Development of Quantitative Chemical Ionization Using Gas Chromatography/Mass Spectrometry and Gas Chromatography/Tandem Mass Spectrometry for Ambient Nitro- and Oxy-PAHs and Its Applications
Abstract
1. Introduction
2. Results and Discussion
2.1. Congener-Specific Determination of PAH Derivatives
2.1.1. Optimal Ionization Mode Selection
2.1.2. Ionization Efficiency
2.1.3. Chromatographic Separation
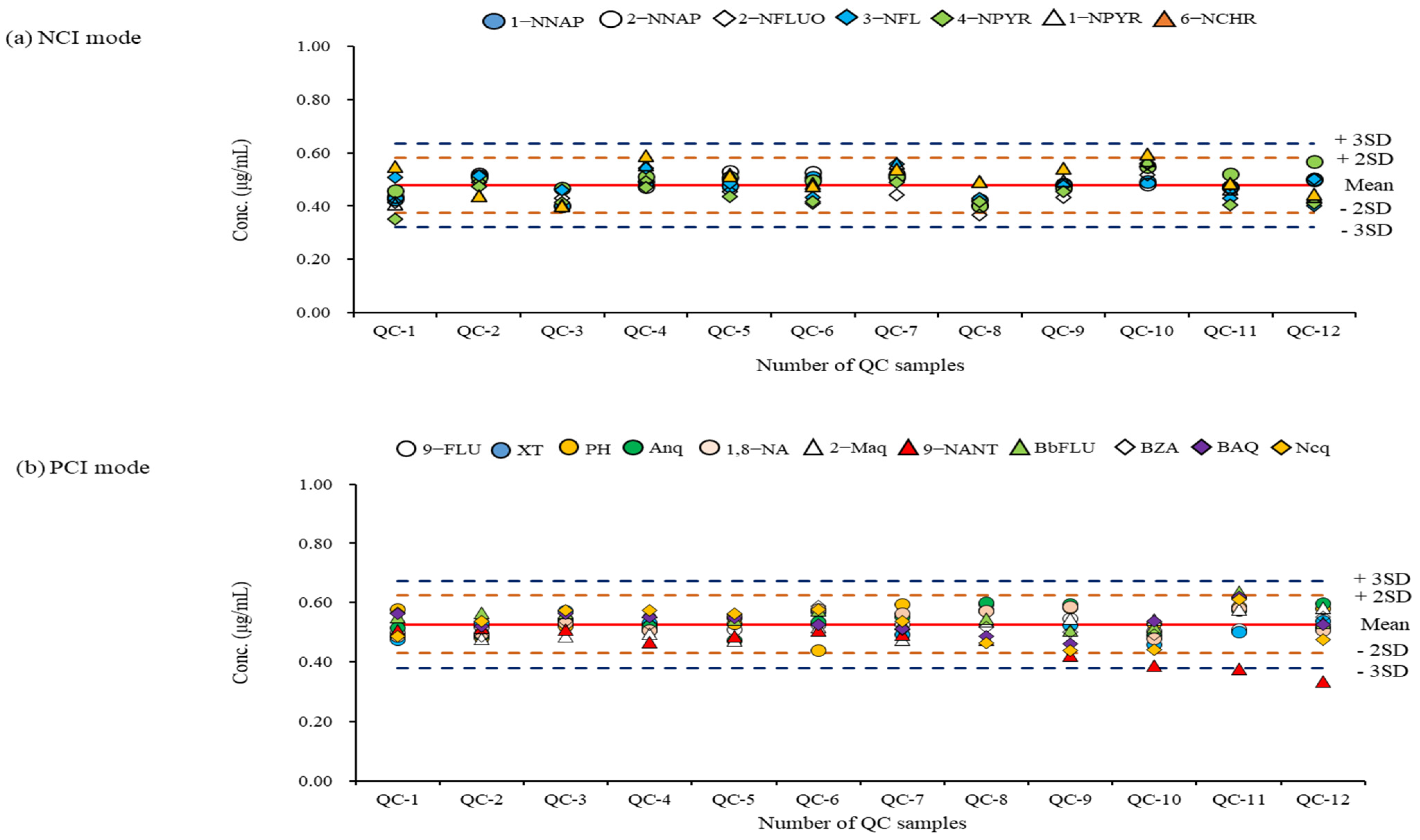
2.2. Method Validation
2.3. Application to Actual Aerosol Samples
3. Materials and Methods
3.1. Sampling Sites and Method
3.2. Sample Extraction and Analysis
3.3. Quality Assurance and Quality Control
4. Conclusions
Supplementary Materials
Author Contributions
Funding
Institutional Review Board Statement
Informed Consent Statement
Data Availability Statement
Conflicts of Interest
Sample Availability
References
- Rabha, S.; Saikia, B.K. Advanced micro-and nanoscale characterization techniques for carbonaceous aerosols. In Handbook of Nanomaterials in Analytical Chemistry; Elsevier: Amsterdam, The Netherlands, 2020; pp. 449–472. [Google Scholar]
- Ravindra, K.; Sokhi, R.; Van Grieken, R. Atmospheric polycyclic aromatic hydrocarbons: Source attribution, emission factors and regulation. Atmos. Environ. 2008, 42, 2895–2921. [Google Scholar] [CrossRef]
- Bläsing, M.; Amelung, W.; Schwark, L.; Lehndorff, E. Inland navigation: PAH inventories in soil and vegetation after EU fuel regulation 2009/30/EC. Sci. Total Environ. 2017, 584, 19–28. [Google Scholar] [CrossRef] [PubMed]
- Keith, L.H. The source of US EPA’s sixteen PAH priority pollutants. Polycycl. Aromat. Compd. 2015, 35, 147–160. [Google Scholar] [CrossRef]
- Walgraeve, C.; Demeestere, K.; Dewulf, J.; Zimmermann, R.; Van Langenhove, H. Oxygenated polycyclic aromatic hydrocarbons in atmospheric particulate matter: Molecular characterization and occurrence. Atmos. Environ. 2010, 44, 1831–1846. [Google Scholar] [CrossRef]
- Bandowe, B.A.M.; Meusel, H. Nitrated polycyclic aromatic hydrocarbons (nitro-PAHs) in the environment—A review. Sci. Total Environ. 2017, 581, 237–257. [Google Scholar] [CrossRef]
- Bandowe, B.A.M.; Meusel, H.; Huang, R.-J.; Ho, K.; Cao, J.; Hoffmann, T.; Wilcke, W. PM2. 5-bound oxygenated PAHs, nitro-PAHs and parent-PAHs from the atmosphere of a Chinese megacity: Seasonal variation, sources and cancer risk assessment. Sci. Total Environ 2014, 473, 77–87. [Google Scholar] [CrossRef] [PubMed]
- Dos Santos, R.R.; de Lourdes Cardeal, Z.; Menezes, H.C. Phase distribution of polycyclic aromatic hydrocarbons and their oxygenated and nitrated derivatives in the ambient air of a Brazilian urban area. Chemosphere 2020, 250, 126223. [Google Scholar] [CrossRef]
- Hayakawa, K. Recent Research Progress on Nitropolycyclic Aromatic Hydrocarbons in Outdoor and Indoor Environments. Appl. Sci. 2022, 12, 11259. [Google Scholar] [CrossRef]
- Abbas, I.; Badran, G.; Verdin, A.; Ledoux, F.; Roumié, M.; Courcot, D.; Garçon, G. Polycyclic aromatic hydrocarbon derivatives in airborne particulate matter: Sources, analysis and toxicity. Environ. Chem. Lett. 2018, 16, 439–475. [Google Scholar] [CrossRef]
- Tomaz, S.; Jaffrezo, J.-L.; Favez, O.; Perraudin, E.; Villenave, E.; Albinet, A. Sources and atmospheric chemistry of oxy-and nitro-PAHs in the ambient air of Grenoble (France). Atmos. Environ. 2017, 161, 144–154. [Google Scholar] [CrossRef]
- Li, W.; Wang, C.; Shen, H.; Su, S.; Shen, G.; Huang, Y.; Zhang, Y.; Chen, Y.; Chen, H.; Lin, N. Concentrations and origins of nitro-polycyclic aromatic hydrocarbons and oxy-polycyclic aromatic hydrocarbons in ambient air in urban and rural areas in northern China. Environ. Pollut. 2015, 197, 156–164. [Google Scholar] [CrossRef]
- Kojima, Y.; Inazu, K.; Hisamatsu, Y.; Okochi, H.; Baba, T.; Nagoya, T. Influence of secondary formation on atmospheric occurrences of oxygenated polycyclic aromatic hydrocarbons in airborne particles. Atmos. Environ. 2010, 44, 2873–2880. [Google Scholar] [CrossRef]
- Srivastava, D.; Favez, O.; Bonnaire, N.; Lucarelli, F.; Haeffelin, M.; Perraudin, E.; Gros, V.; Villenave, E.; Albinet, A. Speciation of organic fractions does matter for aerosol source apportionment. Part 2: Intensive short-term campaign in the Paris area (France). Sci. Total Environ. 2018, 634, 267–278. [Google Scholar] [CrossRef]
- Wei, S.; Huang, B.; Liu, M.; Bi, X.; Ren, Z.; Sheng, G.; Fu, J. Characterization of PM2. 5-bound nitrated and oxygenated PAHs in two industrial sites of South China. Atmos. Res. 2012, 109, 76–83. [Google Scholar] [CrossRef]
- Niederer, M. Determination of polycyclic aromatic hydrocarbons and substitutes (nitro-, oxy-PAHs) in urban soil and airborne particulate by GC-MS and NCI-MS/MS. Environ. Sci. Pollut. Res. 1998, 5, 209–216. [Google Scholar] [CrossRef] [PubMed]
- Tomaz, S.; Shahpoury, P.; Jaffrezo, J.-L.; Lammel, G.; Perraudin, E.; Villenave, E.; Albinet, A. One-year study of polycyclic aromatic compounds at an urban site in Grenoble (France): Seasonal variations, gas/particle partitioning and cancer risk estimation. Sci. Total Environ. 2016, 565, 1071–1083. [Google Scholar] [CrossRef] [PubMed]
- Albinet, A.; Leoz-Garziandia, E.; Budzinski, H.; ViIlenave, E. Simultaneous analysis of oxygenated and nitrated polycyclic aromatic hydrocarbons on standard reference material 1649a (urban dust) and on natural ambient air samples by gas chromatography–mass spectrometry with negative ion chemical ionisation. J. Chromatogr. A 2006, 1121, 106–113. [Google Scholar] [CrossRef]
- Domeno, C.; Canellas, E.; Alfaro, P.; Rodriguez-Lafuente, A.; Nerin, C. Atmospheric pressure gas chromatography with quadrupole time of flight mass spectrometry for simultaneous detection and quantification of polycyclic aromatic hydrocarbons and nitro-polycyclic aromatic hydrocarbons in mosses. J. Chromatogr. A 2012, 1252, 146–154. [Google Scholar] [CrossRef]
- Nowakowski, M.; Rykowska, I.; Wolski, R.; Andrzejewski, P. Polycyclic Aromatic Hydrocarbons (PAHs) and their Derivatives (O-PAHs, N-PAHs, OH-PAHs): Determination in Suspended Particulate Matter (SPM)—A Review. Environ. Process. 2022, 9, 2. [Google Scholar] [CrossRef]
- Tanner, R.L.; Fajer, R. Determination of nitro-polynuclear aromatics in ambient aerosol samples. Int. J. Environ. Sci. Technol. 1983, 14, 231–241. [Google Scholar] [CrossRef]
- Teixeira, E.C.; Garcia, K.O.; Meincke, L.; Leal, K.A. Study of nitro-polycyclic aromatic hydrocarbons in fine and coarse atmospheric particles. Atmos. Res. 2011, 101, 631–639. [Google Scholar] [CrossRef]
- Oezel, M.Z.; Hamilton, J.F.; Lewis, A.C. New sensitive and quantitative analysis method for organic nitrogen compounds in urban aerosol samples. Environ. Sci. Technol. 2011, 45, 1497–1505. [Google Scholar] [CrossRef] [PubMed]
- Chuang, J.C.; Mack, G.A.; Kuhlman, M.R.; Wilson, N.K. Polycyclic aromatic hydrocarbons and their derivatives in indoor and outdoor air in an eight-home study. Atmos. Environ. Part B Urban Atmos. 1991, 25, 369–380. [Google Scholar] [CrossRef]
- Vyskocil, V.; Barek, J. Electroanalysis of nitro and amino derivatives of polycyclic aromatic hydrocarbons. Curr. Org. Chem. 2011, 15, 3059–3076. [Google Scholar] [CrossRef]
- Galceran, M.; Moyano, E. Determination of oxygenated and nitro-substituted polycyclic aromatic hydrocarbons by HPLC and electrochemical detection. Talanta 1993, 40, 615–621. [Google Scholar] [CrossRef]
- Reisen, F.; Arey, J. Atmospheric reactions influence seasonal PAH and nitro-PAH concentrations in the Los Angeles basin. Environ. Sci. Technol. 2005, 39, 64–73. [Google Scholar] [CrossRef]
- Dimashki, M.; Harrad, S.; Harrison, R.M. Measurements of nitro-PAH in the atmospheres of two cities. Atmos. Environ. 2000, 34, 2459–2469. [Google Scholar] [CrossRef]
- Bamford, H.A.; Bezabeh, D.Z.; Schantz, M.M.; Wise, S.A.; Baker, J.E. Determination and comparison of nitrated-polycyclic aromatic hydrocarbons measured in air and diesel particulate reference materials. Chemosphere 2003, 50, 575–587. [Google Scholar] [CrossRef]
- Mueller, A.; Ulrich, N.; Hollmann, J.; Sanchez, C.E.Z.; Rolle-Kampczyk, U.E.; von Bergen, M. Characterization of a multianalyte GC-MS/MS procedure for detecting and quantifying polycyclic aromatic hydrocarbons (PAHs) and PAH derivatives from air particulate matter for an improved risk assessment. Environ. Pollut. 2019, 255, 112967. [Google Scholar] [CrossRef]
- Drventić, I.; Šala, M.; Vidović, K.; Kroflič, A. Direct quantification of PAHs and nitro-PAHs in atmospheric PM by thermal desorption gas chromatography with electron ionization mass spectroscopic detection. Talanta 2023, 251, 123761. [Google Scholar] [CrossRef]
- Zielinska, B.; Samy, S. Analysis of nitrated polycyclic aromatic hydrocarbons. Anal. Bioanal. Chem. 2006, 386, 883–890. [Google Scholar] [CrossRef]
- Yadav, I.C.; Devi, N.L.; Singh, V.K.; Li, J.; Zhang, G. Concentrations, sources and health risk of nitrated-and oxygenated-polycyclic aromatic hydrocarbon in urban indoor air and dust from four cities of Nepal. Sci. Total Environ. 2018, 643, 1013–1023. [Google Scholar] [CrossRef] [PubMed]
- Naing, N.N.; Yeo, K.B.; Lee, H.K. A combined microextraction procedure for isolation of polycyclic aromatic hydrocarbons in ambient fine air particulate matter with determination by gas chromatography-tandem mass spectrometry. J. Chromatogr. A 2020, 1612, 460646. [Google Scholar] [CrossRef] [PubMed]
- Sun, C.; Qu, L.; Wu, L.; Wu, X.; Sun, R.; Li, Y. Advances in analysis of nitrated polycyclic aromatic hydrocarbons in various matrices. Trends Anal. Chem. 2020, 127, 115878. [Google Scholar] [CrossRef]
- Vu-Duc, N.; Phung Thi, L.A.; Le-Minh, T.; Nguyen, L.-A.; Nguyen-Thi, H.; Pham-Thi, L.-H.; Doan-Thi, V.-A.; Le-Quang, H.; Nguyen-Xuan, H.; Thi Nguyen, T. Analysis of polycyclic aromatic hydrocarbon in airborne particulate matter samples by gas chromatography in combination with tandem mass spectrometry (GC-MS/MS). J. Anal. Methods Chem. 2021, 2021, 6641326. [Google Scholar] [CrossRef] [PubMed]
- Pandey, S.K.; Kim, K.-H.; Brown, R.J. A review of techniques for the determination of polycyclic aromatic hydrocarbons in air. Trends Anal. Chem. 2011, 30, 1716–1739. [Google Scholar] [CrossRef]
- Bezabeh, D.Z.; Bamford, H.A.; Schantz, M.M.; Wise, S.A. Determination of nitrated polycyclic aromatic hydrocarbons in diesel particulate-related standard reference materials by using gas chromatography/mass spectrometry with negative ion chemical ionization. Anal. Bioanal. Chem. 2003, 375, 381–388. [Google Scholar] [CrossRef]
- Nicol, S.; Dugay, J.; Hennion, M.-C. Determination of oxygenated polycyclic aromatic compounds in airborne particulate organic matter using gas chromatography-tandem mass spectrometry. Chromatographia 2001, 53, S464–S469. [Google Scholar] [CrossRef]
- Clench, M.; Tetler, L. CHROMATOGRAPHY: GAS|Detectors: Mass Spectrometry. Encycl. Sep. Sci. 2000, 448–455. [Google Scholar]
- Sleno, L.; Volmer, D.A. Ion activation methods for tandem mass spectrometry. J. Mass Spectrom. 2004, 39, 1091–1112. [Google Scholar] [CrossRef]
- USEPA. Definition and Procedure for the Determination of the Method Detection Limit, Revision 2; EPA: Washington, DC, USA, 2016. [Google Scholar]
- Valle-Hernández, B.; Mugica-Álvarez, V.; Salinas-Talavera, E.; Amador-Muñoz, O.; Murillo-Tovar, M.; Villalobos-Pietrini, R.; De Vizcaya-Ruíz, A. Temporal variation of nitro-polycyclic aromatic hydrocarbons in PM10 and PM2. 5 collected in Northern Mexico City. Sci. Total Environ. 2010, 408, 5429–5438. [Google Scholar] [CrossRef] [PubMed]
- Wang, T.; Zhao, J.; Liu, Y.; Peng, J.; Wu, L.; Mao, H. PM2. 5-Bound Polycyclic Aromatic Hydrocarbons (PAHs), Nitrated PAHs (NPAHs) and Oxygenated PAHs (OPAHs) in Typical Traffic-Related Receptor Environments. J. Geophys. Res. Atmos. 2022, 127, e2021JD035951. [Google Scholar]
- Sainnokhoi, T.-A.; Kováts, N.; Gelencsér, A.; Hubai, K.; Teke, G.; Pelden, B.; Tserenchimed, T.; Erdenechimeg, Z.; Galsuren, J. Characteristics of particle-bound polycyclic aromatic hydrocarbons (PAHs) in indoor PM2. 5 of households in the Southwest part of Ulaanbaatar capital, Mongolia. Environ. Monit. Assess. 2022, 194, 665. [Google Scholar] [CrossRef] [PubMed]
- Ding, J.; Zhong, J.; Yang, Y.; Li, B.; Shen, G.; Su, Y.; Wang, C.; Li, W.; Shen, H.; Wang, B. Occurrence and exposure to polycyclic aromatic hydrocarbons and their derivatives in a rural Chinese home through biomass fuelled cooking. Environ. Pollut. 2012, 169, 160–166. [Google Scholar] [CrossRef] [PubMed]






| NCI Conditions | PCI Conditions | ||||
|---|---|---|---|---|---|
| Compound | Qualifier Ion (m/z) | Quantifier Ion (m/z) | Compound | SRM (m/z) | Collision Energies (eV) |
| 1-NNAP | 157 | 173 | 9-Flu | 181.0 → 152.0 | 30 |
| 2-NNAP | 157 | 173 | XT | 197.0 → 115.1 | 50 |
| Fla-d10 (IS) | 213 | 212 | PH | 181.0 → 152.0 | 30 |
| 2-NFLUO | 188 | 211 | Anq | 209.0 → 151.9 | 30 |
| 3-NFL | 231 | 247 | 1,8-NA | 199.0 → 115.0 | 30 |
| 4-NPYR | 231 | 247 | Fla-d10 | 213.0 → 182.8 | 30 |
| 1-NPYR | 231 | 247 | 2-Maq | 223.0 → 152.0 | 30 |
| 6-NCHR | 257 | 273 | 9-NANT | 224.0 → 206.7 | 5 |
| BbFLU | 231.0 → 202.0 | 30 | |||
| BZA | 231.0 → 202.0 | 30 | |||
| BAQ | 259.0 → 202.0 | 50 | |||
| Ncq | 259.0 → 202.1 | 50 | |||
| NPAHs | Calibration | MDL(pg/m3) a | Recovery ± RSD% (n = 3) | ||
|---|---|---|---|---|---|
| Range (μg/mL) | R2 | 0.02 ng/m3 | 0.04 ng/m3 | ||
| 1-NNAP | 0.01–0.4 | 0.997 | 0.551 | 103.8 ± 11.3 | 104.8 ± 4.0 |
| 2-NNAP | 0.01–0.4 | 0.997 | 0.527 | 111.7 ± 13.3 | 102.3 ± 9.6 |
| 2-NFLUO | 0.01–0.2 | 0.996 | 0.339 | 91.4 ± 3.5 | 116.5 ± 0.7 |
| 9-NANT | 0.05–1 | 0.995 | 3.494 | 94.6 ± 1.6 | 98.3 ± 1.2 |
| 3-NFL | 0.01–0.1 | 0.995 | 0.272 | 104.3 ± 10.2 | 102.0 ± 2.1 |
| 4-NPYR | 0.01–0.2 | 0.997 | 0.494 | 94.8 ± 9.1 | 92.7 ± 2.9 |
| 1-NPYR | 0.01–0.1 | 0.999 | 0.494 | 92.8 ± 12.6 | 103.9 ± 2.3 |
| 6-NCHR | 0.01–0.2 | 0.997 | 0.298 | 110.0 ± 8.6 | 105.7 ± 2.6 |
| OPAHs | Calibration | MDL(pg/m3) | Recovery ± RSD% (n = 3) | ||
| Range (μg/mL) | R2 | 0.2 ng/m3 | 0.9 ng/m3 | ||
| 9-Flu | 0.1–5 | 0.996 | 0.977 | 104.0 ± 3.9 | 92.8 ± 11.6 |
| XT | 0.2–2 | 0.998 | 5.731 | 107.9 ± 1.3 | 100.1 ± 7.3 |
| PH | 0.1–4 | 0.998 | 6.216 | 98.2 ± 2.3 | 98.6 ± 5.3 |
| Anq | 0.1–4 | 0.994 | 3.128 | 106.8 ± 2.1 | 110.0 ± 6.5 |
| 1,8-NA | 0.1–5 | 0.999 | 0.873 | 103.3 ± 1.5 | 102.9 ± 2.2 |
| 2-Maq | 0.1–2 | 0.995 | 2.341 | 104.4 ± 1.0 | 89.1 ± 2.0 |
| BbFLU | 0.2–4 | 0.994 | 2.789 | 108.6 ± 2.3 | 106.9 ± 1.1 |
| BZA | 0.2–4 | 0.996 | 4.666 | 107.7 ± 0.2 | 101.7 ± 2.1 |
| BAQ | 0.2–4 | 0.995 | 4.328 | 104.6 ± 3.4 | 108.8 ± 1.4 |
| Ncq | 0.2–4 | 0.998 | 13.345 | 102.9 ± 1.9 | 101.7 ± 2.4 |
Disclaimer/Publisher’s Note: The statements, opinions and data contained in all publications are solely those of the individual author(s) and contributor(s) and not of MDPI and/or the editor(s). MDPI and/or the editor(s) disclaim responsibility for any injury to people or property resulting from any ideas, methods, instructions or products referred to in the content. |
© 2023 by the authors. Licensee MDPI, Basel, Switzerland. This article is an open access article distributed under the terms and conditions of the Creative Commons Attribution (CC BY) license (https://creativecommons.org/licenses/by/4.0/).
Share and Cite
Jo, J.; Lee, J.-Y.; Jang, K.-S.; Matsuki, A.; Natsagdorj, A.; Ahn, Y.-G. Development of Quantitative Chemical Ionization Using Gas Chromatography/Mass Spectrometry and Gas Chromatography/Tandem Mass Spectrometry for Ambient Nitro- and Oxy-PAHs and Its Applications. Molecules 2023, 28, 775. https://doi.org/10.3390/molecules28020775
Jo J, Lee J-Y, Jang K-S, Matsuki A, Natsagdorj A, Ahn Y-G. Development of Quantitative Chemical Ionization Using Gas Chromatography/Mass Spectrometry and Gas Chromatography/Tandem Mass Spectrometry for Ambient Nitro- and Oxy-PAHs and Its Applications. Molecules. 2023; 28(2):775. https://doi.org/10.3390/molecules28020775
Chicago/Turabian StyleJo, Jungmin, Ji-Yi Lee, Kyoung-Soon Jang, Atsushi Matsuki, Amgalan Natsagdorj, and Yun-Gyong Ahn. 2023. "Development of Quantitative Chemical Ionization Using Gas Chromatography/Mass Spectrometry and Gas Chromatography/Tandem Mass Spectrometry for Ambient Nitro- and Oxy-PAHs and Its Applications" Molecules 28, no. 2: 775. https://doi.org/10.3390/molecules28020775
APA StyleJo, J., Lee, J.-Y., Jang, K.-S., Matsuki, A., Natsagdorj, A., & Ahn, Y.-G. (2023). Development of Quantitative Chemical Ionization Using Gas Chromatography/Mass Spectrometry and Gas Chromatography/Tandem Mass Spectrometry for Ambient Nitro- and Oxy-PAHs and Its Applications. Molecules, 28(2), 775. https://doi.org/10.3390/molecules28020775

