Discovery of 2′,6-Bis(4-hydroxybenzyl)-2-acetylcyclohexanone, a Novel FtsZ Inhibitor
Abstract
1. Introduction
2. Results and Discussion
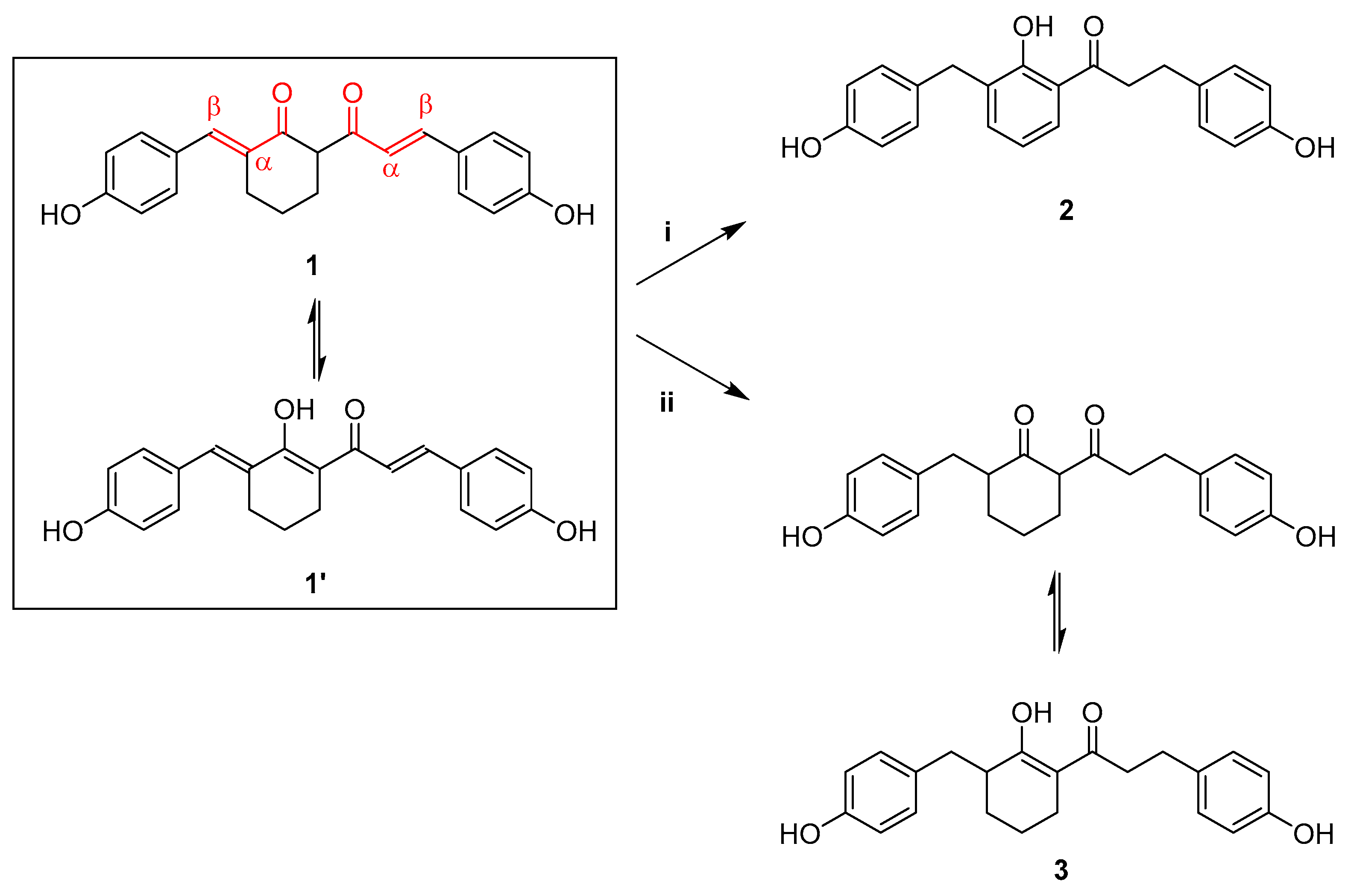
2.1. Chemistry
2.2. Biological Evaluation
2.2.1. Minimum Inhibitory Concentration (MIC) Testing of Phenol 2 and Cyclohexyl Enol 3 in Bacillus Subtilis and Streptococcus Pneumoniae
2.2.2. Compound 3 Affects the Bacterial Cell Division by Perturbing the Z-Ring, without Causing DNA or Membrane Damage
2.2.3. Compound 3 Binds to FtsZ with Strong Affinity
2.2.4. Compound 3 Inhibits FtsZ Polymerization and Induces FtsZ Aggregation
2.2.5. Compound 3 Does Not Affect Tubulin or Alkaline Phosphatase

2.3. Molecular Docking of Compound 3 in FtsZ
3. Materials and Methods
3.1. Chemistry
3.1.1. General Methods
3.1.2. 6-{(E)-4-Hydroxybenzylidene}-2-[{(E)-3-(4-hydroxyphenyl}acryloyl]cyclohexan-1-one 1 [10]
3.1.3. 2-(4-Hydroxybenzyl)-6-{3-(4-hydroxyphenyl)propanoyl}cyclohexan-1-one 2 [14]
3.1.4. 1-{2-Hydroxy-3-(4-hydroxybenzyl)phenyl}-3-(4-hydroxyphenyl)propan-1-one 3
3.2. Microbiology
3.2.1. Drug Solution
3.2.2. Determination of Minimum Inhibitory Concentration
3.2.3. Immunostaining for Z-Ring and Nucleoid
3.2.4. Membrane Staining
3.2.5. Scanning Electron Microscopy
3.2.6. Protein Purification
3.2.7. Binding of Compound 3 to SpnFtsZ
3.2.8. Light Scattering
3.2.9. Sedimentation Assay
3.2.10. Transmission Electron Microscopy
3.2.11. Atomic Force Microscopy
3.2.12. Tubulin Polymerization Assay
3.2.13. Evaluation of the Activity of Alkaline Phosphatase
3.2.14. Statistical Analyses
4. Conclusions
Supplementary Materials
Author Contributions
Funding
Data Availability Statement
Conflicts of Interest
Sample Availability
References
- Lock, R.L.; Harry, E.J. Cell-division inhibitors: New insights for future antibiotics. Nat. Rev. Drug Discov. 2008, 7, 324–338. [Google Scholar] [CrossRef] [PubMed]
- Errington, J.; Daniel, R.A.; Scheffers, D.J. Cytokinesis in bacteria. Microbiol. Mol. Biol. Rev. 2003, 67, 52–65. [Google Scholar] [CrossRef] [PubMed]
- Goehring, N.W.; Beckwith, J. Diverse paths to midcell: Assembly of the bacterial cell division machinery. Curr. Biol. 2005, 15, R514–R526. [Google Scholar] [CrossRef]
- Vicente, M.; Rico, A.I.; Martinez-Arteaga, R.; Mingorance, J. Septum enlightenment: Assembly of bacterial division proteins. J. Bacteriol. 2006, 188, 19–27. [Google Scholar] [CrossRef]
- Hirota, Y.; Ryter, A.; Jacob, F. Thermosenstive mutants of E. coli affected in processes of DNA synthesis and cellular division. Cold Spring Harbor Symp. Quant. Biol. 1968, 33, 677–693. [Google Scholar] [CrossRef] [PubMed]
- Walker, J.R.; Kovarik, A.; Allen, J.S.; Gustafson, R.A. Regulation of bacterial-cell division—Temperature-sensitive mutants of Escerichia colii that are deffective in septum formation. J. Bacteriol. 1975, 123, 693–703. [Google Scholar] [CrossRef]
- Panda, D.; Bhattacharya, D.; Gao, Q.H.; Oza, P.M.; Lin, H.J.; Hawkins, B.; Hibbs, D.E.; Groundwater, P.W. Identification of agents targeting FtsZ assembly. Fut. Med. Chem. 2016, 8, 1111–1132. [Google Scholar] [CrossRef]
- Andreu, J.M.; Huecas, S.; Araújo-Bazán, L.; Vázquez-Villa, H.; Martín-Fontecha, M. The Search for Antibacterial Inhibitors Targeting Cell Division Protein FtsZ at Its Nucleotide and Allosteric Binding Sites. Biomedicines 2022, 10, 1825. [Google Scholar] [CrossRef]
- Han, H.; Wang, Z.; Li, T.; Teng, D.; Mao, R.; Hao, Y.; Yang, N.; Wang, X.; Wang, J. Recent progress of bacterial FtsZ inhibitors with a focus on peptides. FEBS J. 2021, 288, 1091–1106. [Google Scholar] [CrossRef] [PubMed]
- Groundwater, P.W.; Narlawar, R.; Liao, V.W.; Bhattacharya, A.; Srivastava, S.; Kunal, K.; Doddareddy, M.; Oza, P.M.; Mamidi, R.; Marrs, E.C.; et al. A carbocyclic curcumin inhibits proliferation of Gram-positive bacteria by targeting FtsZ. Biochemistry 2017, 56, 514–524. [Google Scholar] [CrossRef]
- Baell, J.B.; Walters, M.A. Chemistry: Chemical con artists foil drug discovery. Nature 2014, 513, 481–483. [Google Scholar] [CrossRef] [PubMed]
- Nelson, K.M.; Dahlin, J.L.; Bisson, J.; Graham, J.; Pauli, G.F.; Walters, M.A. The Essential Medicinal Chemistry of Curcumin. J. Med. Chem. 2017, 60, 1620–1637. [Google Scholar] [CrossRef] [PubMed]
- Heger, M. Don’t discount all curcumin trial data. Nature 2017, 543, 40. [Google Scholar] [CrossRef] [PubMed]
- Wagner, C.E.; Marshall, P.A.; Cahill, T.M.; Mohamed, Z. Visually Following the Hydrogenation of Curcumin to Tetrahydrocurcumin in a Natural Product Experiment That Enhances Student Understanding of NMR Spectroscopy. J. Chem. Educ. 2013, 90, 930–933. [Google Scholar] [CrossRef]
- Allen, F.H.; Kennard, O.; Watson, D.G.; Brammer, L.; Orpen, A.G.; Taylor, R. Tables of bond lengths determined by X-ray and neutron diffraction. Part 1. Bond lengths in organic compounds. J. Chem. Soc. Perkin Trans. 1987, 2, S1–S19. [Google Scholar] [CrossRef]
- Sheldrick, G.M. Crystal structure refinement with SHELXL. Acta Crysta Sect. C 2015, 71, 3–8. [Google Scholar] [CrossRef]
- Eschinazi, H.E.; Bergmann, E.D. The Mechanism of Disproportionation of d-Limonene. J. Am. Chem. Soc. 1950, 72, 5651–5654. [Google Scholar] [CrossRef]
- Brieger, G.; Nestrick, T.J. Catalytic Transfer Hydrogenation. Chem. Rev. 1973, 74, 567–580. [Google Scholar] [CrossRef]
- Kindler, K.; Lührs, K. Studien über den mechanismus chemischer reaktionen, XXII. (Über hydrierungen und über spezifische hydrierungen mittels gebundenen wasserstoffs, VI). Hydrierungen mittels terpenen. Justus Liebigs Ann. Chem. 1965, 685, 36–48. [Google Scholar] [CrossRef]
- Haydon, D.J.; Stokes, N.R.; Ure, R.; Galbraith, G.; Bennett, J.M.; Brown, D.R.; Baker, P.J.; Barynin, V.V.; Rice, D.W.; Sedelnikova, S.E.; et al. An inhibitor of FtsZ with potent and selective anti-staphylococcal activity. Science 2008, 321, 1673–1675. [Google Scholar] [CrossRef]
- Maestro, v. 11.2.013. Schrödinger Maestro. Schrödinger, LLC: New York, NY, USA, 2017.
- Kuhn, B.; Gerber, P.; Schulz-Gasch, T.; Stahl, M. Validation and use of the MM-PBSA approach for drug discovery. J. Med. Chem. 2005, 48, 4040–4048. [Google Scholar] [CrossRef] [PubMed]
- Farrugia, L.J. WinGX suite for small-molecule single-crystal crystallography. J. Appl. Cryst. 1999, 32, 837–838. [Google Scholar] [CrossRef]
- Dolomanov, O.V.; Bourhis, L.J.; Gildea, R.J.; Howard, J.A.K.; Puschmann, H. OLEX2: A complete structure solution, refinement and analysis program. J. Appl. Cryst. 2009, 42, 339–341. [Google Scholar] [CrossRef]
- Wiegand, I.; Hilpert, K.; Hancock, R.E.W. Agar and broth dilution methods to determine the minimal inhibitory concentration (MIC) of antimicrobial substances. Nat. Protoc. 2008, 3, 163–175. [Google Scholar] [CrossRef] [PubMed]
- Beuria, T.K.; Santra, M.K.; Panda, D. Sanguinarine blocks cytokinesis in bacteria by inhibiting FtsZ assembly a bundling. Biochemistry 2005, 44, 16584–16593. [Google Scholar] [CrossRef] [PubMed]
- Blaauwen, T.D.; Buddelmeijer, N.; Aarsman, M.E.G.; Hameete, C.M.; Nanninga, N. Timing of FtsZ assembly in Escherichia coli. J. Bacteriol. 1999, 181, 5167–5175. [Google Scholar] [CrossRef]
- Pogliano, J.; Osborne, N.; Sharp, M.D.; De Mello, A.A.; Perez, A.; Sun, Y.L.; Pogliano, K. A vital stain for studying membrane dynamics in bacteria: A novel mechanism controlling septation during Bacillus subtilis sporulation. Mol. Microbiol. 1999, 31, 1149–1159. [Google Scholar] [CrossRef]
- Fadda, D.; Santona, A.; D’Ulisse, V.; Ghelardini, P.; Ennas, M.G.; Whalen, M.B.; Massidda, O. Streptococcus pneumoniae DivIVA: Localization and interactions in a MinCD-free context. J. Bacteriol. 2007, 189, 1288–1298. [Google Scholar] [CrossRef]
- Dhaked, H.P.S.; Ray, S.; Battaje, R.R.; Banerjee, A.; Panda, D. Regulation of Streptococcus pneumoniae FtsZ assembly by divalent cations: Paradoxical effects of Ca2+ on the nucleation and bundling of FtsZ polymers. FEBS J. 2019, 286, 3629–3646. [Google Scholar] [CrossRef]
- Gupta, K.; Panda, D. Perturbation of microtubule polymerization by quercetin through tubulin binding: A novel mechanism of its antiproliferative activity. Biochemistry 2002, 41, 13029–13038. [Google Scholar] [CrossRef]
- Bradford, M.M. A rapid and sensitive method for the quantitation of microgram quantities of protein utilizing the principle of protein-dye binding. Anal. Biochem. 1976, 72, 248–254. [Google Scholar] [CrossRef]
- Singh, P.; Jindal, B.; Surolia, A.; Panda, D. A Rhodanine Derivative CCR-11 Inhibits Bacterial Proliferation by Inhibiting the Assembly and GTPase Activity of FtsZ. Biochemistry 2012, 51, 5434–5442. [Google Scholar] [CrossRef] [PubMed]
- Wenzel, M.; Celik Gulsoy, I.N.; Gao, Y.; Teng, Z.; Willemse, J.; Middelkamp, M.; van Rosmalen, M.G.M.; Larsen, P.W.B.; van der Wel, N.N.; Wuite, G.J.L.; et al. Control of septum thickness by the curvature of SepF polymers. Proc. Natl. Acad. Sci. USA 2021, 118, e2002635118. [Google Scholar] [CrossRef] [PubMed]
- Mingorance, J.; Tadros, M.; Vicente, M.; González, J.M.; Rivas, G.; Vélez, M. Visualization of single Escherichia coli FtsZ filament dynamics with atomic force microscopy. J. Biol. Chem. 2005, 280, 20909–20914. [Google Scholar] [CrossRef]
- Liao, V.W.Y.; Kumari, A.; Narlawar, R.; Vignarajan, S.; Hibbs, D.E.; Panda, D.; Groundwater, P.W. Tubulin-Binding 3,5-Bis(styryl)pyrazoles as Lead Compounds for the Treatment of Castration-Resistant Prostate Cancer. Mol. Pharmacol. 2020, 97, 409–422. [Google Scholar] [CrossRef]
- Cillóniz, C.; Garcia-Vidal, C.; Ceccato, A.; Torres, A. Antimicrobial resistance among Streptococcus pneumoniae. In Antimicrobial Resistance in the 21st Century; Fong, I.W., Shlaes, D., Drlica, K., Eds.; Springer: Cham, Switzerland, 2018; ISBN 978-3-319-78537-0. [Google Scholar]











| MM-GBSA ΔG Binding Energy (kcal/mol) | Ligand Strain Energy (kcal/mol) | Receptor Strain Energy (kcal/mol) | |
|---|---|---|---|
| Compound 3 | −56.53 | 9.43 | 13.38 |
| PC190723 4 | −71.39 | 2.42 | 7.71 |
Publisher’s Note: MDPI stays neutral with regard to jurisdictional claims in published maps and institutional affiliations. |
© 2022 by the authors. Licensee MDPI, Basel, Switzerland. This article is an open access article distributed under the terms and conditions of the Creative Commons Attribution (CC BY) license (https://creativecommons.org/licenses/by/4.0/).
Share and Cite
Lin, H.-Y.J.; Battaje, R.R.; Tan, J.; Doddareddy, M.; Dhaked, H.P.S.; Srivastava, S.; Hawkins, B.A.; Al-Shdifat, L.M.H.; Hibbs, D.E.; Panda, D.; et al. Discovery of 2′,6-Bis(4-hydroxybenzyl)-2-acetylcyclohexanone, a Novel FtsZ Inhibitor. Molecules 2022, 27, 6993. https://doi.org/10.3390/molecules27206993
Lin H-YJ, Battaje RR, Tan J, Doddareddy M, Dhaked HPS, Srivastava S, Hawkins BA, Al-Shdifat LMH, Hibbs DE, Panda D, et al. Discovery of 2′,6-Bis(4-hydroxybenzyl)-2-acetylcyclohexanone, a Novel FtsZ Inhibitor. Molecules. 2022; 27(20):6993. https://doi.org/10.3390/molecules27206993
Chicago/Turabian StyleLin, Hsuan-Yu J., Rachana Rao Battaje, Jinlong Tan, Munikumar Doddareddy, Hemendra Pal Singh Dhaked, Shalini Srivastava, Bryson A. Hawkins, Laith Mohammad Hilal Al-Shdifat, David E. Hibbs, Dulal Panda, and et al. 2022. "Discovery of 2′,6-Bis(4-hydroxybenzyl)-2-acetylcyclohexanone, a Novel FtsZ Inhibitor" Molecules 27, no. 20: 6993. https://doi.org/10.3390/molecules27206993
APA StyleLin, H.-Y. J., Battaje, R. R., Tan, J., Doddareddy, M., Dhaked, H. P. S., Srivastava, S., Hawkins, B. A., Al-Shdifat, L. M. H., Hibbs, D. E., Panda, D., & Groundwater, P. W. (2022). Discovery of 2′,6-Bis(4-hydroxybenzyl)-2-acetylcyclohexanone, a Novel FtsZ Inhibitor. Molecules, 27(20), 6993. https://doi.org/10.3390/molecules27206993

