A Sub-Micromolar MraYAA Inhibitor with an Aminoribosyl Uridine Structure and a (S,S)-Tartaric Diamide: Synthesis, Biological Evaluation and Molecular Modeling
Abstract
:1. Introduction
2. Results and Discussion
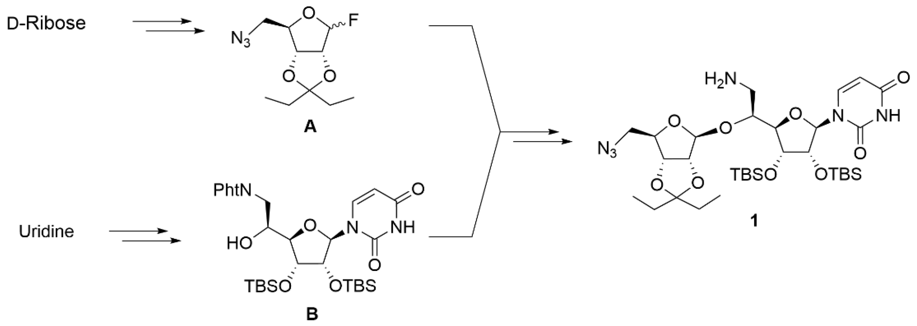
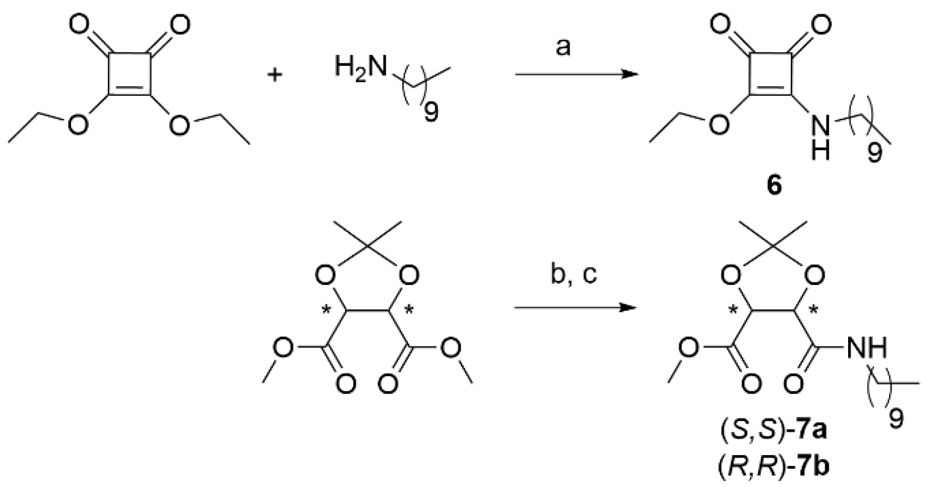
2.1. Chemistry
2.2. Biological Studies
2.3. Docking Studies
2.3.1. Docking Score
2.3.2. Binding Mode of the Hits
- Binding mode in 5CKR:
- Binding mode in 6OYH:
2.4. Molecular Dynamics
3. Materials and Methods
3.1. Chemical Synthesis
3.1.1. 3-(Decylamino)-4-ethoxycyclobut-3-ene-1,2-dione 6
3.1.2. Methyl (2S,3S)-2,3-O-Isopropylidene-4-(decylamino)-2,3-dihydroxy-4-oxobutanoate (S,S)-7a
3.1.3. Methyl (2R,3R)-2,3-O-Isopropylidene-4-(decylamino)-2,3-dihydroxy-4-oxobutanoate (R,R)-7b
3.1.4. Squaramide 8
3.1.5. (S,S)-Diamide 9a
3.1.6. (R,R)-Diamide 9b
3.1.7. Amide 10
3.1.8. Sulfonamide 11
General Procedure for Compounds Deprotection
3.1.9. Squaramide 2
3.1.10. (S,S)-Diamide 3a
3.1.11. (R,R)-Diamide 3b
3.1.12. Amide 4
3.1.13. Sulfonamide 5
3.2. Enzyme Assays
3.3. Antibacterial Activity
3.4. Docking and MD Simulations
4. Conclusions
Supplementary Materials
Author Contributions
Funding
Institutional Review Board Statement
Informed Consent Statement
Data Availability Statement
Acknowledgments
Conflicts of Interest
Sample Availability
References
- Sherry, N.; Howden, B. Emerging Gram negative resistance to last-line antimicrobial agents fosfomycin, colistin and ceftazidime-avibactam—Epidemiology, laboratory detection and treatment implications. Expert Rev. Anti-Infect. Ther. 2018, 16, 289–306. [Google Scholar] [CrossRef] [PubMed]
- Jackson, N.; Czaplewski, L.; Piddock, L.J.V. Discovery and development of new antibacterial drugs: Learning from experience? J. Antimicrob. Chemother. 2018, 73, 1452–1459. [Google Scholar] [CrossRef] [PubMed] [Green Version]
- Van Duijkeren, E.; Schink, A.K.; Roberts, M.C.; Wang, Y.; Schwarz, S. Mechanisms of Bacterial Resistance to Antimicrobial Agents. Microbiol. Spectr. 2018, 6. [Google Scholar] [CrossRef] [PubMed]
- Wozniak, T.M.; Barnsbee, L.; Lee, X.J.; Pacella, R.E. Using the best available data to estimate the cost of antimicrobial resistance: A systematic review. Antimicrob. Resist. Infect. Control 2019, 8, 26. [Google Scholar] [CrossRef] [Green Version]
- Xuemei, Z.; Lundborg, C.S.; Sun, X.; Hu, X.; Dong, H. Economic burden of antibiotic resistance in ESKAPE organisms: A systematic review. Antimicrob. Resist. Infect. Control 2019, 8, 137. [Google Scholar]
- Innes, G.K.; Randad, P.R.; Korinek, A.; Davis, M.F.; Price, L.B.; So, A.D.; Heaney, C.D. External societal costs of antimicrobial resistance in humans attributable to antimicrobial use in livestock. Annu. Rev. Public Health 2020, 41, 141–157. [Google Scholar] [CrossRef] [Green Version]
- Zhen, X.; Li, Y.; Chen, Y.; Dong, P.; Liu, S.; Dong, H. Effect of multiple drug resistance on total medical costs among patients with intra-abdominal infections in China. PLoS ONE 2018, 13, e0193977. [Google Scholar] [CrossRef]
- Liu, Y.; Breukink, E. The membrane steps of bacterial cell wall synthesis as antibiotic targets. Antibiotics 2016, 5, 28. [Google Scholar] [CrossRef]
- Barreteau, H.; Kovač, A.; Boniface, A.; Sova, M.; Gobec, S.; Blanot, D. Cytoplasmic steps of peptidoglycan biosynthesis. FEMS Microbiol. Rev. 2008, 32, 168–207. [Google Scholar] [CrossRef] [Green Version]
- Al-Dabbagh, B.; Olatunji, S.; Crouvoisier, M.; El Ghachi, M.; Blanot, D.; Mengin-Lecreulx, D.; Bouhss, A. Catalytic mechanism of MraY and WecA, two paralogues of the polyprenyl-phosphate N-acetylhexosamine 1-phosphate transferase superfamily. Biochimie 2016, 127, 249–257. [Google Scholar] [CrossRef]
- Falagas, M.E.; Athanasaki, F.; Voulgaris, G.L.; Triarides, N.A.; Vardakas, K.Z. Resistance to fosfomycin: Mechanisms, Frequency and Clinical Consequences. Int. J. Antimicrob. Agents 2019, 53, 22–28. [Google Scholar] [CrossRef] [PubMed]
- Pallares, R.; Liñares, J.; Vadillo, M.; Cabellos, C.; Manresa, F.; Viladrich, P.F.; Martin, R.; Gudiol, F. Resistance to Penicillin and Cephalosporin and Mortality from Severe Pneumococcal Pneumonia in Barcelona, Spain. N. Engl. J. Med. 1995, 333, 474–480. [Google Scholar] [CrossRef] [PubMed] [Green Version]
- Ubukata, M.; Isono, K.; Kimura, K.; Nelson, C.C.; McCloskey, J.A. The structure of liposidomycin B, an inhibitor of bacterial peptidoglycan synthesis. J. Am. Chem. Soc. 1998, 110, 4416–4417. [Google Scholar] [CrossRef]
- Ubukata, M.; Isono, K.; Kimura, K.; Nelson, C.C.; Gregson, J.M.; McCloskey, J.A. Structure elucidation of liposidomycins, a class of complex lipid nucleoside antibiotics. J. Org. Chem. 1992, 57, 6392–6403. [Google Scholar] [CrossRef]
- Brandish, P.E.; Kimura, K.I.; Inukai, M.; Southgate, R.; Lonsdale, J.T.; Bugg, T.D.H. Modes of action of tunicamycin, liposidomycin B, and mureidomycin A: Inhibition of phospho-N-acetylmuramyl-pentapeptide translocase from Escherichia coli. Antimicrob. Agents Chemother. 1996, 40, 1640–1644. [Google Scholar] [CrossRef] [Green Version]
- McDonald, L.A.; Barbieri, L.R.; Carter, G.T.; Lenoy, E.; Lotvin, J.; Petersen, P.J.; Siegel, M.M.; Singh, G.; Williamson, R.T. Structures of the Muraymycins, novel peptidoglycan biosynthesis inhibitors. J. Am. Chem. Soc. 2002, 124, 10260–10261. [Google Scholar] [CrossRef]
- Igarashi, M.; Nakagawa, N.; Doi, S.; Hattori, N.; Naganawa, H.; Hamada, M. Caprazamycin B, a novel anti-tuberculosis antibiotic, from Streptomyces sp. J. Antibiot. 2003, 56, 580–583. [Google Scholar] [CrossRef] [Green Version]
- Igarashi, M.; Takahashi, Y.; Shitara, T.; Nakamura, H.; Naganawa, H.; Miyake, T.; Akamatsu, Y. Caprazamycins, novel lipo-nucleoside antibiotics, from Streptomyces sp. J. Antibiot. 2005, 58, 327–337. [Google Scholar] [CrossRef] [Green Version]
- Patel, B.; Ryan, P.; Makwana, V.; Zunk, M.; Rudrawar, S.; Grant, G. Caprazamycins: Promising lead structures acting on a novel antibacterial target MraY. Eur. J. Med. Chem. 2019, 171, 462–474. [Google Scholar] [CrossRef]
- Fer, M.J.; Le Corre, L.; Pietrancosta, N.; Evrard-Todeschi, N.; Olatunji, S.; Bouhss, A.; Calvet-Vitale, S.; Gravier-Pelletier, C. Bacterial transferase MraY, a source of inspiration towards new antibiotics. Curr. Med. Chem. 2018, 25, 6013–6025. [Google Scholar] [CrossRef]
- Wiegmann, D.; Koppermann, S.; Wirth, M.; Niro, G.; Leyerer, K.; Ducho, C. Muraymycin nucleoside-peptide antibiotics: Uridine-derived natural products as lead structures for the development of novel antibacterial agents. Beilstein J. Org. Chem. 2016, 12, 769–795. [Google Scholar] [CrossRef] [PubMed]
- Ichikawa, S.; Yamaguchi, M.; Matsuda, A. Antibacterial nucleoside natural products inhibiting phospho-MurNAc-pentapeptide translocase; chemistry and structure-activity relationship. Curr. Med. Chem. 2015, 22, 3951–3979. [Google Scholar] [CrossRef] [PubMed]
- Tanino, T.; Ichikawa, S.; Al-Dabbagh, B.; Bouhss, A.; Oyama, H.; Matsuda, A. Synthesis and biological evaluation of muraymycin analogues active against anti-drug-resistant bacteria. ACS Med. Chem. Lett. 2010, 1, 258–262. [Google Scholar] [CrossRef] [PubMed]
- Ichikawa, S.; Yamaguchi, M.; Shang Hsuan, L.; Kato, Y.; Matsuda, A. Carbacaprazamycins: Chemically stable analogues of the caprazamycin nucleoside antibiotics. ACS Infect. Dis. 2015, 1, 151–156. [Google Scholar] [CrossRef] [PubMed]
- Nakaya, T.; Matsuda, A.; Ichikawa, S. Design, synthesis and biological evaluation of 5′-C-piperidinyl-5′-O-aminoribosyluridines as potential antibacterial agents. Org. Biomol. Chem. 2015, 13, 7720–7735. [Google Scholar] [CrossRef] [PubMed]
- Wiegmann, D.; Koppermann, S.; Ducho, C. Aminoribosylated Analogues of Muraymycin Nucleoside Antibiotics. Molecules 2018, 23, 3085. [Google Scholar] [CrossRef] [Green Version]
- Okamoto, K.; Ishikawa, A.; Okawa, R.; Yamamoto, K.; Sato, T.; Yokota, S.-I.; Chiba, K.; Ichikawa, S. Design, synthesis and biological evaluation of simplified analogues of MraY inhibitory natural product with rigid scaffold. Biorg. Med. Chem. 2022, 55, 116556. [Google Scholar] [CrossRef]
- Fer, M.J.; Olatunji, S.; Bouhss, A.; Calvet-Vitale, S.; Gravier-Pelletier, C. Toward analogues of MraY natural inhibitors: Synthesis of 5′-triazole-substitute-aminoribosyl uridines through a Cu-catalyzed azide–alkyne cycloaddition. J. Org. Chem. 2013, 78, 10088–10105. [Google Scholar] [CrossRef]
- Fer, M.J.; Bouhss, A.; Patrão, M.; Le Corre, L.; Pietrancosta, N.; Amoroso, A.; Joris, B.; Mengin-Lecreulx, D.; Calvet-Vitale, S.; Gravier-Pelletier, C. 5′-Methylene-triazole-substituted-aminoribosyl uridines as MraY inhibitors: Synthesis, biological evaluation and molecular modeling. Org. Biomol. Chem. 2015, 13, 7193–7222. [Google Scholar] [CrossRef] [Green Version]
- Chung, B.C.; Mashalidis, E.H.; Tanino, T.; Kim, M.; Matsuda, A.; Hong, J.; Ichikawa, S.; Lee, S.Y. Structural insights into inhibition of lipid I production in bacterial cell wall synthesis. Nature 2016, 533, 557–560. [Google Scholar] [CrossRef] [Green Version]
- Mashalidis, E.H.; Kaeser, B.; Terasawa, Y.; Katsuyama, A.; Kwon, D.Y.; Lee, K.; Hong, J.; Ichikawa, S.; Lee, S.Y. Chemical logic of MraY inhibition by antibacterial nucleoside natural products. Nat. Commun. 2019, 10, 2917–2928. [Google Scholar] [CrossRef] [PubMed] [Green Version]
- Oliver, M.; Le Corre, L.; Poinsot, M.; Corio, A.; Madegard, L.; Bosco, M.; Amoroso, A.; Joris, B.; Auger, R.; Touzé, T.; et al. Synthesis, biological evaluation and molecular modeling of urea-containing MraY inhibitors. Org. Biomol. Chem. 2021, 19, 5844–5866. [Google Scholar] [CrossRef] [PubMed]
- Agnew-Francis, K.A.; Williams, C.M. Squaramides as bioisosteres in contemporary drug design. Chem. Rev. 2020, 120, 11616–11650. [Google Scholar] [CrossRef] [PubMed]
- Canoa, M.E.; Varelaa, O.; García-Morenob, M.I.; García Fernándezc, J.M.; Kovensky, J.; Uhrig, M.L. Synthesis of β-Galactosylamides as ligands of the Peanut lectin. Insights into the recognition process. Carbohydr. Res. 2017, 443–444, 58–67. [Google Scholar] [CrossRef]
- Guardiani, C.; Procacci, P. The conformational landscape of tartrate-based inhibitors of the TACE enzyme as revealed by Hamiltonian Replica Exchange simulation. Phys. Chem. Chem. Phys. 2013, 15, 9186–9196. [Google Scholar] [CrossRef]
- Simard, R.D.; Joyal, M.; Gillard, L.; Di Censo, G.; Maharsy, W.L.; Beauregard, J.; Colarusso, P.; Patel, K.D.; Prévost, M.; Nemer, M.; et al. Synthesis of sialyl lewisx glycomimetics bearing a bicyclic 3-O,4-C-fused galactopyranoside scaffold. J. Org. Chem. 2019, 84, 7372–7387. [Google Scholar] [CrossRef]
- Zhao, C.; Rakesh, K.P.; Ravidar, L.; Fang, W.-Y.; Qin, H.-L. Pharmaceutical and medicinal significance of sulfur (SVI)-containing motifs for drug discovery: A critical review. Eur. J. Med. Chem. 2019, 162, 679–734. [Google Scholar] [CrossRef]
- Hirano, S.; Ichikawa, S.; Matsuda, A. Total Synthesis of Caprazol, a Core Structure of the Caprazamycin Antituberculosis Antibiotics. Angew. Chem. Int. 2005, 44, 1854–1856. [Google Scholar] [CrossRef]
- Chung, B.C.; Zhao, J.; Gillespie, R.A.; Kwon, D.Y.; Guan, Z.; Hong, J.; Zhou, P.; Lee, S.Y. Crystal structure of MraY, an essential membrane enzyme for bacterial cell wall synthesis. Science 2013, 341, 1012–1016. [Google Scholar] [CrossRef] [Green Version]
- Wu, G.S.; Robertson, D.H.; Brooks, C.L.; Vieth, M. Detailed analysis of grid-based molecular docking: A case study of CDOCKER-A CHARMm-based MD docking algorithm. J. Comput. Chem. 2003, 24, 1549–1562. [Google Scholar] [CrossRef]
- Koppermann, S.; Cui, Z.; Fischer, P.D.; Wang, X.; Ludwig, J.; Thorson, J.S.; Van Lanen, S.G.; Ducho, C. Insights into the target interaction of naturally occurring muraymycin nucleoside antibiotics. Chem. Med. Chem. 2018, 13, 779–784. [Google Scholar] [CrossRef] [PubMed]
- Zadeh, S.M.; Astani, E.K.; Wang, Z.-C.; Adhikari, K.; Rattinam, R.; Li, T.-L. Theoretical study of intermolecular interactions between critical residues of membrane protein MraYAA and promising antibiotic muraymycin D2. ACS Omega 2020, 5, 22739–22749. [Google Scholar] [CrossRef] [PubMed]
- Phillips, J.C.; Braun, R.; Wang, W.; Gumbart, J.; Tajkhorshid, E.; Villa, E.; Chipot, C.; Skeel, R.D.; Kalé, L.; Schulten, K. Scalable molecular dynamics with NAMD. J. Comp. Chem. 2005, 26, 1781–1802. [Google Scholar] [CrossRef] [PubMed] [Green Version]
- Stachyra, T.; Dini, C.; Ferrari, P.; Bouhss, A.; van Heijenoort, J.; Mengin-Lecreulx, D.; Blanot, D.; Bitton, J.; Le Beller, D. Fluorescence detection-based functional assay for high-throughput screening for MraY. Antimicrob. Agents Chemother. 2004, 48, 897–902. [Google Scholar] [CrossRef] [Green Version]
- ISO 20776-1; Clinical Laboratory Testing and In Vitro Diagnostic Test Systems—Susceptibility Testing of Infectious Agents and Evaluation of Performance of Antimicrobial Susceptibility Test Devices—Part 1: Reference Method for Testing the In Vitro Activity of Antimicrobial Agents against Rapidly Growing Aerobic Bacteria Involved in Infectious Diseases. International Organization for Standardization: Geneva, Switzerland, 2006.
- Al-Dabbagh, B.; Henry, X.; El Ghachi, M.; Auger, G.; Blanot, D.; Parquet, C.; Mengin-Lecreulx, D.; Bouhss, A. Active site mapping of MraY, a member of the polyprenyl-phosphate N-acetylhexosamine 1-phosphate transferase superfamily, catalyzing the first membrane step of peptidoglycan biosynthesis. Biochemistry 2008, 47, 8919–8928. [Google Scholar] [CrossRef]












| Compound | Linker | IC50 (µM) a |
|---|---|---|
| Tunicamycin | - | 0.026 ± 0.00 |
| 12 | - | 50.30 ± 3.27 |
| 13 | Urea | 1.93 ± 0.13 |
| 14 | C-triazole | 3.74 ± 0.11 |
| 15 | N-triazole | 2.14 ± 0.09 |
| 2 | Squaramide | 17.97 ± 0.04 |
| (S,S)-3a | (S,S)-diamide | 0.37 ± 0.01 |
| (R,R)-3b | (R,R)-diamide | 1.38 ± 0.05 |
| 4 | Amide | 6.49 ± 0.21 |
| 5 | Sulfonamide | 2.91 ± 0.13 |
| Compound | IC50 | Docking Score a | |
|---|---|---|---|
| (µM) | 5CKR | 6OYH | |
| Muraymycin D2 | 0.046 b | 103.6 | ND c |
| Carbacaprazamycin | 0.104 d | ND c | 92.13 |
| 2 | 17.97 ± 0.04 | 78.9 | 80.1 |
| 4 | 6.49 ± 0.21 | 80.3 | 73.7 |
| 5 | 2.91 ± 0.13 | 80.4 | 73.0 |
| 13 | 1.93 ± 0.13 | 79.2 | 80.0 |
| (R,R)-3b | 1.38 ± 0.05 | 87.3 | 83.3 |
| (S,S)-3a | 0.37 ± 0.01 | 89.1 | 86.0 |
| Compound | 13 | 3a | 3b | 2 | 4 | 5 | |
|---|---|---|---|---|---|---|---|
| Aminoribosyl moiety | T75 | ||||||
| N190 | |||||||
| D193 | |||||||
| G264 | |||||||
| S268 | |||||||
| K121 | |||||||
| D118 | |||||||
| D265 | |||||||
| Linker moiety | D193 | ||||||
| H324 | |||||||
| H325 | |||||||
| L191 |
| Compound | 13 | 3a | 3b | 2 | 4 | 5 | |
|---|---|---|---|---|---|---|---|
| Aminoribosyl moiety | T75 | ||||||
| N190 | |||||||
| D193 | |||||||
| G264 | |||||||
| K121 | |||||||
| D118 | |||||||
| D265 | |||||||
| Linker moiety | N190 | ||||||
| H325 | |||||||
| L191 |
Publisher’s Note: MDPI stays neutral with regard to jurisdictional claims in published maps and institutional affiliations. |
© 2022 by the authors. Licensee MDPI, Basel, Switzerland. This article is an open access article distributed under the terms and conditions of the Creative Commons Attribution (CC BY) license (https://creativecommons.org/licenses/by/4.0/).
Share and Cite
Oliver, M.; Le Corre, L.; Poinsot, M.; Bosco, M.; Wan, H.; Amoroso, A.; Joris, B.; Bouhss, A.; Calvet-Vitale, S.; Gravier-Pelletier, C. A Sub-Micromolar MraYAA Inhibitor with an Aminoribosyl Uridine Structure and a (S,S)-Tartaric Diamide: Synthesis, Biological Evaluation and Molecular Modeling. Molecules 2022, 27, 1769. https://doi.org/10.3390/molecules27061769
Oliver M, Le Corre L, Poinsot M, Bosco M, Wan H, Amoroso A, Joris B, Bouhss A, Calvet-Vitale S, Gravier-Pelletier C. A Sub-Micromolar MraYAA Inhibitor with an Aminoribosyl Uridine Structure and a (S,S)-Tartaric Diamide: Synthesis, Biological Evaluation and Molecular Modeling. Molecules. 2022; 27(6):1769. https://doi.org/10.3390/molecules27061769
Chicago/Turabian StyleOliver, Martin, Laurent Le Corre, Mélanie Poinsot, Michaël Bosco, Hongwei Wan, Ana Amoroso, Bernard Joris, Ahmed Bouhss, Sandrine Calvet-Vitale, and Christine Gravier-Pelletier. 2022. "A Sub-Micromolar MraYAA Inhibitor with an Aminoribosyl Uridine Structure and a (S,S)-Tartaric Diamide: Synthesis, Biological Evaluation and Molecular Modeling" Molecules 27, no. 6: 1769. https://doi.org/10.3390/molecules27061769
APA StyleOliver, M., Le Corre, L., Poinsot, M., Bosco, M., Wan, H., Amoroso, A., Joris, B., Bouhss, A., Calvet-Vitale, S., & Gravier-Pelletier, C. (2022). A Sub-Micromolar MraYAA Inhibitor with an Aminoribosyl Uridine Structure and a (S,S)-Tartaric Diamide: Synthesis, Biological Evaluation and Molecular Modeling. Molecules, 27(6), 1769. https://doi.org/10.3390/molecules27061769

