Recent Advances in Divergent Synthetic Strategies for Indole-Based Natural Product Libraries
Abstract
1. Introduction
2. Complexity-to-Diversity Strategy for Rapid Generation of Indole-Based Natural Products and Related Compounds
2.1. Ctd Strategy Based on Yohimbine (8)
2.2. Ctd Strategy Based on Vincamine (21)
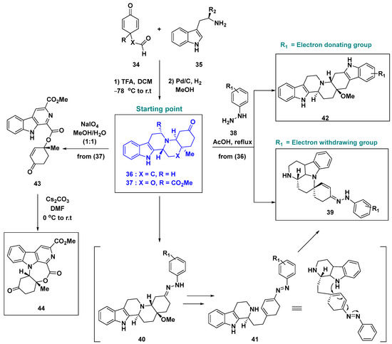
2.3. Ctd Strategy Based on Nature-Inspired Indole Monoterpenoids
3. Biomimetic Synthetic Divergent Approaches to Indole-Based Natural Product and Natural Product-Like Small Molecules
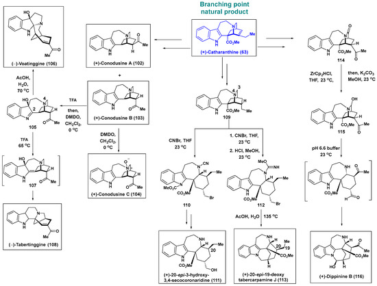
3.1. Development of a New Biomimetic Divergent Branching Point from Dehydrosecodine (61)
3.2. Development of New Biomimetic Divergent Branching Points to Form Monoterpene Indole Alkaloids
3.3. Biomimetic Divergent Synthesis to Generate Iboga and “Post-Iboga” Alkaloids
4. Conclusions
Author Contributions
Funding
Institutional Review Board Statement
Informed Consent Statement
Data Availability Statement
Conflicts of Interest
References
- Newman, D.J.; Cragg, G.M. Natural Products as Sources of New Drugs over the Nearly Four Decades from 01/1981 to 09/2019. J. Nat. Prod. 2020, 83, 770–803. [Google Scholar] [CrossRef] [PubMed]
- Wilson, B.A.P.; Thornburg, C.C.; Henrich, C.J.; Grkovic, T.; O’Keefe, B.R. Creating and screening natural product libraries. Nat. Prod. Rep. 2020, 37, 893–918. [Google Scholar] [CrossRef] [PubMed]
- Harvey, A.L.; Edrada-Ebel, R.; Quinn, R.J. The re-emergence of natural products for drug discovery in the genomics era. Nat. Rev. Drug Discov. 2015, 14, 111–129. [Google Scholar] [CrossRef] [PubMed]
- Orhan, I.E. Natural Products as Enzyme Inhibitors in Drug Design and Discovery. Curr. Top Med. Chem. 2022, 22, 188. [Google Scholar] [CrossRef]
- Lachance, H.; Wetzel, S.; Kumar, K.; Waldmann, H. Charting, Navigating, and Populating Natural Product Chemical Space for Drug Discovery. J. Med. Chem. 2012, 55, 5989–6001. [Google Scholar] [CrossRef]
- Atanasov, A.G.; Zotchev, S.B.; Dirsch, V.M.; Supuran, C.T.; Taskforce, I.N.P.S. Natural products in drug discovery: Advances and opportunities. Nat. Rev. Drug Discov. 2021, 20, 200–216. [Google Scholar] [CrossRef]
- Janzen, W.P. Screening Technologies for Small Molecule Discovery: The State of the Art. Chem. Biol. 2014, 21, 1162–1170. [Google Scholar] [CrossRef]
- O’Connor, C.J.; Laraia, L.; Spring, D.R. Chemical genetics. Chem. Soc. Rev. 2011, 40, 4332–4345. [Google Scholar] [CrossRef]
- Geysen, H.M.; Schoenen, F.; Wagner, D.; Wagner, R. Combinatorial compound libraries for drug discovery: An ongoing challenge. Nat. Rev. Drug Discov. 2003, 2, 222–230. [Google Scholar] [CrossRef]
- Schreiber, S.L. Organic chemistry: Molecular diversity by design. Nature 2009, 457, 153–154. [Google Scholar] [CrossRef]
- Swinney, D.C.; Anthony, J. How were new medicines discovered? Nat. Rev. Drug Discov. 2011, 10, 507–519. [Google Scholar] [CrossRef] [PubMed]
- Schreiber, S.L. Target-oriented and diversity-oriented organic synthesis in drug discovery. Science 2000, 287, 1964–1969. [Google Scholar] [CrossRef] [PubMed]
- Burke, M.D.; Schreiber, S.L. A planning strategy for diversity-oriented synthesis. Angew. Chem. Int. Ed. 2004, 43, 46–58. [Google Scholar] [CrossRef] [PubMed]
- Galloway, W.R.J.D.; Isidro-Llobet, A.; Spring, D.R. Diversity-oriented synthesis as a tool for the discovery of novel biologically active small molecules. Nat. Commun. 2010, 1, 80–92. [Google Scholar] [CrossRef]
- Ibbeson, B.M.; Laraia, L.; Alza, E.; O’Connor, C.J.; Tan, Y.S.; Davies, H.M.L.; McKenzie, G.; Venkitaraman, A.R.; Spring, D.R. Diversity-oriented synthesis as a tool for identifying new modulators of mitosis. Nat. Commun. 2014, 5, 3155–3163. [Google Scholar] [CrossRef]
- Beckmann, H.S.G.; Nie, F.L.; Hagerman, C.E.; Johansson, H.; Tan, Y.S.; Wilcke, D.; Spring, D.R. A strategy for the diversity-oriented synthesis of macrocyclic scaffolds using multidimensional coupling. Nat. Chem. 2013, 5, 861–867. [Google Scholar] [CrossRef]
- Garcia-Castro, M.; Zimmermann, S.; Sankar, M.G.; Kumar, K. Scaffold Diversity Synthesis and Its Application in Probe and Drug Discovery. Angew. Chem. Int. Ed. 2016, 55, 7586–7605. [Google Scholar] [CrossRef]
- Gerry, C.J.; Schreiber, S.L. Chemical probes and drug leads from advances in synthetic planning and methodology. Nat. Rev. Drug Discov. 2018, 17, 333–352. [Google Scholar] [CrossRef]
- Kato, N.; Comer, E.; Sakata-Kato, T.; Sharma, A.; Sharma, M.; Maetani, M.; Bastien, J.; Brancucci, N.M.; Bittker, J.A.; Corey, V.; et al. Diversity-oriented synthesis yields novel multistage antimalarial inhibitors. Nature 2016, 538, 344–349. [Google Scholar] [CrossRef]
- Kim, J.; Kim, H.; Park, S.B. Privileged Structures: Efficient Chemical "Navigators" toward Unexplored Biologically Relevant Chemical Spaces. J. Am. Chem. Soc. 2014, 136, 14629–14638. [Google Scholar] [CrossRef]
- Kim, J.; Jung, J.; Koo, J.; Cho, W.; Lee, W.S.; Kim, C.; Park, W.; Park, S.B. Diversity-oriented synthetic strategy for developing a chemical modulator of protein-protein interaction. Nat. Commun. 2016, 7, 13196–13205. [Google Scholar] [CrossRef] [PubMed]
- Shin, Y.H.; Cho, H.N.; Choi, B.Y.; Kim, J.; Ha, J.; Suh, S.W.; Park, S.B. Phenotypic Discovery of Neuroprotective Agents by Regulation of Tau Proteostasis via Stress-Responsive Activation of PERK Signaling. Angew. Chem. Int. Ed. 2021, 60, 1831–1838. [Google Scholar] [CrossRef] [PubMed]
- Hu, Y.; Chen, S.L.; Yang, F.; Dong, S. Marine Indole Alkaloids-Isolation, Structure and Bioactivities. Mar. Drugs 2021, 19, 658. [Google Scholar] [CrossRef] [PubMed]
- Wibowo, J.T.; Ahmadi, P.; Rahmawati, S.I.; Bayu, A.; Putra, M.Y.; Kijjoa, A. Marine-Derived Indole Alkaloids and Their Biological and Pharmacological Activities. Mar. Drugs 2022, 20, 3. [Google Scholar] [CrossRef] [PubMed]
- Taliani, S.; Da Settimo, F.; Martini, C.; Laneri, S.; Novellino, E.; Greco, G. Exploiting the Indole Scaffold to Design Compounds Binding to Different Pharmacological Targets. Molecules 2020, 25, 2331. [Google Scholar] [CrossRef]
- Dhuguru, J.; Skouta, R. Role of Indole Scaffolds as Pharmacophores in the Development of Anti-Lung Cancer Agents. Molecules 2020, 25, 1615. [Google Scholar] [CrossRef]
- Pacheco, P.A.F.; Santos, M.M.M. Recent Progress in the Development of Indole-Based Compounds Active against Malaria, Trypanosomiasis and Leishmaniasis. Molecules 2022, 27, 319. [Google Scholar] [CrossRef]
- Zhang, M.Z.; Chen, Q.; Yang, G.F. A review on recent developments of indole-containing antiviral agents. Eur. J. Med. Chem. 2015, 89, 421–441. [Google Scholar] [CrossRef]
- Norwood, V.M.; Huigens, R.W. Harnessing the Chemistry of the Indole Heterocycle to Drive Discoveries in Biology and Medicine. Chembiochem 2019, 20, 2273–2297. [Google Scholar] [CrossRef]
- Huigens, R.W.; Morrison, K.C.; Hicklin, R.W.; Flood, T.A.; Richter, M.F.; Hergenrother, P.J. A ring-distortion strategy to construct stereochemically complex and structurally diverse compounds from natural products. Nat. Chem. 2013, 5, 195–202. [Google Scholar] [CrossRef]
- Rafferty, R.J.; Hicklin, R.W.; Maloof, K.A.; Hergenrother, P.J. Synthesis of Complex and Diverse Compounds through Ring Distortion of Abietic Acid. Angew. Chem. Int. Ed. 2014, 53, 220–224. [Google Scholar] [CrossRef] [PubMed]
- Garcia, A.; Drown, B.S.; Hergenrother, P.J. Access to a Structurally Complex Compound Collection via Ring Distortion of the Alkaloid Sinomenine. Org. Lett. 2016, 18, 4852–4855. [Google Scholar] [CrossRef] [PubMed]
- Llabani, E.; Hicklin, R.W.; Lee, H.Y.; Motika, S.E.; Crawford, L.A.; Weerapana, E.; Hergenrother, P.J. Diverse compounds from pleuromutilin lead to a thioredoxin inhibitor and inducer of ferroptosis. Nat. Chem. 2019, 11, 521–532. [Google Scholar] [CrossRef] [PubMed]
- Furiassi, L.; Tonogai, E.J.; Hergenrother, P.J. Limonin as a Starting Point for the Construction of Compounds with High Scaffold Diversity. Angew. Chem. Int. Ed. 2021, 60, 16119–16128. [Google Scholar] [CrossRef]
- Morales, A. Yohimbine in erectile dysfunction: The facts. Int. J. Impot. Res. 2000, 12, S70–S74. [Google Scholar] [CrossRef]
- Abdel-Zaher, A.O.; Ahmed, I.T.; El-Koussi, A.D. The potential antidiabetic activity of some alpha-2 adrenoceptor antagonists. Pharmacol. Res. 2001, 44, 397–409. [Google Scholar] [CrossRef]
- Paciaroni, N.G.; Ratnayake, R.; Matthews, J.H.; Norwood, V.M.; Arnold, A.C.; Dang, L.H.; Luesch, H.; Huigens, R.W. A Tryptoline Ring-Distortion Strategy Leads to Complex and Diverse Biologically Active Molecules from the Indole Alkaloid Yohimbine. Chem. Eur. J. 2017, 23, 4327–4335. [Google Scholar] [CrossRef]
- Albright, J.D.; Goldman, L. Alkaloid studies. V. Reaction of tertiary amines with cyanogen bromide under solvolytic conditions. J. Am. Chem. Soc. 1969, 91, 4317–4318. [Google Scholar] [CrossRef]
- Stahl, R.; Borschberg, H. A reinvestigation of the oxidative rearrangement of yohimbane-type alkaloids. part B. formation of oxindol (=1,3-dihydro-2H-indol-2-one) derivatives. Helv. Chim. Acta 1996, 79, 1361–1378. [Google Scholar] [CrossRef]
- Paciaroni, N.G.; Perry, D.L.; Norwood, V.M.; Murillo-Solano, C.; Collins, J.; Tenneti, S.; Chakrabarti, D.; Huigens, R.W. Re-Engineering of Yohimbine’s Biological Activity through Ring Distortion: Identification and Structure-Activity Relationships of a New Class of Antiplasmodial Agents. ACS Infect. Dis. 2020, 6, 159–167. [Google Scholar] [CrossRef]
- Dany, F.; Goudoud, J.C. Torsades de pointes et arythmies ventriculaires graves par administration parenterale de vincamine. Arch. Mal. Coeur. 1980, 73, 298–306. [Google Scholar] [PubMed]
- Rassat, J.; Robenek, H.; Themann, H. Changes in mouse hepatocytes caused by vincamin. Naunyn-Schmiedeberg’s Arch. Pharmacol. 1982, 318, 349–357. [Google Scholar] [CrossRef] [PubMed]
- Fawzy, M.A.; Maher, S.A.; El-Rehany, M.A.; Welson, N.N.; Albezrah, N.K.A.; Batiha, G.E.; Fathy, M. Vincamine Modulates the Effect of Pantoprazole in Renal Ischemia/Reperfusion Injury by Attenuating MAPK and Apoptosis Signaling Pathways. Molecules 2022, 27, 1383. [Google Scholar] [CrossRef]
- Norwood, V.M.T.; Brice-Tutt, A.C.; Eans, S.O.; Stacy, H.M.; Shi, G.; Ratnayake, R.; Rocca, J.R.; Abboud, K.A.; Li, C.; Luesch, H.; et al. Preventing Morphine-Seeking Behavior through the Re-Engineering of Vincamine’s Biological Activity. J. Med. Chem. 2020, 63, 5119–5138. [Google Scholar] [CrossRef] [PubMed]
- Srinivasulu, V.; Sieburth, S.M.; Khanfar, M.A.; Abu-Yousef, I.A.; Majdalawieh, A.; Ramanathan, M.; Sebastian, A.; Al-Tel, T.H. Stereoselective Late-Stage Transformations of Indolo [2,3-a]quinolizines Skeleta to Nature-Inspired Scaffolds. J. Org. Chem. 2021, 86, 12872–12885. [Google Scholar] [CrossRef] [PubMed]
- Srinivasulu, V.; Schilf, P.; Ibrahim, S.; Khanfar, M.A.; Sieburth, S.M.; Omar, H.; Sebastian, A.; AlQawasmeh, R.A.; O’Connor, M.J.; Al-Tel, T.H. Multidirectional desymmetrization of pluripotent building block en route to diastereoselective synthesis of complex nature-inspired scaffolds. Nat. Commun. 2018, 9, 4989–5002. [Google Scholar] [CrossRef]
- Bauer, R.A.; Wenderski, T.A.; Tan, D.S. Biomimetic diversity-oriented synthesis of benzannulated medium rings via ring expansion. Nat. Chem. Biol. 2013, 9, 21–29. [Google Scholar] [CrossRef]
- Yasir, A.; Ishtiaq, S.; Jahangir, M.; Ajaib, M.; Salar, U.; Khan, K.M. Biology-Oriented Synthesis (BIOS) of Piperine Derivatives and their Comparative Analgesic and Antiinflammatory Activities. Med. Chem. 2018, 14, 269–280. [Google Scholar] [CrossRef]
- Svenda, J.; Sheremet, M.; Kremer, L.; Maier, L.; Bauer, J.O.; Strohmann, C.; Ziegler, S.; Kumar, K.; Waldmann, H. Biology-Oriented Synthesis of a Withanolide-Inspired Compound Collection Reveals Novel Modulators of Hedgehog Signaling. Angew. Chem. Int. Ed. 2015, 54, 5596–5602. [Google Scholar] [CrossRef]
- Day, A.J.; Sumby, C.J.; George, J.H. Biomimetic Synthetic Studies on the Bruceol Family of Meroterpenoid Natural Products. J. Org. Chem. 2020, 85, 2103–2117. [Google Scholar] [CrossRef]
- Day, A.J.; Lee, J.H.Z.; Phan, Q.D.; Lam, H.C.; Ametovski, A.; Sumby, C.J.; Bell, S.G.; George, J.H. Biomimetic and Biocatalytic Synthesis of Bruceol. Angew. Chem. Int. Ed. 2019, 58, 1427–1431. [Google Scholar] [CrossRef] [PubMed]
- Stocking, E.M.; Williams, R.M. Chemistry and biology of biosynthetic Diels-Alder reactions. Angew. Chem. Int. Ed. 2003, 42, 3078–3115. [Google Scholar] [CrossRef] [PubMed]
- O’Connor, S.E.; Maresh, J. Chemistry and biology of monoterpeneindole alkaloid biosynthesis. J. Nat. Prod. Rep. 2006, 23, 532–547. [Google Scholar] [CrossRef] [PubMed]
- Liu, S.; Scotti, J.S.; Kozmin, S.A. Emulating the Logic of Monoterpenoid Alkaloid Biogenesis to Access a Skeletally Diverse Chemical Library. J. Org. Chem. 2013, 78, 8645–8654. [Google Scholar] [CrossRef][Green Version]
- Finefield, J.M.; Sherman, D.H.; Kreitman, M.; Williams, R.M. Enantiomeric natural products: Occurrence and biogenesis. Angew. Chem. Int. Ed. 2012, 51, 4802–4836. [Google Scholar] [CrossRef]
- Dong, C.; Mo, F.; Wang, J. Highly diastereoselective addition of the lithium enolate of alpha-diazoacetoacetate to N-sulfinyl imines: Enantioselective synthesis of 2-Oxo and 3-Oxo pyrrolidines. J. Org. Chem. 2008, 73, 1971–1974. [Google Scholar] [CrossRef]
- Mizoguchi, H.; Oikawa, H.; Oguri, H. Biogenetically inspired synthesis and skeletal diversification of indole alkaloids. Nat. Chem. 2014, 6, 57–64. [Google Scholar] [CrossRef]
- Yang, Y.; Bai, Y.; Sun, S.; Dai, M. Biosynthetically inspired divergent approach to monoterpene indole alkaloids: Total synthesis of mersicarpine, leuconodines B and D, leuconoxine, melodinine E, leuconolam, and rhazinilam. Org. Lett. 2014, 16, 6216–6219. [Google Scholar] [CrossRef]
- Iyer, R.N.; Favela, D.; Zhang, G.; Olson, D.E. The iboga enigma: The chemistry and neuropharmacology of iboga alkaloids and related analogs. Nat. Prod. Rep. 2021, 38, 307–329. [Google Scholar] [CrossRef]
- Lavaud, C.; Massiot, G. The Iboga Alkaloids. Prog. Chem. Org. Nat. Prod. 2017, 105, 89–136. [Google Scholar]
- Tang, B.Q.; Wang, W.J.; Huang, X.J.; Li, G.Q.; Wang, L.; Jiang, R.W.; Yang, T.T.; Shi, L.; Zhang, X.Q.; Ye, W.C. Iboga-Type Alkaloids from Ervatamia officinalis. J. Nat. Prod. 2014, 77, 1839–1846. [Google Scholar] [CrossRef] [PubMed]
- Nge, C.E.; Gan, C.Y.; Low, Y.Y.; Thomas, N.F.; Kam, T.S. Voatinggine and tabertinggine, pentacyclic indole alkaloids derived from an iboga precursor via a common cleavamine-type intermediate. Org. Lett. 2013, 15, 4774–4777. [Google Scholar] [CrossRef] [PubMed]
- Seong, S.; Lim, H.; Han, S. Biosynthetically Inspired Transformation of Iboga to Monomeric Post-iboga Alkaloids. Chem 2019, 5, 353–363. [Google Scholar] [CrossRef]








Publisher’s Note: MDPI stays neutral with regard to jurisdictional claims in published maps and institutional affiliations. |
© 2022 by the authors. Licensee MDPI, Basel, Switzerland. This article is an open access article distributed under the terms and conditions of the Creative Commons Attribution (CC BY) license (https://creativecommons.org/licenses/by/4.0/).
Share and Cite
Kim, T.; Ha, M.W.; Kim, J. Recent Advances in Divergent Synthetic Strategies for Indole-Based Natural Product Libraries. Molecules 2022, 27, 2171. https://doi.org/10.3390/molecules27072171
Kim T, Ha MW, Kim J. Recent Advances in Divergent Synthetic Strategies for Indole-Based Natural Product Libraries. Molecules. 2022; 27(7):2171. https://doi.org/10.3390/molecules27072171
Chicago/Turabian StyleKim, Taegwan, Min Woo Ha, and Jonghoon Kim. 2022. "Recent Advances in Divergent Synthetic Strategies for Indole-Based Natural Product Libraries" Molecules 27, no. 7: 2171. https://doi.org/10.3390/molecules27072171
APA StyleKim, T., Ha, M. W., & Kim, J. (2022). Recent Advances in Divergent Synthetic Strategies for Indole-Based Natural Product Libraries. Molecules, 27(7), 2171. https://doi.org/10.3390/molecules27072171

