Sulfur-Doped Binary Layered Metal Oxides Incorporated on Pomegranate Peel-Derived Activated Carbon for Removal of Heavy Metal Ions
Abstract
1. Introduction
2. Results and Discussion
2.1. Adsorbent Characterization
2.1.1. FTIR Spectroscopy
2.1.2. SEM Microscopy
2.1.3. EDX Spectroscopy
2.1.4. BET Surface Area
2.2. Adsorption Parameters
2.2.1. Types of Materials
2.2.2. Effect of Solution pH
2.2.3. Effect of Adsorbent Dosage
2.2.4. Effect of Time
2.3. Adsorption Kinetics
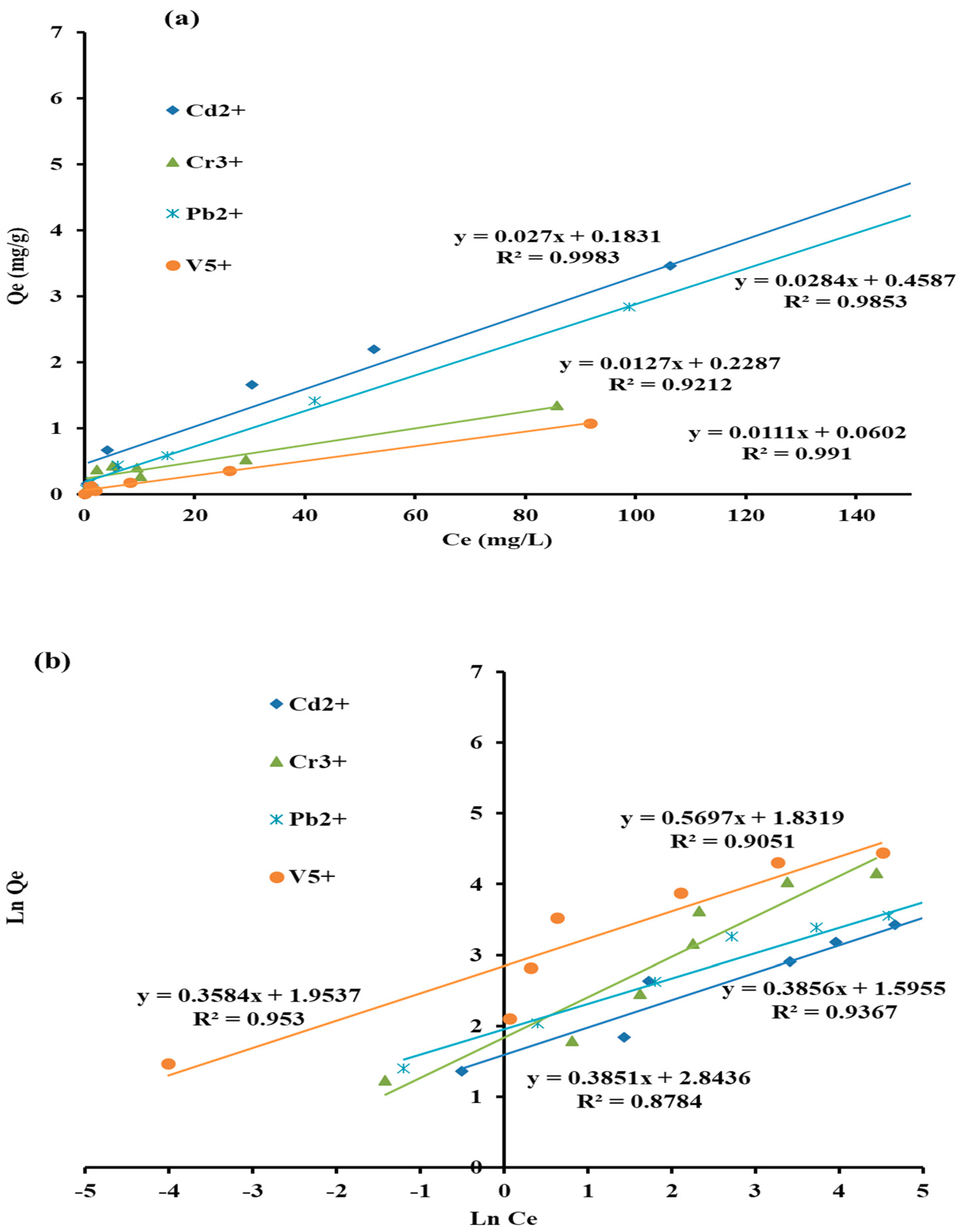
2.4. Adsorption Equilibrium and Isotherm Models
2.5. Mechanism Study
2.6. Regeneration
2.7. Comparison
3. Material and Methods
3.1. Material
3.2. Adsorbent Synthesis
3.2.1. Pretreatment and Synthesis AC
3.2.2. Synthesis of SML-AC
3.3. Adsorbent Characterization
3.4. Removal Procedure
4. Conclusions
Author Contributions
Funding
Institutional Review Board Statement
Informed Consent Statement
Data Availability Statement
Acknowledgments
Conflicts of Interest
Sample Availability
References
- Bidhendi, M.E.; Parandi, E.; Mahmoudi-Meymand, M.; Sereshti, H.; Nodeh, H.R.; Joo, S.-W.; Vasseghian, Y.; Khatir, N.M.; Rezania, S. Removal of lead ions from wastewater using magnesium sulfide nanoparticles caged alginate microbeads. Environ. Res. 2022, 216, 114416. [Google Scholar] [CrossRef] [PubMed]
- Esmaeili Bidhendi, M.; Abedynia, S.; Mirzaei, S.S.; Gabris, M.A.; Rashidi Nodeh, H.; Sereshti, H. Efficient removal of heavy metal ions from the water of oil-rich regions using layered metal-phosphate incorporated activated carbon nanocomposite. Water Environ. J. 2020, 34, 893–905. [Google Scholar] [CrossRef]
- Nafi, A.W.; Taseidifar, M. Removal of hazardous ions from aqueous solutions: Current methods, with a focus on green ion flotation. J. Environ. Manag. 2022, 319, 115666. [Google Scholar] [CrossRef] [PubMed]
- Mosleh, N.; Ahranjani, P.J.; Parandi, E.; Nodeh, H.R.; Nawrot, N.; Rezania, S.; Sathishkumar, P. Titanium lanthanum three oxides decorated magnetic graphene oxide for adsorption of lead ions from aqueous media. Environ. Res. 2022, 214, 113831. [Google Scholar] [CrossRef]
- Mosleh, N.; Najmi, M.; Parandi, E.; Nodeh, H.R.; Vasseghian, Y.; Rezania, S. Magnetic sporopollenin supported polyaniline developed for removal of lead ions from wastewater: Kinetic, isotherm and thermodynamic studies. Chemosphere 2022, 300, 134461. [Google Scholar] [CrossRef] [PubMed]
- Vonnie, J.M.; Li, C.S.; Erna, K.H.; Yin, K.W.; Felicia, W.X.L.; Aqilah, M.N.N.; Rovina, K. Development of Eggshell-Based Orange Peel Activated Carbon Film for Synergetic Adsorption of Cadmium (II) Ion. Nanomaterials 2022, 12, 2750. [Google Scholar] [CrossRef] [PubMed]
- Lilhare, S.; Mathew, S.B.; Singh, A.K.; Carabineiro, S.A. Aloe Vera Functionalized Magnetic Nanoparticles Entrapped Ca Alginate Beads as Novel Adsorbents for Cu (II) Removal from Aqueous Solutions. Nanomaterials 2022, 12, 2947. [Google Scholar] [CrossRef]
- Parandi, E.; Pero, M.; Kiani, H. Phase change and crystallization behavior of water in biological systems and innovative freezing processes and methods for evaluating crystallization. Discov. Food 2022, 2, 1–24. [Google Scholar] [CrossRef]
- Esmaeili Bidhendi, M.; Poursorkh, Z.; Sereshti, H.; Rashidi Nodeh, H.; Rezania, S.; Afzal Kamboh, M. Nano-size biomass derived from pomegranate peel for enhanced removal of cefixime antibiotic from aqueous media: Kinetic, equilibrium and thermodynamic study. Int. J. Environ. Res. Public Health 2020, 17, 4223. [Google Scholar] [CrossRef]
- Dhahri, R.; Yılmaz, M.; Mechi, L.; Alsukaibi, A.K.D.; Alimi, F.; ben Salem, R.; Moussaoui, Y. Optimization of the Preparation of Activated Carbon from Prickly Pear Seed Cake for the Removal of Lead and Cadmium Ions from Aqueous Solution. Sustainability 2022, 14, 3245. [Google Scholar] [CrossRef]
- Venugopal, B.; Rajamathi, M.J.J.o.c. Layer-by-layer composite of anionic and cationic clays by metathesis. J. Colloid Interface Sci. 2011, 355, 396–401. [Google Scholar] [CrossRef] [PubMed]
- Manos, M.J.; Kanatzidis, M.G. Metal sulfide ion exchangers: Superior sorbents for the capture of toxic and nuclear waste-related metal ions. Chem. Sci. 2016, 7, 4804–4824. [Google Scholar] [CrossRef] [PubMed]
- Sarma, D.; Malliakas, C.D.; Subrahmanyam, K.; Islam, S.M.; Kanatzidis, M.G. K2xSn 4−xS8−x (x = 0.65–1): A new metal sulfide for rapid and selective removal of Cs+, Sr2+ and UO22+ ions. Chem. Sci. 2016, 7, 1121–1132. [Google Scholar] [CrossRef] [PubMed]
- Yadollahi, M.; Namazi, H. Synthesis and characterization of carboxymethyl cellulose/layered double hydroxide nanocomposites. J. Nanopart. Res. 2013, 15, 1–9. [Google Scholar] [CrossRef]
- Bian, Y.; Bian, Z.; Zhang, J.; Ding, A.; Liu, S.; Zheng, L.; Wang, H. Adsorption of cadmium ions from aqueous solutions by activated carbon with oxygen-containing functional groups. Chin. J. Chem. Eng. 2015, 23, 1705–1711. [Google Scholar] [CrossRef]
- Santos, V.C.G.D.; Salvado, A.d.P.A.; Dragunski, D.C.; Peraro, D.N.C.; Tarley, C.R.T.; Caetano, J. Highly improved chromium (III) uptake capacity in modified sugarcane bagasse using different chemical treatments. Química Nova 2012, 35, 1606–1611. [Google Scholar] [CrossRef]
- Duan, S.; Tang, R.; Xue, Z.; Zhang, X.; Zhao, Y.; Zhang, W.; Zhang, J.; Wang, B.; Zeng, S.; Sun, D.J.C. Effective removal of Pb (II) using magnetic Co0.6Fe2.4O4 micro-particles as the adsorbent: Synthesis and study on the kinetic and thermodynamic behaviors for its adsorption. Colloids Surf. A Physicochem. Eng. Asp. 2015, 469, 211–223. [Google Scholar] [CrossRef]
- Naushad, M. Surfactant assisted nano-composite cation exchanger: Development, characterization and applications for the removal of toxic Pb2+ from aqueous medium. Chem. Eng. J. 2014, 235, 100–108. [Google Scholar] [CrossRef]
- Sing, K.S. Reporting physisorption data for gas/solid systems with special reference to the determination of surface area and porosity (Recommendations 1984). Pure Appl. Chem. 1985, 57, 603–619. [Google Scholar] [CrossRef]
- Saleh, T.A. Isotherm, kinetic, and thermodynamic studies on Hg (II) adsorption from aqueous solution by silica-multiwall carbon nanotubes. Environ. Sci. Pollut. Res. 2015, 22, 16721–16731. [Google Scholar] [CrossRef]
- Mona, S.; Kaushik, A. Chromium and cobalt sequestration using exopolysaccharides produced by freshwater cyanobacterium Nostoc linckia. Ecol. Eng. 2015, 82, 121–125. [Google Scholar] [CrossRef]
- Karnib, M.; Kabbani, A.; Holail, H.; Olama, Z. Heavy metals removal using activated carbon, silica and silica activated carbon composite. Energy Procedia 2014, 50, 113–120. [Google Scholar] [CrossRef]
- Shirani, M.; Aslani, A.; Sepahi, S.; Parandi, E.; Motamedi, A.; Jahanmard, E.; Nodeh, H.R.; Akbari-Adergani, B. An efficient 3D adsorbent foam based on graphene oxide/AgO nanoparticles for rapid vortex-assisted floating solid phase extraction of bisphenol A in canned food products. Anal. Methods 2022, 14, 2623–2630. [Google Scholar] [CrossRef] [PubMed]
- Shirani, M.; Parandi, E.; Nodeh, H.R.; Akbari-Adergani, B.; Shahdadi, F. Development of a rapid efficient solid-phase microextraction: An overhead rotating flat surface sorbent based 3-D graphene oxide/lanthanum nanoparticles@ Ni foam for separation and determination of sulfonamides in animal-based food products. Food Chem. 2022, 373, 131421. [Google Scholar] [CrossRef]
- Aghel, B.; Gouran, A.; Parandi, E.; Jumeh, B.H.; Nodeh, H.R. Production of biodiesel from high acidity waste cooking oil using nano GO@ MgO catalyst in a microreactor. Renew. Energy 2022, 200, 294–302. [Google Scholar] [CrossRef]
- Parandi, E.; Safaripour, M.; Abdellattif, M.H.; Saidi, M.; Bozorgian, A.; Nodeh, H.R.; Rezania, S. Biodiesel production from waste cooking oil using a novel biocatalyst of lipase enzyme immobilized magnetic nanocomposite. Fuel 2022, 313, 123057. [Google Scholar] [CrossRef]












| Kinetic Models | Parameters | Cd2+ | Cr3+ | Pb2+ | V5+ |
|---|---|---|---|---|---|
| pseudo-first order | R2 | 0.898 | 0.888 | 0.965 | 0.834 |
| k1 (1/min) | 0.009 | 0.006 | 0.0121 | 0.0135 | |
| qe (mg·g–1) | 19.16 | 16.74 | 22.07 | 16.31 | |
| pseudo-second order | R2 | 0.999 | 0.998 | 0.993 | 0.998 |
| k2 (g/mg/min) | 0.0012 | 0.0018 | 0.0012 | 0.0015 | |
| qe (mg·g–1) | 25.71 | 23.25 | 27.77 | 28.08 |
| Isotherms | Parameters | Cd2+ | Cr3+ | Pb2+ | V5+ |
|---|---|---|---|---|---|
| Langmuir | Qm (mg g−1) | 37.03 | 78.74 | 35.21 | 90.09 |
| kL (L mg−1) | 0.144 | 0.055 | 0.061 | 0.184 | |
| R2 | 0.998 | 0.921 | 0.985 | 0.991 | |
| Freundlich | KF [(mg g−1) (L mg−1)1/n] | 4.42 | 5.51 | 6.17 | 14.11 |
| n | 2.59 | 1.75 | 2.79 | 2.59 | |
| R2 | 0.936 | 0.905 | 0.953 | 0.878 | |
| Dubinin–Radushkevich | Qs (mg g−1) | 18.61 | 24.98 | 22.39 | 38.29 |
| Kad (mol2/kJ2) | 2.908 | 2.161 | 0.736 | 0.592 | |
| R2 | 0.864 | 0.848 | 0.886 | 0.903 | |
| Energy | E (kJ/mol) | 0.41 | 0.48 | 0.82 | 0.91 |
| Adsorbent | Heavy Metals | pH | Time (min) | Qe (mg/g) | Ref. |
|---|---|---|---|---|---|
| AC-SML | Pb2+, Cd2+, Cr3+, V5+ | 4 | 120 | 37–90 | This study |
| AC-metal phosphate layered | Pb2+, Cd2+, Co2+, V5+, Ni2+ | 6 | 140 | 20–140 | [2] |
| AC-silica | Pb2+, Cd2+, Ni2+ | 7 | 200 | 61–400 | [22] |
| Magnetic sporopollenin-polyaniline | Pb2+ | 6 | 90 | 163.93 | [5] |
| Magnetic graphene oxide-TiLa | Pb2+ | 5 | 120 | 112 | [4] |
| Alginate@MgS | Pb2+ | 4 | 140 | 84.74 | [1] |
Publisher’s Note: MDPI stays neutral with regard to jurisdictional claims in published maps and institutional affiliations. |
© 2022 by the authors. Licensee MDPI, Basel, Switzerland. This article is an open access article distributed under the terms and conditions of the Creative Commons Attribution (CC BY) license (https://creativecommons.org/licenses/by/4.0/).
Share and Cite
Jume, B.H.; Valizadeh Dana, N.; Rastin, M.; Parandi, E.; Darajeh, N.; Rezania, S. Sulfur-Doped Binary Layered Metal Oxides Incorporated on Pomegranate Peel-Derived Activated Carbon for Removal of Heavy Metal Ions. Molecules 2022, 27, 8841. https://doi.org/10.3390/molecules27248841
Jume BH, Valizadeh Dana N, Rastin M, Parandi E, Darajeh N, Rezania S. Sulfur-Doped Binary Layered Metal Oxides Incorporated on Pomegranate Peel-Derived Activated Carbon for Removal of Heavy Metal Ions. Molecules. 2022; 27(24):8841. https://doi.org/10.3390/molecules27248841
Chicago/Turabian StyleJume, Binta Hadi, Niloofar Valizadeh Dana, Marjan Rastin, Ehsan Parandi, Negisa Darajeh, and Shahabaldin Rezania. 2022. "Sulfur-Doped Binary Layered Metal Oxides Incorporated on Pomegranate Peel-Derived Activated Carbon for Removal of Heavy Metal Ions" Molecules 27, no. 24: 8841. https://doi.org/10.3390/molecules27248841
APA StyleJume, B. H., Valizadeh Dana, N., Rastin, M., Parandi, E., Darajeh, N., & Rezania, S. (2022). Sulfur-Doped Binary Layered Metal Oxides Incorporated on Pomegranate Peel-Derived Activated Carbon for Removal of Heavy Metal Ions. Molecules, 27(24), 8841. https://doi.org/10.3390/molecules27248841

