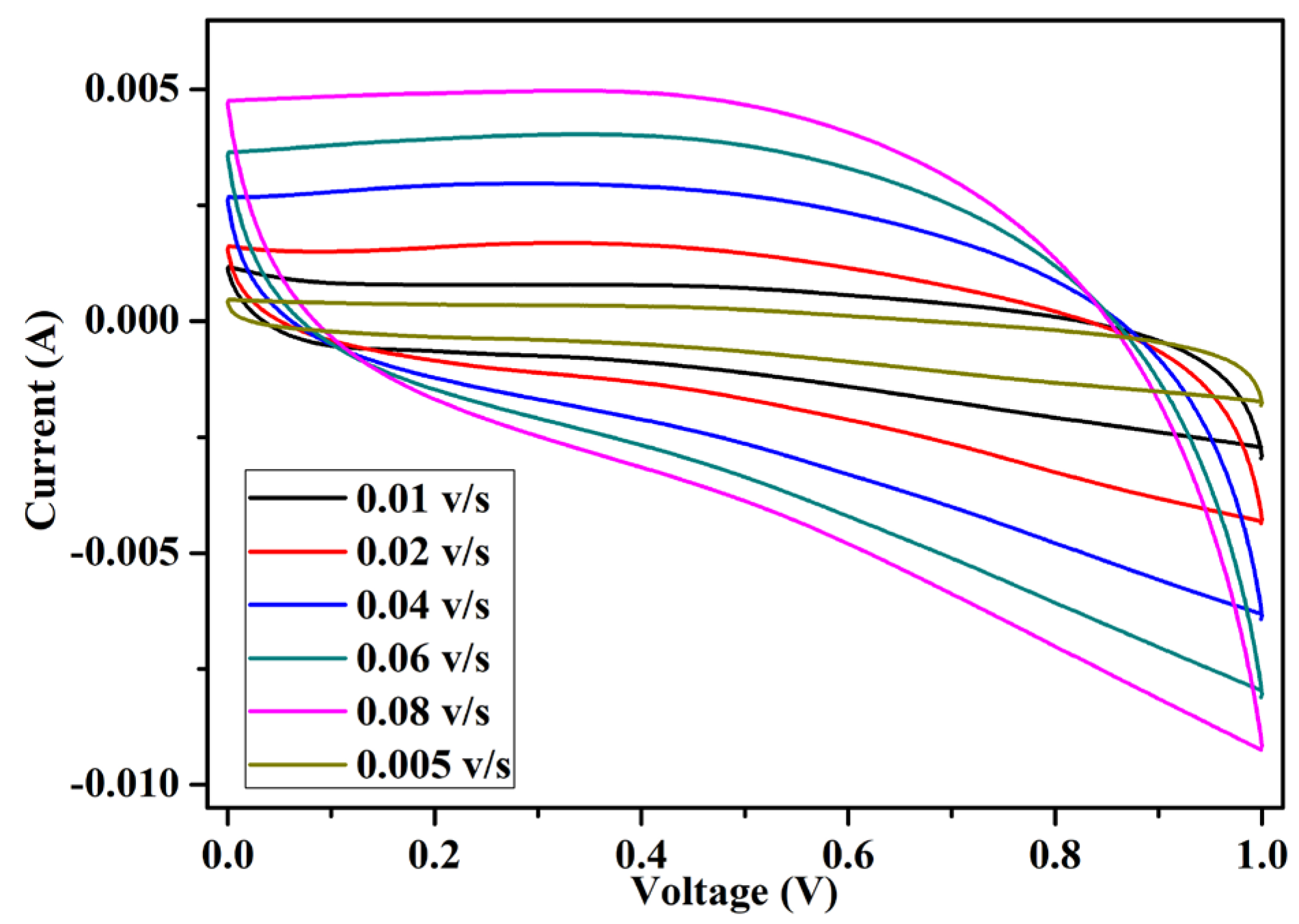
3.3.2. Cyclic Voltammetry
3.3.3. Constant Current Charging and Discharging
3.4. Performance of the DSSC
4. Materials and Method
4.1. Materials Used
4.2. Synthesis of Biopolymer Electrolyte
5. Characterization Techniques
5.1. Electrolytes
5.2. Devices
6. Conclusions
Author Contributions
Funding
Institutional Review Board Statement
Informed Consent Statement
Data Availability Statement
Conflicts of Interest
Sample Availability
References
- Singh, R.; Gautam, S.; Sharma, B.; Jain, P.; Chauhan, K.D. Biopolymers and their classifications. In Biopolymers and Their Industrial Applications; Elsevier: Amsterdam, The Netherlands, 2021; pp. 21–44. [Google Scholar]
- Tabasum, S.; Younas, M.; Zaeem, M.A.; Majeed, I.; Majeed, M.; Noreen, A.; Iqbal, M.N.; Zia, K.M. A review on blending of corn starch with natural and synthetic polymers, and inorganic nanoparticles with mathematical modeling. Int. J. Biol. Macromol. 2019, 122, 969–996. [Google Scholar] [CrossRef] [PubMed]
- Chong, M.Y.; Numan, A.; Liew, C.-W.; Ramesh, K.; Ramesh, S. Comparison of the performance of copper oxide and yttrium oxide nanoparticle based hydroxylethyl cellulose electrolytes for supercapacitors. J. Appl. Polym. Sci. 2017, 134, 44636. [Google Scholar] [CrossRef]
- Liu, S.; Liu, W.; Ba, D.; Zhao, Y.; Ye, Y.; Li, Y.; Liu, J. Filler-integrated composite polymer electrolyte for solid-state lithium batteries. Adv. Mater. 2023, 35, 2110423. [Google Scholar] [CrossRef]
- Wu, Y.; Li, Y.; Wang, Y.; Liu, Q.; Chen, Q.; Chen, M. Advances and prospects of PVDF based polymer electrolytes. J. Energy Chem. 2022, 64, 62–84. [Google Scholar] [CrossRef]
- Ge, X.; Zhang, F.; Wu, L.; Yang, Z.; Xu, T. Current Challenges and Perspectives of Polymer Electrolyte Membranes. Macromolecules 2022, 55, 3773–3787. [Google Scholar] [CrossRef]
- Monisha, S.; Mathavan, T.; Selvasekarapandian, S.; Benial, A.M.F.; Aristatil, G.; Mani, N.; Premalatha, M.; Pandi, D.V. Investigation of bio polymer electrolyte based on cellulose acetate-ammonium nitrate for potential use in electrochemical devices. Carbohydr. Polym. 2017, 157, 38–47. [Google Scholar] [CrossRef]
- Rayung, M.; Aung, M.M.; Azhar, S.C.; Abdullah, L.C.; Su’ait, M.S.; Ahmad, A.; Jamil, S.N.A.M. Bio-Based Polymer Electrolytes for Electrochemical Devices: Insight into the Ionic Conductivity Performance. Materials 2020, 13, 838. [Google Scholar] [CrossRef] [PubMed]
- Rahman, N.A.; Abu Hanifah, S.; Mobarak, N.N.; Ahmad, A.; Ludin, N.A.; Bella, F.; Su’Ait, M.S. Chitosan as a paradigm for biopolymer electrolytes in solid-state dye-sensitised solar cells. Polymer 2021, 230, 124092. [Google Scholar] [CrossRef]
- Jothi, M.A.; Vanitha, D.; Sundaramahalingam, K.; Nallamuthu, N. Utilisation of corn starch in production of ‘eco friendly’ polymer electrolytes for proton battery applications. Int. J. Hydrog. Energy 2022, 47, 28763–28772. [Google Scholar] [CrossRef]
- Chavez-Esquivel, G.; García-Martínez, J.C.; Cervantes-Cuevas, H.; Acosta, D.; Vera-Ramírez, M.A. Effect of thermo-alkali treatment on the morphological and electrochemical properties of biopolymer electrolytes based on corn starch–Al(OH)3. Polym. Bull. 2022, 79, 5139–5164. [Google Scholar] [CrossRef]
- Abdulwahid, R.T.; Aziz, S.B.; Kadir, M.F. Design of proton conducting solid biopolymer blend electrolytes based on chitosan-potato starch biopolymers: Deep approaches to structural and ion relaxation dynamics of H+ ion. J. Appl. Polym. Sci. 2022, 139, 52892. [Google Scholar] [CrossRef]
- Jothi, M.A.; Vanitha, D.; Bahadur, S.A.; Nallamuthu, N. Promising biodegradable polymer blend electrolytes based on cornstarch: PVP for electrochemical cell applications. Bull. Mater. Sci. 2021, 44, 65. [Google Scholar] [CrossRef]
- Shi, J.; Shi, B. Environment-Friendly Design of Lithium Batteries Starting from Biopolymer-Based Electrolyte. Nano 2021, 16, 2130006. [Google Scholar] [CrossRef]
- Jothi, M.A.; Vanitha, D.; Nallamuthu, N.; Manikandan, A.; Bahadur, S.A. Investigations of lithium ion conducting polymer blend electrolytes using biodegradable cornstarch and PVP. Phys. B Condens. Matter 2020, 580, 411940. [Google Scholar] [CrossRef]
- Rayung, M.; Aung, M.; Ahmad, A.; Su’Ait, M.; Abdullah, L.C.; Jamil, S.A.M. Characteristics of ionically conducting jatropha oil-based polyurethane acrylate gel electrolyte doped with potassium iodide. Mater. Chem. Phys. 2019, 222, 110–117. [Google Scholar] [CrossRef]
- Singh, R.; Singh, P.K.; Singh, V.; Bhattacharya, B. Quantitative analysis of ion transport mechanism in biopolymer electrolyte. Opt. Laser Technol. 2019, 113, 303–309. [Google Scholar] [CrossRef]
- Kumar, L.S.; Selvin, P.C.; Selvasekarapandian, S. Impact of lithium triflate (LiCF3SO3) salt on tamarind seed polysaccharide-based natural solid polymer electrolyte for application in electrochemical device. Polym. Bull. 2021, 78, 1797–1819. [Google Scholar] [CrossRef]
- Ahuja, H.; Dhapola, P.S.; Rahul; Sahoo, N.G.; Singh, V.; Singh, P.K. Ionic liquid (1-hexyl-3-methylimidazolium iodide)-incorporated biopolymer electrolyte for efficient supercapacitor. High Perform. Polym. 2020, 32, 220–225. [Google Scholar] [CrossRef]
- Wang, J.; Liang, Y.; Zhang, Z.; Ye, C.; Chen, Y.; Wei, P.; Wang, Y.; Xia, Y. Thermoplastic starch plasticized by polymeric ionic liquid. Eur. Polym. J. 2021, 148, 110367. [Google Scholar] [CrossRef]
- Devi, L.S.; Das, A.B. Effect of ionic liquid on sol-gel phase transition, kinetics and rheological properties of high amylose starch. Int. J. Biol. Macromol. 2020, 162, 685–692. [Google Scholar] [CrossRef]
- Mohit; Yadav, N.; Hashmi, S. High energy density solid-state supercapacitors based on porous carbon electrodes derived from pre-treated bio-waste precursor sugarcane bagasse. J. Energy Storage 2022, 55, 105421. [Google Scholar] [CrossRef]
- Rosli, N.A.H.; Loh, K.S.; Wong, W.Y.; Yunus, R.M.; Lee, T.K.; Ahmad, A.; Chong, S.T. Review of Chitosan-Based Polymers as Proton Exchange Membranes and Roles of Chitosan-Supported Ionic Liquids. Int. J. Mol. Sci. 2020, 21, 632. [Google Scholar] [CrossRef] [PubMed]
- Ren, F.; Wang, J.; Xie, F.; Zan, K.; Wang, S.; Wang, S. Applications of ionic liquids in starch chemistry: A review. Green Chem. 2020, 22, 2162–2183. [Google Scholar] [CrossRef]
- Salama, A.; Hesemann, P. Recent Trends in Elaboration, Processing, and Derivatization of Cellulosic Materials Using Ionic Liquids. ACS Sustain. Chem. Eng. 2020, 8, 17893–17907. [Google Scholar] [CrossRef]
- Chen, P.; Xie, F.; Tang, F.; McNally, T. Ionic Liquid (1-ethyl-3-methylimidazolium acetate) Plasticization of Chitosan-Based Bionanocomposites. ACS Omega 2020, 5, 19070–19081. [Google Scholar] [CrossRef]
- Alday, P.P.; Barros, S.C.; Alves, R.; Esperança, J.M.; Navarro-Segarra, M.; Sabaté, N.; Silva, M.M.; Esquivel, J.P. Biopolymer electrolyte membranes (BioPEMs) for sustainable primary redox batteries. Adv. Sustain. Syst. 2020, 4, 1900110. [Google Scholar] [CrossRef]
- Sun, Z.; Yang, L.; Zhang, D.; Song, W. High performance, flexible and renewable nano-biocomposite artificial muscle based on mesoporous cellulose/ ionic liquid electrolyte membrane. Sens. Actuators B Chem. 2019, 283, 579–589. [Google Scholar] [CrossRef]
- Torres, F.G.; De-La-Torre, G.E. Algal-based polysaccharides as polymer electrolytes in modern electrochemical energy conversion and storage systems: A review. Carbohydr. Polym. Technol. Appl. 2021, 2, 100023. [Google Scholar] [CrossRef]
- Venkatesan, S.; Lin, W.-H.; Teng, H.; Lee, Y.-L. High-Efficiency Bifacial Dye-Sensitized Solar Cells for Application under Indoor Light Conditions. ACS Appl. Mater. Interfaces 2019, 11, 42780–42789. [Google Scholar] [CrossRef]
- Dai, T.; Cao, Q.; Yang, L.; Aldamasy, M.H.; Li, M.; Liang, Q.; Lu, H.; Dong, Y.; Yang, Y. Strategies for High-Performance Large-Area Perovskite Solar Cells toward Commercialization. Crystals 2021, 11, 295. [Google Scholar] [CrossRef]
- Hoang, H.M.; Van Pham, T.B.; Grampp, G.; Kattnig, D.R. Exciplexes versus Loose Ion Pairs: How Does the Driving Force Impact the Initial Product Ratio of Photoinduced Charge Separation Reactions? J. Phys. Chem. Lett. 2014, 5, 3188–3194. [Google Scholar] [CrossRef] [PubMed]
- Lakshmi, N.; Chandra, S. Ion transport in some solid state proton conducting composites studied from volta cell e.m.f. and complex impedance spectroscopy. Bull. Mater. Sci. 2002, 25, 197–201. [Google Scholar] [CrossRef]
- Sharma, T.; Gultekin, B.; Dhapola, P.S.; Sahoo, N.; Kumar, S.; Agarwal, D.; Jun, H.; Singh, D.; Nath, G.; Singh, P.K.; et al. Ionic liquid doped Poly (methyl methacrylate) for energy applications. J. Mol. Liq. 2022, 352, 118494. [Google Scholar] [CrossRef]











| KICNS | ILCNS | ||
|---|---|---|---|
| Composition | Conductivity S/cm | Composition | Conductivity S/cm | 
| 0 | 2.30 × 10−7 | 2 | 5.26 × 10−4 | 
| 10 | 4.90 × 10−6 | 4 | 6.71 × 10−4 | 
| 20 | 1.94 × 10−5 | 6 | 1.00 × 10−3 | 
| 30 | 3.10 × 10−5 | 8 | 3.10 × 10−3 | 
| 40 | 3.30 × 10−5 | 10 | 7.88 × 10−4 | 
| 50 | 1.50 × 10−4 | 12 | 8.24 × 10−4 | 
| 60 | 5.60 × 10−5 | ||
| 70 | 2.70 × 10−5 | ||
| 80 | 3.40 × 10−5 | ||
| 90 | 3.30 × 10−5 | ||
| Host | FTIR Spectra | Functional Group | 
|---|---|---|
| EmIm+ | 966–1093 cm−1 | C=H bending | 
| 1174 cm−1 | C-H stretching | |
| 1337 cm−1 | O-H bending | |
| 1460–1440 cm−1 | C-H bending | |
| 1563 cm−1 | N-O stretching | |
| 3000–2840 cm−1 | Thiocynate | |
| SCN− | 2042 cm−1 | Thiocynate | 
| KI | 1625 cm−1 | C=C stretching | 
| Corn starch | 3200–3500 cm−1 | -OH bond | 
| 3000–2840 cm−1 | C-H alkane | |
| 1640 cm−1 | C=H alkene | |
| 1553 cm−1 | N-O stretching | |
| 1400–1300 cm−1 | HC-OH bending | |
| 1151 cm−1 | S=O stretching | |
| 1076 cm−1 | C-O stretching | |
| KIBPE | 1647 cm−1 | C=C stretching | 
| ILBPE | 2087 cm−1 | Thiocynate | 
| Scan Rate v/s | Specific Capacitance F/g | 
|---|---|
| 0.005 | 200 | 
| 0.01 | 179 | 
| 0.02 | 146 | 
| 0.04 | 120 | 
| 0.06 | 105 | 
| 0.08 | 95 | 
| Disclaimer/Publisher’s Note: The statements, opinions and data contained in all publications are solely those of the individual author(s) and contributor(s) and not of MDPI and/or the editor(s). MDPI and/or the editor(s) disclaim responsibility for any injury to people or property resulting from any ideas, methods, instructions or products referred to in the content. | 
© 2023 by the authors. Licensee MDPI, Basel, Switzerland. This article is an open access article distributed under the terms and conditions of the Creative Commons Attribution (CC BY) license (https://creativecommons.org/licenses/by/4.0/).
Share and Cite
Konwar, S.; Singh, D.; Strzałkowski, K.; Masri, M.N.B.; Yahya, M.Z.A.; Diantoro, M.; Savilov, S.V.; Singh, P.K. Stable and Efficient Dye-Sensitized Solar Cells and Supercapacitors Developed Using Ionic-Liquid-Doped Biopolymer Electrolytes. Molecules 2023, 28, 5099. https://doi.org/10.3390/molecules28135099
Konwar S, Singh D, Strzałkowski K, Masri MNB, Yahya MZA, Diantoro M, Savilov SV, Singh PK. Stable and Efficient Dye-Sensitized Solar Cells and Supercapacitors Developed Using Ionic-Liquid-Doped Biopolymer Electrolytes. Molecules. 2023; 28(13):5099. https://doi.org/10.3390/molecules28135099
Chicago/Turabian StyleKonwar, Subhrajit, Diksha Singh, Karol Strzałkowski, Mohamad Najmi Bin Masri, Muhd Zu Azhan Yahya, Markus Diantoro, Serguei V. Savilov, and Pramod K. Singh. 2023. "Stable and Efficient Dye-Sensitized Solar Cells and Supercapacitors Developed Using Ionic-Liquid-Doped Biopolymer Electrolytes" Molecules 28, no. 13: 5099. https://doi.org/10.3390/molecules28135099
APA StyleKonwar, S., Singh, D., Strzałkowski, K., Masri, M. N. B., Yahya, M. Z. A., Diantoro, M., Savilov, S. V., & Singh, P. K. (2023). Stable and Efficient Dye-Sensitized Solar Cells and Supercapacitors Developed Using Ionic-Liquid-Doped Biopolymer Electrolytes. Molecules, 28(13), 5099. https://doi.org/10.3390/molecules28135099
 
         
                                                



 
       