β-CD-Induced Precipitation of Eriochrome Black T Recovered via CTAB-Assisted Foam Fractionation for Adsorption of Trace Cu(II)
Abstract
1. Introduction
2. Results and Discussion
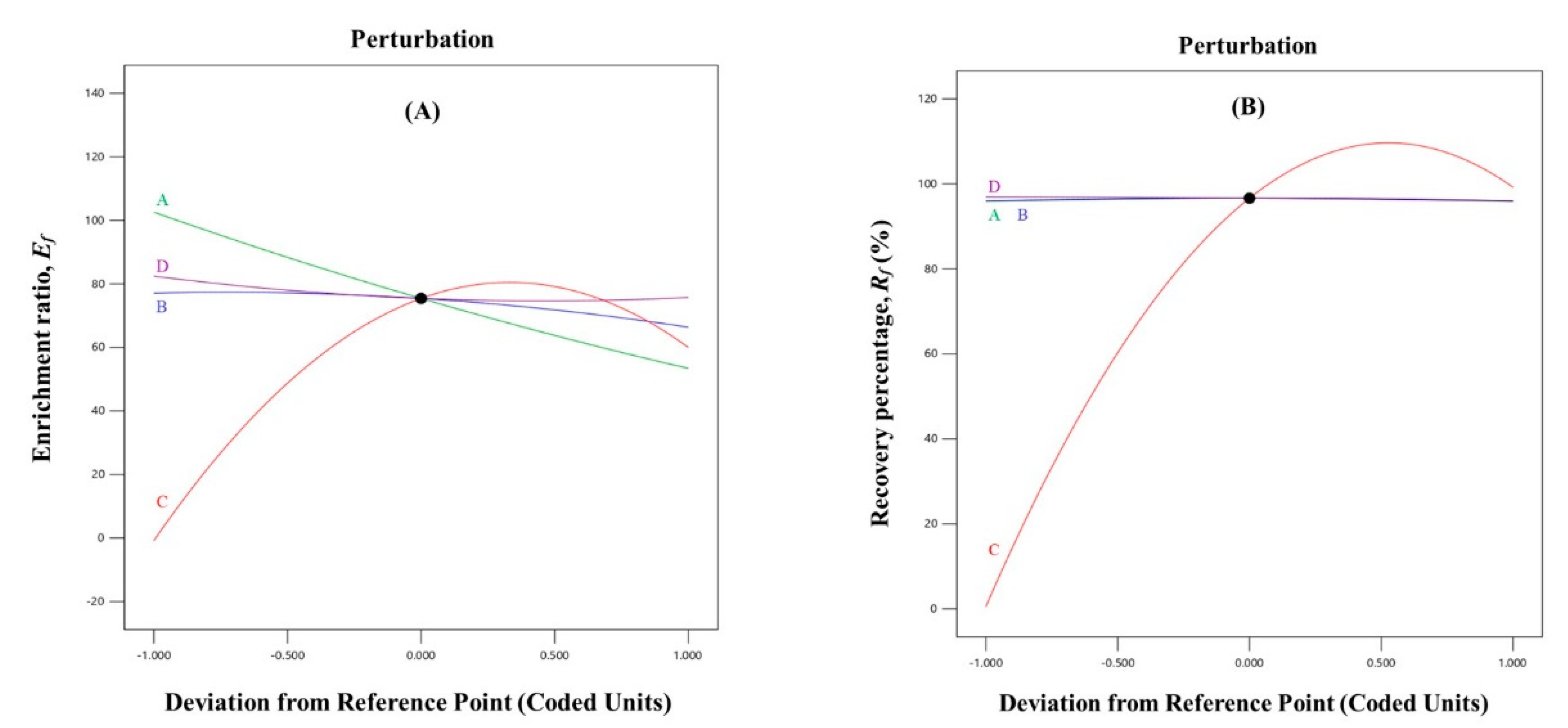
2.1. Optimization of CTAB-Assisted Foam Fractionation of EBT Using RSM
2.2. Characterization of β-CD-CTAB-EBT Particles
2.2.1. Morphology of β-CD-CTAB-EBT Particles
2.2.2. Size and Zeta Potential of β-CD-CTAB-EBT Particles
2.2.3. SEM-EDS Analysis of Cu(Ⅱ) Ions@β-CD-CTAB-EBT Particles
2.3. Adsorption of Cu(Ⅱ) Ions Using β-CD-CTAB-EBT Particles
2.3.1. Adsorption Kinetics
2.3.2. Adsorption Isotherms
2.3.3. Adsorption Thermodynamics
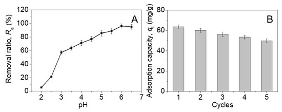
2.3.4. Effect of pH on the Removal Ratio of Cu2+ Ions and Recyclability of β-CD-CTAB-EBT Particles
3. Materials and Methods
3.1. Chemicals
3.2. Equipment for EBT Batch Foam Fractionation
3.3. Optimization of EBT Batch Foam Fractionation via RSM
3.4. Preparation of β-CD-CTAB-EBT Particles
3.5. Adsorption Removal of Cu(Ⅱ) Ions Using β-CD-CTAB-EBT Particles
3.5.1. Evaluation of Adsorption Performance
3.5.2. Adsorption Kinetics
3.5.3. Adsorption Isotherms
3.5.4. Adsorption Thermodynamics
3.6. Characterization of β-CD-CTAB-EBT Particles
3.7. Measurement of Cu(II) Ion Concentration
3.8. Statistical Analysis
4. Conclusions
Author Contributions
Funding
Institutional Review Board Statement
Informed Consent Statement
Data Availability Statement
Conflicts of Interest
References
- Liu, Z.; Alam Khan, T.; Islam, A.; Tabrez, U. A review on the treatment of dyes in printing and dyeing wastewater by plant biomass carbon. Bioresour. Technol. 2022, 354, 127168. [Google Scholar] [CrossRef] [PubMed]
- Azam, K.; Shezad, N.; Shafiq, I.; Akhter, P.; Akhtar, F.; Jamil, F.; Shafique, S.; Park, Y.-K.; Hussain, M. A review on activated carbon modifications for the treatment of wastewater containing anionic dyes. Chemosphere 2022, 306, 135566. [Google Scholar] [CrossRef] [PubMed]
- Chen, H.; Yu, X.; Wang, X.; He, Y.; Zhang, C.; Xue, G.; Liu, Z.; Lao, H.; Song, H.; Chen, W.; et al. Dyeing and finishing wastewater treatment in China: State of the art and perspective. J. Clean. Prod. 2021, 326, 129353. [Google Scholar] [CrossRef]
- Zhang, C.; Chen, H.; Xue, G.; Liu, Y.; Chen, S.; Jia, C. A critical review of the aniline transformation fate in azo dye wastewater treatment. J. Clean. Prod. 2021, 321, 128971. [Google Scholar] [CrossRef]
- Gomes, A.S.; Leal, M.V.G.; Tolosa, G.R.; Cabrera, F.C.; Dognani, G.; Job, A.E. Cationic dialdehyde cellulose microfibers for efficient removal of eriochrome black T from aqueous solution. Bioresour. Technol. 2023, 380, 129096. [Google Scholar] [CrossRef] [PubMed]
- Kotnala, S.; Bhushan, B.; Nayak, A. Fabrication of nano-biocomposite for the removal of Eriochrome Black T and malachite green from aqueous solution: Isotherm and kinetic studies. Environ. Sci. Pollut. Res. 2023, 30, 27846–27862. [Google Scholar] [CrossRef]
- Honarmand, M.; Golmohammadi, M.; Hafezi-Bakhtiari, J. Synthesis and characterization of SnO2 NPs for photodegradation of eriochrome black-T using response surface methodology. Environ. Sci. Pollut. Res. 2021, 28, 7123–7133. [Google Scholar] [CrossRef]
- De, I.; Pahuja, M.; Wani, H.M.U.D.; Dey, A.; Dube, T.; Ghosh, R.; Kankan, N.; Mishra, J.; Panda, J.J.; Maruyama, T.; et al. In-vitro toxicity assessment of a textile dye Eriochrome Black T and its nano-photocatalytic degradation through an innovative approach using Mf-NGr-CNTs-SnO2 heterostructures. Ecotoxicol. Environ. Saf. 2022, 243, 113985. [Google Scholar] [CrossRef]
- Solís, M.; Solís, A.; Pérez, H.I.; Manjarrez, N.; Flores, M. Microbial decolouration of azo dyes: A review. Process. Biochem. 2012, 47, 1723–1748. [Google Scholar] [CrossRef]
- Mishra, S.; Maiti, A. The efficacy of bacterial species to decolourise reactive azo, anthroquinone and triphenylmethane dyes from wastewater: A review. Environ. Sci. Pollut. Res. 2018, 25, 8286–8314. [Google Scholar] [CrossRef]
- Lanjwani, M.F.; Khuhawar, M.Y.; Khuhawar, T.M.J.; Lanjwani, A.H.; Memon, S.Q.; Soomro, W.A.; Rind, I.K. Photocatalytic Degradation of Eriochrome Black T Dye by ZnO Nanoparticles Using Multivariate Factorial, Kinetics and Isotherm Models. J. Clust. Sci. 2022, 34, 1121–1132. [Google Scholar] [CrossRef]
- Waghchaure, R.H.; Adole, V.A.; Jagdale, B.S. Photocatalytic degradation of methylene blue, rhodamine B, methyl orange and Eriochrome black T dyes by modified ZnO nanocatalysts: A concise review. Inorg. Chem. Commun. 2022, 143, 109764. [Google Scholar] [CrossRef]
- Dos Santos, A.J.; de Lima, M.D.; da Silva, D.R.; Garcia-Segura, S.; Martínez-Huitle, C.A. Influence of the water hardness on the performance of electro-Fenton approach: Decolorization and mineralization of Eriochrome Black T. Electrochim. Acta 2016, 208, 156–163. [Google Scholar] [CrossRef]
- Koe, W.S.; Lee, J.W.; Chong, W.C.; Pang, Y.L.; Sim, L.C. An overview of photocatalytic degradation: Photocatalysts, mechanisms, and development of photocatalytic membrane. Environ. Sci. Pollut. Res. 2020, 27, 2522–2565. [Google Scholar] [CrossRef]
- Ani, I.; Akpan, U.; Olutoye, M.; Hameed, B. Photocatalytic degradation of pollutants in petroleum refinery wastewater by TiO2- and ZnO-based photocatalysts: Recent development. J. Clean. Prod. 2018, 205, 930–954. [Google Scholar] [CrossRef]
- Ramalingam, G.; Perumal, N.; Priya, A.; Rajendran, S. A review of graphene-based semiconductors for photocatalytic degradation of pollutants in wastewater. Chemosphere 2022, 300, 134391. [Google Scholar] [CrossRef]
- Kaur, Y.; Jasrotia, T.; Kumar, R.; Chaudhary, G.R.; Chaudhary, S. Adsorptive removal of eriochrome black T (EBT) dye by using surface active low cost zinc oxide nanoparticles: A comparative overview. Chemosphere 2021, 278, 130366. [Google Scholar] [CrossRef]
- Bansal, M.; Patnala, P.K.; Dugmore, T. Adsorption of Eriochrome Black-T(EBT) using tea waste as a low cost adsorbent by batch studies: A green approach for dye effluent treatments. Curr. Res. Green Sustain. Chem. 2020, 3, 100036. [Google Scholar] [CrossRef]
- Balouchi, H.; Baziar, M.; Dehghan, A.; Alidadi, H.; Shams, M. Combination of electrocoagulation and MOF adsorption systems for EBT removal from water. Int. J. Environ. Anal. Chem. 2020, 102, 1307–1317. [Google Scholar] [CrossRef]
- Mahbub, S.; Shahriar, I.; Iqfath, M.; Hoque, A.; Halim, M.A.; Khan, M.A.; Rub, M.A.; Asiri, A.M. Influence of alcohols/electrolytes on the interaction of reactive red dye with surfactant and removal of dye from solutions. J. Environ. Chem. Eng. 2019, 7, 103364. [Google Scholar] [CrossRef]
- Janoš, P.; Šmídová, V. Effects of surfactants on the adsorptive removal of basic dyes from water using an organomineral sorbent—Iron humate. J. Colloid Interface Sci. 2005, 291, 19–27. [Google Scholar] [CrossRef] [PubMed]
- Buckley, T.; Xu, X.; Rudolph, V.; Firouzi, M.; Shukla, P. Review of foam fractionation as a water treatment technology. Sep. Sci. Technol. 2022, 57, 929–958. [Google Scholar] [CrossRef]
- Sachin, K.; Karpe, S.A.; Singh, M.; Bhattarai, A. Study on surface properties of sodiumdodecyl sulfate and dodecyltrimethylammonium bromide mixed surfactants and their interaction with dyes. Heliyon 2019, 5, e01510. [Google Scholar] [CrossRef] [PubMed]
- Noor, S.; Taj, M.B.; Naz, I. Comparative solubilization of reactive dyes in single and mixed surfactants. J. Dispers. Sci. Technol. 2022, 43, 2058–2068. [Google Scholar] [CrossRef]
- Chang, Y.; Dou, N.; Liu, M.; Jiang, M.; Men, J.; Cui, Y.; Li, R.; Zhu, Y. Efficient removal of anionic dyes from aqueous solution using CTAB and β-cyclodextrin-induced dye aggregation. J. Mol. Liq. 2020, 309, 113021. [Google Scholar] [CrossRef]
- He, J.; Li, Y.; Wang, C.; Zhang, K.; Lin, D.; Kong, L.; Liu, J. Rapid adsorption of Pb, Cu and Cd from aqueous solutions by β-cyclodextrin polymers. Appl. Surf. Sci. 2017, 426, 29–39. [Google Scholar] [CrossRef]
- Masoud, M.S.; Hammud, H.H.; Beidas, H. Dissociation constants of eriochrome black T and eriochrome blue black RC indicators and the formation constants of their complexes with Fe(III), Co(II), Ni(II), Cu(II), Zn(II), Cd(II), Hg(II), and Pb(II), under different temperatures and in presence of different solvents. Thermochim. Acta 2002, 381, 119–131. [Google Scholar] [CrossRef]
- Amiri, M.J. Synthesis and optimization of spherical nZVI (20–60 nm) immobilized in bio-apatite-based material for efficient removal of phosphate: Box-Behnken design in a fixed-bed column. Environ. Sci. Pollut. Res. 2022, 29, 67751–67764. [Google Scholar] [CrossRef]
- Paswan, M.; Prajapati, V.; Dholakiya, B.Z. Optimization of biodegradable cross-linked guar-gum-PLA superabsorbent hydrogel formation employing response surface methodology. Int. J. Biol. Macromol. 2022, 223, 652–662. [Google Scholar] [CrossRef]
- Behera, S.K.; Meena, H.; Chakraborty, S.; Meikap, B. Application of response surface methodology (RSM) for optimization of leaching parameters for ash reduction from low-grade coal. Int. J. Min. Sci. Technol. 2018, 28, 621–629. [Google Scholar] [CrossRef]
- Chaudhary, A.; Sharma, S.; Verma, A. Optimization of WEDM process parameters for machining of heat treated ASSAB ’88 tool steel using Response surface methodology (RSM). Mater. Today Proc. 2022, 50, 917–922. [Google Scholar] [CrossRef]
- Liu, W.; Liu, D.; Yin, H.; Yang, C.; Lu, K. Foam fractionation for the separation of SDBS from its aqueous solution: Process optimization and property test. Sep. Purif. Technol. 2021, 262, 118305. [Google Scholar] [CrossRef]
- Xing, Z.; Zhang, M.; Wang, Y.; Yang, G.; Han, L.; Loor, J. A decrease in diameter of milk fat globules accompanies milk fat depression induced by conjugated linoleic acid supplementation in lactating dairy cows. J. Dairy Sci. 2020, 103, 5143–5147. [Google Scholar] [CrossRef] [PubMed]
- Kwak, B.-M.; Lee, J.E.; Ahn, J.-H.; Jeon, T.-H. Laser diffraction particle sizing by wet dispersion method for spray-dried infant formula. J. Food Eng. 2009, 92, 324–330. [Google Scholar] [CrossRef]
- Samadi, A.; Xie, M.; Li, J.; Shon, H.; Zheng, C.; Zhao, S. Polyaniline-based adsorbents for aqueous pollutants removal: A review. Chem. Eng. J. 2021, 418, 129425. [Google Scholar] [CrossRef]
- Fang, Z.; Suhua, H.; Xu, L.; Jian, F.; Qi, L.; Zhiwei, W.; Chuanchang, L.; Yuanlai, X. Adsorption kinetics and thermodynamics of rare earth on Montmorillonite modified by sulfuric acid. Colloids Surf. A Physicochem. Eng. Asp. 2021, 627, 127063. [Google Scholar] [CrossRef]
- Ahamad, T.; Naushad, M.; Al-Shahrani, T.; Al-hokbany, N.; Alshehri, S.M. Preparation of chitosan based magnetic nanocomposite for tetracycline adsorption: Kinetic and thermodynamic studie. Int. J. Biol. Macromol. 2020, 147, 258–267. [Google Scholar] [CrossRef]
- Cimirro, N.F.; Lima, E.C.; Cunha, M.R.; Thue, P.S.; Grimm, A.; dos Reis, G.S.; Rabiee, N.; Saeb, M.R.; Keivanimehr, F.; Habibzadeh, S. Removal of diphenols using pine biochar. Kinetics, equilibrium, thermodynamics, and mechanism of uptake. J. Mol. Liq. 2022, 364, 119979. [Google Scholar] [CrossRef]
- Fenti, A.; Chianese, S.; Iovino, P.; Musmarra, D.; Salvestrini, S. Cr(VI) Sorption from Aqueous Solution: A Review. Appl. Sci. 2020, 10, 6477. [Google Scholar] [CrossRef]
- Jia, L.; Liu, W.; Cao, J.; Wu, Z.; Yang, C. Modified multi-walled carbon nanotubes assisted foam fractionation for effective removal of acid orange 7 from the dyestuff wastewater. J. Environ. Manag. 2020, 262, 110260. [Google Scholar] [CrossRef]
- Soylu, M.; Gökkuş, Ö.; Özyonar, F. Foam separation for effective removal of disperse and reactive dyes from aqueous solutions. Sep. Purif. Technol. 2020, 247, 116985. [Google Scholar] [CrossRef]
- Simonin, J.P. On the comparison of pseudo-first order and pseudo-second order rate laws in the modeling of adsorption kinetics. Chem. Eng. J. 2016, 300, 254–263. [Google Scholar] [CrossRef]
- Zhuang, S.; Chen, R.; Liu, Y.; Wang, J. Magnetic COFs for the adsorptive removal of diclofenac and sulfamethazine from aqueous solution: Adsorption kinetics, isotherms study and DFT calculation. J. Hazard. Mater. 2020, 385, 121596. [Google Scholar] [CrossRef] [PubMed]
- Khandaker, S.; Toyohara, Y.; Saha, G.C.; Awual, R.; Kuba, T. Development of synthetic zeolites from bio-slag for cesium adsorption: Kinetic, isotherm and thermodynamic studies. J. Water Process. Eng. 2020, 33, 101055. [Google Scholar] [CrossRef]
- Lima, E.C.; Hosseini-Bandegharaei, A.; Moreno-Piraján, J.C.; Anastopoulos, I. A critical review of the estimation of the thermodynamic parameters on adsorption equilibria. Wrong use of equilibrium constant in the Van’t Hoof equation for calculation of thermodynamic parameters of adsorption. J. Mol. Liq. 2019, 273, 425–434. [Google Scholar] [CrossRef]









| Run | Coded (Uncoded) Variable Level | Y1, Enrichment Ratio (Ef) | Y2, Recovery Percentage (Rf/%) | |||
|---|---|---|---|---|---|---|
| A, Volumetric Air Flow Rate (mL/min) | B, Liquid Loading Volume (mL) | C, CTAB-EBT Molar Ratio | D, pH | |||
| 1 | 1 (400) | −1 (200) | 0 (1) | 0 (7) | 45.7 | 95.8 |
| 2 | −1 (100) | −1 (200) | 0 (1) | 0 (7) | 107.5 | 94.5 |
| 3 | 0 (250) | −1 (200) | −1 (0.5) | 0 (7) | 0 | 0 |
| 4 | 0 (250) | 1 (600) | 1 (1.5) | 0 (7) | 53.9 | 99 |
| 5 | 1 (400) | 0 (400) | 1 (1.5) | 0 (7) | 35.2 | 98.7 |
| 6 | 1 (400) | 1 (600) | 0 (1) | 0 (7) | 42.9 | 93.2 |
| 7 | −1 (100) | 0 (400) | 1 (1.5) | 0 (7) | 87.6 | 98.1 |
| 8 | −1 (100) | 0 (400) | 0 (1) | 1 (9) | 129.5 | 93.7 |
| 9 | 0 (250) | 1 (600) | 0 (1) | 1 (9) | 58.6 | 93.5 |
| 10 | 0 (250) | 0 (400) | 1 (1.5) | −1 (5) | 68.1 | 98.8 |
| 11 | 0 (250) | 0 (400) | 1 (1.5) | 1 (9) | 53.2 | 98.8 |
| 12 | 1 (400) | 0 (400) | −1 (0.5) | 0 (7) | 0 | 0 |
| 13 | 1 (400) | 0 (400) | 0 (1) | −1 (5) | 49.4 | 94.1 |
| 14 | 0 (250) | −1 (200) | 0 (1) | −1 (5) | 99.5 | 95.6 |
| 15 | 0 (250) | 0 (400) | 0 (1) | 0 (7) | 78.6 | 95.5 |
| 16 | −1 (100) | 0 (400) | −1 (0.5) | 0 (7) | 0 | 0 |
| 17 | 0 (250) | 1 (600) | 0 (1) | −1 (5) | 74.1 | 98.7 |
| 18 | 0 (250) | 1 (600) | −1 (0.5) | 0 (7) | 0 | 0 |
| 19 | 0 (250) | −1 (200) | 1 (1.5) | 0 (7) | 67.1 | 98.7 |
| 20 | 0 (250) | 0 (400) | 0 (1) | 0 (7) | 69.2 | 96.8 |
| 21 | 0 (250) | 0 (400) | −1 (0.5) | 1 (9) | 0 | 0 |
| 22 | 0 (250) | 0 (400) | −1 (0.5) | −1 (5) | 0 | 0 |
| 23 | 0 (250) | −1 (200) | 0 (1) | 1 (9) | 63.5 | 95.6 |
| 24 | −1 (100) | 0 (400) | 0 (1) | −1 (5) | 109.7 | 98.1 |
| 25 | −1 (100) | 1 (600) | 0 (1) | 0 (7) | 89.5 | 96.4 |
| 26 | 1 (400) | 0 (400) | 0 (1) | 1 (9) | 55.6 | 98.1 |
| 27 | 0 (250) | 0 (400) | 0 (1) | 0 (7) | 78.5 | 97.6 |
| Variables | Label | Levels | ||
|---|---|---|---|---|
| −1 | 0 | 1 | ||
| A | Volumetric air flow rate (mL/min) | 100 | 250 | 400 |
| B | Liquid loading volume (mL) | 200 | 400 | 600 |
| C | CTAB-EBT molar ratio | 0.5 | 1 | 1.5 |
| D | pH | 5 | 7 | 9 |
| Source | Y1 | Y2 | ||||
|---|---|---|---|---|---|---|
| Mean Square | F-Value | p-Value | Mean Square | F-Value | p-Value | |
| Model | 2458.9 | 15.06 | <0.0001 | 3117.78 | 4148.97 | <0.0001 |
| A | 7252.08 | 44.41 | <0.0001 | 0.0675 | 0.0898 | 0.7695 |
| B | 344.54 | 2.11 | 0.172 | 0.03 | 0.0399 | 0.845 |
| C | 11,108.17 | 68.03 | <0.0001 | 29,215.2 | 38,878 | <0.0001 |
| D | 136.01 | 0.8329 | 0.3794 | 2.61 | 3.48 | 0.0868 |
| AB | 57.76 | 0.3537 | 0.5631 | 5.06 | 6.74 | 0.0234 |
| AC | 686.44 | 4.2 | 0.0628 | 0.09 | 0.1198 | 0.7353 |
| AD | 46.24 | 0.2832 | 0.6043 | 17.64 | 23.47 | 0.0004 |
| BC | 43.56 | 0.2668 | 0.6149 | 0.0225 | 0.0299 | 0.8655 |
| BD | 105.06 | 0.6434 | 0.4381 | 6.76 | 9 | 0.0111 |
| CD | 55.5 | 0.3399 | 0.5707 | 0 | 0 | 1 |
| A2 | 35.59 | 0.218 | 0.649 | 2.64 | 3.52 | 0.0852 |
| B2 | 73.18 | 0.4481 | 0.5159 | 2.37 | 3.15 | 0.1011 |
| C2 | 11,213.89 | 68.67 | <0.0001 | 11,670.88 | 15,530.98 | <0.0001 |
| D2 | 71.38 | 0.4371 | 0.521 | 0.1481 | 0.1971 | 0.6649 |
| Residual | 163.29 | 0.7515 | ||||
| Lack of Fit | 190.12 | 6.52 | 0.1401 | 0.6771 | 0.6027 | 0.7613 |
| Pure Error | 29.14 | 1.12 | ||||
| R2 | 0.9461 | 0.9998 | ||||
| Adj. R2 | 0.8833 | 0.9996 | ||||
| Variation coefficient | 22.75% | 1.15% | ||||
| Adequate precision | 12.368 | 154.634 | ||||
| T/K | ΔG (KJ/mol) | ΔH (KJ/mol) | ΔS (KJ/(mol T)) |
|---|---|---|---|
| 298.15 | −31.84 | 78.48 | 0.37 |
| 308.15 | −35.54 | ||
| 318.15 | −39.24 |
Disclaimer/Publisher’s Note: The statements, opinions and data contained in all publications are solely those of the individual author(s) and contributor(s) and not of MDPI and/or the editor(s). MDPI and/or the editor(s) disclaim responsibility for any injury to people or property resulting from any ideas, methods, instructions or products referred to in the content. |
© 2023 by the authors. Licensee MDPI, Basel, Switzerland. This article is an open access article distributed under the terms and conditions of the Creative Commons Attribution (CC BY) license (https://creativecommons.org/licenses/by/4.0/).
Share and Cite
Chang, Y.; Cao, C.; Li, Y.; Yin, Y.; Liu, Y.; Li, R.; Zhu, Y. β-CD-Induced Precipitation of Eriochrome Black T Recovered via CTAB-Assisted Foam Fractionation for Adsorption of Trace Cu(II). Molecules 2023, 28, 4619. https://doi.org/10.3390/molecules28124619
Chang Y, Cao C, Li Y, Yin Y, Liu Y, Li R, Zhu Y. β-CD-Induced Precipitation of Eriochrome Black T Recovered via CTAB-Assisted Foam Fractionation for Adsorption of Trace Cu(II). Molecules. 2023; 28(12):4619. https://doi.org/10.3390/molecules28124619
Chicago/Turabian StyleChang, Yunkang, Chengsong Cao, Yuhuan Li, Yitong Yin, Yangjing Liu, Rui Li, and Yimin Zhu. 2023. "β-CD-Induced Precipitation of Eriochrome Black T Recovered via CTAB-Assisted Foam Fractionation for Adsorption of Trace Cu(II)" Molecules 28, no. 12: 4619. https://doi.org/10.3390/molecules28124619
APA StyleChang, Y., Cao, C., Li, Y., Yin, Y., Liu, Y., Li, R., & Zhu, Y. (2023). β-CD-Induced Precipitation of Eriochrome Black T Recovered via CTAB-Assisted Foam Fractionation for Adsorption of Trace Cu(II). Molecules, 28(12), 4619. https://doi.org/10.3390/molecules28124619

