Piplartine-Inspired 3,4,5-Trimethoxycinnamates: Trypanocidal, Mechanism of Action, and In Silico Evaluation
Abstract
1. Introduction
2. Results and Discussion
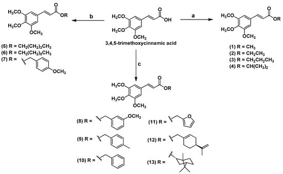
2.1. Preparation of Esters 1–13
2.2. Trypanocidal Evaluation of Esters against T. cruzi
2.3. Analysis of Cytoplasmic Reactive Oxygen Species (ROS)
2.4. Evaluation of Mitochondrial Transmembrane Potential
2.5. Structural Evaluation of Epimastigote Forms of T. cruzi Treated with 11
2.6. Analysis of the Cell Death Profile of T. cruzi
2.7. Molecular Modeling
3. Materials and Methods
3.1. Chemical Characterization of Compounds
3.2. Preparation of 1–4
3.3. Preparation of 5–7
3.4. Preparation of 8–13
3.5. In Vitro Cytotoxicity Assay in LLC-MK2 Cells
3.6. Evaluation of In Vitro Trypanocidal Activity in Y Strains of T. cruzis
3.6.1. Test on Epimastigote Forms of T. cruzi
3.6.2. Assay on Trypomastigote Forms of T. cruzi
3.6.3. The Trypanocidal Mechanism of Action Assays
Analysis of Reactive Cytoplasmic Oxygen Species
3.6.4. Evaluation of Mitochondrial Transmembrane Potential
3.6.5. 7-AAD Assay
3.6.6. Evaluation of Morphological Changes in T. cruzi Induced by 11
3.7. Statistical Analysis
3.8. Molecular Docking: Targets Selection
3.9. Molecular Dynamics Simulations and MM-PBSA Calculations
4. Conclusions
Supplementary Materials
Author Contributions
Funding
Institutional Review Board Statement
Informed Consent Statement
Data Availability Statement
Acknowledgments
Conflicts of Interest
References
- Pérez-Molina, J.A.; Molina, I. Chagas Disease. Lancet 2018, 391, 82–94. [Google Scholar] [CrossRef]
- World Heath Organization. Chagas Disease (Also Known as American Trypanosomiasis). Available online: https://www.who.int/news-room/fact-sheets/detail/chagas-disease-(american-trypanosomiasis) (accessed on 14 November 2022).
- Pan American Heath Organization. Control, Interrupción de la Transmisión y Eliminación de la Enfermedad de Chagas Como Problema de Salud Pública. Guía de Evaluación, Verificación y Validación; Organización Panamericana de la Salud: Washington, DC, USA, 2019. [Google Scholar] [CrossRef]
- Pérez-Molina, J.A.; Crespillo-Andújar, C.; Bosch-Nicolau, P.; Molina, I. Trypanocidal Treatment of Chagas Disease. Enferm. Infecc. Microbiol. Clin. 2021, 39, 458–470. [Google Scholar] [CrossRef] [PubMed]
- Arrúa, E.C.; Seremeta, K.P.; Bedogni, G.R.; Okulik, N.B.; Salomon, C.J. Nanocarriers for Effective Delivery of Benznidazole and Nifurtimox in the Treatment of Chagas Disease: A Review. Acta Trop. 2019, 198, 105080. [Google Scholar] [CrossRef]
- Müller Kratz, J.; Garcia Bournissen, F.; Forsyth, C.J.; Sosa-Estani, S. Clinical and Pharmacological Profile of Benznidazole for Treatment of Chagas Disease. Expert. Rev. Clin. Pharmacol. 2018, 11, 943–957. [Google Scholar] [CrossRef]
- García-Huertas, P.; Cardona-Castro, N. Advances in the Treatment of Chagas Disease: Promising New Drugs, Plants and Targets. Biomed. Pharmacother. 2021, 142, 112020. [Google Scholar] [CrossRef] [PubMed]
- Pandey, R.P.; Nascimento, M.S.; Moore, C.E.; Raj, V.S.; Kalil, J.; Cunha-Neto, E. New Approaches for the Treatment of Chagas Disease. Curr. Drug. Targets 2021, 22, 835–841. [Google Scholar] [CrossRef] [PubMed]
- Newman, D.J.; Cragg, G.M. Natural Products as Sources of New Drugs over the Nearly Four Decades from 01/1981 to 09/2019. J. Nat. Prod. 2020, 83, 770–803. [Google Scholar] [CrossRef]
- Cheng, X.; Tian, P.; Zheng, W.; Yan, X. Piplartine Attenuates the Proliferation of Hepatocellular Carcinoma Cells via Regulating Hsa_circ_100338 Expression. Cancer Med. 2020, 9, 4265–4273. [Google Scholar] [CrossRef]
- da Nóbrega, F.; Ozdemir, O.; Nascimento Sousa, S.; Barboza, J.; Turkez, H.; de Sousa, D. Piplartine Analogues and Cytotoxic Evaluation against Glioblastoma. Molecules 2018, 23, 1382. [Google Scholar] [CrossRef]
- da Silva, M.A.; Fokoue, H.H.; Fialho, S.N.; Santos, A.P.D.A.D.; Rossi, N.R.D.L.P.; Gouveia, A.d.J.; Ferreira, A.S.; Passarini, G.M.; Garay, A.F.G.; Alfonso, J.J.; et al. Antileishmanial Activity Evaluation of a Natural Amide and Its Synthetic Analogs against Leishmania (V.) Braziliensis: An Integrated Approach in Vitro and in Silico. Parasitol. Res. 2021, 120, 2199–2218. [Google Scholar] [CrossRef]
- Mengarda, A.C.; Mendonça, P.S.; Morais, C.S.; Cogo, R.M.; Mazloum, S.F.; Salvadori, M.C.; Teixeira, F.S.; Morais, T.R.; Antar, G.M.; Lago, J.H.G.; et al. Antiparasitic Activity of Piplartine (Piperlongumine) in a Mouse Model of Schistosomiasis. Acta Trop. 2020, 205, 105350. [Google Scholar] [CrossRef]
- Ticona, J.C.; Bilbao-Ramos, P.; Flores, N.; Dea-Ayuela, M.A.; Bolás-Fernández, F.; Jiménez, I.A.; Bazzocchi, I.L. (E)-Piplartine Isolated from Piper Pseudoarboreum, a Lead Compound against Leishmaniasis. Foods 2020, 9, 1250. [Google Scholar] [CrossRef] [PubMed]
- Turkez, H.; da Nóbrega, F.R.; Ozdemir, O.; Filho, C.d.S.M.B.; de Almeida, R.N.; Tejera, E.; Perez-Castillo, Y.; de Sousa, D.P. NFBTA: A Potent Cytotoxic Agent against Glioblastoma. Molecules 2019, 24, 2411. [Google Scholar] [CrossRef]
- Vieira, G.A.L.; da Silva, M.T.A.; Regasini, L.O.; Cotinguiba, F.; Laure, H.J.; Rosa, J.C.; Furlan, M.; Cicarelli, R.M.B. Trypanosoma Cruzi: Analysis of Two Different Strains after Piplartine Treatment. Braz. J. Infect. Dis. 2018, 22, 208–218. [Google Scholar] [CrossRef] [PubMed]
- Cotinguiba, F.; Regasini, L.O.; da Silva Bolzani, V.; Debonsi, H.M.; Duó Passerini, G.; Cicarelli, R.M.B.; Kato, M.J.; Furlan, M. Piperamides and Their Derivatives as Potential Anti-Trypanosomal Agents. Med. Chem. Res. 2009, 18, 703–711. [Google Scholar] [CrossRef]
- Lopes, S.P.; Castillo, Y.P.; Monteiro, M.L.; de Menezes, R.R.; Almeida, R.N.; Martins, A.; Sousa, D.P. Trypanocidal Mechanism of Action and in Silico Studies of P-Coumaric Acid Derivatives. Int. J. Mol. Sci. 2019, 20, 5916. [Google Scholar] [CrossRef]
- Silva, R.H.N.; Andrade, A.C.M.; Nóbrega, D.F.; de Castro, R.D.; Pessôa, H.L.F.; Rani, N.; de Sousa, D.P. Antimicrobial Activity of 4-Chlorocinnamic Acid Derivatives. Biomed. Res. Int. 2019, 2019, 3941242. [Google Scholar] [CrossRef]
- Neises, B.; Steglich, W. Simple Method for the Esterification of Carboxylic Acids. Angew. Chem. Int. 1978, 17, 522–524. [Google Scholar] [CrossRef]
- Jones, A.; Grkovic, T.; Sykes, M.; Avery, V. Trypanocidal Activity of Marine Natural Products. Mar. Drugs 2013, 11, 4058–4082. [Google Scholar] [CrossRef] [PubMed]
- Lima, T.C.; Souza, R.J.; Santos, A.D.C.; Moraes, M.H.; Biondo, N.E.; Barison, A.; Steindel, M.; Biavatti, M.W. Evaluation of Leishmanicidal and Trypanocidal Activities of Phenolic Compounds from Calea uniflora Less. Nat. Prod. Res. 2016, 30, 551–557. [Google Scholar] [CrossRef]
- Liu, X.; Testa, B.; Fahr, A. Lipophilicity and Its Relationship with Passive Drug Permeation. Pharm. Res. 2011, 28, 962–977. [Google Scholar] [CrossRef] [PubMed]
- Hamada, Y. Recent Progress in Prodrug Design Strategies Based on Generally Applicable Modifications. Bioorg. Med. Chem. Lett. 2017, 27, 1627–1632. [Google Scholar] [CrossRef] [PubMed]
- Shabbir, A.; Haider, K.; Rehman, K.; Akash, M.S.H.; Chen, S. Biochemical Activation and Functions of Drug-Metabolizing Enzymes. In Biochemistry of Drug Metabolizing Enzymes; Elsevier: Amsterdam, The Netherlands, 2022; pp. 1–27. [Google Scholar] [CrossRef]
- Wang, Q.; Xiao, B.-X.; Pan, R.-L.; Liu, X.-M.; Liao, Y.-H.; Feng, L.; Cao, F.-R.; Chang, Q. An LC-MS/MS Method for Simultaneous Determination of Three Polygala Saponin Hydrolysates in Rat Plasma and Its Application to a Pharmacokinetic Study. J. Ethnopharmacol. 2015, 169, 401–406. [Google Scholar] [CrossRef]
- Chen, X.; Zhong, Z.; Xu, Z.; Chen, L.; Wang, Y. 2′,7′-Dichlorodihydrofluorescein as a Fluorescent Probe for Reactive Oxygen Species Measurement: Forty Years of Application and Controversy. Free Radic. Res. 2010, 44, 587–604. [Google Scholar] [CrossRef]
- Esteras, N.; Adjobo-Hermans, M.J.W.; Abramov, A.Y.; Koopman, W.J.H. Visualization of Mitochondrial Membrane Potential in Mammalian Cells. Methods Cell Biol. 2020, 155, 221–245. [Google Scholar] [CrossRef]
- Pokorný, J.; Pokorný, J.; Kobilková, J.; Jandová, A.; Vrba, J.; Vrba, J. Targeting Mitochondria for Cancer Treatment—Two Types of Mitochondrial Dysfunction. Prague Med. Rep. 2014, 115, 104–119. [Google Scholar] [CrossRef] [PubMed]
- Lama, R.; Sandhu, R.; Zhong, B.; Li, B.; Su, B. Identification of Selective Tubulin Inhibitors as Potential Anti-Trypanosomal Agents. Bioorg. Med. Chem. Lett. 2012, 22, 5508–5516. [Google Scholar] [CrossRef]
- Ceccarelli, D.F.; Tang, X.; Pelletier, B.; Orlicky, S.; Xie, W.; Plantevin, V.; Neculai, D.; Chou, Y.-C.; Ogunjimi, A.; Al-Hakim, A.; et al. An Allosteric Inhibitor of the Human Cdc34 Ubiquitin-Conjugating Enzyme. Cell 2011, 145, 1075–1087. [Google Scholar] [CrossRef]
- Pettersen, E.F.; Goddard, T.D.; Huang, C.C.; Couch, G.S.; Greenblatt, D.M.; Meng, E.C.; Ferrin, T.E. UCSF Chimera?A Visualization System for Exploratory Research and Analysis. J. Comput. Chem. 2004, 25, 1605–1612. [Google Scholar] [CrossRef]
- Shannon, P.; Markiel, A.; Ozier, O.; Baliga, N.S.; Wang, J.T.; Ramage, D.; Amin, N.; Schwikowski, B.; Ideker, T. Cytoscape: A Software Environment for Integrated Models of Biomolecular Interaction Networks. Genome Res. 2003, 13, 2498–2504. [Google Scholar] [CrossRef]
- Urich, R.; Grimaldi, R.; Luksch, T.; Frearson, J.A.; Brenk, R.; Wyatt, P.G. The Design and Synthesis of Potent and Selective Inhibitors of Trypanosoma brucei Glycogen Synthase Kinase 3 for the Treatment of Human African Trypanosomiasis. J. Med. Chem. 2014, 57, 7536–7549. [Google Scholar] [CrossRef] [PubMed]
- Efstathiou, A.; Meira, C.S.; Gaboriaud-Kolar, N.; Bastos, T.M.; Rocha, V.P.C.; Vougogiannopoulou, K.; Skaltsounis, A.-L.; Smirlis, D.; Soares, M.B.P. Indirubin Derivatives Are Potent and Selective Anti-Trypanosoma cruzi Agents. Virulence 2018, 9, 1658–1668. [Google Scholar] [CrossRef] [PubMed]
- Efstathiou, A.; Gaboriaud-Kolar, N.; Myrianthopoulos, V.; Vougogiannopoulou, K.; Subota, I.; Aicher, S.; Mikros, E.; Bastin, P.; Skaltsounis, A.-L.; Soteriadou, K. Indirubin Analogues Inhibit Trypanosoma brucei Glycogen Synthase Kinase 3 Short and T. brucei Growth. Antimicrob. Agents Chemother. 2019, 63, e02065-18. [Google Scholar] [CrossRef] [PubMed]
- Hammarton, T.C. Cell Cycle Regulation in Trypanosoma brucei. Mol. Biochem. Parasitol. 2007, 153, 1–8. [Google Scholar] [CrossRef]
- Hu, H.; Gourguechon, S.; Wang, C.C.; Li, Z. The G1 Cyclin-Dependent Kinase CRK1 in Trypanosoma brucei Regulates Anterograde Protein Transport by Phosphorylating the COPII Subunit Sec31. J. Biol. Chem. 2016, 291, 15527–15539. [Google Scholar] [CrossRef]
- Santori, M.I.; Laría, S.; Gómez, E.B.; Espinosa, I.; Galanti, N.; Téllez-Iñón, M.T. Evidence for CRK3 Participation in the Cell Division Cycle of Trypanosoma Cruzi. Mol. Biochem. Parasitol. 2002, 121, 225–232. [Google Scholar] [CrossRef]
- Bao, Y.; Weiss, L.M.; Ma, Y.F.; Lisanti, M.P.; Tanowitz, H.B.; Das, B.C.; Zheng, R.; Huang, H. Molecular Cloning and Characterization of Mitogen-Activated Protein Kinase 2 in Trypanosoma cruzi. Cell Cycle 2010, 9, 2960–2968. [Google Scholar] [CrossRef]
- Domenicali Pfister, D.; Burkard, G.; Morand, S.; Renggli, C.K.; Roditi, I.; Vassella, E. A Mitogen-Activated Protein Kinase Controls Differentiation of Bloodstream Forms of Trypanosoma brucei. Eukaryot. Cell 2006, 5, 1126–1135. [Google Scholar] [CrossRef]
- Kugeratski, F.G.; Batista, M.; de Lima, C.V.P.; Neilson, L.J.; da Cunha, E.S.; de Godoy, L.M.; Zanivan, S.; Krieger, M.A.; Marchini, F.K. Mitogen-Activated Protein Kinase Kinase 5 Regulates Proliferation and Biosynthetic Processes in Procyclic Forms of Trypanosoma brucei. J. Proteome Res. 2018, 17, 108–118. [Google Scholar] [CrossRef]
- Müller, I.B.; Domenicali-Pfister, D.; Roditi, I.; Vassella, E. Stage-Specific Requirement of a Mitogen-Activated Protein Kinase by Trypanosoma brucei. Mol. Biol. Cell. 2002, 13, 3787–3799. [Google Scholar] [CrossRef]
- Roberts, A.J.; Dunne, J.; Scullion, P.; Norval, S.; Fairlamb, A.H. A Role for Trypanosomatid Aldo-Keto Reductases in Methylglyoxal, Prostaglandin and Isoprostane Metabolism. Biochem. J. 2018, 475, 2593–2610. [Google Scholar] [CrossRef] [PubMed]
- Rojas, F.; Koszela, J.; Búa, J.; Llorente, B.; Burchmore, R.; Auer, M.; Mottram, J.C.; Téllez-Iñón, M.T. The Ubiquitin-Conjugating Enzyme CDC34 Is Essential for Cytokinesis in Contrast to Putative Subunits of a SCF Complex in Trypanosoma brucei. PLoS Negl. Trop. Dis. 2017, 11, e0005626. [Google Scholar] [CrossRef] [PubMed]
- Hyun, D.-H.; Lee, M.; Hattori, N.; Kubo, S.-I.; Mizuno, Y.; Halliwell, B.; Jenner, P. Effect of Wild-Type or Mutant Parkin on Oxidative Damage, Nitric Oxide, Antioxidant Defenses, and the Proteasome. J. Biol. Chem. 2002, 277, 28572–28577. [Google Scholar] [CrossRef] [PubMed]
- Hyun, D.-H.; Gray, D.A.; Halliwell, B.; Jenner, P. Interference with Ubiquitination Causes Oxidative Damage and Increased Protein Nitration: Implications for Neurodegenerative Diseases. J. Neurochem. 2004, 90, 422–430. [Google Scholar] [CrossRef] [PubMed]
- Jarvius, M.; Fryknäs, M.; D’Arcy, P.; Sun, C.; Rickardson, L.; Gullbo, J.; Haglund, C.; Nygren, P.; Linder, S.; Larsson, R. Piperlongumine Induces Inhibition of the Ubiquitin–Proteasome System in Cancer Cells. Biochem. Biophys. Res. Commun. 2013, 431, 117–123. [Google Scholar] [CrossRef]
- Li, W.; Li, N.; Tang, Y.; Li, B.; Liu, L.; Zhang, X.; Fu, H.; Duan, J. Biological Activity Evaluation and Structure–Activity Relationships Analysis of Ferulic Acid and Caffeic Acid Derivatives for Anticancer. Bioorg. Med. Chem. Lett. 2012, 22, 6085–6088. [Google Scholar] [CrossRef]
- Nóbrega, F.R.; Silva, L.v.; da Bezerra Filho, C.S.M.; Lima, T.C.; Castillo, Y.P.; Bezerra, D.P.; Lima, T.K.S.; de Sousa, D.P. Design, Antileishmanial Activity, and QSAR Studies of a Series of Piplartine Analogues. J. Chem. 2019, 2019, 4785756. [Google Scholar] [CrossRef]
- Mosmann, T. Rapid Colorimetric Assay for Cellular Growth and Survival: Application to Proliferation and Cytotoxicity Assays. J. Immunol. Methods 1983, 65, 55–63. [Google Scholar] [CrossRef]
- da Rodrigues, J.H.S.; Ueda-Nakamura, T.; Corrêa, A.G.; Sangi, D.P.; Nakamura, C.V. A Quinoxaline Derivative as a Potent Chemotherapeutic Agent, Alone or in Combination with Benznidazole, against Trypanosoma Cruzi. PLoS ONE 2014, 9, e85706. [Google Scholar] [CrossRef]
- Meira, C.S.; Guimarães, E.T.; dos Santos, J.A.F.; Moreira, D.R.M.; Nogueira, R.C.; Tomassini, T.C.B.; Ribeiro, I.M.; de Souza, C.V.C.; Ribeiro dos Santos, R.; Soares, M.B.P. In Vitro and in Vivo Antiparasitic Activity of Physalis Angulata L. Concentrated Ethanolic Extract against Trypanosoma Cruzi. Phytomedicine 2015, 22, 969–974. [Google Scholar] [CrossRef]
- Kessler, R.L.; Soares, M.J.; Probst, C.M.; Krieger, M.A. Trypanosoma Cruzi Response to Sterol Biosynthesis Inhibitors: Morphophysiological Alterations Leading to Cell Death. PLoS ONE 2013, 8, e55497. [Google Scholar] [CrossRef]
- Sampaio, T.L.; de Menezes, R.R.P.P.B.; da Costa, M.F.B.; Meneses, G.C.; Arrieta, M.C.V.; Chaves Filho, A.J.M.; de Morais, G.B.; Libório, A.B.; Alves, R.S.; Evangelista, J.S.A.M. Nephroprotective Effects of (−)-α-Bisabolol against Ischemic-Reperfusion Acute Kidney Injury. Phytomedicine 2016, 23, 1843–1852. [Google Scholar] [CrossRef] [PubMed]
- Keiser, M.J.; Roth, B.L.; Armbruster, B.N.; Ernsberger, P.; Irwin, J.J.; Shoichet, B.K. Relating Protein Pharmacology by Ligand Chemistry. Nat. Biotechnol. 2007, 25, 197–206. [Google Scholar] [CrossRef] [PubMed]
- Hawkins, P.C.D.; Skillman, A.G.; Warren, G.L.; Ellingson, B.A.; Stahl, M.T. Conformer Generation with OMEGA: Algorithm and Validation Using High Quality Structures from the Protein Databank and Cambridge Structural Database. J. Chem. Inf. Model. 2010, 50, 572–584. [Google Scholar] [CrossRef]
- OpenEye Scientific Software. QUACPAC; OpenEye Scientific Software: Santa Fe, NM, USA, 2020. [Google Scholar]
- Berman, H.M. The Protein Data Bank. Nucleic Acids Res. 2000, 28, 235–242. [Google Scholar] [CrossRef]
- Bienert, S.; Waterhouse, A.; de Beer, T.A.P.; Tauriello, G.; Studer, G.; Bordoli, L.; Schwede, T. The SWISS-MODEL Repository—New Features and Functionality. Nucleic Acids Res. 2017, 45, D313–D319. [Google Scholar] [CrossRef] [PubMed]
- Jones, G.; Willett, P.; Glen, R.C.; Leach, A.R.; Taylor, R. Development and Validation of a Genetic Algorithm for Flexible Docking 1 1Edited by F. E. Cohen. J. Mol. Biol. 1997, 267, 727–748. [Google Scholar] [CrossRef] [PubMed]
- Case, D.A.; Ben-Shalom, I.Y.; Brozell, S.R.; Cerutti, D.S.; Cheatham, T.E., III; Cruzeiro, V.W.D.; Darden, T.A.; Duke, R.E.; Ghoreishi, D.; Gilson, M.K.; et al. AMBER; University of California: San Francisco, CA, USA, 2018. [Google Scholar]
- Miller, B.R.; McGee, T.D.; Swails, J.M.; Homeyer, N.; Gohlke, H.; Roitberg, A.E. MMPBSA.Py: An Efficient Program for End-State Free Energy Calculations. J. Chem. Theory Comput. 2012, 8, 3314–3321. [Google Scholar] [CrossRef]
- Kumar, S.; Arya, P.; Mukherjee, C.; Singh, B.K.; Singh, N.; Parmar, V.S.; Prasad, A.K.; Ghosh, B. Novel Aromatic Ester from Piper longum and Its Analogues Inhibit Expression of Cell Adhesion Molecules on Endothelial Cells. Biochemistry 2005, 44, 15944–15952. [Google Scholar] [CrossRef]
- Jung, J.-C.; Moon, S.; Min, D.; Park, W.K.; Jung, M.; Oh, S. Synthesis and Evaluation of a Series of 3,4,5-Trimethoxycinnamic Acid Derivatives as Potential Antinarcotic Agents. Chem. Biol. Drug Des. 2013, 81, 389–398. [Google Scholar] [CrossRef]
- Zhao, Z.; Bai, Y.; Xie, J.; Chen, X.; He, X.; Sun, Y.; Bai, Y.; Zhang, Y.; Wu, S.; Zheng, X. Excavating Precursors from the Traditional Chinese Herb Polygala Tenuifolia and Gastrodia Elata: Synthesis, Anticonvulsant Activity Evaluation of 3,4,5-Trimethoxycinnamic Acid (TMCA) Ester Derivatives. Bioorg. Chem. 2019, 88, 102832. [Google Scholar] [CrossRef] [PubMed]
- Katritzky, A.R.; Zhang, S.; Soares, A.; Wang, M. A Facile Synthesis of Benzyl-α, β-Unsaturated Carboxylic Esters. ARKIVOC 2001, 10, 54–57. [Google Scholar] [CrossRef]










| Epimastigote | Trypomastigote | ||||
|---|---|---|---|---|---|
| Ester | Substituent | IC50 (μg/mL) | IC50 (μM) | IC50 (μg/mL) | IC50 (μM) |
| 1 | Methyl | 31.5 ± 9.23 | 124.9 ± 36.6 | - | - |
| 2 | Ethyl | 85.68 ± 19.41 | 321.83 ± 72.89 | - | - |
| 3 | Propyl | 90.1 ± 29.7 | 321.42 ± 105.95 | - | - |
| 4 | Isopropyl | 74.5 ± 16.6 | 265.77 ±59.22 | - | - |
| 5 | Pentyl | 20.2 ± 2.2 | 65.50 ±7.13 | - | - |
| 6 | Decyl | n* | n* | - | - |
| 7 | 4-methoxybenzyl | 56.4 ± 13.8 | 157.37 ± 38.50 | - | - |
| 8 | 3-methoxybenzyl | 40.27 ± 4.2 | 112.36 ± 11.72 | 64.44 ± 19.01 | 179.80 ± 53.04 |
| 9 | 4-methylbenzyl | 61.80 ± 10.52 | 180.49± 30.73 | 39.92 ± 7.34 | 123.06 ± 21.44 |
| 10 | Benzyl | 39.99 ± 14.03 | 121.66 ± 42.73 | 13.38 ± 4.06 | 40.75 ± 12.36 |
| 11 | Furfuryl | 8.98 ± 1.70 | 28.21 ± 5.34 | 14.97 ± 2.77 | 47.02 ± 8.70 |
| 12 | (−)-Perillyl | 70.08 ± 25.56 | 188.16 ± 68.63 | 38.72 ± 5.03 | 103.96 ± 13.51 |
| 13 Positive control | (−)-Bornyl Benznidazole | 155.1 ± 43.8 23.0 ± 3.3 | 414.19 ± 116.97 115.1 ± 16.3 | - 32.3 ± 6.4 | - 161.4 ± 31.8 |
| LLCK-MK2 | Selectivity Index (SI) | ||||
|---|---|---|---|---|---|
| Ester | Substituent | CC50 (μg/mL) | CC50 (μM) | Epimastigote | Trypomastigote |
| 1 | Methyl | 126.4 ± 25.4 | 501.1 ± 100.7 | 4.01 | - |
| 2 | Ethyl | >200.0 | >751.1 | >2.3 | - |
| 3 | Propyl | 147.5 ± 15.6 | 526.2 ± 55.6 | 1.6 | - |
| 4 | Isopropyl | >200.0 | >713.5 | >2.7 | - |
| 5 | Pentyl | >200.0 | >648.6 | >9.9 | - |
| 6 | Decyl | >200.0 | >528.4 | n* | - |
| 7 | 4-methoxybenzyl | 196.2 ± 26.6 | 547.4 ± 74.2 | 3.5 | - |
| 8 | 3-methoxybenzyl | 100.3 ± 21.7 | 279.9 ± 60.5 | 2.5 | 1.6 |
| 9 | 4-methylbenzyl | 182.8 ± 23.7 | 533.9 ± 69.2 | 3.0 | 4.6 |
| 10 | Benzyl | 183.0 ± 47.8 | 557.3 ± 125.0 | 4.6 | 13.7 |
| 11 | Furfuryl | >200.0 | >628.3 | >22.2 | >13.4 |
| 12 | (−)-Perillyl | 105.9 ± 13.8 | 284.3 ± 37.1 | 1.5 | 2.7 |
| 13 | (−)-Bornyl | 71.2 ± 12.7 | 190.1 ± 33.9 | 0.5 | - |
| T. cruzi Target (a) | Description | ID |
|---|---|---|
| PGFS_TRYCC | 9,11-endoperoxide prostaglandin H2 reductase (Prostaglandin F2-alpha synthase) | PGFS |
| Q4D831_TRYCC | Aldo/keto reductase | AKR |
| Q4CRI4_TRYCC | Cell division protein kinase 2 (Cell division protein kinase 2) | CRK1 |
| Q4CPK2_TRYCC | Cell division related protein kinase 2 | CRK3 |
| Q4DF38_TRYCC | Cystathionine beta-synthase | CBS |
| Q4CST7_TRYCC | Cysteine synthase | CS |
| Q4DE53_TRYCC | DNA topoisomerase 2 | TOP2 |
| Q4D7B4_TRYCC | Lactoylglutathione lyase-like protein | LGL |
| Q4DRC6_TRYCC | Methionine aminopeptidase 2 (MAP 2, Peptidase M) | MetAP2 |
| Q4D3A0_TRYCC | Mitogen-activated protein kinase | MPK4 (c) |
| Q4CNV0_TRYCC | NAD-dependent protein deacylase (Regulatory protein SIR2 homolog 5) | SIR2 |
| Q4DQ47_TRYCC | Peptidylprolyl isomerase | PPIase |
| Q4E4I5_TRYCC | Protein kinase | MPK13 (c) |
| Q4D8B2_TRYCC | Protein kinase | PK-2 |
| Q4DJM4_TRYCC | Protein kinase | PK-3 |
| Q4E1X0_TRYCC | Protein kinase | GSK3B |
| Q4CLA1_TRYCC | Tubulin alpha chain | TUB-A (b) |
| Q4DQP2_TRYCC | Tubulin beta chain | TUB-B (b) |
| Q4DI08_TRYCC | Ubiquitin-conjugating enzyme E2 | UCE2-1 |
| Q4DDU2_TRYCC | Ubiquitin-conjugating enzyme E2 | UCE2-2 |
| Target | Conformer | CHEMPLP | GoldScore | ChemScore | ASP | Consensus Z-Score | ||||
|---|---|---|---|---|---|---|---|---|---|---|
| Score | Z-Score | Score | Z-Score | Score | Z-Score | Score | Z-Score | |||
| PGFS | 1 | 55.38 | 0.87 | 19.87 | 0.18 | 24.93 | 1.95 | 39.55 | 1.34 | 1.08 |
| 2 | 56.13 | 1.11 | 24.85 | 0.20 | 24.17 | 1.58 | 39.52 | 1.33 | 1.05 | |
| AKR | 1 | 53.63 | 2.08 | 36.75 | 2.69 | 25.77 | 2.25 | 36.00 | 1.25 | 2.07 |
| 2 | 51.84 | 1.62 | 30.31 | 1.21 | 21.83 | 0.82 | 37.50 | 1.51 | 1.29 | |
| 3 | 53.64 | 2.08 | 28.11 | 0.70 | 21.56 | 0.73 | 36.48 | 1.33 | 1.21 | |
| 4 | 51.27 | 1.48 | 29.07 | 0.92 | 23.33 | 1.37 | 32.02 | 0.55 | 1.08 | |
| CRK1 | 1 | 49.44 | 1.46 | 24.23 | 1.02 | 19.09 | 0.47 | 26.28 | 1.93 | 1.22 |
| 2 | 50.32 | 1.90 | 26.12 | 1.56 | 19.37 | 0.64 | 23.26 | 0.53 | 1.16 | |
| 3 | 49.03 | 1.25 | 23.59 | 0.84 | 19.94 | 1.00 | 25.00 | 1.34 | 1.11 | |
| CRK3 | 1 | 57.19 | 2.91 | 21.34 | 0.80 | 20.57 | 1.79 | 31.60 | 1.65 | 1.79 |
| 2 | 48.99 | 1.10 | 24.53 | 1.62 | 19.11 | 0.95 | 31.77 | 1.70 | 1.34 | |
| 3 | 55.01 | 2.43 | 25.61 | 1.89 | 20.19 | 1.58 | 31.03 | 1.51 | 1.85 | |
| CBS | 1 | 50.53 | 2.99 | 23.97 | 1.49 | 17.83 | 2.43 | 31.51 | 2.08 | 2.25 |
| 2 | 46.89 | 1.64 | 24.58 | 1.65 | 15.36 | -0.06 | 31.29 | 2.03 | 1.32 | |
| TOP2 | 1 | 47.31 | 1.72 | 32.39 | 2.81 | 16.30 | 0.54 | 26.99 | 2.63 | 1.93 |
| LGL | 1 | 55.63 | 0.97 | 15.12 | 0.41 | 27.54 | 2.03 | 36.55 | 1.97 | 1.35 |
| MetAP2 | 1 | 60.84 | 1.78 | 30.12 | 0.69 | 24.99 | 0.75 | 41.40 | 2.07 | 1.32 |
| 2 | 61.59 | 2.03 | 19.17 | -1.66 | 29.69 | 2.56 | 39.58 | 1.37 | 1.08 | |
| 3 | 59.04 | 1.14 | 32.47 | 1.20 | 24.44 | 0.54 | 39.12 | 1.19 | 1.02 | |
| MPK4 | 1 | 50.54 | 3.00 | 22.44 | 0.58 | 17.34 | 0.64 | 21.51 | 0.56 | 1.20 |
| SIR2 | 1 | 60.77 | 2.31 | 30.55 | 0.92 | 22.18 | 0.99 | 39.46 | 1.64 | 1.46 |
| 2 | 57.06 | 1.35 | 29.65 | 0.74 | 23.36 | 1.49 | 36.44 | 1.08 | 1.17 | |
| 3 | 53.41 | 0.42 | 34.40 | 1.68 | 22.69 | 1.21 | 36.83 | 1.15 | 1.12 | |
| PPIase | 1 | 50.32 | 0.85 | 30.10 | 3.17 | 22.73 | 1.27 | 32.76 | 0.28 | 1.39 |
| 2 | 53.58 | 2.40 | 23.44 | 1.02 | 22.61 | 1.18 | 30.56 | -0.39 | 1.05 | |
| MPK13 | 1 | 71.06 | 2.90 | 26.69 | 0.70 | 27.89 | 1.97 | 33.87 | 1.70 | 1.82 |
| 2 | 59.72 | 1.15 | 26.64 | 0.69 | 26.05 | 1.47 | 30.02 | 0.81 | 1.03 | |
| 3 | 60.42 | 1.26 | 28.42 | 1.06 | 23.69 | 0.82 | 30.46 | 0.91 | 1.01 | |
| PK-2 | 1 | 46.08 | 2.41 | 22.62 | 0.28 | 17.35 | 1.40 | 24.65 | 1.35 | 1.36 |
| 2 | 38.93 | 0.31 | 20.27 | 0.27 | 19.70 | 2.29 | 25.51 | 1.56 | 1.11 | |
| PK-3 | 1 | 46.69 | 1.22 | 27.52 | 1.76 | 19.56 | 1.95 | 29.60 | 3.30 | 2.06 |
| 2 | 48.90 | 2.13 | 25.68 | 1.29 | 18.73 | 1.36 | 23.66 | 1.11 | 1.47 | |
| GSK3B | 1 | 50.14 | 2.01 | 26.51 | 1.21 | 18.85 | 1.86 | 28.11 | 2.40 | 1.87 |
| 2 | 51.23 | 2.34 | 23.63 | 0.56 | 18.10 | 1.45 | 26.16 | 1.48 | 1.46 | |
| TUB (a) | 1 | 53.55 | 1.91 | 29.68 | 1.54 | 19.22 | 1.72 | 26.38 | 0.75 | 1.48 |
| CS | 1 | 47.31 | 1.72 | 32.39 | 2.81 | 16.30 | 0.54 | 26.99 | 2.63 | 1.93 |
| UCE-1 (b) | 1 | 43.01 | 2.19 | 23.54 | 0.57 | 10.70 | 0.31 | 19.28 | 0.44 | 0.88 |
| UCE-2 (b) | 1 | 51.21 | 2.26 | 27.26 | 1.36 | 15.18 | 1.80 | 25.84 | 3.03 | 2.11 |
| UCE-1 (Allosteric) (b) | 1 | 46.93 | 1.70 | 27.96 | 0.22 | 17.77 | 0.73 | 26.64 | 0.91 | 0.89 |
| UCE-2 (Allosteric) (b) | 1 | 60.80 | 2.36 | 29.53 | 2.27 | 24.61 | 1.22 | 31.77 | 2.16 | 2.00 |
| 2 | 57.56 | 1.48 | 23.81 | 0.72 | 25.68 | 1.61 | 28.80 | 1.26 | 1.27 | |
| 3 | 56.57 | 1.21 | 27.01 | 1.58 | 23.44 | 0.79 | 27.79 | 0.96 | 1.14 | |
| Target | Conformer | MM-PBSA Component | ΔG of Binding | ||||||
|---|---|---|---|---|---|---|---|---|---|
| VDWAALS | EEL | EPB | ENPOLAR | EDISPER | ΔG Gas | ΔG Solv | |||
| PGFS | 1 | −26.81 | −8.70 | 19.75 | −20.47 | 34.45 | −35.51 | 33.73 | −1.78 |
| 2 | −23.22 | −6.78 | 18.11 | −17.95 | 31.13 | −30.00 | 31.30 | 1.29 | |
| AKR | 1 | −35.42 | −16.38 | 30.94 | −26.84 | 42.96 | −51.81 | 47.07 | −4.74 |
| 2 | −35.46 | −6.28 | 21.80 | −27.15 | 44.13 | −41.74 | 38.78 | −2.96 | |
| 3 | −35.89 | −14.97 | 30.91 | −27.18 | 44.40 | −50.86 | 48.13 | −2.73 | |
| 4 | −35.49 | −14.97 | 31.93 | −26.99 | 43.63 | −50.46 | 48.57 | −1.89 | |
| CRK1 | 1 | −39.02 | −12.98 | 31.65 | −28.90 | 48.23 | −52.00 | 50.98 | −1.02 |
| 2 | −41.25 | −18.48 | 35.57 | −30.00 | 49.90 | −59.73 | 55.46 | −4.26 | |
| 3 | −38.32 | −12.72 | 32.55 | −28.05 | 47.09 | −51.05 | 51.59 | 0.55 | |
| CRK3 | 1 | −34.41 | −13.30 | 37.46 | −25.21 | 45.51 | −47.70 | 57.75 | 10.05 |
| 2 | −35.85 | −11.81 | 37.11 | −26.92 | 46.36 | −47.65 | 56.55 | 8.90 | |
| 3 | −30.46 | −6.27 | 24.34 | −21.98 | 40.79 | −36.73 | 43.16 | 6.43 | |
| CBS | 1 | −41.85 | −14.31 | 39.71 | −29.62 | 52.03 | −56.16 | 62.12 | 5.96 |
| 2 | −43.60 | −18.91 | 42.39 | −29.24 | 52.38 | −62.51 | 65.53 | 3.02 | |
| TOP2 | 1 | −52.25 | −20.66 | 47.10 | −34.06 | 59.24 | −72.91 | 72.28 | −0.63 |
| LGL | 1 | −34.52 | −37.75 | 50.92 | −29.54 | 48.32 | −72.27 | 69.70 | −2.57 |
| MetAP2 | 1 | −35.64 | −7.59 | 30.17 | −25.34 | 45.31 | −43.23 | 50.13 | 6.90 |
| 2 | −41.01 | −16.04 | 39.30 | −29.09 | 51.58 | −57.05 | 61.79 | 4.74 | |
| 3 | −41.68 | −25.67 | 43.35 | −30.00 | 53.26 | −67.35 | 66.60 | −0.75 | |
| MPK4 | 1 | −36.97 | −6.80 | 30.09 | −26.60 | 46.31 | −43.77 | 49.79 | 6.02 |
| SIR2 | 1 | −36.53 | −6.07 | 21.95 | −26.86 | 45.76 | −42.59 | 40.86 | −1.73 |
| 2 | −46.74 | −8.72 | 31.61 | −32.30 | 55.14 | −55.46 | 54.45 | −1.01 | |
| 3 | −47.25 | −7.09 | 29.33 | −32.61 | 55.42 | −54.33 | 52.14 | −2.20 | |
| PPIase | 1 | −27.05 | −4.07 | 15.06 | −21.34 | 35.67 | −31.13 | 29.40 | −1.73 |
| 2 | −26.16 | −4.95 | 16.80 | −20.33 | 34.49 | −31.11 | 30.96 | −0.15 | |
| MPK13 | 1 | −46.26 | −23.09 | 42.13 | −33.58 | 55.34 | −69.35 | 63.90 | −5.45 |
| 2 | −46.10 | −20.12 | 38.41 | −33.00 | 55.24 | −66.22 | 60.66 | −5.57 | |
| 3 | −45.34 | −19.69 | 38.34 | −32.83 | 55.02 | −65.03 | 60.53 | −4.50 | |
| PK-2 | 1 | −32.10 | −7.09 | 24.91 | −23.10 | 40.63 | −39.19 | 42.44 | 3.25 |
| 2 | −33.47 | −9.74 | 30.99 | −24.02 | 43.00 | −43.21 | 49.97 | 6.76 | |
| PK-3 | 1 | −42.66 | −13.34 | 37.95 | −29.44 | 50.88 | −55.99 | 59.39 | 3.40 |
| 2 | −38.93 | −11.23 | 39.12 | −28.07 | 49.97 | −50.17 | 61.02 | 10.85 | |
| GSK3B | 1 | −39.33 | −16.59 | 33.76 | −31.25 | 49.74 | −55.93 | 52.26 | −3.67 |
| 2 | −36.30 | −6.22 | 25.25 | −26.98 | 45.99 | −42.52 | 44.26 | 1.74 | |
| TUB-B | 1 | −47.14 | −6.78 | 31.54 | −32.26 | 55.49 | −53.92 | 54.77 | 0.85 |
| CS | 1 | −38.85 | −21.03 | 42.10 | −28.73 | 50.21 | −59.88 | 63.58 | 3.70 |
| UCE-1 | 1 | −30.01 | −5.49 | 21.02 | −21.13 | 36.14 | −35.51 | 36.04 | 0.53 |
| UCE-2 | 1 | −32.57 | −9.21 | 24.57 | −23.05 | 37.62 | −41.78 | 39.14 | −2.64 |
| UCE-1 (Allosteric) | 1 | −47.88 | −3.69 | 24.61 | −32.90 | 53.44 | −51.57 | 45.16 | −6.42 |
| UCE-2 (Allosteric) | 1 | −41.24 | −1.97 | 15.27 | −28.68 | 45.65 | −43.21 | 32.25 | −10.97 |
| 2 | −36.78 | −3.21 | 16.38 | −27.01 | 42.67 | −39.99 | 32.03 | −7.96 | |
| 3 | −40.42 | −3.17 | 16.67 | −28.61 | 45.09 | −43.59 | 33.16 | −10.43 | |
Disclaimer/Publisher’s Note: The statements, opinions and data contained in all publications are solely those of the individual author(s) and contributor(s) and not of MDPI and/or the editor(s). MDPI and/or the editor(s) disclaim responsibility for any injury to people or property resulting from any ideas, methods, instructions or products referred to in the content. |
© 2023 by the authors. Licensee MDPI, Basel, Switzerland. This article is an open access article distributed under the terms and conditions of the Creative Commons Attribution (CC BY) license (https://creativecommons.org/licenses/by/4.0/).
Share and Cite
Filho, C.S.M.B.; de Menezes, R.R.P.P.B.; Magalhães, E.P.; Castillo, Y.P.; Martins, A.M.C.; de Sousa, D.P. Piplartine-Inspired 3,4,5-Trimethoxycinnamates: Trypanocidal, Mechanism of Action, and In Silico Evaluation. Molecules 2023, 28, 4512. https://doi.org/10.3390/molecules28114512
Filho CSMB, de Menezes RRPPB, Magalhães EP, Castillo YP, Martins AMC, de Sousa DP. Piplartine-Inspired 3,4,5-Trimethoxycinnamates: Trypanocidal, Mechanism of Action, and In Silico Evaluation. Molecules. 2023; 28(11):4512. https://doi.org/10.3390/molecules28114512
Chicago/Turabian StyleFilho, Carlos S. M. B., Ramon R. P. P. B. de Menezes, Emanuel P. Magalhães, Yunierkis P. Castillo, Alice M. C. Martins, and Damião P. de Sousa. 2023. "Piplartine-Inspired 3,4,5-Trimethoxycinnamates: Trypanocidal, Mechanism of Action, and In Silico Evaluation" Molecules 28, no. 11: 4512. https://doi.org/10.3390/molecules28114512
APA StyleFilho, C. S. M. B., de Menezes, R. R. P. P. B., Magalhães, E. P., Castillo, Y. P., Martins, A. M. C., & de Sousa, D. P. (2023). Piplartine-Inspired 3,4,5-Trimethoxycinnamates: Trypanocidal, Mechanism of Action, and In Silico Evaluation. Molecules, 28(11), 4512. https://doi.org/10.3390/molecules28114512

