Identification of p-Coumaric Acid and Ethyl p-Coumarate as the Main Phenolic Components of Hemp (Cannabis sativa L.) Roots
Abstract
:1. Introduction
2. Materials and Methods
2.1. Reagents
2.2. Preparation of the Total Extract of Hemp Roots and Its Solvent Fractions
2.3. High-Performance Liquid Chromatography with Photodiode Array Detection (HPLC-DAD)
2.4. Isolation of a Phenolic Compound from the MC Fraction
2.5. Nuclear Magnetic Resonance (NMR) Spectroscopy
2.6. Chemical Synthesis of Ethyl p-Coumarate
2.7. Ultraviolet (UV) Spectroscopy
2.8. Statistical Analysis
3. Results
3.1. Preparation of the Total Extract of Hemp Roots and Its Solvent Fractions
3.2. Identification of p-Coumaric Acid Contained in the EA Fraction
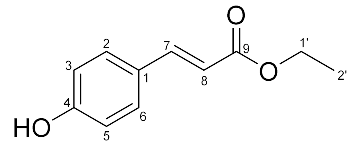
3.3. Isolation and Identification of Ethyl p-Coumarate Contained in the MC Fraction
3.4. Chemical Synthesis of Ethyl p-Coumarate
3.5. UV Absorption Spectra of the Hemp Root Extract and Its Components
3.6. Content of p-Coumaric Acid and Ethyl p-Coumarate in the Hemp Root Extract and Its Solvent Fractions
4. Discussion
Author Contributions
Funding
Institutional Review Board Statement
Informed Consent Statement
Data Availability Statement
Conflicts of Interest
References
- Bonini, S.A.; Premoli, M.; Tambaro, S.; Kumar, A.; Maccarinelli, G.; Memo, M.; Mastinu, A. Cannabis sativa: A comprehensive ethnopharmacological review of a medicinal plant with a long history. J. Ethnopharmacol. 2018, 227, 300–315. [Google Scholar] [CrossRef] [PubMed]
- Andre, C.M.; Hausman, J.F.; Guerriero, G. Cannabis sativa: The Plant of the Thousand and One Molecules. Front. Plant Sci. 2016, 7, 19. [Google Scholar] [CrossRef] [PubMed] [Green Version]
- Schilling, S.; Melzer, R.; McCabe, P.F. Cannabis sativa . Curr. Biol. 2020, 30, R8–R9. [Google Scholar] [CrossRef] [PubMed]
- Russo, E.; Guy, G.W. A tale of two cannabinoids: The therapeutic rationale for combining tetrahydrocannabinol and cannabidiol. Med. Hypotheses 2006, 66, 234–246. [Google Scholar] [CrossRef] [PubMed]
- Malfait, A.M.; Gallily, R.; Sumariwalla, P.F.; Malik, A.S.; Andreakos, E.; Mechoulam, R.; Feldmann, M. The nonpsychoactive cannabis constituent cannabidiol is an oral anti-arthritic therapeutic in murine collagen-induced arthritis. Proc. Natl. Acad. Sci. USA 2000, 97, 9561–9566. [Google Scholar] [CrossRef] [Green Version]
- Crini, G.; Lichtfouse, E.; Chanet, G.; Morin-Crini, N. Applications of hemp in textiles, paper industry, insulation and building materials, horticulture, animal nutrition, food and beverages, nutraceuticals, cosmetics and hygiene, medicine, agrochemistry, energy production and environment: A review. Environ. Chem. Lett. 2020, 18, 1451–1476. [Google Scholar] [CrossRef]
- Vandepitte, K.; Vasile, S.; Vermeire, S.; Vanderhoeven, M.; van der Borght, W.; Latre, J.; De Raeve, A.; Troch, V. Hemp (Cannabis sativa L.) for high-value textile applications: The effective long fiber yield and quality of different hemp varieties, processed using industrial flax equipment. Ind. Crops Prod. 2020, 158, 112969. [Google Scholar] [CrossRef]
- Naithani, V.; Tyagi, P.; Jameel, H.; Lucia, L.A.; Pal, L. Ecofriendly and Innovative Processing of Hemp Hurds Fibers for Tissue and Towel Paper. Bioresources 2020, 15, 706–720. [Google Scholar] [CrossRef]
- Pargar, F.; Talukdar, S.; Pal, K.; Zanotti, C. Hemp Waste Valorization as Biofuel and Cement Replacement in Cement and Concrete Production. Waste Biomass Valoriz. 2021, 12, 913–923. [Google Scholar] [CrossRef]
- Callaway, J.C. Hempseed as a nutritional resource: An overview. Euphytica 2004, 140, 65–72. [Google Scholar] [CrossRef]
- Nigro, E.; Crescente, G.; Formato, M.; Pecoraro, M.T.; Mallardo, M.; Piccolella, S.; Daniele, A.; Pacifico, S. Hempseed Lignanamides Rich-Fraction: Chemical Investigation and Cytotoxicity towards U-87 Glioblastoma Cells. Molecules 2020, 25, 1049. [Google Scholar] [CrossRef] [PubMed] [Green Version]
- Smeriglio, A.; Galati, E.M.; Monforte, M.T.; Lanuzza, F.; D’Angelo, V.; Circosta, C. Polyphenolic Compounds and Antioxidant Activity of Cold-Pressed Seed Oil from Finola Cultivar of Cannabis sativa L. Phytother. Res. 2016, 30, 1298–1307. [Google Scholar] [CrossRef] [PubMed]
- Ryz, N.R.; Remillard, D.J.; Russo, E.B. Cannabis Roots: A Traditional Therapy with Future Potential for Treating Inflammation and Pain. Cannabis Cannabinoid Res. 2017, 2, 210–216. [Google Scholar] [CrossRef] [PubMed]
- Lima, K.S.B.; Silva, M.E.G.D.; Araujo, T.C.D.; Silva, C.P.D.; Santos, B.L.; Ribeiro, L.A.D.; Menezes, P.M.N.; Silva, M.G.; Lavor, E.M.; Silva, F.S.; et al. Cannabis roots: Pharmacological and toxicological studies in mice. J. Ethnopharmacol. 2021, 271, 113868. [Google Scholar] [CrossRef]
- Menezes, P.M.N.; Pereira, E.C.V.; Lima, K.S.B.; da Silva, B.A.O.; Brito, M.C.; Araujo, T.C.D.; Neto, J.A.; Ribeiro, L.A.D.; Silva, F.S.; Rolim, L.A. Chemical Analysis by LC-MS of Cannabis sativa Root Samples from Northeast Brazil and Evaluation of Antitussive and Expectorant Activities. Planta Med. 2021, 88. [Google Scholar] [CrossRef]
- Sethi, V.K.; Jain, M.P.; Thakur, R.S. Chemical Investigation of Wild Cannabis-Sativa L Roots. Planta Med. 1977, 32, 378–379. [Google Scholar] [CrossRef]
- Slatkin, D.J.; Doorenbos, N.J.; Harris, L.S.; Masoud, A.N.; Quimby, M.W.; Schiff, P.L. Chemical Constituents of Cannabis sativa L. Root. J. Pharm. Sci. 1971, 60, 1891. [Google Scholar] [CrossRef]
- Elhendawy, M.A.; Wanas, A.S.; Radwan, M.M.; Azzaz, N.A.; Toson, E.S.; ElSohly, M.A. Chemical and Biological Studies of Cannabis sativa Roots. Med. Cannabis Cannabinoids 2019, 1, 104–111. [Google Scholar] [CrossRef]
- Gul, W.; Gul, S.W.; Chandra, S.; Lata, H.; Ibrahim, E.A.; ElSohly, M.A. Detection and Quantification of Cannabinoids in Extracts of Cannabis sativa Roots Using LC-MS/MS. Planta Med. 2018, 84, 267–271. [Google Scholar] [CrossRef]
- Kornpointner, C.; Martinez, A.S.; Marinovic, S.; Haselmair-Gosch, C.; Jamnik, P.; Schro, K.; Lo, C.; Halbwirth, H. Chemical composition and antioxidant potential of Cannabis sativa L. roots. Ind. Crops Prod. 2021, 165, 113422. [Google Scholar] [CrossRef]
- Ha, J.W.; Boo, Y.C. Siegesbeckiae Herba Extract and Chlorogenic Acid Ameliorate the Death of HaCaT Keratinocytes Exposed to Airborne Particulate Matter by Mitigating Oxidative Stress. Antioxidants 2021, 10, 1762. [Google Scholar] [CrossRef] [PubMed]
- Lopes, S.P.; Yepes, L.M.; Perez-Castillo, Y.; Robledo, S.M.; de Sousa, D.P. Alkyl and Aryl Derivatives Based on p-Coumaric Acid Modification and Inhibitory Action against Leishmania braziliensis and Plasmodium falciparum. Molecules 2020, 25, 3178. [Google Scholar] [CrossRef] [PubMed]
- Izzo, L.; Castaldo, L.; Narvaez, A.; Graziani, G.; Gaspari, A.; Rodriguez-Carrasco, Y.; Ritieni, A. Analysis of Phenolic Compounds in Commercial Cannabis sativa L. Inflorescences Using UHPLC-Q-Orbitrap HRMS. Molecules 2020, 25, 631. [Google Scholar] [CrossRef] [PubMed] [Green Version]
- Jin, D.; Henry, P.; Shan, J.; Chen, J. Identification of Chemotypic Markers in Three Chemotype Categories of Cannabis Using Secondary Metabolites Profiled in Inflorescences, Leaves, Stem Bark, and Roots. Front. Plant Sci. 2021, 12, 699530. [Google Scholar] [CrossRef] [PubMed]
- Jin, D.; Dai, K.P.; Xie, Z.; Chen, J. Secondary Metabolites Profiled in Cannabis Inflorescences, Leaves, Stem Barks, and Roots for Medicinal Purposes. Sci. Rep. 2020, 10, 3309. [Google Scholar] [CrossRef] [PubMed]
- Boz, H. p-Coumaric acid in cereals: Presence, antioxidant and antimicrobial effects. Int. J. Food Sci. Technol. 2015, 50, 2323–2328. [Google Scholar] [CrossRef]
- Pei, K.; Ou, J.; Huang, J.; Ou, S. p-Coumaric acid and its conjugates: Dietary sources, pharmacokinetic properties and biological activities. J. Sci. Food Agric. 2016, 96, 2952–2962. [Google Scholar] [CrossRef]
- Kilic, I.; Yesiloglu, Y. Spectroscopic studies on the antioxidant activity of p-coumaric acid. Spectrochim. Acta A Mol. Biomol. Spectrosc. 2013, 115, 719–724. [Google Scholar] [CrossRef]
- Lee, S.J.; Mun, G.I.; An, S.M.; Boo, Y.C. Evidence for the association of peroxidases with the antioxidant effect of p-coumaric acid in endothelial cells exposed to high glucose plus arachidonic acid. BMB Rep. 2009, 42, 561–567. [Google Scholar] [CrossRef] [Green Version]
- Seok, J.K.; Boo, Y.C. p-Coumaric Acid Attenuates UVB-Induced Release of Stratifin from Keratinocytes and Indirectly Regulates Matrix Metalloproteinase 1 Release from Fibroblasts. Korean J. Physiol. Pharmacol. 2015, 19, 241–247. [Google Scholar] [CrossRef] [Green Version]
- Lee, S.I.; An, S.M.; Mun, G.I.; Lee, S.J.; Park, K.M.; Park, S.H.; Boo, Y.C. Protective effect of Sasa quelpaertensis and p-coumaric acid on ethanol-induced hepatotoxicity in mice. J. Appl. Biol. Chem. 2008, 51, 148–154. [Google Scholar] [CrossRef] [Green Version]
- Song, K.; Boo, Y.C. UVB shielding Effects of para-Coumaric acid. J. Soc. Cosmet. Sci. Korea 2012, 38, 263–273. [Google Scholar]
- An, S.M.; Lee, S.I.; Choi, S.W.; Moon, S.W.; Boo, Y.C. p-coumaric acid, a constituent of Sasa quelpaertensis Nakai, inhibits cellular melanogenesis stimulated by alpha-melanocyte stimulating hormone. Br. J. Dermatol. 2008, 159, 292–299. [Google Scholar] [CrossRef] [PubMed]
- An, S.M.; Koh, J.S.; Boo, Y.C. p-coumaric acid not only inhibits human tyrosinase activity in vitro but also melanogenesis in cells exposed to UVB. Phytother. Res. 2010, 24, 1175–1180. [Google Scholar] [CrossRef]
- Song, K.; An, S.M.; Kim, M.; Koh, J.S.; Boo, Y.C. Comparison of the antimelanogenic effects of p-coumaric acid and its methyl ester and their skin permeabilities. J. Dermatol. Sci. 2011, 63, 17–22. [Google Scholar] [CrossRef]
- Seo, Y.K.; Kim, S.J.; Boo, Y.C.; Baek, J.H.; Lee, S.H.; Koh, J.S. Effects of p-coumaric acid on erythema and pigmentation of human skin exposed to ultraviolet radiation. Clin. Exp. Dermatol. 2011, 36, 260–266. [Google Scholar] [CrossRef]
- Boo, Y.C. p-Coumaric Acid as an Active Ingredient in Cosmetics: A Review Focusing on its Antimelanogenic Effects. Antioxidants 2019, 8, 275. [Google Scholar] [CrossRef] [Green Version]
- Li, W.S.; Yuan, S.Z.; Sun, J.; Li, Q.Q.; Jiang, W.B.; Cao, J.K. Ethyl p-coumarate exerts antifungal activity in vitro and in vivo against fruit Alternaria alternata via membrane-targeted mechanism. Int. J. Food Microbiol. 2018, 278, 26–35. [Google Scholar] [CrossRef]
- Lima, A.C.M.; Silva, I.S.; Sousa, F.B.M.; de Souza, L.K.M.; Gomes, B.D.; Goncalves, R.L.G.; de Rezende, D.C.; Cunha, F.V.M.; Wong, D.V.T.; Lima, R.C.P.; et al. Inhibition of neutrophil migration and reduction of oxidative stress by ethyl p-coumarate in acute and chronic inflammatory models. Phytomedicine 2019, 57, 9–17. [Google Scholar]
- Li, L.; Cai, Y.; Sun, X.; Du, X.; Jiang, Z.; Ni, H.; Yang, Y.; Chen, F. Tyrosinase inhibition by p-coumaric acid ethyl ester identified from camellia pollen. Food Sci. Nutr. 2021, 9, 389–400. [Google Scholar] [CrossRef]




![]() | |||
| Position | δH Multiplicity (J Hz) | δC Multiplicity | HMBC |
| 1 | - | 127.0 s | - |
| 2 | 7.42 d (8.4) | 130.0 d | 1, 3, 4, 5, 6, 7 |
| 3 | 6.86 d (8.4) | 115.9 d | 1, 4, 5 |
| 4 | - | 158.0 s | - |
| 5 | 6.86 d (8.4) | 115.9 d | 1, 3, 4 |
| 6 | 7.42 d (8.4) | 130.0 d | 1, 2, 3, 4, 5, 7 |
| 7 | 7.64 d (16.1) | 144.7 d | 1, 2, 6, 8, 9 |
| 8 | 6.30 d (16.1) | 115.4 d | 1, 9 |
| 9 | - | 167.9 s | - |
| 1′ | 4.27 q (7.0) | 60.6 t | 2′, 9 |
| 2′ | 1.34 t (7.0) | 14.3 q | 1′ |
| Samples | Content (mg g−1) | |
|---|---|---|
| p-Coumaric Acid | Ethyl p-Coumarate | |
| Total extract | 2.61 ± 0.18 b | 6.47 ± 0.95 b |
| MC fraction | 0.46 ± 0.20 b | 17.25 ± 3.04 a |
| EA fraction | 83.37 ± 2.44 a | 3.32 ± 0.29 c |
| WT fraction | 1.66 ± 0.09 b | 0 ± 0 d |
Publisher’s Note: MDPI stays neutral with regard to jurisdictional claims in published maps and institutional affiliations. |
© 2022 by the authors. Licensee MDPI, Basel, Switzerland. This article is an open access article distributed under the terms and conditions of the Creative Commons Attribution (CC BY) license (https://creativecommons.org/licenses/by/4.0/).
Share and Cite
Oh, C.M.; Choi, J.Y.; Bae, I.A.; Kim, H.T.; Hong, S.S.; Noah, J.K.; Boo, Y.C. Identification of p-Coumaric Acid and Ethyl p-Coumarate as the Main Phenolic Components of Hemp (Cannabis sativa L.) Roots. Molecules 2022, 27, 2781. https://doi.org/10.3390/molecules27092781
Oh CM, Choi JY, Bae IA, Kim HT, Hong SS, Noah JK, Boo YC. Identification of p-Coumaric Acid and Ethyl p-Coumarate as the Main Phenolic Components of Hemp (Cannabis sativa L.) Roots. Molecules. 2022; 27(9):2781. https://doi.org/10.3390/molecules27092781
Chicago/Turabian StyleOh, Chang Min, Joon Yong Choi, In Ah Bae, Hong Taek Kim, Seong Su Hong, Jay Kyun Noah, and Yong Chool Boo. 2022. "Identification of p-Coumaric Acid and Ethyl p-Coumarate as the Main Phenolic Components of Hemp (Cannabis sativa L.) Roots" Molecules 27, no. 9: 2781. https://doi.org/10.3390/molecules27092781
APA StyleOh, C. M., Choi, J. Y., Bae, I. A., Kim, H. T., Hong, S. S., Noah, J. K., & Boo, Y. C. (2022). Identification of p-Coumaric Acid and Ethyl p-Coumarate as the Main Phenolic Components of Hemp (Cannabis sativa L.) Roots. Molecules, 27(9), 2781. https://doi.org/10.3390/molecules27092781


