pH-Responsive Viscoelastic Fluids of a C22-Tailed Surfactant Induced by Trivalent Metal Ions
Abstract
1. Introduction
2. Results and Discussion
2.1. Phase Behavior of UC22AMPM–AlCl3 System
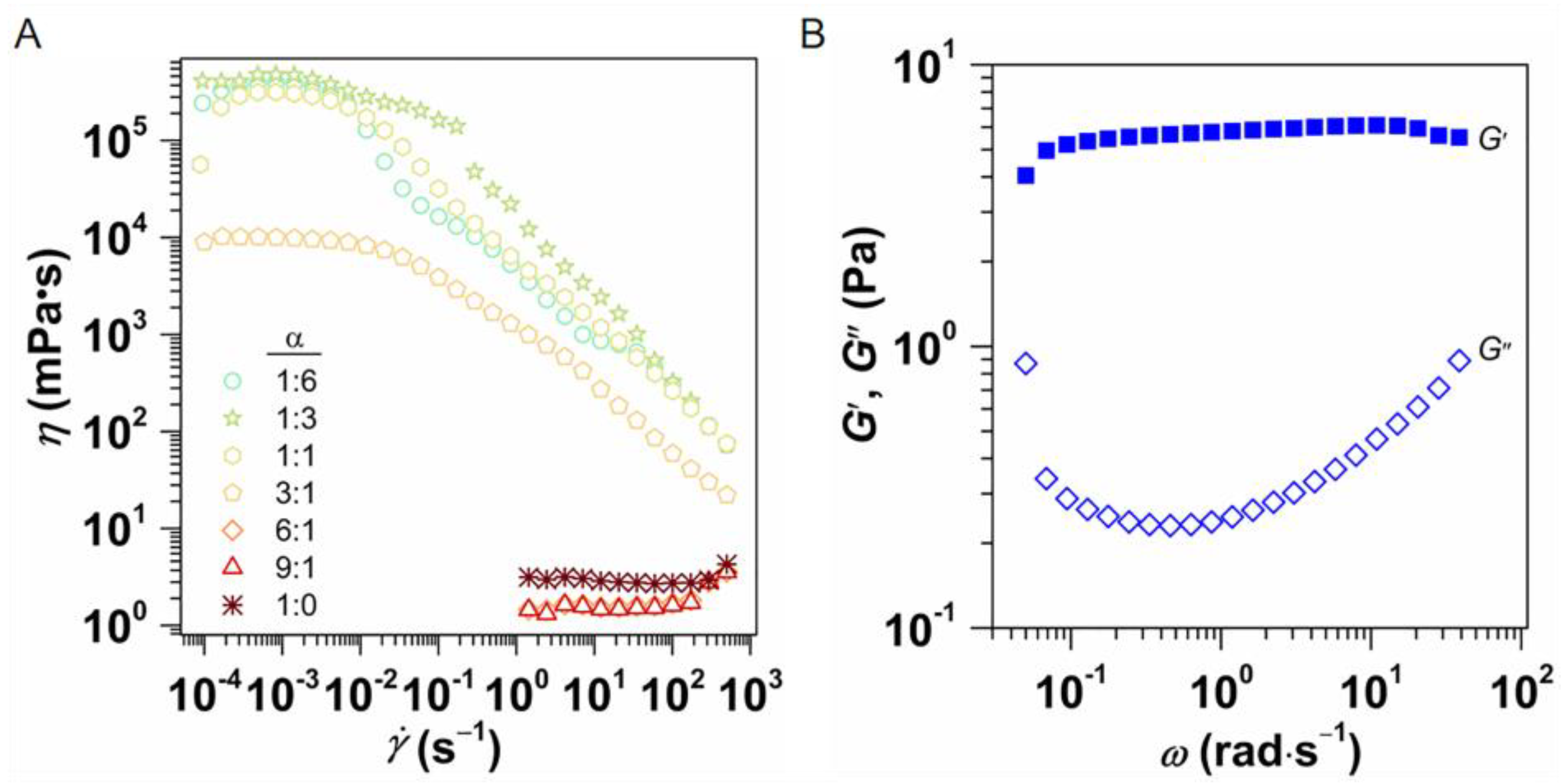
2.2. Rheological Properties of the UC22AMPM–AlCl3 Mixed System
2.3. Effect of Other Trivalent Metal Salts on UC22AMPM
2.4. pH Responsiveness of the UC22AMPM-AlCl3 Mixed System
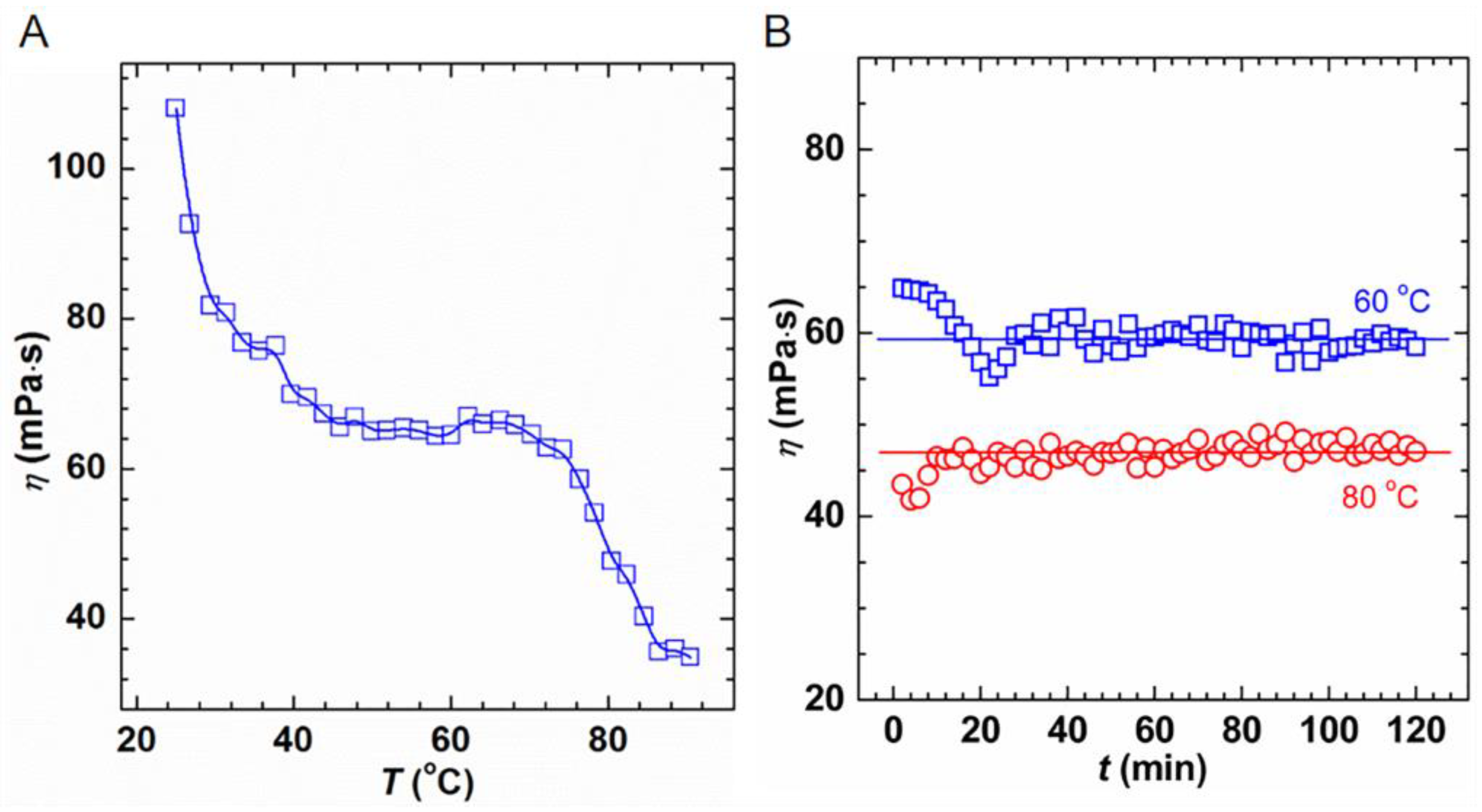
2.5. Temperature Tolerance and Shear Tolerance of the UC22AMPM−AlCl3 Mixed System
3. Materials and Methods
3.1. Materials
3.2. Preparation of UC22AMPM–Metal Salts Mixtures
3.3. Rheology Measurement
3.4. Micellar Structure Observation
3.5. Phase Behavior Observation
3.6. 1H NMR Experiments
4. Conclusions
Author Contributions
Funding
Data Availability Statement
Conflicts of Interest
Sample Availability
References
- Rothstein, J.P.; Mohammadigoushki, H. Complex flows of viscoelastic wormlike micelle solutions. J. Non-Newton. Fluid Mech. 2020, 285, 104382. [Google Scholar] [CrossRef]
- Walker, L.M. Rheology and structure of worm-like micelles. Curr. Opin. Colloid Interface Sci. 2001, 6, 451–456. [Google Scholar] [CrossRef]
- Dreiss, C.A. Wormlike micelles: Where do we stand? Recent developments, linear rheology and scattering techniques. Soft Matter 2007, 3, 956–970. [Google Scholar] [CrossRef] [PubMed]
- Han, Y.; Feng, Y.; Sun, H.; Li, Z.; Han, Y.; Wang, H. Wormlike micelles formed by sodium erucate in the presence of a tetraalkylammonium hydrotrope. J. Phys. Chem. B 2011, 115, 6893–6902. [Google Scholar] [CrossRef] [PubMed]
- Feng, Y.; Chu, Z. A Facile route towards the preparation of ultra-long-chain amidosulfobetaine surfactants. Synlett 2009, 16, 2655–2658. [Google Scholar] [CrossRef]
- Wang, J.; Wang, J.; Wang, B.; Guo, S.; Feng, Y. Synthesis and aqueous solution properties of polyoxyethylene surfactants with ultra-long unsaturated hydrophobic chains. J. Dispers. Sci. Technol. 2013, 34, 504–510. [Google Scholar] [CrossRef]
- Chu, Z.; Feng, Y. Vegetable-derived long-chain surfactants synthesized via a “green” route. ACS Sustain. Chem. Eng. 2012, 1, 75–79. [Google Scholar] [CrossRef]
- Shaikh, A.; Dai, C.; Sun, Y.; Foutou, V.; Zhao, M.; You, Q.; Zhao, G.; Sun, X.; Ding, X.; Bakhsh, A.; et al. Formation and rheology of CO2-responsive anionic wormlike micelles based clear fracturing fluid system. J. Dispers. Sci. Technol. 2023, 44, 736–749. [Google Scholar] [CrossRef]
- Luo, M.L.; Si, X.D.; Li, M.Z.; Jia, X.H.; Yang, Y.L.; Zhan, Y.P. Experimental study on the drag reduction performance of clear fracturing fluid using wormlike surfactant micelles and magnetic nanoparticles under a magnetic field. Nanomaterials 2021, 11, 885. [Google Scholar] [CrossRef]
- Yang, J. Viscoelastic wormlike micelles and their applications. Curr. Opin. Colloid Interface Sci. 2002, 7, 276–281. [Google Scholar] [CrossRef]
- Kang, W.; Mushi, S.J.; Yang, H.; Wang, P.; Hou, X. Development of smart viscoelastic surfactants and its applications in fracturing fluid: A review. J. Pet. Sci. Eng. 2020, 190, 107107–107122. [Google Scholar] [CrossRef]
- Liu, S.; Lin, Y.T.; Bhat, B.; Kuan, K.Y.; Kwon, J.S.; Akbulut, M. pH-responsive viscoelastic supramolecular viscosifiers based on dynamic complexation of zwitterionic octadecylamidopropyl betaine and triamine for hydraulic fracturing applications. RSC Adv. 2021, 11, 22517–22529. [Google Scholar] [CrossRef] [PubMed]
- Barati, R.; Liang, J.-T. A review of fracturing fluid systems used for hydraulic fracturing of oil and gas wells. J. Appl. Polym. Sci. 2014, 131, 40735–40746. [Google Scholar] [CrossRef]
- Yang, X.; Mao, J.; Chen, Z.; Chen, Y.; Zhao, J. Clean fracturing fluids for tight reservoirs: Opportunities with viscoelastic surfactant. Energy Sources, Part A 2018, 41, 1446–1459. [Google Scholar] [CrossRef]
- Deng, J.G.; Saviour, B.E.; Zhao, X.H. Smart fluids and their applications in drilling fluids to meet drilling technical challenges. Adv. Mater. Sci. Eng. 2022, 2022, 2335406. [Google Scholar] [CrossRef]
- Chen, D.Z.; Yang, C.Q.; Qiu, X.Q. Aqueous polymerization of maleic acid and cross-linking of cotton cellulose by poly(maleic acid). Ind. Eng. Chem. Res. 2005, 44, 7921–7927. [Google Scholar] [CrossRef]
- Chu, Z.; Feng, Y. pH-switchable wormlike micelles. Chem. Commun. 2010, 46, 9028–9030. [Google Scholar] [CrossRef]
- Lin, Y.; Han, X.; Huang, J.; Fu, H.; Yu, C. A facile route to design pH-responsive viscoelastic wormlike micelles: Smart use of hydrotropes. J. Colloid Interface Sci. 2009, 330, 449–455. [Google Scholar] [CrossRef]
- Dautry-Varsat, A.; Ciechanover, A.; Lodish, H.F. pH and the recycling of transferrin during receptor-mediated endocytosis. Proc. Natl. Acad. Sci. USA 1983, 80, 2258–2262. [Google Scholar] [CrossRef]
- Zheng, H.; Gao, C.; Peng, B.; Shu, M.; Che, S. pH-responsive drug delivery system based on coordination bonding in a mesostructured surfactant/silica hybrid. J. Phys. Chem. C 2011, 115, 7230–7237. [Google Scholar] [CrossRef]
- Zheng, H.; Xing, L.; Cao, Y.; Che, S. Coordination bonding based pH-responsive drug delivery systems. Coord. Chem. Rev. 2013, 257, 1933–1944. [Google Scholar] [CrossRef]
- Wang, J.; Feng, Y.; Agrawal, N.R.; Raghavan, S.R. Wormlike micelles versus water-soluble polymers as rheology-modifiers: Similarities and differences. Phys. Chem. Chem. Phys. 2017, 19, 24458–24466. [Google Scholar] [CrossRef] [PubMed]
- Kumar, R.; Kalur, G.C.; Ziserman, L.; Danino, D.; Raghavan, S.R. Wormlike micelles of a C22-tailed zwitterionic betaine surfactant: from viscoelastic solutions to elastic gels. Langmuir 2007, 23, 12849–12856. [Google Scholar] [CrossRef] [PubMed]
- Gao, C.; Zheng, H.; Xing, L.; Shu, M.; Che, S. Designable coordination bonding in mesopores as a pH-responsive release system. Chem. Mater. 2010, 22, 5437–5444. [Google Scholar] [CrossRef]
- Wang, D.; Sun, Y.; Cao, M.; Wang, J.; Hao, J. Amphiphilic short peptide modulated wormlike micelle formation with pH and metal ion dual-responsive properties. RSC Adv. 2015, 5, 95604–95612. [Google Scholar] [CrossRef]
- Fortunato, A.; Mba, M. Metal cation triggered peptide hydrogels and their application in food freshness monitoring and dye adsorption. Gels 2021, 7, 85. [Google Scholar] [CrossRef] [PubMed]
- Qiao, Y.; Lin, Y.; Wang, Y.; Li, Z.; Huang, J. Metal-driven viscoelastic wormlike micelle in anionic/zwitterionic surfactant systems and template-directed synthesis of dendritic silver nanostructures. Langmuir 2011, 27, 1718–1723. [Google Scholar] [CrossRef]
- Zaitoun, M.A.; Lin, C.T. Chelating behavior between metal ions and EDTA in sol−gel matrix. J. Phys. Chem. B 1997, 101, 1857–1860. [Google Scholar] [CrossRef]
- Wang, J.; Liang, M.; Tian, Q.; Feng, Y.; Yin, H.; Lu, G. CO2-switchable foams stabilized by a long-chain viscoelastic surfactant. J. Colloid Interface Sci. 2018, 523, 65–74. [Google Scholar] [CrossRef]
- Lu, H.; Shi, Q.; Huang, Z. pH-responsive anionic wormlike micelle based on sodium oleate induced by NaCl. J. Phys. Chem. B 2014, 118, 12511–12517. [Google Scholar] [CrossRef]
- Tian, H.; Ding, Q.; Zhang, J.; Song, A.; Hao, J. Effect of hydrophilic groups of surfactants and hydrophobic chains of CnDMAO on coordinated vesicle formation. Langmuir 2010, 26, 18652–18658. [Google Scholar] [CrossRef] [PubMed]
- Zhao, J.; Fan, J.; Mao, J.; Yang, X.; Zhang, H.; Zhang, W. High performance clean fracturing fluid using a new tri-cationic surfactant. Polymers 2018, 10, 535. [Google Scholar] [CrossRef] [PubMed]
- Feng, D.; Zhang, Y.; Chen, Q.; Wang, J.; Li, B.; Feng, Y. Synthesis and surface activities of amidobetaine surfactants with ultra-long unsaturated hydrophobic chains. J. Surf. Deterg. 2012, 15, 657–661. [Google Scholar] [CrossRef]
- Wang, J.; Luo, X.; Chu, Z.; Feng, Y. Effect of residual chemicals on wormlike micelles assembled from a C22-tailed cationic surfactant. J. Colloid Interface Sci. 2019, 553, 91–98. [Google Scholar] [CrossRef] [PubMed]










| Disclaimer/Publisher’s Note: The statements, opinions and data contained in all publications are solely those of the individual author(s) and contributor(s) and not of MDPI and/or the editor(s). MDPI and/or the editor(s) disclaim responsibility for any injury to people or property resulting from any ideas, methods, instructions or products referred to in the content. | 
© 2023 by the authors. Licensee MDPI, Basel, Switzerland. This article is an open access article distributed under the terms and conditions of the Creative Commons Attribution (CC BY) license (https://creativecommons.org/licenses/by/4.0/).
Share and Cite
Xu, Z.; Yu, S.; Fu, R.; Wang, J.; Feng, Y. pH-Responsive Viscoelastic Fluids of a C22-Tailed Surfactant Induced by Trivalent Metal Ions. Molecules 2023, 28, 4621. https://doi.org/10.3390/molecules28124621
Xu Z, Yu S, Fu R, Wang J, Feng Y. pH-Responsive Viscoelastic Fluids of a C22-Tailed Surfactant Induced by Trivalent Metal Ions. Molecules. 2023; 28(12):4621. https://doi.org/10.3390/molecules28124621
Chicago/Turabian StyleXu, Zhi, Shuai Yu, Rong Fu, Ji Wang, and Yujun Feng. 2023. "pH-Responsive Viscoelastic Fluids of a C22-Tailed Surfactant Induced by Trivalent Metal Ions" Molecules 28, no. 12: 4621. https://doi.org/10.3390/molecules28124621
APA StyleXu, Z., Yu, S., Fu, R., Wang, J., & Feng, Y. (2023). pH-Responsive Viscoelastic Fluids of a C22-Tailed Surfactant Induced by Trivalent Metal Ions. Molecules, 28(12), 4621. https://doi.org/10.3390/molecules28124621
 
        



