Rotational Spectrum and Conformational Analysis of Perillartine: Insights into the Structure–Sweetness Relationship
Abstract
:1. Introduction
2. Results and Discussion
2.1. Conformational Space
2.2. Rotational Spectrum and Conformational Identification
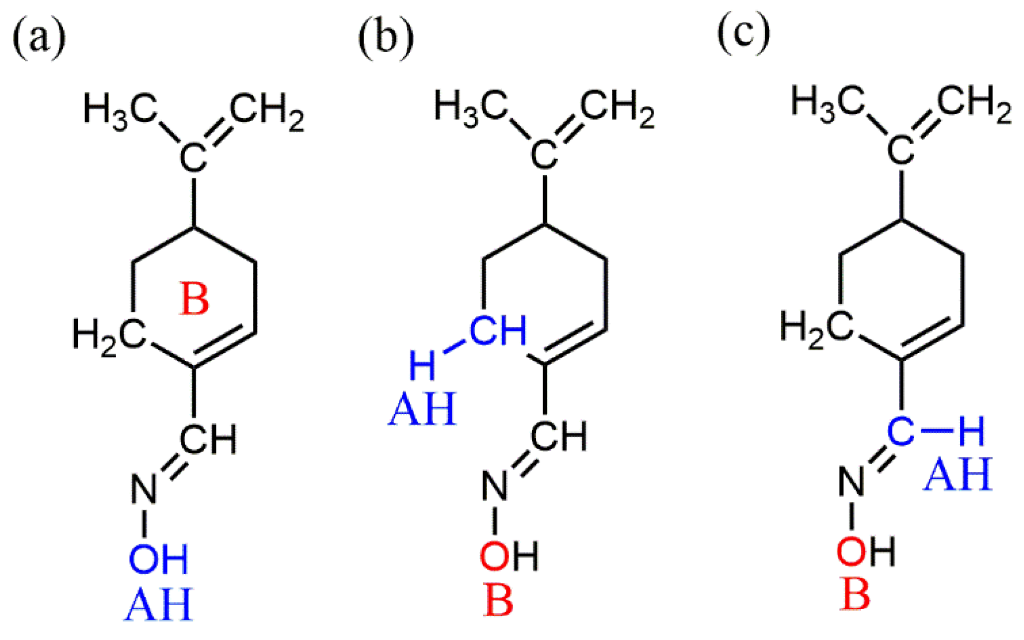
2.3. Perillartine and the Theory of Sweetness
3. Materials and Methods
4. Conclusions
Supplementary Materials
Author Contributions
Funding
Institutional Review Board Statement
Informed Consent Statement
Data Availability Statement
Conflicts of Interest
Sample Availability
References
- Kung, C. A possible unifying principle for mechanosensation. Nature 2005, 436, 647–654. [Google Scholar] [CrossRef] [PubMed]
- Khan, N.A.; Iqbal, J.; Siddiqui, R. Taste and Smell in Acanthamoeba Feeding. Acta Protozool. 2014, 53, 139–144. [Google Scholar] [CrossRef]
- Drewnowski, A.; Mennella, J.A.; Johnson, S.L.; Bellisle, F. Sweetness and Food Preference. J. Nutr. 2012, 1142–1148. [Google Scholar] [CrossRef] [PubMed] [Green Version]
- Mennella, J.A.; Bobowski, N.K. The sweetness and bitterness of childhood: Insights from basic research on taste preferences. Physiol. Behav. 2015, 152, 502–507. [Google Scholar] [CrossRef] [PubMed] [Green Version]
- Encyclopedia of Food Chemistry; Melton, L.; Shahidi, F.; Varelis, P. (Eds.) Elsevier: Amsterdam, The Netherlands, 2019; ISBN 978-0-12-814045-1. [Google Scholar]
- Johnson, R.K.; Appel, L.J.; Brands, M.; Howard, B.V.; Lefevre, M.; Lustig, R.H.; Sacks, F.; Steffen, L.M.; Wylie-Rosett, J. Dietary sugars intake and cardiovascular health a scientific statement from the american heart association. Circulation 2009, 120, 1011–1020. [Google Scholar] [CrossRef] [PubMed]
- Tedstone, A.; Targett, V.; Allen, R. Sugar Reduction: The Evidence for Action about Public Health England; Public Health England: London, UK, 2015.
- Carocho, M.; Morales, P.; Ferreira, I.C.F.R. Sweeteners as food additives in the XXI century: A review of what is known, and what is to come. Food Chem. Toxicol. 2017, 107, 302–317. [Google Scholar] [CrossRef] [PubMed]
- Shankar, P.; Ahuja, S.; Sriram, K. Non-nutritive sweeteners: Review and update. Nutrition 2013, 29, 1293–1299. [Google Scholar] [CrossRef]
- Morini, G.; Bassoli, A.; Temussi, P.A. From small sweeteners to sweet proteins: Anatomy of the binding sites of the human T1R2_T1R3 receptor. J. Med. Chem. 2005, 48, 5520–5529. [Google Scholar] [CrossRef] [PubMed]
- Nelson, G.; Hoon, M.A.; Chandrashekar, J.; Zhang, Y.; Ryba, N.J.P.; Zuker, C.S. Mammalian Sweet Taste Receptors insight to our understanding of chemosensory discrimi-of two novel families of G protein-coupled receptors Lastly, we show that the patterns of T1R expression. Cell 2001, 106, 381–390. [Google Scholar] [CrossRef] [Green Version]
- Zhao, G.Q.; Zhang, Y.; Hoon, M.A.; Chandrashekar, J.; Erlenbach, I.; Ryba, N.J.P.; Zuker, C.S. The receptors for mammalian sweet and umami taste. Cell 2003, 115, 255–266. [Google Scholar] [CrossRef] [Green Version]
- Li, X.; Staszewski, L.; Xu, H.; Durick, K.; Zoller, M.; Adler, E. Human receptors for sweet and umami taste. Proc. Natl. Acad. Sci. USA 2002, 99, 4692–4696. [Google Scholar] [CrossRef] [PubMed] [Green Version]
- Lindemann, B. Receptors and transduction in taste. Nature 2001, 413, 219–225. [Google Scholar] [CrossRef] [PubMed]
- Shallenberger, R.S.; Acree, T.E. Molecular Theory of Sweet Taste. Nature 1967, 216, 480. [Google Scholar] [CrossRef] [PubMed]
- Shallenberger, R.S. The AH,B Glycophore and General Taste Chemistry. Food Chem. 1996, 56, 209–214. [Google Scholar] [CrossRef]
- Eggers, S.C.; Acree, T.E.; Shallenberger, R.S. Sweetness chemoreception theory and sweetness transduction. Food Chem. 2000, 68, 45–49. [Google Scholar] [CrossRef]
- Kier, L.B. A Molecular Theory. J. Pharm. Sci. 1972, 61, 1394–1397. [Google Scholar] [CrossRef] [PubMed]
- Alonso, J.A.; Lozoya, M.A.; Peña, I.; López, J.C.; Cabezas, C.; Mata, S.; Blanco, S. The conformational behaviour of free d-glucose—At last. Chem. Sci. 2014, 5, 515–522. [Google Scholar] [CrossRef]
- Peña, I.; Cabezas, C.; Alonso, J.L. Unveiling epimerization effects: A rotational study of α-D-galactose. Chem. Commun. 2015, 51, 10115–10118. [Google Scholar] [CrossRef]
- Peña, I.; Cocinero, E.J.; Cabezas, C.; Lesarri, A.; Mata, S.; Écija, P.; Daly, A.M.; Cimas, A.; Bermúdez, C.; Basterretxea, F.J.; et al. Six Pyranoside Forms of Free 2-Deoxy-D-ribose. Angew. Chem. Int. Ed. 2013, 52, 11840–11845. [Google Scholar] [CrossRef] [PubMed]
- Cocinero, E.J.; Lesarri, A.; Écija, P.; Basterretxea, F.J.; Grabow, J.-U.; Fernández, J.A.; Castaño, F. Ribose Found in the Gas Phase. Angew. Chem. Int. Ed. 2012, 51, 3119–3124. [Google Scholar] [CrossRef] [PubMed]
- Die Organischen Geschmacksstoffe; Siemenroth, F. (Ed.) Forgotten Books: Berlin, Germany, 1914. [Google Scholar]
- Oertly, E.; Myers, R.G. A new theory relating constitution to taste. Preliminary paper: Simple relations between the constitution of aliphatic compounds and their sweet taste. J. Am. Chem. Soc. 1919, 41, 855–867. [Google Scholar] [CrossRef] [Green Version]
- Bermúdez, C.; Peña, I.; Cabezas, C.; Daly, A.M.; Alonso, J.L. Unveiling the Sweet Conformations of D-Fructopyranose. ChemPhysChem 2013, 14, 893. [Google Scholar] [CrossRef] [PubMed]
- Bermúdez, C.; Peña, I.; Mata, S.; Alonso, J.L. Sweet Structural Signatures Unveiled in Ketohexoses. Chem. Eur. J. 2016, 22, 16829–16837. [Google Scholar] [CrossRef] [PubMed]
- Alonso, E.R.; León, I.; Kolesniková, L.; Alonso, J.L. The Structural Signs of Sweetness in Artificial Sweeteners: A Rotational Study of Sorbitol and Dulcitol. ChemPhysChem 2018, 19, 3334–3340. [Google Scholar] [CrossRef] [PubMed]
- Alonso, E.R.; León, I.; Kolesniková, L.; Alonso, J.L. Rotational Spectrum of Saccharin: Structure and Sweetness. J. Phys. Chem. A 2019, 123, 2756–2761. [Google Scholar] [CrossRef] [PubMed]
- Furukawa, S. Tokyo Kagaku Kaishi. J-STAGE 1920, 41, 706–728. [Google Scholar]
- Kinghorn, A.D.; Compadre, C.M. Less common high-potency sweeteners. In Alternative Sweeteners; Nabors, L.O., Gelardi, R.C., Eds.; Marcel Dekker: New York, NY, USA, 2001; pp. 209–234. [Google Scholar]
- Shallenberger, R.S. Taste Chemistry; Springer: Berlin/Heidelberg, Germany, 1993; Volume 5, ISBN 978-0751401509. [Google Scholar]
- Acton, E.M.; Leafier, M.A.; Oliver, S.M.; Stone, H. Structure-Taste Relationships in Oximes Related to Perillartine. J. Agric. Food Chem. 1970, 18, 1061–1068. [Google Scholar] [CrossRef]
- Takahashi, Y.; Miyashita, Y.; Tanaka, Y.; Hayasaka, H.; Abe, H.; Sasaki, S.I. Discriminative Structural Analysis Using Pattern Recognition Techniques in the Structure-Taste Problem of Perillartines. J. Pharm. Sci. 1984, 73, 737–741. [Google Scholar] [CrossRef]
- Van Der Heijden, A.; Van Der Wei, H.; Peer, H.G. Structure-activity relationships in sweeteners. Chem. Senses 1985, 10, 73–88. [Google Scholar] [CrossRef]
- Acton, E.M.; Stone, H.; Leaffer, M.A.; Oliver, S.M. Perillartine and Some Derivatives: Clarification of Structures. Experientia 1970, 26, 473–474. [Google Scholar] [CrossRef]
- Acton, E.M.; Stone, H. Potential New Artificial Sweetener from Study of Structure-Taste Relationships. Science 1976, 193, 584–586. [Google Scholar] [CrossRef] [PubMed]
- Iwamura, H. Structure-Taste Relationship of Perillartine and Nitro- and Cyanoaniline Derivative. J. Med. Chem. 1980, 23, 308–312. [Google Scholar] [CrossRef] [PubMed]
- Venanzi, T.J.; Venanzi, C.A. Ab Initio Molecular Electrostatic Potentials of Perillartine Analogues: Implications for Sweet-Taste Receptor Recognition. J. Med. Chem 1988, 31, 115077. [Google Scholar] [CrossRef] [PubMed]
- Hooft, R.W.W.; Van Der Sluis, P.; Kanters, J.A.; Kroon, J. Structure of racemic 4-isopropenyl-1-cyclohexene-1-carbaldehyde oxime (perillartine). Acta Crystallogr. Sect. C 1990, 46, 1133–1135. [Google Scholar] [CrossRef]
- Schrödinger Release 2018-3; Maestro Schrödinger, LLC: New York, NY, USA, 2018.
- Frisch, M.J.; Trucks, G.W.; Schlegel, H.B.; Scuseria, G.E.; Robb, M.A.; Cheeseman, J.R.; Scalmani, G.; Barone, V.; Petersson, G.A.; Nakatsuji, H.; et al. Gaussian 16; Revision B.01 2016; Gaussian, Inc.: Wallingford, CT, USA, 2016. [Google Scholar]
- Møller, C.; Plesset, M.S. Note on an approximation treatment for many-electron systems. Phys. Rev. 1934, 46, 618–622. [Google Scholar] [CrossRef] [Green Version]
- Becke, A.D. A new mixing of Hartree–Fock and local density-functional theories. J. Chem. Phys. 1993, 98, 1372–1377. [Google Scholar] [CrossRef]
- Grimme, S.; Antony, J.; Ehrlich, S.; Krieg, H. A consistent and accurate ab initio parametrization of density functional dispersion correction (DFT-D) for the 94 elements H-Pu. J. Chem. Phys. 2010, 132, 154104. [Google Scholar] [CrossRef] [PubMed] [Green Version]
- Grimme, S.; Ehrlich, S.; Goerigk, L.J. Effect of the damping function in dispersion corrected density functional theory. Comput. Chem. 2011, 32, 1456–1465. [Google Scholar] [CrossRef] [PubMed]
- Johnson, E.R.; Becke, A.D. A post-Hartree-Fock model of intermolecular interactions: Inclusion of higher-order corrections. Chem. Phys. 2006, 124, 174104. [Google Scholar] [CrossRef] [PubMed]
- Frisch, M.J.; Pople, J.A.; Binkley, J.S. Self-consistent molecular orbital methods 25. Supplementary functions for Gaussian basis sets. J. Chem. Phys. 1984, 80, 3265–3269. [Google Scholar] [CrossRef]
- Loru, D.; Vigorito, A.; Santos, A.F.M.; Tang, J.; Sanz, M.E. The axial/equatorial conformational landscape and intramolecular dispersion: New insights from the rotational spectra of monoterpenoids. Phys. Chem. Chem. Phys. 2019, 21, 26111–26116. [Google Scholar] [CrossRef] [PubMed]
- Cabezas, C.; Varela, M.; Alonso, J.L. The Structure of the Elusive Simplest Dipeptide Gly-Gly. Angew. Chem. Int. Ed. 2017, 129, 6520–6525. [Google Scholar] [CrossRef]
- Peña, I.; Cabezas, C.; Alonso, J.L. The nucleoside uridine isolated in the gas phase. Angew. Chem. Int. Ed. 2015, 54, 2991–2994. [Google Scholar] [CrossRef] [PubMed] [Green Version]
- Bermúdez, C.; Mata, S.; Cabezas, C.; Alonso, J.L. Tautomerism in Neutral Histidine. Angew. Chem. Int. Ed. 2014, 53, 11015–11018. [Google Scholar] [CrossRef] [PubMed]
- Pickett, H.M. The fitting and prediction of vibration-rotation spectra with spin interactions. J. Mol. Spectrosc. 1991, 148, 371–377. [Google Scholar] [CrossRef]
- Sanz-Novo, M.; Alonso, E.R.; León, I.; Alonso, J.L. The Shape of the Archetypical Oxocarbon Squaric Acid and Its Water Clusters. Chem. Eur. J. 2019, 25, 10748–10755. [Google Scholar] [CrossRef] [PubMed]
- Oswald, S.; Suhm, M.A. Soft experimental constraints for soft interactions: A spectroscopic benchmark data set for weak and strong hydrogen bonds. Phys. Chem. Chem. Phys. 2019, 21, 18799–18810. [Google Scholar] [CrossRef] [PubMed] [Green Version]
- Alonso, E.R. Biomolecules and Interstellar Molecules: Structure, Interactions and Spectroscopic Characterization. Ph.D. Thesis, Universidad de Valladolid, Valladolid, Spain, 2018. [Google Scholar]







| Parameters | e-E-I | e-E-II | a-E-I | e-E-III | a-E-II | a-E-III | e-Z-I | e-Z-II | a-Z-I | e-Z-III | e-Z-IV | e-Z-V |
|---|---|---|---|---|---|---|---|---|---|---|---|---|
| A1 | 2904 | 2930 | 1834 | 2831 | 1935 | 1718 | 2852 | 2793 | 1924 | 2844 | 2896 | 2923 |
| B | 374 | 378 | 478 | 382 | 473 | 486 | 372 | 380 | 468 | 376 | 374 | 378 |
| C | 360 | 350 | 461 | 351 | 461 | 472 | 358 | 349 | 458 | 350 | 360 | 351 |
| |μa|2 | 1.0 | 1.1 | 1.4 | 1.0 | 0.7 | 1.3 | 1.0 | 0.9 | 1.4 | 1.0 | 1.8 | 1.9 |
| |μb| | 0.0 | 0.4 | 0.2 | 0.3 | 0.6 | 0.6 | 0.2 | 0.3 | 0.6 | 0.4 | 2.8 | 3.0 |
| |μc| | 0.4 | 0.2 | 0.7 | 0.2 | 0.0 | 0.4 | 0.4 | 0.3 | 0.1 | 0.2 | 0.7 | 0.6 |
| ΔE 3 | 0 | 109 | 113 | 185 | 601 | 810 | 1364 | 1452 | 1418 | 1564 | 1850 | 1963 |
| ΔEZPE 4 | 0 | 104 | 161 | 174 | 685 | 929 | 1291 | 1376 | 1392 | 1481 | 1733 | 1841 |
| ΔG 5 | 0 | 98 | 204 | 120 | 780 | 1026 | 1202 | 1294 | 1362 | 1348 | 1736 | 1835 |
| BPΔE (%) 6 | 37.6 | 22.2 | 21.8 | 15.4 | 2.1 | 0.7 | 0.1 | 0.0 | 0.0 | 0.0 | 0.0 | 0.0 |
| BPΔZPE (%) 7 | 39.2 | 23.7 | 18.0 | 17.0 | 1.4 | 0.4 | 0.1 | 0.1 | 0.0 | 0.0 | 0.0 | 0.0 |
| BPΔG (%) 8 | 38.6 | 24.0 | 14.4 | 21.6 | 0.9 | 0.3 | 0.1 | 0.1 | 0.1 | 0.1 | 0.0 | 0.0 |
| Parameters | Rot I (e-E-I) | Rot II (e-E-II) | Rot III (e-E-III) | Rot IV (a-E-I) |
|---|---|---|---|---|
| A1 | 2893.8 (51) 5 | 2911.483 (13) | 2823.8 (13) | 1779.8 (20) |
| B | 374.7401 (11) | 379.22447 (88) | 383.84430 (70) | 487.2504 (16) |
| C | 361.2711 (11) | 351.56235 (80) | 351.03516 (62) | 468.6655 (15) |
| μa2 | Observed | Observed | Observed | Observed |
| μb | - | Observed | - | - |
| μc | - | - | - | - |
| σ 3 | 26 | 22 | 24 | 22 |
| N 4 | 27 | 31 | 13 | 14 |
Publisher’s Note: MDPI stays neutral with regard to jurisdictional claims in published maps and institutional affiliations. |
© 2022 by the authors. Licensee MDPI, Basel, Switzerland. This article is an open access article distributed under the terms and conditions of the Creative Commons Attribution (CC BY) license (https://creativecommons.org/licenses/by/4.0/).
Share and Cite
Juárez, G.; Sanz-Novo, M.; Alonso, J.L.; Alonso, E.R.; León, I. Rotational Spectrum and Conformational Analysis of Perillartine: Insights into the Structure–Sweetness Relationship. Molecules 2022, 27, 1924. https://doi.org/10.3390/molecules27061924
Juárez G, Sanz-Novo M, Alonso JL, Alonso ER, León I. Rotational Spectrum and Conformational Analysis of Perillartine: Insights into the Structure–Sweetness Relationship. Molecules. 2022; 27(6):1924. https://doi.org/10.3390/molecules27061924
Chicago/Turabian StyleJuárez, Gabriela, Miguel Sanz-Novo, José L. Alonso, Elena R. Alonso, and Iker León. 2022. "Rotational Spectrum and Conformational Analysis of Perillartine: Insights into the Structure–Sweetness Relationship" Molecules 27, no. 6: 1924. https://doi.org/10.3390/molecules27061924
APA StyleJuárez, G., Sanz-Novo, M., Alonso, J. L., Alonso, E. R., & León, I. (2022). Rotational Spectrum and Conformational Analysis of Perillartine: Insights into the Structure–Sweetness Relationship. Molecules, 27(6), 1924. https://doi.org/10.3390/molecules27061924

