In Vitro Bioaccessibility of Bioactive Compounds from Rosehip-Enriched Corn Extrudates
Abstract
1. Introduction
2. Results
2.1. Physical, Textural, and Optical Properties of Mixtures and Corn Extrudates
2.2. Nutritional Characteristics of Mixtures and Corn Extrudates
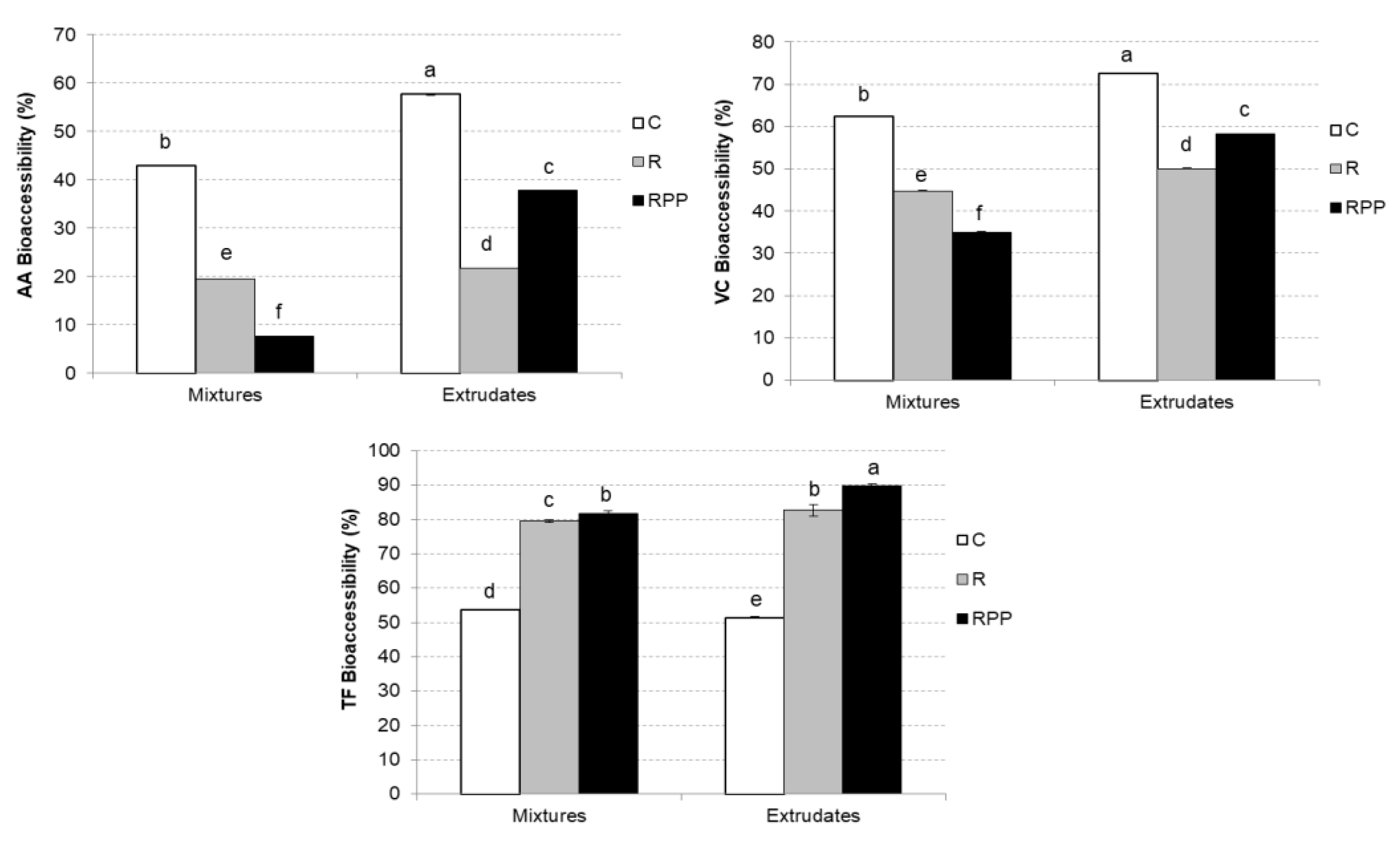
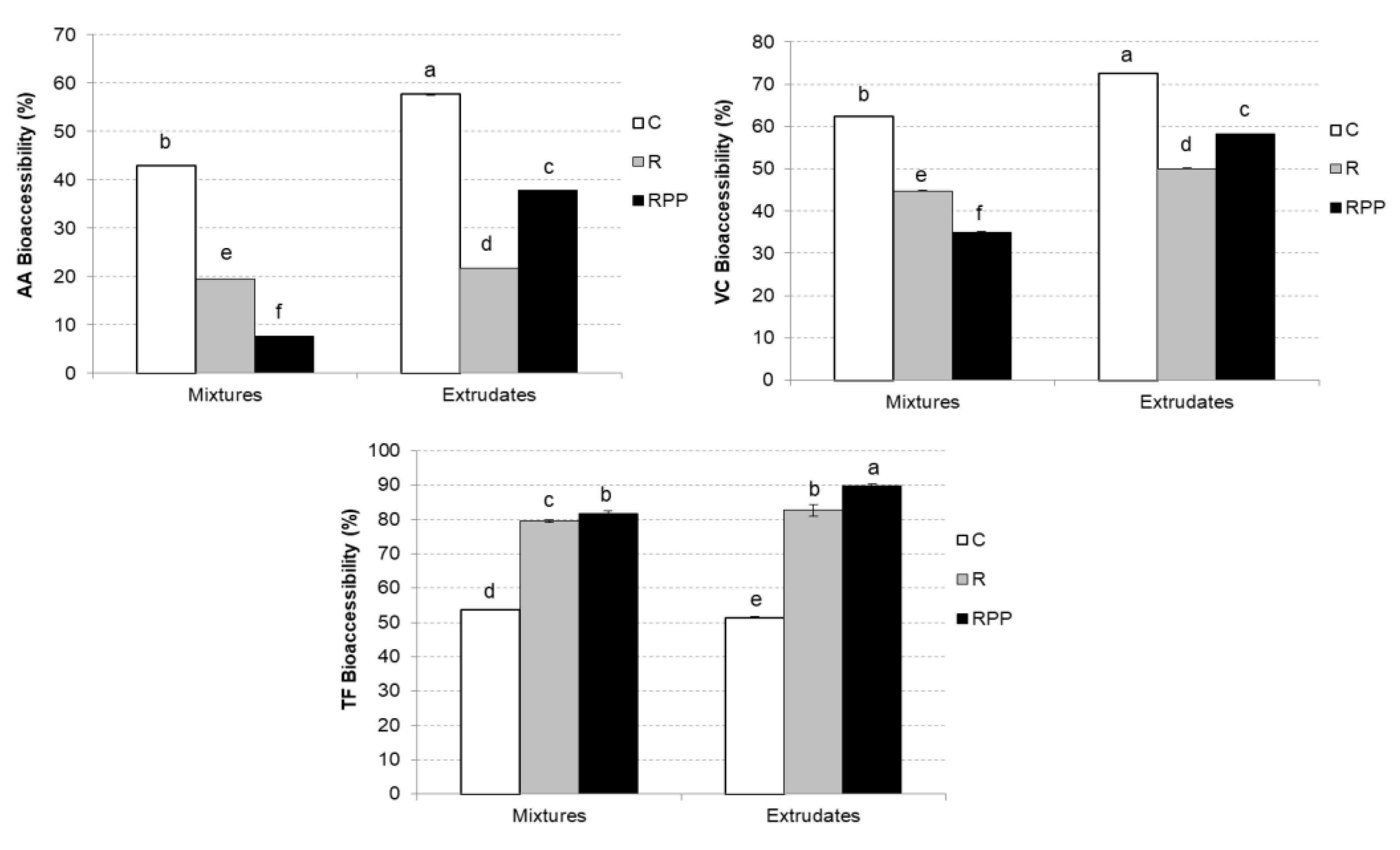
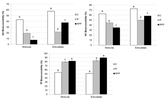
2.3. Nutritional Characteristics of Extrudates after In Vitro Extrusion
3. Discussion
4. Materials and Methods
4.1. Raw Materials and Reagents
4.2. Rosehip Powder Manufacturing
4.3. Extrusion Process and Sample Manufacturing
4.4. Physico-Chemical Mixtures’ and Extrudates’ Analysis
4.4.1. Physical, Textural, and Optical Properties of Mixtures and Corn Extrudates
Water Activity, Content, Hygroscopicity, and Expansion Index (SEI)
Porosity (ε), Bulk Density Extrudates, and Water Loss
Water Absorption Index, Water Solubility Index, Swelling Index, and Specific Mechanical Energy
Extrudates’ Texture Parameters
Optical Properties
4.4.2. Nutritional Characteristics of Mixtures and Corn Extrudates and In Vitro Digestion
Ascorbic Acid and Vitamin C Content
Total Folate Content (TF)
Total Carotenoids (TC), Total Phenols (TP), and Antioxidant Capacity (AC)
In Vitro Extrudates’ Digestion
4.4.3. Statistical Analysis
5. Conclusions
Author Contributions
Funding
Institutional Review Board Statement
Informed Consent Statement
Data Availability Statement
Conflicts of Interest
Sample Availability
References
- Igual, M.; Chiş, M.S.; Păucean, A.; Vodnar, D.C.; Muste, S.; Man, S.; Martínez-Monzó, J.; García-Segovia, P. Valorization of rose hip (Rosa canina) puree co-product in enriched corn extrudates. Foods 2021, 10, 2787. [Google Scholar] [CrossRef] [PubMed]
- Sánchez-Sánchez, E.; Díaz-Jimenez, J.; Rosety, I.; Alférez, M.J.M.; Díaz, A.J.; Rosety, M.A.; Ordonez, F.J.; Rosety-Rodriguez, M. Perceived stress and increased food consumption during the ‘third wave’ of the covid-19 pandemic in Spain. Nutrients 2021, 13, 2380. [Google Scholar] [CrossRef] [PubMed]
- Janssen, M.; Chang, B.P.I.; Hristov, H.; Pravst, I.; Profeta, A.; Millard, J. Changes in Food Consumption During the COVID-19 Pandemic: Analysis of Consumer Survey Data from the First Lockdown Period in Denmark, Germany, and Slovenia. Front. Nutr. 2021, 8, 635859. [Google Scholar] [CrossRef] [PubMed]
- Grasso, S. Extruded snacks from industrial by-products: A review. Trends Food Sci. Technol. 2020, 99, 284–294. [Google Scholar] [CrossRef]
- Ciudad-Mulero, M.; Vega, E.N.; García-Herrera, P.; Pedrosa, M.M.; Arribas, C.; Berrios, J.D.J.; Cámara, M.; Fernández-Ruiz, V.; Morales, P. Extrusion Cooking Effect on Carbohydrate Fraction in Novel Gluten-Free Flours Based on Chickpea and Rice. Molecules 2022, 27, 1143. [Google Scholar] [CrossRef] [PubMed]
- Kesre, C.; Masatcioglu, M.T. Physical characteristics of corn extrudates supplemented with red lentil bran. Lwt 2022, 153, 112530. [Google Scholar] [CrossRef]
- Rolandelli, G.; García-Navarro, Y.T.; García-Pinilla, S.; Farroni, A.E.; Gutiérrez-López, G.F.; Buera, M.D.P. Microstructural characteristics and physical properties of corn-based extrudates affected by the addition of millet, sorghum, quinoa and canary seed flour. Food Struct. 2020, 25, 100140. [Google Scholar] [CrossRef]
- Gwirtz, J.A.; Garcia-Casal, M.N. Processing maize flour and corn meal food products. Ann. N. Y. Acad. Sci. 2014, 1312, 66–75. [Google Scholar] [CrossRef] [PubMed]
- Igual, M.; Simona, M.; Adriana, P.; Vodnar, D.C.; Mih, T.; Török, A.I.; Anca, F.; Monzó, J.M. Effect on Nutritional and Functional Characteristics by Encapsulating Rose canina Powder in Enriched Corn Extrudates. Foods 2021, 10, 2401. [Google Scholar] [CrossRef]
- Igual, M.; Chiş, M.S.; Socaci, S.A.; Vodnar, D.C.; Ranga, F.; Martínez-Monzó, J.; García-Segovia, P. Effect of Medicago sativa Addition on Physicochemical, Nutritional and Functional Characteristics of Corn Extrudates. Foods 2021, 10, 928. [Google Scholar] [CrossRef]
- Da Silva, E.M.M.; Ascheri, J.L.R.; Carvalho, C.W.P.d.; Takeiti, C.Y.; Berrios, J.d.J. Physical characteristics of extrudates from corn flour and dehulled carioca bean flour blend. LWT—Food Sci. Technol. 2014, 58, 620–626. [Google Scholar] [CrossRef][Green Version]
- Kordrostami, F.; Attarod, P.; Abbaspour, K.C.; Ludwig, R.; Etemad, V.; Alilou, H.; Bozorg-Haddad, O. Identification of optimum afforestation areas considering sustainable management of natural resources, using geo-environmental criteria. Ecol. Eng. 2021, 168, 106259. [Google Scholar] [CrossRef]
- Arslan, E.S.; Akyol, A.; Örücü, Ö.K.; Sarıkaya, A.G. Distribution of rose hip (Rosa canina L.) under current and future climate conditions. Reg. Environ. Chang. 2020, 20, 1–13. [Google Scholar] [CrossRef]
- Fattahi, A.; Niyazi, F.; Shahbazi, B.; Farzaei, M.H.; Bahrami, G. Antidiabetic Mechanisms of Rosa canina Fruits: An In Vitro Evaluation. J. Evid. Based Complement. Altern. Med. 2017, 22, 127–133. [Google Scholar] [CrossRef] [PubMed]
- Bahrami, G.; Miraghaee, S.S.; Mohammadi, B.; Bahrami, M.T.; Taheripak, G.; Keshavarzi, S.; Babaei, A.; Sajadimajd, S.; Hatami, R. Molecular mechanism of the anti-diabetic activity of an identified oligosaccharide from Rosa canina. Res. Pharm. Sci. 2020, 15, 36–47. [Google Scholar] [CrossRef] [PubMed]
- Lattanzio, F.; Greco, E.; Carretta, D.; Cervellati, R.; Govoni, P.; Speroni, E. In vivo anti-inflammatory effect of Rosa canina L. extract. J. Ethnopharmacol. 2011, 137, 880–885. [Google Scholar] [CrossRef] [PubMed]
- Turan, I.; Demir, S.; Kilinc, K.; Yaman, S.O.; Misir, S.; Kara, H.; Genc, B.; Mentese, A.; Aliyazicioglu, Y.; Deger, O. Cytotoxic effect of Rosa canina extract on human colon cancer cells through repression of telomerase expression. J. Pharm. Anal. 2018, 8, 394–399. [Google Scholar] [CrossRef] [PubMed]
- Herrera-Cazares, L.A.; Luzardo-Ocampo, I.; Ramírez-Jiménez, A.K.; Gutiérrez-Uribe, J.A.; Campos-Vega, R.; Gaytán-Martínez, M. Influence of extrusion process on the release of phenolic compounds from mango (Mangifera indica L.) bagasse-added confections and evaluation of their bioaccessibility, intestinal permeability, and antioxidant capacity. Food Res. Int. 2021, 148, 110591. [Google Scholar] [CrossRef] [PubMed]
- Costantini, S.; Sabovics, M.; Galoburda, R.; Kince, T.; Straumite, E.; Summo, C.; Pasqualone, A. Effect of Die Configuration on the Physico-Chemical Properties, Anti-Nutritional Compounds, and Sensory Features of Legume-Based Extruded Snacks. Foods 2021, 10, 3015. [Google Scholar] [CrossRef] [PubMed]
- Patil, R.T.; De Berrios, J.J.; Tang, J.; Pan, J.; Swanson, B. Physical characteristics of food extrudates—A review. In 2005 ASAE Annual Meeting; American Society of Agricultural and Biological Engineers: Saint Joseph, MI, USA, 2005; p. 056166. [Google Scholar] [CrossRef]
- Karkle, E.L.; Keller, L.; Dogan, H.; Alavi, S. Matrix transformation in fiber-added extruded products: Impact of different hydration regimens on texture, microstructure and digestibility. J. Food Eng. 2012, 108, 171–182. [Google Scholar] [CrossRef]
- Singh, N.; Smith, A.C. A comparison of wheat starch, whole wheat meal and oat flour in the extrusion cooking process. J. Food Eng. 1997, 34, 15–32. [Google Scholar] [CrossRef]
- Ribeiro, L.; Cunha, L.M.; García-Segovia, P.; Martínez-Monzó, J.; Igual, M. Effect of the house cricket (Acheta domesticus) inclusion and process temperature on extrudate snack properties. J. Insects 2021, 7, 1117–1129. [Google Scholar] [CrossRef]
- García-Segovia, P.; Igual, M.; Noguerol, A.T.; Martínez-Monzó, J. Use of insects and pea powder as alternative protein and mineral sources in extruded snacks. Eur. Food Res. Technol. 2020, 246, 703–712. [Google Scholar] [CrossRef]
- Alam, M.R.; Scampicchio, M.; Angeli, S.; Ferrentino, G. Effect of hot melt extrusion on physical and functional properties of insect based extruded products. J. Food Eng. 2019, 259, 44–51. [Google Scholar] [CrossRef]
- Gümüşay, Ö.A.; Şeker, M.; Sadıkoğlu, H. Response surface methodology for evaluation of the effects of screw speed, feed moisture and xanthan gum level on functional and physical properties of corn half products. LWT 2019, 111, 622–631. [Google Scholar] [CrossRef]
- Uribe-Wandurraga, Z.N.; Igual, M.; García-Segovia, P.; Martínez-Monzó, J. In vitro bioaccessibility of minerals from microalgae-enriched cookies. Food Funct. 2020, 11, 2186–2194. [Google Scholar] [CrossRef]
- Dogan, H.; Karwe, M.V. Physicochemical Properties of Quinoa Extrudates. Food Sci. Technol. Int. 2003, 9, 101–114. [Google Scholar] [CrossRef]
- Igual, M.; Cebadera, L.; Cámara, R.M.A.; Agudelo, C.; Martínez-Navarrete, N.; Cámara, M. Novel ingredients based on grapefruit freeze-dried formulations: Nutritional and bioactive value. Foods 2019, 8, 506. [Google Scholar] [CrossRef] [PubMed]
- Anton, A.A.; Gary Fulcher, R.; Arntfield, S.D. Physical and nutritional impact of fortification of corn starch-based extruded snacks with common bean (Phaseolus vulgaris L.) flour: Effects of bean addition and extrusion cooking. Food Chem. 2009, 113, 989–996. [Google Scholar] [CrossRef]
- Pasqualone, A.; Costantini, M.; Coldea, T.E.; Summo, C. Use of Legumes in Extrusion Cooking: A Review. Foods 2020, 9, 958. [Google Scholar] [CrossRef] [PubMed]
- Corrales-Bañuelos, A.B.; Cuevas-Rodríguez, E.O.; Gutiérrez-Uribe, J.A.; Milán-Noris, E.M.; Reyes-Moreno, C.; Milán-Carrillo, J.; Mora-Rochín, S. Carotenoid composition and antioxidant activity of tortillas elaborated from pigmented maize landrace by traditional nixtamalization or lime cooking extrusion process. J. Cereal Sci. 2016, 69, 64–70. [Google Scholar] [CrossRef]
- Cueto, M.; Farroni, A.; Schoenlechner, R.; Schleining, G.; Buera, P. Carotenoid and color changes in traditionally flaked and extruded products. Food Chem. 2017, 229, 640–645. [Google Scholar] [CrossRef]
- Brennan, C.; Brennan, M.; Derbyshire, E.; Tiwari, B.K. Effects of extrusion on the polyphenols, vitamins and antioxidant activity of foods. Trends Food Sci. Technol. 2011, 22, 570–575. [Google Scholar] [CrossRef]
- Leonard, W.; Zhang, P.; Ying, D.; Xiong, Y.; Fang, Z. Extrusion improves the phenolic profile and biological activities of hempseed (Cannabis sativa L.) hull. Food Chem. 2021, 346, 128606. [Google Scholar] [CrossRef] [PubMed]
- Salazar Lopez, N.J.; Loarca-Piña, G.; Campos-Vega, R.; Gaytán Martínez, M.; Morales Sánchez, E.; Esquerra-Brauer, J.M.; Gonzalez-Aguilar, G.A.; Robles Sánchez, M. The Extrusion Process as an Alternative for Improving the Biological Potential of Sorghum Bran: Phenolic Compounds and Antiradical and Anti-Inflammatory Capacity. Evid. Based Complement. Altern. Med. 2016, 2016, 8387975. [Google Scholar] [CrossRef]
- Eur-Lex. Council Directive of 24 September 1990 on nutrition labeling for foodstuffs, (90/496/EEC). Off. J. Eur. Commun. 2007, 276, 40–44. [Google Scholar]
- Eur-Lex. Regulation (EC) No 1924/2006 of The European Parliament and of The Council of 20 December 2006 on nutrition and health claims made on foods. Off. J. Eur. Union 2006, 404, 9–25. [Google Scholar]
- Boisen, S.; Fernández, J.A. Prediction of the total tract digestibility of energy in feedstuffs and pig diets by in vitro analyses. Anim. Feed Sci. Technol. 1997, 68, 277–286. [Google Scholar] [CrossRef]
- Larrea, M.A.; Chang, Y.K.; Martínez Bustos, F. Effect of some operational extrusion parameters on the constituents of orange pulp. Food Chem. 2005, 89, 301–308. [Google Scholar] [CrossRef]
- Jiangping, Y.; Xiuting, H.; Shunjing, L.; Wei, L.; Jun, C.; Zhiru, Z.; Chengmei, L. Properties of starch after extrusion: A review. Starch-Stärke 2017, 70, 1700110. [Google Scholar]
- Gulzar, B.; Hussain, S.Z.; Naseer, B.; Naik, H.R. Enhancement of resistant starch content in modified rice flour using extrusion technology. Cereal Chem. 2021, 98, 634–641. [Google Scholar] [CrossRef]
- Altan, A.; McCarthy, K.L.; Maskan, M. Effect of extrusion cooking on functional properties and in vitro starch digestibility of barley-based extrudates from fruit and vegetable by-products. J. Food Sci. 2009, 74, E77–E86. [Google Scholar] [CrossRef] [PubMed]
- Chen, Y.; Ma, Y.; Dong, L.; Jia, X.; Liu, L.; Huang, F.; Chi, J.; Xiao, J.; Zhang, M.; Zhang, R. Extrusion and fungal fermentation change the profile and antioxidant activity of free and bound phenolics in rice bran together with the phenolic bioaccessibility. LWT 2019, 115, 108461. [Google Scholar] [CrossRef]
- Melini, V.; Melini, F.; Acquistucci, R. Phenolic compounds and bioaccessibility thereof in functional pasta. Antioxidants 2020, 9, 343. [Google Scholar] [CrossRef] [PubMed]
- Chiş, M.S.; Păucean, A.; Man, S.M.; Vodnar, D.C.; Teleky, B.E.; Pop, C.R.; Stan, L.; Borsai, O.; Kadar, C.B.; Urcan, A.C.; et al. Quinoa sourdough fermented with lactobacillus plantarum ATCC 8014 designed for gluten-free muffins—A powerful tool to enhance bioactive compounds. Appl. Sci. 2020, 10, 7140. [Google Scholar] [CrossRef]
- Ruiz-Rico, M.; Pérez-Esteve, É.; Lerma-García, M.J.; Marcos, M.D.; Martínez-Máñez, R.; Barat, J.M. Protection of folic acid through encapsulation in mesoporous silica particles included in fruit juices. Food Chem. 2017, 218, 471–478. [Google Scholar] [CrossRef] [PubMed]
- Yaman, M.; Mızrak, Ö.F.; Çatak, J.; Sargın, H.S. In vitro bioaccessibility of added folic acid in commercially available baby foods formulated with milk and milk products. Food Sci. Biotechnol. 2019, 28, 1837–1844. [Google Scholar] [CrossRef] [PubMed]
- Zeng, Z.; Liu, C.; Luo, S.; Chen, J.; Gong, E. The profile and bioaccessibility of phenolic compounds in cereals influenced by improved extrusion cooking treatment. PLoS ONE 2016, 11, e0161086. [Google Scholar] [CrossRef] [PubMed]
- Yagci, S.; Calıskan, R.; Gunes, Z.S.; Capanoglu, E.; Tomas, M. Impact of tomato pomace powder added to extruded snacks on the in vitro gastrointestinal behaviour and stability of bioactive compounds. Food Chem. 2022, 368, 130847. [Google Scholar] [CrossRef]
- Liu, G.; Ying, D.; Guo, B.; Cheng, L.J.; May, B.; Bird, T.; Sanguansri, L.; Cao, Y.; Augustin, M. Extrusion of apple pomace increases antioxidant activity upon: In vitro digestion. Food Funct. 2019, 10, 951–963. [Google Scholar] [CrossRef]
- Yu, M.; Xiao, B.; Hao, X.; Tan, J.; Gu, J.; Wang, G.; Wang, W.; Zhang, Y. Pumpkin polysaccharide preparation, simulated gastrointestinal digestion, and in vivo biodistribution. Int. J. Biol. Macromol. 2019, 141, 1293–1303. [Google Scholar] [CrossRef] [PubMed]
- AOAC International. Official Methods of Analysis of Association of Official Analytical Chemists International. In Official Methods of Analysis of AOAC International; Horwitz, W., Latimer, G., Eds.; AOAC: Gaithersburg, MD, USA, 2006; ISBN 0935584773. [Google Scholar]
- Cai, Y.Z.; Corke, H. Production and Properties of Spray-dried Amaranthus Betacyanin Pigments. JFS 2000, 65, 1248–1252. [Google Scholar] [CrossRef]
- Robertson, J.A.; De Monredon, F.D.; Dysseler, P.; Guillon, F.; Amadò, R.; Thibault, J.F. Hydration properties of dietary fibre and resistant starch: A European collaborative study. LWT—Food Sci. Technol. 2000, 33, 72–79. [Google Scholar] [CrossRef]
- Onwulata, C.I.; Smith, P.W.; Konstance, R.P.; Holsinger, V.H. Incorporation of whey products in extruded corn, potato or rice snacks. Food Res. Int. 2001, 34, 679–687. [Google Scholar] [CrossRef]
- Logié, N.; Della Valle, G.; Rolland-Sabaté, A.; Descamps, N.; Soulestin, J. How does temperature govern mechanisms of starch changes during extrusion? Carbohydr. Polym. 2018, 184, 57–65. [Google Scholar] [CrossRef] [PubMed]
- Igual, M.; García-Segovia, P.; Martínez-Monzó, J. Effect of Acheta domesticus (house cricket) addition on protein content, colour, texture, and extrusion parameters of extruded products. J. Food Eng. 2020, 282, 110032. [Google Scholar] [CrossRef]
- Olives Barba, A.I.; Cámara Hurtado, M.; Sánchez Mata, M.C.; Fernández Ruiz, V.; López Sáenz De Tejada, M. Application of a UV-vis detection-HPLC method for a rapid determination of lycopene and β-carotene in vegetables. Food Chem. 2006, 95, 328–336. [Google Scholar] [CrossRef]
- Igual, M.; García-Martínez, E.; Camacho, M.M.; Martínez-Navarrete, N. Stability of micronutrients and phytochemicals of grapefruit jam as affected by the obtention process. Food Sci. Technol. Int. 2016, 22, 203–212. [Google Scholar] [CrossRef]
- Minekus, M.; Alminger, M.; Alvito, P.; Ballance, S.; Bohn, T.; Bourlieu, C.; Carrière, F.; Boutrou, R.; Corredig, M.; Dupont, D.; et al. A standardised static in vitro digestion method suitable for food-an international consensus. Food Funct. 2014, 5, 1113–1124. [Google Scholar] [CrossRef]
- Batista, A.P.; Niccolai, A.; Fradinho, P.; Fragoso, S.; Bursic, I.; Rodolfi, L.; Biondi, N.; Tredici, M.R.; Sousa, I.; Raymundo, A. Microalgae biomass as an alternative ingredient in cookies: Sensory, physical and chemical properties, antioxidant activity and in vitro digestibility. Algal Res. 2017, 26, 161–171. [Google Scholar] [CrossRef]
- Khouzam, R.B.; Pohl, P.; Lobinski, R. Bioaccessibility of essential elements from white cheese, bread, fruit and vegetables. Talanta 2011, 86, 425–428. [Google Scholar] [CrossRef] [PubMed]



| CM | RM | RPPM | |
|---|---|---|---|
| WL (gw/gdb) | 0.274 (0.012) b | 1.3 (0.5) a | 1.01 (0.14) a |
| SME (J/g) | 1099 (45) b | 1309 (34) a | 1074 (20) b |
| P (Pa) | 83 (3) c | 100 (16) b | 112 (10) a |
| T1 (°C) | 195.2 (0.8) b | 196.9 (0.3) a | 197.0 (0.2) a |
| T2 (°C) | 86.9 (0.6) c | 89.0 (0.7) b | 90.6 (0.5) a |
| CE | RE | RPPE | |
|---|---|---|---|
| xw (gw/100 g) | 3.45 (0.07) a | 1.7 (0.2) b | 1.866 (0.102) b |
| aw | 0.358 (0.003) a | 0.369 (0.003) b | 0.352 (0.003) d |
| WAI | 3.14 (0.14) b | 4.96 (0.16) a | 5.19 (0.14) a |
| WSI (%) | 22.9 (0.5) a | 19.0 (0.8) b | 9.4 (0.8) c |
| SWE (mLswollen/gdry solid) | 2.08 (0.07) b | 2.6 (0.3) ab | 2.9 (0.2) a |
| Hy (gw/100 gdry solid) | 23.0 (0.3) b | 26.3 (0.9) a | 24.3 (0.9) b |
| SEI | 13.7 (0.8) a | 12.9 (0.8) b | 10.6 (0.8) c |
| ρb (g/cm3) | 0.0873 (0.0009) a | 0.0784 (0.0004) c | 0.0838 (0.0008) b |
| ε (%) | 93.2 (0.2) a | 92.94 (0.06) a | 91.63 (0.04) b |
| Wc (N*mm) | 0.25 (0.03) a | 0.083 (0.019) c | 0.14 (0.02) b |
| Nsr (mm−1) | 10.15 (1.08) b | 13.54 (1.13) a | 14.2 (0.6) a |
| Fs (N) | 2.5 (0.2) a | 1.1 (0.3) c | 2.0 (0.3) b |
| Fp (N) | 2.01 (0.13) a | 0.9 (0.3) c | 1.7 (0.2) b |
| N0 | 109 (11) b | 135 (8) a | 134 (8) a |
| Mixtures | Extrudates | |||||
|---|---|---|---|---|---|---|
| CM | RM | RPPM | CE | RE | RPPE | |
| L* | 81.9 (0.2) aA | 72.9 (0.3) bA | 72.6 (0.3) bA | 50 (4) aB | 50 (2) aB | 52 (4) aB |
| a* | 5.07 (0.12) cA | 14.7 (0.4) aA | 11.9 (0.5) bA | 0.7 (0.4) bB | 6.9 (0.3) aB | 6.6 (0.9) aB |
| b* | 36.6 (1.4) cA | 39.3 (0.4) bA | 40.8 (0.6) aA | 16.07 (1.13) cB | 21.7 (0.9) aB | 20.2 (0.8) bB |
| C* | 37.0 (1.4) bA | 42.0 (0.5) aA | 42.5 (0.7) aA | 16.07 (1.14) bB | 22.80 (0.12) aB | 21.3 (0.9) aB |
| h* | 82.1 (0.2) aB | 69.5 (0.3) cB | 73.8 (0.4) bA | 87.7 (1.4) aA | 72.4 (0.3) bA | 72 (2) bA |
| ΔE1 | - | 13.5 (0.6) aA | 12.3 (0.7) bA | - | 8.72 (1.02) aB | 8.5 (1.7) aB |
| ΔE2 | - | - | - | 39 (3) a | 30 (2) b | 30 (3) b |
| Mixtures | Extrudates | Extrusion Loss (%) | |||||||
|---|---|---|---|---|---|---|---|---|---|
| CM | RM | RPPM | CE | RE | RPPE | CE | RE | RPPE | |
| AA | 5.576 (0.005) cA | 24.231 (0.008) bA | 30.637 (0.005) aA | 4.506 (0.007) cB | 12.50 (0.03) aB | 7.40 (0.02) bB | 19.19 (0.05) | 48.42 (0.09) b | 75.84 (0.07) a |
| VC | 20.47 (0.05) cA | 45.37 (0.05) bA | 56.81 (0.04) aA | 16.81 (0.04) cB | 35.67 (0.08) aB | 33.62 (0.03) bB | 17.866 (0.002) c | 21.39 (0.09) b | 40.818 (0.007) a |
| FT | 0.073 (0.004) cA | 0.703 (0.005) aA | 0.61 (0.02) bA | 0.068 (0.004) cB | 0.383 (0.006) bB | 0.506 (0.007) aB | 6.9 (0.5) c | 45.5 (0.4) a | 16.58 (1.05) b |
| TC | 3.75 (0.09) cA | 43.74 (0.14) aA | 22.73 (0.03) bA | 2.11 (0.06) cB | 7.85 (0.04) aB | 5.76 (0.02) bB | 44 (3) c | 82.05 (0.14) a | 74.68 (0.12) b |
| TP | 23.68 (1.15) cA | 334 (9) aA | 272 (3) bA | 14.4 (0.3) bB | 169.2 (0.7) aB | 169.3 (0.8) aB | 39 (2) b | 49.7 (1.5) a | 37.8 (0.5) b |
| AC | 1.73 (0.14) cA | 201 (2) aA | 64.7 (0.3) bA | n.d. bB | 14.01 (0.13) aB | 12.3 (1.3) aB | 100 (0) a | 93.06 (0.6) b | 81 (2) c |
| Mixtures | Extrudates | |||||
|---|---|---|---|---|---|---|
| CM | RM | RPPM | CE | RE | RPPE | |
| AA | 2.186 (0.005) cB | 4.346 (0.002) aA | 2.1429 (0.0012) bB | 2.511 (0.009) cA | 2.669 (0.003) bB | 2.751 (0.003) aA |
| VC | 11.70 (0.02) cA | 18.70 (0.04) aA | 18.38 (0.03) bB | 11.78 (0.02) cA | 17.555 (0.014) bB | 19.22 (0.03) aA |
| FT | 0.0356 (0.0002) cA | 0.514 (0.002) aA | 0.458 (0.004) bA | 0.0336 (0.0002) cB | 0.311 (0.007) bB | 0.446 (0.002) aB |
| TC | 0.62 (0.04) cA | 4.99 (0.03) aA | 4.43 (0.12) bA | 0.64 (0.09) bA | 3.85 (0.09) aB | 3.82 (0.03) aB |
| TP | 6 (2) cA | 180.6 (0.7) aA | 155 (8) bA | 6.4 (0.3) bA | 132 (4) aB | 128 (5) aB |
| AC | 0.89 (0.09) cA | 104.5 (1.4) aA | 44 (2) bA | n.d. bB | 9.7 (0.8) aB | 9.7 (0.2) aB |
Publisher’s Note: MDPI stays neutral with regard to jurisdictional claims in published maps and institutional affiliations. |
© 2022 by the authors. Licensee MDPI, Basel, Switzerland. This article is an open access article distributed under the terms and conditions of the Creative Commons Attribution (CC BY) license (https://creativecommons.org/licenses/by/4.0/).
Share and Cite
Igual, M.; Păucean, A.; Vodnar, D.C.; García-Segovia, P.; Martínez-Monzó, J.; Chiş, M.S. In Vitro Bioaccessibility of Bioactive Compounds from Rosehip-Enriched Corn Extrudates. Molecules 2022, 27, 1972. https://doi.org/10.3390/molecules27061972
Igual M, Păucean A, Vodnar DC, García-Segovia P, Martínez-Monzó J, Chiş MS. In Vitro Bioaccessibility of Bioactive Compounds from Rosehip-Enriched Corn Extrudates. Molecules. 2022; 27(6):1972. https://doi.org/10.3390/molecules27061972
Chicago/Turabian StyleIgual, Marta, Adriana Păucean, Dan Cristian Vodnar, Purificación García-Segovia, Javier Martínez-Monzó, and Maria Simona Chiş. 2022. "In Vitro Bioaccessibility of Bioactive Compounds from Rosehip-Enriched Corn Extrudates" Molecules 27, no. 6: 1972. https://doi.org/10.3390/molecules27061972
APA StyleIgual, M., Păucean, A., Vodnar, D. C., García-Segovia, P., Martínez-Monzó, J., & Chiş, M. S. (2022). In Vitro Bioaccessibility of Bioactive Compounds from Rosehip-Enriched Corn Extrudates. Molecules, 27(6), 1972. https://doi.org/10.3390/molecules27061972

