Design, Synthesis and Evaluation of New Multifunctional Benzothiazoles as Photoprotective, Antioxidant and Antiproliferative Agents
Abstract
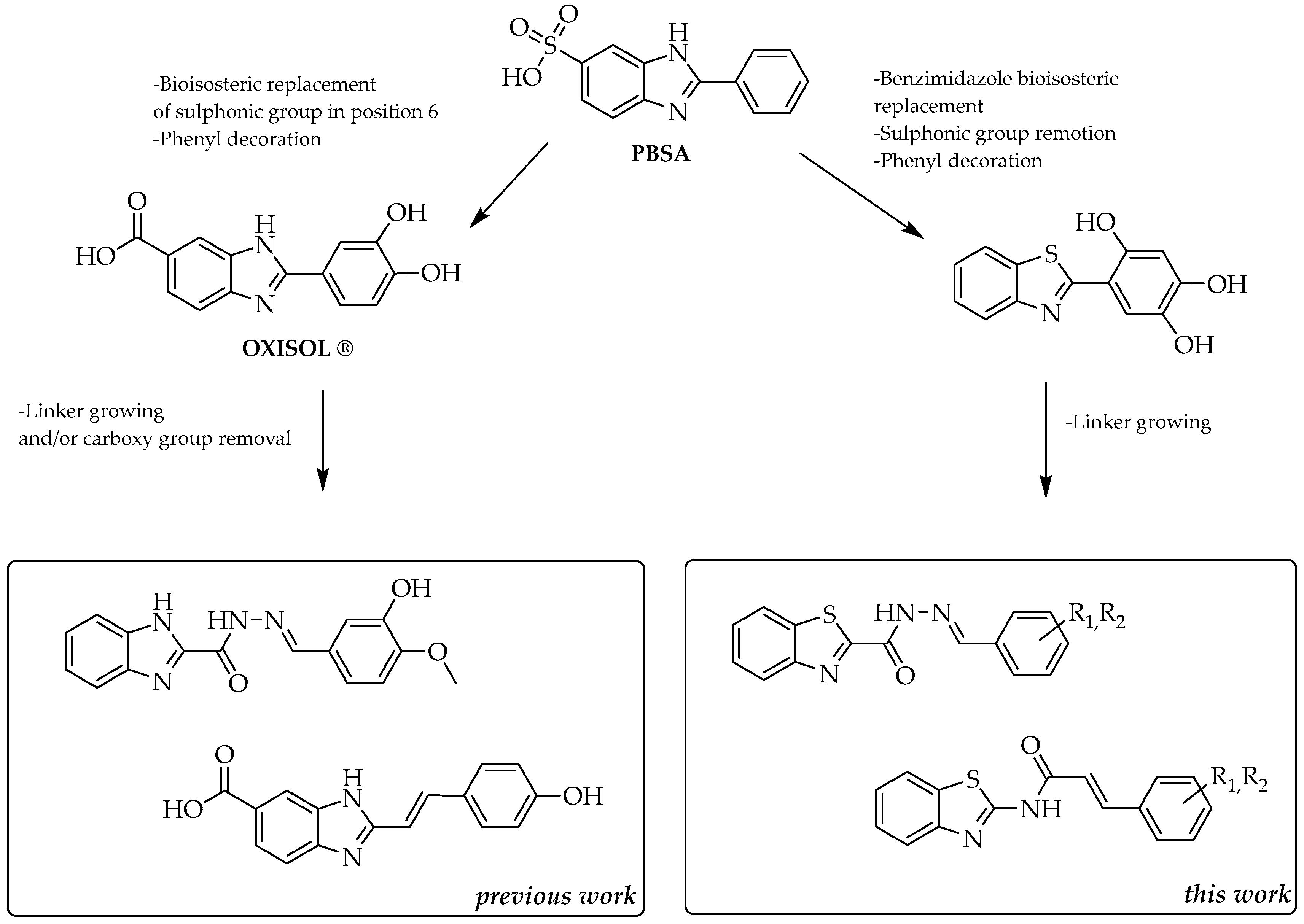
1. Introduction
2. Results and Discussion
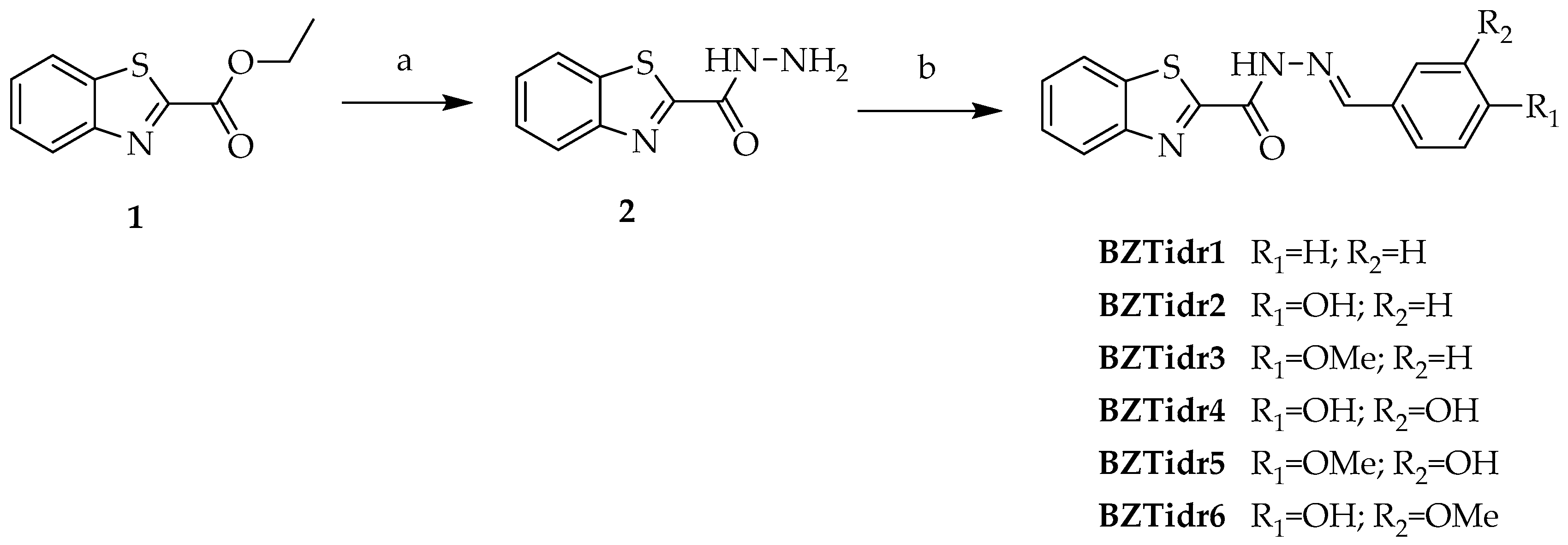
2.1. Chemistry
2.2. Antioxidant Profile
2.3. Evaluation of Filtering Properties
2.3.1. In Vitro Photoprotective Activity of Sunscreen Formulation Containing Benzothiazole Derivatives
2.3.2. Photostability Study
2.4. Antiproliferative Activity
2.5. Pro-Apoptotic Activity
3. Materials and Methods
3.1. General
3.2. Chemistry
3.2.1. Synthesis of Benzo[d]thiazole-2-carbohydrazide (2)
3.2.2. General Procedure for the Synthesis of Compounds BZTidr1–6
3.2.3. Chemical Properties of Compounds BZTidr1–6
3.2.4. General Procedure for the Synthesis of Compounds BZTcin1–5
3.2.5. Chemical Properties of Compounds BZTcin1–5
3.3. In Vitro Biological Assays
3.3.1. DPPH Test
3.3.2. FRAP Assay
3.3.3. Photo-Protection Activity
Evaluation of Filtering Parameters of Formulation
Photostability Study
3.3.4. Cell Growth Inhibition Assays
3.3.5. Pro-Apoptotic Activity (Annexin V Method)
4. Conclusions
Supplementary Materials
Author Contributions
Funding
Institutional Review Board Statement
Informed Consent Statement
Data Availability Statement
Conflicts of Interest
References
- Bansal, Y.; Silakari, O. Multifunctional compounds: Smart molecules for multifactorial diseases. Eur. J. Med. Chem. 2014, 76, 31–42. [Google Scholar] [CrossRef] [PubMed]
- Makhoba, X.H.; Viegas, J.C.; Mosa, R.A.; Viegas, F.P.D.; Pooe, O.J. Potential impacti of the multi-target drug approach in the treatment of some complex diseases. Drug Des. Devel. Ther. 2020, 14, 3235–3249. [Google Scholar] [CrossRef] [PubMed]
- Eisen, S.A.; Miller, D.K.; Woodward, R.S.; Spitznagel, E.; Przybeck, T.R. The effect of prescribed daily dose frequency on patient medication compliance. Arch. Intern. Med. 1990, 150, 1881–1884. [Google Scholar] [CrossRef] [PubMed]
- Keith, C.T.; Borisy, A.A.; Stockwell, B.R. Multicomponent therapeutics for networked systems. Nat. Rev. Drug Discov. 2005, 4, 71–78. [Google Scholar] [CrossRef]
- Hohl, C.M.; Dankoff, J.; Colacone, A.; Afilalo, M. Polypharmacy, adverse drug-related events, and potential adverse drug interactions in elderly patients presenting to an emergency department. Ann. Emerg. Med. 2001, 38, 666–671. [Google Scholar] [CrossRef]
- Morphy, R.; Kay, C.; Rankovic, Z. From magic bullets to designed multiple ligands. Drug Discov. Today 2004, 9, 641–651. [Google Scholar] [CrossRef]
- Reddy, A.S.; Zhang, S. Polypharmacology: Drug discovery for the future. Expert Rev. Clin. Pharmacol. 2013, 6, 41–47. [Google Scholar] [CrossRef]
- Medina-Franco, J.L.; Giulianotti, M.A.; Welmaker, G.S.; Houghten, R.A. Shifting from the single to the multitarget paradigm in drug discovery. Drug Discov. Today 2013, 18, 495–501. [Google Scholar] [CrossRef]
- Gordon, R. Skin cancer: An overview of epidemiology and risk factors. Semin. Oncol. Nurs. 2013, 29, 160–169. [Google Scholar] [CrossRef]
- World Health Organization (WHO). Skin Cancers. Available online: https://www.who.int/news-room/questions-and-answers/item/radiation-ultraviolet-(uv)-radiation-and-skin-cancer (accessed on 9 June 2022).
- Philips, N.; Siomyk, H.; Bynum, D.; Gonzales, S. Chapter 26—Skin cancer, Polyphenols and oxidative stress. In Cancer, “Oxidative Stress and Dietary Antioxidants”; Academic Press: London, UK, 2014; pp. 265–270. [Google Scholar]
- Sander, C.S.; Hamm, F.; Elsner, P.; Thiele, J.J. Oxidative stress in malignant melanoma and non-melanoma skin cancer. Br. J. Dermatol. 2003, 148, 913–922. [Google Scholar] [CrossRef]
- Nichols, J.A.; Katiyar, S.K. Skin photoprotection by natural polyphenols: Anti-inflammatory, antioxidant and DNA repair mechanisms. Arch. Dermatol. Res. 2010, 302, 71–83. [Google Scholar] [CrossRef] [PubMed]
- Sies, H.; Stahl, W. Nutritional protection against skin damage from sunlight. Annu. Rev. Nutr. 2004, 24, 173–200. [Google Scholar] [CrossRef] [PubMed]
- Baldisserotto, A.; Demurtas, M.; Lampronti, I.; Tacchini, M.; Moi, D.; Balboni, G.; Pacifico, S.; Vetuani, S.; Manfredini, S.; Onnis, V. Synthesis and evaluation of antioxidant and antiproliferative activity of 2-arylbenzimidazoles. Bioorg. Chem. 2020, 94, 103396. [Google Scholar] [CrossRef] [PubMed]
- Djuidje, E.N.; Sciabica, S.; Buzzi, R.; Dissette, V.; Balzarini, J.; Liekens, S.; Serra, E.; Andreotti, E.; Manfredini, S.; Vertuani, S.; et al. Design, synthesis and evaluation of benzothiazole derivatives as multifunctional agents. Bioorg. Chem. 2020, 101, 103960. [Google Scholar] [CrossRef]
- Djuidje, E.N.; Durini, E.; Sciabica, S.; Serra, E.; Balzarini, J.; Liekens, S.; Manfredini, S.; Vertuani, S.; Baldisserotto, A. Skin Damages—Structure Activity Relationship of Benzimidazole Derivatives Bearing a 5-Membered Ring System. Molecules 2020, 25, 4324. [Google Scholar] [CrossRef]
- Djuidje, E.N.; Barbari, R.; Baldisserotto, A.; Durini, E.; Sciabica, S.; Balzarini, J.; Liekens, S.; Vertuani, S.; Manfredini, S. Benzothiazole Derivatives as Multifunctional Antioxidant Agents for Skin Damage: Structure–Activity Relationship of a Scaffold Bearing a Five-Membered Ring System. Antioxidants 2022, 11, 407. [Google Scholar] [CrossRef]
- Onnis, V.; Demurtas, M.; Deplano, A.; Balboni, G.; Baldisserotto, A.; Manfredini, S.; Pacifico, S.; Liekens, S.; Balzarini, J. Design, Synthesis and Evaluation of Antiproliferative Activity of New Benzimidazolehydrazones. Molecules 2016, 21, 579. [Google Scholar] [CrossRef]
- Demurtas, M.; Baldisserotto, A.; Lampronti, I.; Moi, D.; Balboni, G.; Pacifico, S.; Vertuani, S.; Manfredini, S.; Onnis, V. Indole derivatives as multifunctional drugs: Synthesis and evaluation of antioxidant, photoprotective and antiproliferative activity of indole hydrazones. Bioorg. Chem. 2019, 85, 568–576. [Google Scholar] [CrossRef]
- Baldisserotto, A.; Demurtas, M.; Lampronti, I.; Tacchini, M.; Moi, D.; Balboni, G.; Vertuani, S.; Manfredini, S.; Onnis, V. In-vitro evaluation of antioxidant, antiproliferative and photo-protective activities of benzimidazole hydrazone derivatives. Pharmaceuticals 2020, 13, 68. [Google Scholar] [CrossRef]
- Brenner, M.; Hearing, V.J. The Protective Role of Melanin Against UV Damage in Human Skin. Photochem. Photobiol. 2008, 84, 539–549. [Google Scholar] [CrossRef]
- Sova, M. Antioxidant and Antimicrobial Activities of Cinnamic Acid Derivatives. Mini Rev. Med. Chem. 2012, 12, 749–767. [Google Scholar] [CrossRef] [PubMed]
- Lima, P.C.; Lima, L.M.; da Silva, K.C.M.; Leda, P.H.O.; de Miranda, A.L.P.; Fraga, C.A.M.; Eliezer, J.; Barreiro, E.J. Synthesis and analgesic activity of novel N-acylarylhydrazones and isosters, derived from natural safrole. Eur. J. Med. Chem. 2000, 35, 187–203. [Google Scholar] [CrossRef] [PubMed]
- Diffey, B.L.; Robson, J. A new substrate to measure sunscreen protection factors throughout the ultraviolet spectrum. J. Soc. Cosmet. Chem. 1989, 40, 127–133. [Google Scholar]
- US Food and Drug Administration. 21 CFR Parts 347 and 352, Sunscreen Drug Products for Over-the-Counter Human Use; Proposed Amendment of Final Monograph; US Food and Drug Administration: Silver Spring, MD, USA, 2007. Available online: https://www.fda.gov/OHRMS/DOCKETS/98fr/cd031.pdf (accessed on 25 April 2017).
- Garoli, D.; Pelizzo, M.G.; Bernardini, B.; Nicolosi, P.; Alaibac, M. Sunscreen tests: Correspondence between in vitro data and values reported by the manufacturers. J. Dermatol. Sci. 2008, 52, 193–204. [Google Scholar] [CrossRef] [PubMed]
- Hojerová, J.; Medovcíková, A.; Mikula, M. Photoprotective efficacy and photostability of fifteen sunscreen products having the same label SPF subjected to natural sunlight. Int. J. Pharm. 2011, 408, 27–38. [Google Scholar] [CrossRef]
- Indrayanto, G.; Putra, G.S.; Suhud, F. Validation of in-vitro bioassay methods: Application in herbal drug research. Profiles Drug Subst. Excip. Relat. Methodol. 2021, 46, 273–307. [Google Scholar]
- Rajeeva, B.; Srinivasulu, N.; Shantakumar, S.M. Synthesis and Antimicrobial Activity of Some New 2-Substituted Benzothiazole Derivatives. E-J. Chem. 2009, 6, 775–779. [Google Scholar] [CrossRef]
- Wang, M.; Li, J.; Rangarajan, M.; Shao, Y.; LaVoie, E.J.; Huang, T.-C.; Ho, C.-T. Antioxidative Phenolic Compounds from Sage (Salvia officinalis). J. Agric. Food Chem. 1998, 46, 4869–4873. [Google Scholar] [CrossRef]
- Benzie, I.F.F.; Strain, J.J. The ferric reducing ability of plasma as a measure of antioxidant power: The FRAP assay. Anal. Biochem. 1996, 239, 70–76. [Google Scholar] [CrossRef]
- Baldisserotto, A.; Demurtas, M.; Lampronti, I.; Moi, D.; Balboni, G.; Vertuani, S.; Manfredini, S.; Onnis, V. Benzofuran hydrazones as potential scaffold in the development of multifunctional drugs: Synthesis and evaluation of antioxidant, photoprotective and antiproliferative activity. Eur. J. Med. Chem. 2018, 156, 118–125. [Google Scholar] [CrossRef]
- Lampronti, I.; Martello, D.; Gambari, R.; Borgatti, M.; Lambertini, E.; Piva, R.; Jabbar, S.; Choudhuri, M.S.K.; Khan, M.T.H.; Gambari, R. In vitro antiproliferative effects on human tumor cell lines of extracts from the Bangladeshi medicinal plant Aegle marmelos Correa. Phytomedicine 2003, 10, 300–308. [Google Scholar] [CrossRef] [PubMed]
- Spagnoletti, A.; Guerrini, A.; Tacchini, M.; Vinciguerra, V.; Leone, C.; Maresca, I.; Simonetti, G.; Sacchetti, G.; Angiolella, L. Chemical Composition and Bio-efficacy of Essential Oils from Italian Aromatic Plants: Mentha suaveolens, Coridothymus capitatus, Origanum hirtum and Rosmarinus officinalis. Nat. Prod. Commun. 2016, 11, 1517–1520. [Google Scholar] [CrossRef] [PubMed]
- Scattolin, T.; Valente, G.; Luzietti, L.; Piva, M.; Demitri, N.; Lampronti, I.; Gambari, R.; Visentin, F. Synthesis and anticancer activity of Pt (0)-olefin complexes bearing 1, 3, 5-triaza-7-phosphaadamantane and N-heterocyclic carbene ligands. Appl. Organomet. Chem. 2021, 35, e6438. [Google Scholar] [CrossRef]
- Tupini, C.; Chilin, A.; Rossi, A.; De Fino, I.; Bragonzi, A.; D’Aversa, E.; Cosenza, L.C.; Vaccarin, C.; Sacchetti, G.; Borgatti, M.; et al. New TMA (4,6,4′-Trimethyl angelicin) Analogues as Anti-Inflammatory Agents in the Treatment of Cystic Fibrosis Lung Disease. Int. J. Mol. Sci. 2022, 23, 14483. [Google Scholar] [CrossRef]
- Zappaterra, F.; Tupini, C.; Summa, D.; Cristofori, V.; Costa, S.; Trapella, C.; Lampronti, I.; Tamburini, E. Xylitol as a Hydrophilization Moiety for a Biocatalytically Synthesized Ibuprofen Prodrug. Int. J. Mol. Sci. 2022, 23, 2026. [Google Scholar] [CrossRef]
- Lampronti, I.; Simoni, D.; Rondanin, R.; Baruchello, R.; Scapoli, C.; Finotti, A.; Borgatti, M.; Tupini, C.; Gambari, R. Pro-apoptotic activity of novel synthetic isoxazole derivatives exhibiting inhibitory activity against tumor cell growth in vitro. Oncol. Lett. 2020, 20, 151. [Google Scholar] [CrossRef]
- Scattolin, T.; Caligiuri, I.; Canovese, L.; Demitri, N.; Gambari, R.; Lampronti, I.; Rizzolio, F.; Santo, C.; Visentin, F. Synthesis of new allyl palladium complexes bearing purine-based NHC ligands with antiproliferative and proapoptotic activities on human ovarian cancer cell lines. Dalton Trans. 2018, 47, 13616–13630. [Google Scholar] [CrossRef]





| Compound | DPPH (% Inhibition) | DPPH IC50 (µg/mL) | FRAP (µmolTE/g) |
|---|---|---|---|
| Caffeic acid | 79.95 ± 0.88 | 5.26 ± 0.41 | 10,160.24 ± 21.48 |
| PBSA | <LOQ * | - | <LOQ * |
| BZTidr1 | 10.95 ± 0.12 | - | 282.16 ± 15.03 |
| BZTidr2 | 54.80 ± 1.63 | - | 1160.24 ± 17.34 |
| BZTidr3 | 24.25 ± 1.38 | - | 273.99 ± 10.12 |
| BZTidr4 | >90.00 | 3.27 ± 0.21 | 5506.15 ± 120.52 |
| BZTidr5 | 44.00 ± 3.56 | - | 1758.16 ± 60.41 |
| BZTidr6 | >90.00 | 26.22 ± 1.81 | 3826.51 ± 90.60 |
| BZTcin1 | 0.51 ± 0.27 | - | 98.69 ± 2.06 |
| BZTcin2 | 12.37 ± 0.00 | - | 43.73 ± 2.83 |
| BZTcin3 | 5.77 ± 0.00 | - | 42.12 ± 1.35 |
| BZTcin4 | >90.00 | 4.86 ± 0.38 | 4583.10 ± 22.68 |
| BZTcin5 | 40.15 ± 0.18 | - | 2043.33 ± 12.03 |
| Before Irradiation | Post Irradiation | |||||||
|---|---|---|---|---|---|---|---|---|
| Compound | SPF | UVAPF0 | λc (nm) | UVA/UVB | SPF | UVAPF | λc (nm) | UVA/UVB |
| PBSA | 1.91 | 1.13 | 357 | 0.67 | 1.98 | 1.13 | 355 | 0.67 |
| Control | 0.94 | 0.98 | 290 | 1.02 | 0.94 | 0.98 | 290 | 1.02 |
| BZTidr1 | 1.48 | 1.37 | 374 | 1.00 | 1.42 | 1.42 | 372 | 1.00 |
| BZTidr2 | 1.85 | 1.96 | 386 | 1.09 | 1.85 | 1.96 | 386 | 1.09 |
| BZTidr3 | 1.31 | 1.44 | 387 | 1.11 | 1.31 | 1.41 | 387 | 1.11 |
| BZTidr4 | 1.53 | 1.65 | 389 | 1.05 | 1.63 | 1.64 | 389 | 1.05 |
| BZTidr5 | 1.60 | 1.58 | 387 | 1.06 | 1.60 | 1.56 | 387 | 1.06 |
| BZTidr6 | 1.24 | 1.36 | 389 | 1.06 | 1.24 | 1.36 | 389 | 1.06 |
| BZTcin1 | 1.74 | 1.38 | 370 | 0.93 | 2.33 | 1.48 | 364 | 0.93 |
| BZTcin2 | 12.26 | 11.79 | 380 | 1.49 | 11.77 | 10.08 | 377 | 1.49 |
| BZTcin3 | 1.32 | 1.38 | 384 | 1.07 | 1.32 | 1.36 | 384 | 1.07 |
| BZTcin4 | 9.70 | 11.40 | 380 | 1.39 | 8.43 | 10.63 | 380 | 1.39 |
| BZTcin5 | 3.84 | 3.61 | 378 | 1.11 | 3.51 | 3.32 | 377 | 1.11 |
| IC50 (µM) | SI | ||
|---|---|---|---|
| Compound | HaCat | Colo-38 | Colo-38 |
| BZTidr2 | >100 | 92.61 ± 1.68 | 1.08 |
| BZTidr4 | >100 | 92.85 ± 1.62 | 1.08 |
| BZTcin2 | >100 | 35.18 ± 5.52 | 2.84 |
| BZTcin4 | 38.12 ± 5.13 | 8.31 ± 0.76 | 4.59 |
| BZTcin5 | 83.28 ± 5.79 | 10.00 ± 6.12 | 8.33 |
| HaCat Cell Line | |||
|---|---|---|---|
| Sample | Early Apoptosis (%) | Late Apoptosis (%) | Dead (%) |
| Vehicle (-) | 1.93 | 5.89 | 1.22 |
| BZTcin4 (5 µM) | 1.83 | 3.05 | 0.41 |
| BZTcin4 (10 µM) | 1.13 | 15.56 | 1.96 |
| BZTcin5 (50 µM) | 2.29 | 3.73 | 0.19 |
| BZTcin5 (100 µM) | 1.84 | 5.00 | 0.20 |
| Colo-38 Cell Line | |||
| Sample | Early Apoptosis (%) | Late Apoptosis (%) | Dead (%) |
| Vehicle (-) | 2.01 | 5.98 | 0.91 |
| BZTcin2 (5 µM) | 1.70 | 16.90 | 2.05 |
| BZTcin2 (50 µM) | 1.85 | 29.90 | 4.45 |
| BZTcin4 (5 µM) | 3.85 | 8.50 | 1.00 |
| BZTcin4 (10 µM) | 3.20 | 8.00 | 1.35 |
| BZTcin5 (10 µM) | 1.80 | 21.40 | 3.75 |
| BZTcin5 (50 µM) | 1.40 | 16.25 | 3.50 |
Disclaimer/Publisher’s Note: The statements, opinions and data contained in all publications are solely those of the individual author(s) and contributor(s) and not of MDPI and/or the editor(s). MDPI and/or the editor(s) disclaim responsibility for any injury to people or property resulting from any ideas, methods, instructions or products referred to in the content. |
© 2022 by the authors. Licensee MDPI, Basel, Switzerland. This article is an open access article distributed under the terms and conditions of the Creative Commons Attribution (CC BY) license (https://creativecommons.org/licenses/by/4.0/).
Share and Cite
Barbari, R.; Tupini, C.; Durini, E.; Gallerani, E.; Nicoli, F.; Lampronti, I.; Baldisserotto, A.; Manfredini, S. Design, Synthesis and Evaluation of New Multifunctional Benzothiazoles as Photoprotective, Antioxidant and Antiproliferative Agents. Molecules 2023, 28, 287. https://doi.org/10.3390/molecules28010287
Barbari R, Tupini C, Durini E, Gallerani E, Nicoli F, Lampronti I, Baldisserotto A, Manfredini S. Design, Synthesis and Evaluation of New Multifunctional Benzothiazoles as Photoprotective, Antioxidant and Antiproliferative Agents. Molecules. 2023; 28(1):287. https://doi.org/10.3390/molecules28010287
Chicago/Turabian StyleBarbari, Riccardo, Chiara Tupini, Elisa Durini, Eleonora Gallerani, Francesco Nicoli, Ilaria Lampronti, Anna Baldisserotto, and Stefano Manfredini. 2023. "Design, Synthesis and Evaluation of New Multifunctional Benzothiazoles as Photoprotective, Antioxidant and Antiproliferative Agents" Molecules 28, no. 1: 287. https://doi.org/10.3390/molecules28010287
APA StyleBarbari, R., Tupini, C., Durini, E., Gallerani, E., Nicoli, F., Lampronti, I., Baldisserotto, A., & Manfredini, S. (2023). Design, Synthesis and Evaluation of New Multifunctional Benzothiazoles as Photoprotective, Antioxidant and Antiproliferative Agents. Molecules, 28(1), 287. https://doi.org/10.3390/molecules28010287

