Biosynthesis and Pharmacological Activities of Flavonoids, Triterpene Saponins and Polysaccharides Derived from Astragalus membranaceus
Abstract
1. Introduction
2. Biosynthesis of Flavonoids
3. Biosynthesis of Triterpenoid Saponins
3.1. Upstream Biosynthesis Pathway
3.2. Downstream Biosynthesis Pathway
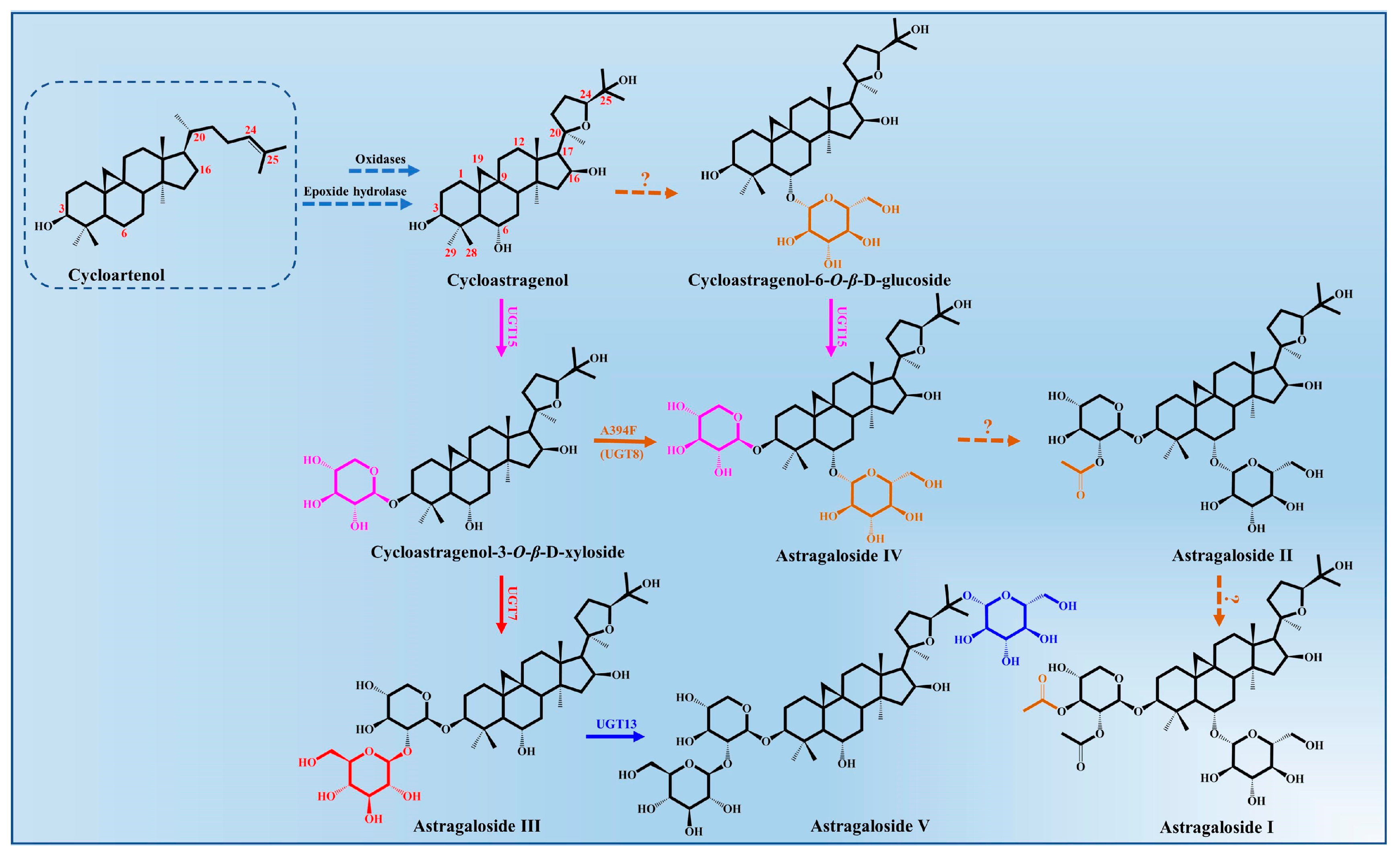
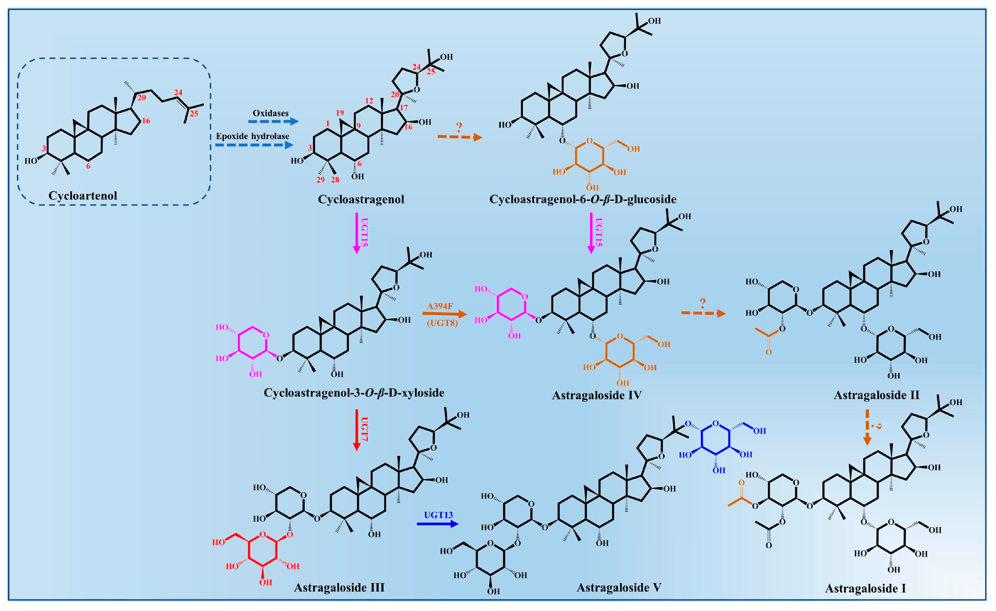
3.3. Biosynthesis Pathway of Astragalosides
4. Structural Features of Polysaccharides
| Components | Extraction/Purification | Monosaccharide Composition | Structural Information | Molecular Weight (kDa) | Pharmacological Activities | References |
|---|---|---|---|---|---|---|
| AERP1 | Hot-water/Sephacryl® S-400 column | Man:Rha:GalA:Glu:Gal:Ara with a molar ratio of 1.00:2.59:12.15:2.60:3.07:4.54 | 3/5-α-araf-(1→,T-α-araf,→4,6-β-manp-(1→,→3/3,6-β-galp-(1→,→2/2,4-α-rha-(1→,→-4/4,6-α-glcp-(1→,→4-α-galpA-(1→and→4)-6-OMe-α-galpA-(1→ | 2.01 × 103 | Improved diabetes-related cognitive dysfunction | [61] |
| AERP2 | Hot-water/Sephacryl® S-400 column | Glucan | →4/6-α-glcp-(1→ linkage) | 2.11 | Improved diabetes-related cognitive dysfunction | [61] |
| APSID3 | Hot-water/DEAE Sepharose Fast Flow and Sephacryl S-300 chromatography | Ara:Rha:Gal:Glc with a molar ratio of 2:2:5:6 | The minimal repeat unit: one terminal Ara, one 1,5-linked Ara, one 1,3-linked Rha, one 1,3,4-linked Rha, five 1,4-linked GalA and six 1,4-linked GluA | 5.8 × 102 | [56] | |
| RAP | Boiling water/Buchi Purifier system coupled with a Hiload 26/60 Superdex-200 column | Rha:Ara:Glc:Gal:GalA with a molar ratio of 0.03:1.0:0.3:0.4:0.3 | The backbone:1,2,4-linked Rha, α-1,4-linked Glc, α-1,4-linked GalA6Me, β-1,3,6-linked Gal; The side chains: α-T-Ara and α-1,5-linked Ara; The terminal residues: T-linked Ara, T-linked Glc and T-linked Gal. | 1.3 × 103 | Immunomodulation | [62] |
| APS-I | Sephadex G-100 column | Glu:Gal:Ara:Rha:GalA with a molar ratio of 1.5:1:5.4:0.08:0.1 | 1,4-linked D-Glc, 1,2-linked D-Glc, L-Rha, 1,5-linked D-Ara, 1,2,5-linked D-Ara, 1,4-linked D-Ara, D-Gal | 5 × 102 | Immunomodulation | [63] |
| APS-II | Sephadex G-100 column | Glu:Gal:Ara:Rha:GalA with a molar ratio of 9:1:1.4:0.04:0.001 | 1,4-linked α-D-Glc, 1,6-linked α-D-Glc, 1,4,6-linked α-D-Glc, 1,3,4,6-linked α-D-Glc, 1,2-linked α-D-Glc, α-L-Rha, 1,5-linked α-D-Ara, 1,4-linked α-D-Ara, β-D-Gal | 10 | Immunomodulation | [63] |
| AX-I-3b | Hot-water/DEAE-cellulose 52 column chromatography and Sephacryl S-400 HR gel column | Ara:Xyl:Glu with a molar ratio of 10.4:79.3:1.1 | 1,4-linked β-D-Xyl, 1,4-linked β-D-Ara, β-D-Glc | 7.9 | Immunomodulation and antitumor | [58] |
| APS | - | Glu:Ara:Xyl:Man:Gal with a molar ratio 95:2.9:0.7:0.7:0.6 | - | 17.4 | Antitumor | [64] |
| AMA-1-b-PS2 | Ara:Fuc:Gal:Glu:Man:Rha:Xyl:GalA:GluA with a molar ratio of 12.8:4.5:25.6:23.6:24.8:5.1:0.7:1.5:1.4. | The backbone: β-D-(1→3) linked galactans | Immunomodulation | [65] | ||
| APS-II | DEAE-32 anion-exchange chromatography and Sephacryl S-300 high resolution column chromatography | Xyl:Glu:Ara:Rha:Man:Gal with a molar ratio of 9.2:77.9:1:5.2:4.5:2.2 | 11.4 | Immunomodulation | [66] | |
| AMP | Hot-water/cationic exchange column (Dowex 50 W-x8) | Glu:Ara:Gal with a molar ratio of 91:6.2:2.8 | 6.9–9.2 × 102 | Immunomodulation | [67] | |
| AMon-S | Hot-water/DEAE Sephadex A-25, Con A-Sepharose chromatography, Toyopearl HW60F | Ara:Gal:GalA:Glc with a molar ratio of 18:18:1:1 | Structural units: α-Arabino-β-3,6-galactan type | 76 | Reticuloendothelial system-potentiating activity | [68] |
| APS | Hot-water/DEAE-Sepharose CL-6B | Glu:Gal:Ara with a molar ratio of 1.75:1.63:1 | 36 | Hepatoprotection | [69] | |
| APS | Hot-water/DEAE-cellulose column and Sephacryl-S400 column | Glc | The repeat units: a (1→4)-linked backbone with a (1→6)-linked branch every 10 residues | 20.1 | Antioxidant and immunomodulation | [53] |
| APS2 | Boiling water/precipitation with 40% ethanol | Ara | 40 | Immunomodulation | [70] | |
| APS3 | Boiling water/precipitation with 60% ethanol | Rha:Glu:Gal:Ara with a molar ratio of 1:10.8:6.6:12 | 15.3 | Immunomodulation | [70] | |
| APS | Microwave/ultrafiltration and resin absorbing (DEAE Sepharose FF) | Man, Gal, Fru, Fuc, Xyl | Heteropolysaccharide with α and β indicant bonds | Immunomodulation and antiviral | [59] | |
| APS | Boiling water/Sephadex G-100 column | Rha:Xyl:Glc:Gal with a molar ratio of 1:4:5:1.5 | linear backbone:1,3-linked β-D-Gal residues with insertion of β-Glc, 1,6-linked α-Gal, 1,5-linked β-Xyl, 1,4-linked β-Gal, β-D-Gal, 1,2-linked α-Rha, 1,2,4-linked α-Rha residues | 3.01 × 102 | Immunomodulation | [71] |
| APS | Hot water | Man:Glu:Xyl:Ara:GluA:Rha with a molar ratio of 0.3:12.8:1.6:0.7:1.0:0.6 | 2.04 × 103 | Antiinflammatory | [72] | |
| cAMPs-1A | Cold-water/DEAE-cellulose 52 anion-exchange column and a Sephadex G-100 column | Fuc:Ara:Gal:Glu:Xyl with a molar ratio of 0.01:0.1:0.2:1.0:0.1 | 12.3 | Antitumor | [60] | |
| APS | Hot-water/anion-exchange and gel permeation chromatography | Glc | α-(1→4)-D-glucan, with a single α-D-glucose at the C-6 position every nine residue, on average, along the main chain. | 36 | Renal protection | [73] |
| APS | Hot-water/Sephadex G-50 and lyophilized | Ara:Gal:Glu:Man with a molar ratio of 1.00:0.98:3.01:1.52 | pyranose ring and α-type glycosidic linkages | 2.1 | Antitumor | [74] |
5. Pharmacological Activities of Bioactive Ingredients
5.1. Immunomodulatory Effects
5.2. Anticancer Effects
5.3. Antiinflammatory and Antioxidant Effects
5.4. Antidiabetic Effects
5.5. Hepatoprotective Effects
5.6. Antiviral Effects
5.7. Anti-Cardiovascular Effects
5.8. Toxicity and Clinical Trials
6. Future Perspectives
6.1. Future Market Prospects of A. membranaceus
6.2. Development Trend of Biotechnology in A. membranaceus
7. Conclusions
Author Contributions
Funding
Institutional Review Board Statement
Informed Consent Statement
Data Availability Statement
Conflicts of Interest
References
- Hu, P.; Zhao, M.; Chen, S.; Wu, X.; Wan, Q. Transcriptional regulation mechanism of flavonoids biosynthesis gene during fruit development in Astragalus membranaceus. Front. Genet. 2022, 13, 972990. [Google Scholar] [CrossRef] [PubMed]
- Li, Y.; Guo, S.; Zhu, Y.; Yan, H.; Qian, D.W.; Wang, H.Q.; Yu, J.Q.; Duan, J.A. Comparative analysis of twenty-five compounds in different parts of Astragalus membranaceus var. mongholicus and Astragalus membranaceus by UPLC-MS/MS. J. Pharm. Anal. 2019, 9, 392–399. [Google Scholar] [CrossRef] [PubMed]
- Tang, L.; Liu, Y.; Wang, Y.; Long, C. Phytochemical analysis of an antiviral fraction of Radix astragali using HPLC-DAD-ESI-MS/MS. J. Nat. Med. 2010, 64, 182–186. [Google Scholar] [CrossRef]
- Chen, Z.; Liu, L.; Gao, C.; Chen, W.; Vong, C.T.; Yao, P.; Yang, Y.; Li, X.; Tang, X.; Wang, S.; et al. Astragali Radix (Huangqi): A promising edible immunomodulatory herbal medicine. J. Ethnopharmacol. 2020, 258, 112895. [Google Scholar] [CrossRef]
- Shan, H.; Zheng, X.; Li, M. The Effects of Astragalus membranaceus Active Extracts on Autophagy-Related Diseases. Int. J. Mol. Sci. 2019, 20, 1904. [Google Scholar] [CrossRef] [PubMed]
- Zhang, Y.; Gu, L.; Xia, Q.; Tian, L.; Qi, J.; Cao, M. Radix Astragali and Radix Angelicae Sinensis in the treatment of idiopathic pulmonary fibrosis: A systematic review and meta-analysis. Front. Pharm. 2020, 11, 415. [Google Scholar] [CrossRef]
- Chu, C.; Qi, L.-W.; Liu, E.H.; Li, B.; Gao, W.; Li, P. Radix Astragali (Astragalus): Latest advancements and trends in chemistry, analysis, pharmacology and pharmacokinetics. Curr. Org. Chem. 2010, 14, 1792–1807. [Google Scholar] [CrossRef]
- Zhang, L.J.; Liu, H.K.; Hsiao, P.C.; Kuo, L.M.Y.; Lee, I.J.; Wu, T.S.; Chiou, W.F.; Kuo, Y.H. New isoflavonoid glycosides and related constituents from Astragali Radix (Astragalus membranaceus) and their inhibitory activity on nitric oxide production. J. Agric. Food Chem. 2011, 59, 1131–1137. [Google Scholar] [CrossRef]
- Li, S.; Qi, Y.; Ren, D.; Qu, D.; Sun, Y. The structure features and improving effects of polysaccharide from Astragalus membranaceus on antibiotic-associated diarrhea. Antibiotics 2019, 9, 8. [Google Scholar] [CrossRef]
- Singla, R.K.; Dubey, A.K.; Garg, A.; Sharma, R.K.; Al-Hiary, M. Natural polyphenols: Chemical classification, definition of classes, subcategories, and structures. J. AOAC Int. 2019, 102, 1397–1400. [Google Scholar] [CrossRef]
- Shen, N.; Wang, T.; Gan, Q.; Liu, S.; Wang, L.; Jin, B. Plant flavonoids: Classification, distribution, biosynthesis, and antioxidant activity. Food Chem. 2022, 383, 132531. [Google Scholar] [CrossRef] [PubMed]
- Li, Y.; Wang, J.; Li, L.; Song, W.; Li, M.; Hua, X.; Wang, Y.; Yuan, J.; Xue, Z. Natural products of pentacyclic triterpenoids: From discovery to heterologous biosynthesis. Nat. Prod. Rep. 2022, 1–51. [Google Scholar] [CrossRef] [PubMed]
- Wang, S.G.; Li, J.Y.; Huang, H.; Gao, W.; Zhuang, C.L. Anti-hepatitis B virus activities of astragaloside IV isolated from Radix Astragali. Biol. Pharm. Bull. 2009, 32, 132–135. [Google Scholar] [CrossRef]
- Chinese Pharmacopoeia Commission (CPC). Pharmacopoeia of the People’s Republic of China: 2020; Chinese Medical Science and Technology Press: Beijing, China, 2020. [Google Scholar]
- Maisonneuve, S.A. European Pharmacopoeia. 1993. Available online: https://www.bmj.com/content/2/5402/192.5 (accessed on 1 June 2023).
- Paterson, G.R. British Pharmacopoeia 1980. Can. Med. Assoc. J. 1982, 126, 514. [Google Scholar]
- Jin, H.; Yu, Y.; Quan, X.; Wu, S. Promising strategy for improving calycosin-7-O-β-D-glucoside production in Astragalus membranaceus adventitious root cultures. Ind. Crop. Prod. 2019, 141, 111792. [Google Scholar] [CrossRef]
- Wu, X.; Li, X.; Wang, W.; Shan, Y.; Wang, C.; Zhu, M.; La, Q.; Zhong, Y.; Xu, Y.; Nan, P.; et al. Integrated metabolomics and transcriptomics study of traditional herb Astragalus membranaceus Bge. var. mongolicus (Bge.) Hsiao reveals global metabolic profile and novel phytochemical ingredients. BMC Genom. 2020, 21, 697. [Google Scholar] [CrossRef]
- Yu, O.; Jung, W.; Shi, J.; Croes, R.A.; Fader, G.M.; McGonigle, B.; Odell, J.T. Production of the isoflavones genistein and daidzein in non-legume dicot and monocot tissues. Plant Physiol. 2000, 124, 781–793. [Google Scholar] [CrossRef]
- Huang, J.; Gu, M.; Lai, Z.; Fan, B.; Shi, K.; Zhou, Y.H.; Yu, J.Q.; Chen, Z. Functional analysis of the Arabidopsis PAL gene family in plant growth, development, and response to environmental stress. Plant Physiol. 2010, 153, 1526–1538. [Google Scholar] [CrossRef]
- Zhang, F.; Zhang, X.; Luo, Y.; Li, H.; Qin, X. Biosynthetic mechanisms of isoflavone accumulation affected by different growth patterns in Astragalus mongholicus products. BMC Plant Biol. 2022, 22, 410. [Google Scholar] [CrossRef]
- Chen, Y.; Fang, T.; Su, H.; Duan, S.; Ma, R.; Wang, P.; Wu, L.; Sun, W.; Hu, Q.; Zhao, M.; et al. A reference-grade genome assembly for Astragalus mongholicus and insights into the biosynthesis and high accumulation of triterpenoids and flavonoids in its roots. Plant Commun. 2022, 4, 100469. [Google Scholar] [CrossRef]
- Liu, R.; Xu, S.; Li, J.; Hu, Y.; Lin, Z. Expression profile of a PAL gene from Astragalus membranaceus var. Mongholicus and its crucial role in flux into flavonoid biosynthesis. Plant Cell Rep. 2006, 25, 705–710. [Google Scholar] [CrossRef]
- Russell, D.W. The metabolism of aromatic compounds in higer plants. X. Properties of the cinnamic acid 4-hydroxylase of pea seedlings and some aspects of its metabolic and developmental control. J. Biolog. Chem. 1971, 246, 3870–3878. [Google Scholar] [CrossRef]
- Kim, Y.B.; Thwe, A.A.; Li, X.; Tuan, P.A.; Zhao, S.; Park, C.G.; Lee, J.W.; Park, S.U. Accumulation of flavonoids and related gene expressions in different organs of Astragalus membranaceus Bge. Appl. Biochem. Biotechnol. 2014, 173, 2076–2085. [Google Scholar] [CrossRef] [PubMed]
- Chen, Y.; Li, B.; Jia, X.; Sun, S.; Su, Y.; Chen, G. Differential expression of calycosin-7-O-beta-D-glucoside biosynthesis genes and accumulation of related metabolites in different organs of Astragalus membranaceus Bge. var. mongholicus (Bge.) Hsiao under drought stress. Appl. Biochem. Biotechnol. 2022, 194, 3182–3195. [Google Scholar] [CrossRef] [PubMed]
- Yang, L.; Yang, C.; Li, C.; Zhao, Q.; Liu, L.; Fang, X.; Chen, X.Y. Recent advances in biosynthesis of bioactive compounds in traditional Chinese medicinal plants. Sci. Bull. 2016, 61, 3–17. [Google Scholar] [CrossRef] [PubMed]
- Yin, M.; Chu, S.; Shan, T.; Zha, L.; Peng, H. Full-length transcriptome sequences by a combination of sequencing platforms applied to isoflavonoid and triterpenoid saponin biosynthesis of Astragalus mongholicus Bunge. Plant Methods 2021, 17, 61. [Google Scholar] [CrossRef] [PubMed]
- Tian, L.; Pang, Y.; Dixon, R.A. Biosynthesis and genetic engineering of proanthocyanidins and (iso)flavonoids. Phytochem. Rev. 2007, 7, 445–465. [Google Scholar] [CrossRef]
- Xu, R.Y.; Nan, P.; Yang, Y.; Pan, H.; Zhou, T.; Chen, J. Ultraviolet irradiation induces accumulation of isoflavonoids and transcription of genes of enzymes involved in the calycosin-7-O-beta-d-glucoside pathway in Astragalus membranaceus Bge. var. mongholicus (Bge.) Hsiao. Physiol. Plant 2011, 142, 265–273. [Google Scholar] [CrossRef]
- Vogt, T.; Jones, P. Glycosyltransferases in plant natural product synthesis: Characterization of a supergene family. Trends Plant Sci. 2000, 5, 380–386. [Google Scholar] [CrossRef]
- Bowles, D.; Lim, E.-K.; Poppenberger, B.; Vaistij, F.E. Glycosyltransferases of lipophilic small molecules. Ann. Rev. Plant Biol. 2006, 57, 567–597. [Google Scholar] [CrossRef]
- Hirotani, M.; Kuroda, R.; Suzuki, H.; Yoshikawa, T. Cloning and expression of UDP-glucose: Flavonoid 7-O-glucosyltransferase from hairy root cultures of Scutellaria baicalensis. Planta 2000, 210, 1006–1013. [Google Scholar] [CrossRef] [PubMed]
- Augustin, J.M.; Kuzina, V.; Andersen, S.B.; Bak, S. Molecular activities, biosynthesis and evolution of triterpenoid saponins. Phytochem 2011, 72, 435–457. [Google Scholar] [CrossRef] [PubMed]
- Wang, J.; Guo, Y.; Yin, X.; Wang, X.; Qi, X.; Xue, Z. Diverse triterpene skeletons are derived from the expansion and divergent evolution of 2,3-oxidosqualene cyclases in plants. Crit. Rev. Biochem. Mol. Biol. 2022, 57, 113–132. [Google Scholar] [CrossRef] [PubMed]
- Chen, J.; Wu, X.-T.; Xu, Y.-Q.; Zhong, Y.; Li, Y.-X.; Chen, J.-K.; Li, X.; Nan, P. Global transcriptome analysis profiles metabolic pathways in traditional herb Astragalus membranaceus Bge. var. mongolicus (Bge.) Hsiao. BMC Genom. 2015, 16, S15. [Google Scholar] [CrossRef]
- Oldfield, P.; Lin, F.Y. Terpene biosynthesis: Modularity rules. Angew. Chem. Int. Edit. 2012, 51, 1124–1137. [Google Scholar] [CrossRef]
- Dubey, V.S.; Bhalla, R.; Luthra, R. An overview of the non-mevalonate pathway for terpenoid biosynthesis in plants. J. Biosci. 2003, 28, 637–646. [Google Scholar] [CrossRef]
- Ding, Y.X.; Xiang, O.Y.; Shang, C.H. Molecular cloning, characterization, and differential expression of a farnesyl-diphosphate synthase gene from the basidiomycetous fungus ganoderma lucidum. Biosci. Biotechnol. Biochem. 2008, 72, 1571–1579. [Google Scholar] [CrossRef]
- Kim, Y.B.; Thwe, A.A.; Li, X.; Tuan, P.A.; Lee, S.; Lee, J.W.; Arasu, M.V.; Al-Dhabi, N.A.; Park, S.U. Accumulation of astragalosides and related gene expression in different organs of Astragalus membranaceus Bge. var mongholicus (Bge.). Molecules 2014, 19, 922–935. [Google Scholar] [CrossRef]
- Lee, M.H.; Jeong, J.H.; Seo, J.W.; Shin, C.G.; Kim, Y.S. Enhanced triterpene and phytosterol biosynthesis in panax ginseng overexpressing squalene synthase gene. Plant Cell Physiol. 2004, 45, 976–984. [Google Scholar] [CrossRef]
- Xue, Z.; Duan, L.; Liu, D.; Guo, J.; Song, G.; Dicks, J.; Ómáille, P.; Osbourn, A.; Qi, X. Divergent evolution of oxidosqualene cyclases in plants. New Phytol. 2012, 193, 1022–1038. [Google Scholar] [CrossRef]
- Duan, Y.; Du, W.; Song, Z.; Chen, R.; Xie, K.; Liu, J.; Chen, D.; Dai, J. Functional characterization of a cycloartenol synthase and four glycosyltransferases in the biosynthesis of cycloastragenol-type astragalosides from Astragalus membranaceus. Acta Pharm. Sin. B 2023, 13, 271–283. [Google Scholar] [CrossRef]
- Tian, B.X.; Eriksson, L.A. Catalytic mechanism and product specificity of oxidosqualene-lanosterol cyclase: A QM/MM study. J. Phys. Chem. B 2012, 116, 857–862. [Google Scholar] [CrossRef] [PubMed]
- Kosmas Haralampidis, M.T.; Anne, E. Osbourn, Biosynthesis of triterpenoid saponins in plants. Adv. Biochem. Eng. Biotechnol. 2002, 75, 31–49. [Google Scholar]
- Abe, I.; Rohmer, M.; Prestwich, G.D. Enzymatic cyclization of squalene and oxidosqualene to sterols and triterpenes. Chem. Rev. 1993, 93, 2189–2206. [Google Scholar] [CrossRef]
- Cárdenas, P.D.; Almeida, A.; Bak, S. Evolution of structural diversity of triterpenoids. Front. Plant Sci. 2019, 10, 1523. [Google Scholar] [CrossRef] [PubMed]
- Chen, K.; Zhang, M.; Xu, L.; Yi, Y.; Wang, L.; Wang, H.; Wang, Z.; Xing, J.; Li, P.; Zhang, X.; et al. Identification of oxidosqualene cyclases associated with saponin biosynthesis from Astragalus membranaceus reveals a conserved motif important for catalytic function. J. Adv. Res. 2023, 43, 247–257. [Google Scholar] [CrossRef]
- Sandeep; Misra, R.C.; Chanotiya, C.S.; Mukhopadhyay, P.; Ghosh, S. Oxidosqualene cyclase and CYP716 enzymes contribute to triterpene structural diversity in the medicinal tree banaba. New Phytol. 2019, 222, 408–424. [Google Scholar] [CrossRef] [PubMed]
- Van Wagoner, R.M.; Satake, M.; Wright, J.L. Polyketide biosynthesis in dinoflagellates: What makes it different? Nat. Prod. Rep. 2014, 31, 1101–1137. [Google Scholar] [CrossRef]
- Zhang, M.; Yi, Y.; Gao, B.H.; Su, H.F.; Bao, Y.O.; Shi, X.M.; Wang, H.D.; Li, F.D.; Ye, M.; Qiao, X. Functional characterization and protein engineering of a triterpene 3-/6-/2′-O-Glycosyltransferase reveal a conserved residue critical for the regiospecificity. Angew. Chem. Int. Ed. Engl. 2022, 61, e202113587. [Google Scholar]
- Kitagawa, I.; Wang, H.; Saito, M.; Yoshikawa, M. Saponin and Sapogenol. XXXVI. Chemical constituents of Astragali Radix, the root of Astragalus membranaceus BUNGE. (3). Astragalosides III, V, and VI. Chem. Pharm. Bull. 1983, 31, 709–715. [Google Scholar] [CrossRef]
- Niu, Y.; Wang, H.; Xie, Z.; Whent, M.; Gao, X.; Zhang, X.; Zou, S.; Yao, W.; Yu, L. Structural analysis and bioactivity of a polysaccharide from the roots of Astragalus membranaceus (Fisch) Bge. var. mongolicus (Bge.) Hsiao. Food Chem. 2011, 128, 620–626. [Google Scholar] [CrossRef]
- Zheng, Y.; Ren, W.; Zhang, L.; Zhang, Y.; Liu, D.; Liu, Y. A review of the pharmacological action of astragalus polysaccharide. Front. Pharm. 2020, 11, 349. [Google Scholar] [CrossRef]
- Wang, Y.; Wang, Z.; An, J.H.; Wang, Y.D.; Jin, H.Y.; Ma, S.C.; Ni, J. Study on standardization method of Astragalus polysaccharide reference substance. Chin. Tradit. Herb. Drugs 2017, 48, 4897–4903. [Google Scholar]
- Jin, M.; Zhao, K.; Huang, Q.; Shang, P. Structural features and biological activities of the polysaccharides from Astragalus membranaceus. Int. J. Biol. Macromol. 2014, 64, 257–266. [Google Scholar] [CrossRef] [PubMed]
- Gao, Y.F.; Gao, N. Research progress on physiological active components and pharmacological effects of Astragalus membranaceus. New Agric. 2017, 1, 20–21. [Google Scholar]
- Li, K.; Li, S.; Wang, D.; Li, X.; Wu, X.; Liu, X.; Du, G.; Li, X.; Qin, X.; Du, Y. Extraction, characterization, antitumor and immunological activities of hemicellulose polysaccharide from Astragalus radix herb residue. Molecules 2019, 24, 3644. [Google Scholar] [CrossRef]
- Jiang, J.; Wu, C.; Gao, H.; Song, J.; Li, H. Effects of astragalus polysaccharides on immunologic function of erythrocyte in chickens infected with infectious bursa disease virus. Vaccine 2010, 28, 5614–5616. [Google Scholar] [CrossRef]
- Liu, A.J.; Yu, J.; Ji, H.Y.; Zhang, H.C.; Zhang, Y.; Liu, H.P. Extraction of a novel cold-water-soluble polysaccharide from Astragalus membranaceus and its antitumor and immunological activities. Molecules 2017, 23, 62. [Google Scholar] [CrossRef]
- Liu, Y.; Liu, W.; Li, J.; Tang, S.; Wang, M.; Huang, W.; Yao, W.; Gao, X. A polysaccharide extracted from Astragalus membranaceus residue improves cognitive dysfunction by altering gut microbiota in diabetic mice. Carbohydr. Polym. 2019, 205, 500–512. [Google Scholar] [CrossRef]
- Yin, J.Y.; Chan, B.C.; Yu, H.; Lau, I.Y.; Han, X.Q.; Cheng, S.W.; Wong, C.K.; Lau, C.B.; Xie, M.Y.; Fung, K.P.; et al. Separation, structure characterization, conformation and immunomodulating effect of a hyperbranched heteroglycan from Radix Astragali. Carbohydr. Polym. 2012, 87, 667–675. [Google Scholar] [CrossRef] [PubMed]
- Li, K.; Li, S.; Du, Y.; Qin, X. Screening and structure study of active components of Astragalus polysaccharide for injection based on different molecular weights. J. Chromatogr. B Analyt. Technol. Biomed. Life Sci. 2020, 1152, 122255. [Google Scholar] [CrossRef] [PubMed]
- Hwang, J.; Zhang, W.; Dhananjay, Y.; An, E.K.; Kwak, M.; You, S.; Lee, P.C.; Jin, J.O. Astragalus membranaceus polysaccharides potentiate the growth-inhibitory activity of immune checkpoint inhibitors against pulmonary metastatic melanoma in mice. Int. J. Biol. Macromol. 2021, 182, 1292–1300. [Google Scholar] [CrossRef] [PubMed]
- Lim, J.D.; Yu, C.Y.; Kim, S.H.; Chung, I.M. Structural characterization of an intestinal immune system-modulating arabino-3,6-galactan-like polysaccharide from the above-ground part of Astragalus membranaceus (Bunge). Carbohydr. Polym. 2016, 136, 1265–1272. [Google Scholar] [CrossRef] [PubMed]
- Lv, X.; Chen, D.; Yang, L.; Zhu, N.; Li, J.; Zhao, J.; Hu, Z.; Wang, F.J.; Zhang, L.W. Comparative studies on the immunoregulatory effects of three polysaccharides using high content imaging system. Int. J. Biol. Macromol. 2016, 86, 28–42. [Google Scholar] [CrossRef]
- Li, C.; Talapphet, N.; Palanisamy, S.; Ma, N.; Cho, M.L.; You, S. The relationship between structural properties and activation of RAW264.7 and natural killer (NK) cells by sulfated polysaccharides extracted from Astragalus membranaceus roots. Process Biochem. 2020, 97, 140–148. [Google Scholar] [CrossRef]
- Shimizu, N.; Kanari, M.T.; Gonda, M.R. An acidic polysaccharide having activity on the reticuloendothelial system from the root of Astragalus mongholicus. Chem. Pharm. Bull. 1991, 39, 2969–2972. [Google Scholar] [CrossRef]
- Yan, F.; Zhang, Q.Y.; Jiao, L.; Han, T.; Zhang, H.; Qin, L.P.; Khalid, R. Synergistic hepatoprotective effect of Schisandrae lignans with Astragalus polysaccharides on chronic liver injury in rats. Phytomedicine 2009, 16, 805–813. [Google Scholar] [CrossRef]
- Jiang, Y.; Qi, X.; Gao, K.; Liu, W.; Li, N.; Cheng, N.; Ding, G.; Huang, W.; Wang, Z.; Xiao, W. Relationship between molecular weight, monosaccharide composition and immunobiologic activity of Astragalus polysaccharides. Glycoconj. J. 2016, 33, 755–761. [Google Scholar] [CrossRef]
- Fu, J.; Huang, L.; Zhang, H.; Yang, S.; Chen, S. Structural features of a polysaccharide from Astragalus membranaceus (Fisch.) Bge. var. mongholicus (Bge.) Hsiao. J. Asian Nat. Prod. Res. 2013, 15, 687–692. [Google Scholar] [CrossRef]
- Liao, J.; Li, C.; Huang, J.; Liu, W.; Chen, H.; Liao, S.; Chen, H.; Rui, W. Structure characterization of honey-processed astragalus polysaccharides and its anti-inflammatory activity in vitro. Molecules 2018, 23, 168. [Google Scholar] [CrossRef]
- Li, S.; Zhang, Y. Characterization and renal protective effect of a polysaccharide from Astragalus membranaceus. Carbohyd. Polym. 2009, 78, 343–348. [Google Scholar] [CrossRef]
- Yu, J.; Ji, H.Y.; Liu, A.J. Alcohol-soluble polysaccharide from Astragalus membranaceus: Preparation, characteristics and antitumor activity. Int. J. Biol. Macromol. 2018, 118, 2057–2064. [Google Scholar] [CrossRef]
- Ikbal, A.M.A.; Rajkhowa, A.; Debnath, B.; Singh, W.S.; Manna, K.; Bhattacharjee, B.; Goswami, S. Pharmacological Review on Astragalus membranaceus: Chinese Traditional Herb. Pharmacogn. Rev. 2022, 16, 90–94. [Google Scholar] [CrossRef]
- El Dib, R.A.; Soliman, H.S.M.; Hussein, M.H.; Attia, H.G. Two new flavonoids and biological activity of Astragalus abyssinicus (Hochst.) Steud. ex A. Rich. Aerial Parts. Drug Res. 2014, 65, 259–265. [Google Scholar] [CrossRef]
- Krasteva, I.; Bratkov, V.; Bucar, F.; Kunert, O.; Kollroser, M.; Kondeva-Burdina, M.; Ionkova, I. Flavoalkaloids and flavonoids from Astragalus monspessulanus. J. Nat. Prod. 2015, 78, 2565–2571. [Google Scholar] [CrossRef]
- Guo, K.; He, X.; Zhang, Y.; Li, X.; Yan, Z.; Pan, L.; Qin, B. Flavoniods from aerial parts of Astragalus hoantchy. Fitoterapia 2016, 114, 34–39. [Google Scholar] [CrossRef]
- Li, Y.; Wei, W.; Zhang, J.; Li, G.; Gao, K. Structures and antipathogenic fungi activities of flavonoids from pathogen-infected Astragalus adsurgens. Nat. Prod. Res. 2019, 33, 822–826. [Google Scholar] [CrossRef]
- Aslanipour, B.; Gülcemal, D.; Nalbantsoy, A.; Yusufoglu, H.; Bedir, E. Cycloartane-type glycosides from Astragalus brachycalyx FISCHER and their effects on cytokine release and hemolysis. Phytochem. Lett. 2017, 21, 66–73. [Google Scholar] [CrossRef]
- Denizli, N.; Horo, I.; Gülcemal, D.; Masullo, M.; Festa, M.; Capasso, A.; Alankuş-Çalışkan, Ö. Cycloartane glycosides from Astragalus plumosus var. krugianus and evaluation of their antioxidant potential. Fitoterapia 2014, 92, 211–218. [Google Scholar] [CrossRef]
- Graziani, V.; Esposito, A.; Scognamiglio, M.; Chambery, A.; Russo, R.; Ciardiello, F.; D’Abrosca, B. Spectroscopic characterization and cytotoxicity assessment towards human colon cancer cell lines of acylated cycloartane glycosides from Astragalus boeticus L. Molecules 2019, 24, 1725. [Google Scholar] [CrossRef]
- Un, R.; Horo, I.; Masullo, M.; Falco, A.; Senol, S.G.; Piacente, S.; Alankuş-Çalıskan, Ö. Cycloartane and oleanane-type glycosides from Astragalus pennatulus. Fitoterapia 2016, 109, 254–260. [Google Scholar] [CrossRef]
- Auyeung, K.K.; Han, Q.B.; Ko, J.K. Astragalus membranaceus: A review of its protection against inflammation and gastrointestinal cancers. Am. J. Chin. Med. 2016, 44, 1–22. [Google Scholar] [CrossRef]
- Zhang, Y.-M.; Zhang, L.-Y.; Zhou, H.; Li, Y.-Y.; Wei, K.-X.; Li, C.-H.; Zhou, T.; Wang, J.-F.; Wei, W.-J.; Hua, J.-R.; et al. Astragalus polysaccharide inhibits radiation-induced bystander effects by regulating apoptosis in Bone Mesenchymal Stem Cells (BMSCs). Cell Cycle 2020, 19, 3195–3207. [Google Scholar] [CrossRef]
- She, Y.; Zhao, X.; Wu, P.; Xue, L.; Liu, Z.; Zhu, M.; Yang, J.; Li, Y. Astragalus polysaccharide protects formaldehyde-induced toxicity by promoting NER pathway in bone marrow mesenchymal stem cells. Folia Histochem. Cytobiol. 2021, 59, 124–133. [Google Scholar] [CrossRef]
- Bao, W.; Zhang, Q.; Zheng, H.; Li, L.; Liu, M.; Cheng, H.; Wong, T.; Zhang, G.; Lu, A.; Bian, Z.; et al. Radix Astragali polysaccharide RAP directly protects hematopoietic stem cells from chemotherapy-induced myelosuppression by increasing FOS expression. Int. J. Biol. Macromol. 2021, 183, 1715–1722. [Google Scholar] [CrossRef]
- Liu, Q.Y.; Yao, Y.M.; Zhang, S.W.; Sheng, Z.Y. Astragalus polysaccharides regulate T cell-mediated immunity via CD11c(high)CD45RB(low) DCs in vitro. J. Ethnopharmacol. 2011, 136, 457–464. [Google Scholar] [CrossRef]
- Lv, J.; Zhang, Y.; Tian, Z.; Liu, F.; Shi, Y.; Liu, Y.; Xia, P. Astragalus polysaccharides protect against dextran sulfate sodium-induced colitis by inhibiting NF-κB activation. Int. J. Biol. Macromol. 2017, 98, 723–729. [Google Scholar] [CrossRef]
- Yang, M.; Lin, H.-B.; Gong, S.; Chen, P.-Y.; Geng, L.-L.; Zeng, Y.-M.; Li, D.-Y. Effect of Astragalus polysaccharides on expression of TNF-α, IL-1β and NFATc4 in a rat model of experimental colitis. Cytokine 2014, 70, 81–86. [Google Scholar] [CrossRef]
- Wang, X.; Li, Y.; Yang, X.; Yao, J. Astragalus polysaccharide reduces inflammatory response by decreasing permeability of LPS-infected Caco2 cells. Int. J. Biol. Macromol. 2013, 61, 347–352. [Google Scholar] [CrossRef]
- Wei, W.; Xiao, H.T.; Bao, W.R.; Ma, D.L.; Leung, C.H.; Han, X.Q.; Ko, C.H.; Lau, C.B.-S.; Wong, C.K.; Fung, K.P.; et al. TLR-4 may mediate signaling pathways of Astragalus polysaccharide RAP induced cytokine expression of RAW264.7 cells. J. Ethnopharmacol. 2016, 179, 243–252. [Google Scholar] [CrossRef]
- Meng, F.; Xu, P.; Wang, X.; Huang, Y.; Wu, L.; Chen, Y.; Teng, L.; Wang, D. Investigation on the immunomodulatory activities of Sarcodon imbricatus extracts in a cyclophosphamide (CTX)-induced immunosuppressanted mouse model. Saud. Pharm. J. 2017, 25, 460–463. [Google Scholar] [CrossRef]
- Zhao, W.; Chen, L.; Cui, N.; Ji, X.; Jiang, H.; Deng, T.; Wang, S. Polysaccharides from radix astragali exert immunostimulatory effects to attenuate the dampness stagnancy due to spleen deficiency syndrome. Pharmacogn. Mag. 2019, 15, 500–506. [Google Scholar]
- Guo, Z.; Xu, H.Y.; Xu, L.; Wang, S.S.; Zhang, X.M. In vivo and in vitro immunomodulatory and anti-inflammatory effects of total flavonoids of Astragalus. Afr. J. Tradit. Complement. Altern. Med. 2016, 13, 60–73. [Google Scholar] [CrossRef]
- Sung, H.; Ferlay, J.; Siegel, R.L.; Laversanne, M.; Soerjomataram, I.; Jemal, A.; Bray, F. Global cancer statistics 2020: GLOBOCAN estimates of incidence and mortality worldwide for 36 cancers in 185 countries. CA Cancer J. Clin. 2021, 71, 209–249. [Google Scholar] [CrossRef]
- Li, Y.; Ye, Y.; Chen, H. Astragaloside IV inhibits cell migration and viability of hepatocellular carcinoma cells via suppressing long noncoding RNA ATB. Biomed. Pharmacother. 2018, 99, 134–141. [Google Scholar] [CrossRef]
- Zhu, J.; Zhao, W.; Zhang, C.; Wang, H.; Cheng, W.; Li, Z.; Qian, Y.; Li, X.; Yu, Y. Disrupted topological organization of the motor execution network in alcohol dependence. Psychiatry Res.-Neuroimaging 2018, 280, 1–8. [Google Scholar] [CrossRef] [PubMed]
- Yang, B.; Xiao, B.; Sun, T. Antitumor and immunomodulatory activity of Astragalus membranaceus polysaccharides in H22 tumor-bearing mice. Int. J. Biol. Macromol. 2013, 62, 287–290. [Google Scholar] [CrossRef]
- Na, D.; Liu, F.N.; Miao, Z.F.; Du, Z.M.; Xu, H.M. Astragalus extract inhibits destruction of gastric cancer cells to mesothelial cells by anti-apoptosis. World J. Gastroenterol. 2009, 15, 570–577. [Google Scholar] [CrossRef]
- Boersma, B.J.; Barnes, S.; Kirk, M.; Wang, C.C.; Darley-Usmar, V.M. Soy isoflavonoids and cancer—Metabolism at the target site. Mutat. Res.-Fundam. Mol. Mech. Mutagen. 2001, 480–481, 121–127. [Google Scholar] [CrossRef] [PubMed]
- Zhang, Z.; Auyeung, K.K.; Sze, S.C.; Zhang, S.; Yung, K.K.; Ko, J.K. The dual roles of calycosin in growth inhibition and metastatic progression during pancreatic cancer development: A “TGF-beta paradox”. Phytomedicine 2020, 68, 153177. [Google Scholar] [CrossRef] [PubMed]
- Zhang, A.L.; Zheng, Y.H.; Que, Z.J.; Zhang, L.L.; Lin, S.C. Astragaloside IV inhibits progression of lung cancer by mediating immune function of Tregs and CTLs by interfering with IDO. J. Cancer Res. Clin. 2014, 140, 1883–1890. [Google Scholar] [CrossRef]
- Tin, M.M.Y.; Cho, C.-H.; Chan, K.; James, A.E.; Ko, J.K.S. Astragalus saponins induce growth inhibition and apoptosis in human colon cancer cells and tumor xenograft. Carcinogenesis 2007, 28, 1347–1355. [Google Scholar] [CrossRef]
- Adesso, S.; Russo, R.; Quaroni, A.; Autore, G.; Marzocco, S. Astragalus membranaceus Extract Attenuates Inflammation and Oxidative Stress in Intestinal Epithelial Cells via NF-kappaB Activation and Nrf2 Response. Int. J. Mol. Sci. 2018, 19, 800. [Google Scholar] [CrossRef] [PubMed]
- Wang, Y.; Ren, T.; Zheng, L.; Chen, H.; Ko, J.K.; Auyeung, K.K. Astragalus saponins inhibits lipopolysaccharide-induced inflammation in mouse macrophages. Am. J. Chin. Med. 2016, 44, 579–593. [Google Scholar] [CrossRef]
- Yu, D.; Duan, Y.; Bao, Y.; Wei, C.; An, L. Isoflavonoids from Astragalus mongholicus protect PC12 cells from toxicity induced by L-glutamate. J. Ethnopharmacol. 2005, 98, 89–94. [Google Scholar] [CrossRef]
- Chen, R.-Z.; Tan, L.; Jin, C.-G.; Lu, J.; Tian, L.; Chang, Q.-Q.; Wang, K. Extraction, isolation, characterization and antioxidant activity of polysaccharides from Astragalus membranaceus. Ind. Crop. Prod. 2015, 77, 434–443. [Google Scholar] [CrossRef]
- Ju, Y.; Su, Y.; Chen, Q.; Ma, K.; Ji, T.; Wang, Z.; Li, W.; Li, W. Protective effects of Astragaloside IV on endoplasmic reticulum stress-induced renal tubular epithelial cells apoptosis in type 2 diabetic nephropathy rats. Biomed. Pharmacother. 2019, 109, 84–92. [Google Scholar] [CrossRef] [PubMed]
- Wang, N.; Siu, F.; Zhang, Y. Effect of astragaloside IV on diabetic gastric mucosa in vivo and in vitro. Am. J. Trans. Res. 2017, 9, 4902–4913. [Google Scholar]
- Jianming, W.; Xiao, K.; Na, M.; Wei, W.; Wei, F.; Hongcheng, Z.; Manxi, Z.; Xiaoping, G.; Zhirong, Z. Formononetin, an active compound of Astragalus membranaceus (Fisch) Bunge, inhibits hypoxia-induced retinal neovascularization via the HIF-1α/VEGF signaling pathway. Drug Des. Dev. Ther. 2016, 10, 3071–3081. [Google Scholar]
- You, L.; Fang, Z.; Shen, G.; Wang, Q.; He, Y.; Ye, S.; Wang, L.; Hu, M.; Lin, Y.; Liu, M.; et al. Astragaloside IV prevents high glucose-induced cell apoptosis and inflammatory reactions through inhibition of the JNK pathway in human umbilical vein endothelial cells. Mol. Med. Rep. 2019, 19, 1603–1612. [Google Scholar] [CrossRef]
- Zhang, Y.W.; Wu, C.Y.; Cheng, J.T. Merit of Astragalus polysaccharide in the improvement of early diabetic nephropathy with an effect on mRNA expressions of NF-kappaB and IkappaB in renal cortex of streptozotoxin-induced diabetic rats. J. Ethnopharmacol. 2007, 114, 387–392. [Google Scholar] [CrossRef]
- Zhang, J.; Wu, C.; Gao, L.; Du, G.; Qin, X. Astragaloside IV derived from Astragalus membranaceus: A research review on the pharmacological effects. Adv. Pharmacol. 2020, 87, 89–112. [Google Scholar]
- Wang, C.; Li, Y.; Hao, M.; Li, W. Astragaloside IV inhibits triglyceride accumulation in insulin-resistant HepG2 cells via AMPK-induced SREBP-1c phosphorylation. Front. Pharmacol. 2018, 9, 338–345. [Google Scholar] [CrossRef]
- Du, Q.; Zhang, S.; Li, A.; Mohammad, I.S.; Liu, B.; Li, Y. Astragaloside IV inhibits adipose lipolysis and reduces hepatic glucose production via Akt dependent PDE3B expression in HFD-Fed mice. Front. Physiol. 2018, 9, 1–12. [Google Scholar] [CrossRef] [PubMed]
- Dang, S.; Zhang, X.; Jia, X.; Cheng, Y.; Song, P.; Liu, E.; He, Q.; Li, Z. Protective effects of emodin and astragalus polysaccharides on chronic hepatic injury in rats. Chin. Med. J. 2008, 121, 1010–1014. [Google Scholar] [CrossRef]
- Liang, Y.; Zhang, Q.; Zhang, L.; Wang, R.; Xu, X.; Hu, X. Astragalus Membranaceus treatment protects raw264.7 cells from influenza virus by regulating G1 phase and the TLR3-mediated signaling pathway. Evid. Based Complement. Altern. Med. 2019, 2019, 2971604. [Google Scholar] [CrossRef] [PubMed]
- Keeffe, E.B.; Dieterich, D.T.; Pawlotsky, J.M.; Benhamou, Y. Chronic hepatitis B: Preventing, detecting, and managing viral resistance. Clin. Gastroenterol. Hepatol. 2008, 6, 268–274. [Google Scholar] [CrossRef] [PubMed]
- Dang, S.S.; Jia, X.L.; Song, P.; Cheng, Y.A.; Zhang, X.; Sun, M.Z.; Liu, E.Q. Inhibitory effect of emodin and Astragalus polysaccharide on the replication of HBV. World J. Gastroenterol. 2009, 15, 5669–5673. [Google Scholar] [CrossRef]
- Du, X.; Zhao, B.; Li, J.; Cao, X.; Diao, M.; Feng, H.; Chen, X.; Chen, Z.; Zeng, X. Astragalus polysaccharides enhance immune responses of HBV DNA vaccination via promoting the dendritic cell maturation and suppressing Treg frequency in mice. Int. Immunopharmacol. 2012, 14, 463–470. [Google Scholar] [CrossRef]
- Wang, D.; Zhuang, Y.; Tian, Y.; Thomas, G.N.; Ying, M.; Tomlinson, B. Study of the effects of total flavonoids of Astragalus on atherosclerosis formation and potential mechanisms. Oxid. Med. Cell Longev. 2012, 2012, 282383. [Google Scholar] [CrossRef]
- Wu, J.H.; Li, Q.; Wu, M.Y.; Guo, D.J.; Chen, H.L.; Chen, S.L.; Seto, S.W.; Au, A.L.; Poon, C.C.; Leung, G.P.; et al. Formononetin, an isoflavone, relaxes rat isolated aorta through endothelium-dependent and endothelium-independent pathways. J. Nutr. Biochem. 2010, 21, 613–620. [Google Scholar] [CrossRef]
- Wu, X.L.; Wang, Y.Y.; Cheng, J.; Zhao, Y.Y. Calcium channel blocking activity of calycosin, a major active component of Astragali Radix, on rat aorta. Acta Pharmacol. Sin. 2006, 27, 1007–1012. [Google Scholar] [CrossRef]
- Zhu, H.; Zou, L.; Tian, J.; Lin, F.; He, J.; Hou, J. Protective effects of sulphonated formononetin in a rat model of cerebral ischemia and reperfusion injury. Planta Med. 2014, 80, 262–268. [Google Scholar] [CrossRef]
- Zhu, J.B.; Wan, X.Y.; Zhu, Y.P.; Ma, X.L.; Zheng, Y.W.; Zhang, T.B. Effect of astragaloside IV on the embryo-fetal development of Sprague-Dawley rats and New Zealand White rabbits. J. Appl. Toxicol. 2009, 29, 381–385. [Google Scholar]
- Wan, X.Y.; Zhu, J.B.; Zhu, Y.P.; Ma, X.L.; Zheng, Y.W.; Zhang, T.B. Effect of astragaloside IV on the general and peripartum reproductive toxicity in Sprague-Dawley rats. Int. J. Toxicol. 2010, 29, 505–516. [Google Scholar]
- Mao, S.; Ouyang, W.; Zhou, Y.; Zeng, R.; Zhao, X.; Chen, Q.; Zhang, M.; Hinek, A. Addition of Chinese herbal remedy, Tongguan Capsules, to the standard treatment in patients with myocardial infarction improve the ventricular reperfusion and remodeling: Proteomic analysis of possible signaling pathways. J. Ethnopharmacol. 2020, 257, 112794. [Google Scholar] [CrossRef]
- Lee, D.; Lee, S.H.; Song, J.; Jee, H.J.; Cha, S.H.; Chang, G.T. Effects of Astragalus extract mixture HT042 on height growth in children with mild short stature: A multicenter randomized controlled trial. Phytother. Res. 2018, 32, 49–57. [Google Scholar] [CrossRef]
- Huang, K.; Zhang, P.; Zhang, Z.; Youn, J.Y.; Wang, C.; Zhang, H.; Cai, H. Traditional Chinese Medicine (TCM) in the treatment of COVID-19 and other viral infections: Efficacies and mechanisms. Pharmacol. Ther. 2021, 225, 107843. [Google Scholar] [CrossRef]
- Leung, E.L.H.; Pan, H.D.; Huang, Y.F.; Fan, X.X.; Wang, W.Y.; He, F.; Liu, L. The scientific foundation of Chinese herbal medicine against COVID-19. Engineering 2020, 6, 1099–1107. [Google Scholar] [CrossRef]





| Species Resource | Main Bioactive Compounds | Potential Pharmacological Activities | References |
|---|---|---|---|
| A. membranaceus | Flavonoids, triterpene saponins, polysaccharides | Anticancer, antidiabetic, antiviral, hepatoprotective, immunomodulatory, antiinflammatory, antioxidant, anti-cardiovascular activities. | [75] |
| A. abyssinicus | Flavonoids | Antioxidant | [76] |
| A. monspessulanus | Flavonoids | Antioxidant | [77] |
| A. hoantchy | Flavonoids | Antibacterial | [78] |
| A. adsurgens | Flavonoids | Antiinflammatory | [79] |
| A. brachycalyx | Triterpene saponins | Immunomodulatory | [80] |
| A. plumosus | Triterpene saponins | Antioxidant | [81] |
| A. boeticus | Triterpene saponins | Anticancer | [82] |
| A. pennatulus | Triterpene saponins | - | [83] |
Disclaimer/Publisher’s Note: The statements, opinions and data contained in all publications are solely those of the individual author(s) and contributor(s) and not of MDPI and/or the editor(s). MDPI and/or the editor(s) disclaim responsibility for any injury to people or property resulting from any ideas, methods, instructions or products referred to in the content. |
© 2023 by the authors. Licensee MDPI, Basel, Switzerland. This article is an open access article distributed under the terms and conditions of the Creative Commons Attribution (CC BY) license (https://creativecommons.org/licenses/by/4.0/).
Share and Cite
Dong, M.; Li, J.; Yang, D.; Li, M.; Wei, J. Biosynthesis and Pharmacological Activities of Flavonoids, Triterpene Saponins and Polysaccharides Derived from Astragalus membranaceus. Molecules 2023, 28, 5018. https://doi.org/10.3390/molecules28135018
Dong M, Li J, Yang D, Li M, Wei J. Biosynthesis and Pharmacological Activities of Flavonoids, Triterpene Saponins and Polysaccharides Derived from Astragalus membranaceus. Molecules. 2023; 28(13):5018. https://doi.org/10.3390/molecules28135018
Chicago/Turabian StyleDong, Miaoyin, Jinjuan Li, Delong Yang, Mengfei Li, and Jianhe Wei. 2023. "Biosynthesis and Pharmacological Activities of Flavonoids, Triterpene Saponins and Polysaccharides Derived from Astragalus membranaceus" Molecules 28, no. 13: 5018. https://doi.org/10.3390/molecules28135018
APA StyleDong, M., Li, J., Yang, D., Li, M., & Wei, J. (2023). Biosynthesis and Pharmacological Activities of Flavonoids, Triterpene Saponins and Polysaccharides Derived from Astragalus membranaceus. Molecules, 28(13), 5018. https://doi.org/10.3390/molecules28135018

