Deposition Mechanism and Properties of Plasma-Enhanced Atomic Layer Deposited Gallium Nitride Films with Different Substrate Temperatures
Abstract
1. Introduction
2. Materials and Methods
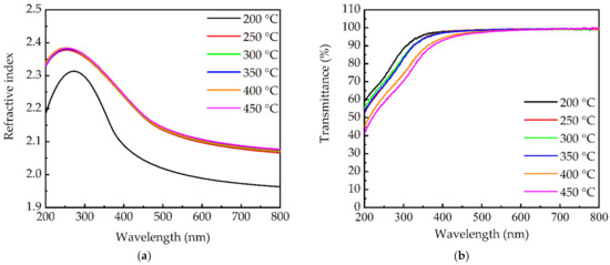
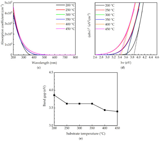
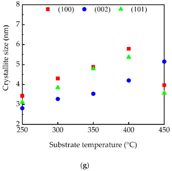
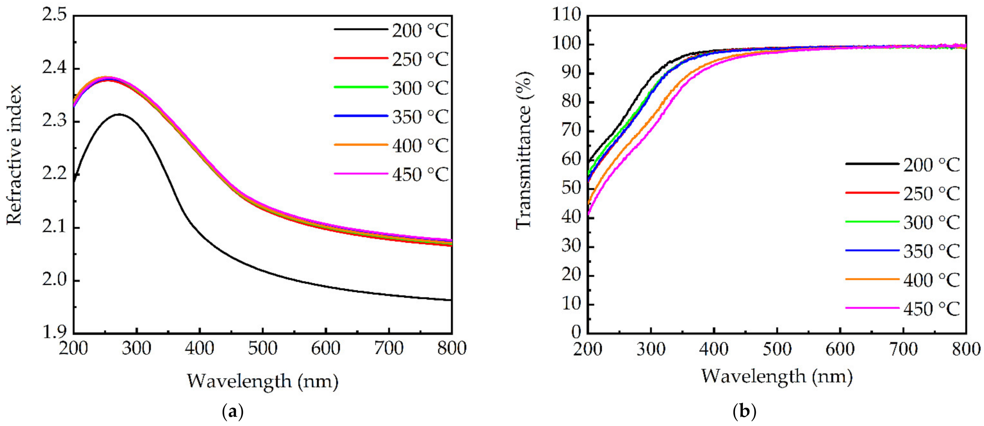
3. Results and Discussion
4. Conclusions
Author Contributions
Funding
Institutional Review Board Statement
Informed Consent Statement
Data Availability Statement
Conflicts of Interest
Sample Availability
References
- Lee, M.-L.; Wang, S.-S.; Yeh, Y.-H.; Liao, P.-H.; Sheu, J.-K. Light-Emitting Diodes with Surface Gallium Nitride p–n Homojunction Structure Formed by Selective Area Regrowth. Sci. Rep. 2019, 9, 3243. [Google Scholar] [CrossRef] [PubMed]
- Weng, Y.; Chen, G.; Nie, J.; Que, S.; Song, S.-H.; Yu, Y.; Zhang, F.; Liu, H.; Zhou, X.; Zhang, Y.; et al. Hybrid Device of Blue GaN Light-Emitting Diodes and Organic Light-Emitting Diodes with Color Tunability for Smart Lighting Sources. ACS Omega 2022, 7, 5502–5509. [Google Scholar] [CrossRef] [PubMed]
- Zhang, Z.-H.; Tan, S.T.; Liu, W.; Ju, Z.; Zheng, K.; Kyaw, Z.; Ji, Y.; Hasanov, N.; Sun, X.W.; Demir, H.V. Improved InGaN/GaN Light-Emitting Diodes with a p-GaN/n-GaN/p-GaN/n-GaN/p-GaN Current-Spreading Layer. Opt. Express 2013, 21, 4958. [Google Scholar] [CrossRef] [PubMed]
- Zeng, F.; An, J.; Zhou, G.; Li, W.; Wang, H.; Duan, T.; Jiang, L.; Yu, H. A Comprehensive Review of Recent Progress on GaN High Electron Mobility Transistors: Devices, Fabrication and Reliability. Electronics 2018, 7, 377. [Google Scholar] [CrossRef]
- Roccaforte, F.; Greco, G.; Fiorenza, P.; Iucolano, F. An Overview of Normally-Off GaN-Based High Electron Mobility Transistors. Materials 2019, 12, 1599. [Google Scholar] [CrossRef] [PubMed]
- Zhang, C.; Liao, W.; Yang, S.; Wang, H.; Wei, Z.; Lu, G. Reliability Research of GaN-Based Blue Semiconductor Lasers. In Proceedings of the 2021 3rd International Conference on System Reliability and Safety Engineering (SRSE), Harbin, China, 26–28 November 2021; IEEE: Harbin, China, 2021; pp. 67–72. [Google Scholar]
- Feng, M.; Liu, J.; Sun, Q.; Yang, H. III-Nitride Semiconductor Lasers Grown on Si. Prog. Quantum Electron. 2021, 77, 100323. [Google Scholar] [CrossRef]
- Lee, K.J.; Min, J.-W.; Turedi, B.; Alsalloum, A.Y.; Min, J.-H.; Kim, Y.J.; Yoo, Y.J.; Oh, S.; Cho, N.; Subedi, R.C.; et al. Nanoporous GaN/n-Type GaN: A Cathode Structure for ITO-Free Perovskite Solar Cells. ACS Energy Lett. 2020, 5, 3295–3303. [Google Scholar] [CrossRef]
- Cheriton, R.; Sadaf, S.M.; Robichaud, L.; Krich, J.J.; Mi, Z.; Hinzer, K. Two-Photon Photocurrent in InGaN/GaN Nanowire Intermediate Band Solar Cells. Commun. Mater. 2020, 1, 63. [Google Scholar] [CrossRef]
- Ding, W.; Meng, X. High Performance Solar-Blind UV Detector Based on β-Ga2O3/GaN Nanowires Heterojunction. J. Alloys Compd. 2021, 866, 157564. [Google Scholar] [CrossRef]
- Chen, Y.; Wu, Y.; Ben, J.; Jiang, K.; Jia, Y.; Zhang, S.; Zang, H.; Shi, Z.; Duan, B.; Sun, X.; et al. A High-Response Ultraviolet Photodetector by Integrating GaN Nanoparticles with Graphene. J. Alloys Compd. 2021, 868, 159281. [Google Scholar] [CrossRef]
- Chen, Y.; Liu, J.; Liu, K.; Si, J.; Ding, Y.; Li, L.; Lv, T.; Liu, J.; Fu, L. GaN in Different Dimensionalities: Properties, Synthesis, and Applications. Mater. Sci. Eng. R Rep. 2019, 138, 60–84. [Google Scholar] [CrossRef]
- Martínez-Ara, L.A.; Aguilar-Hernández, J.R.; Sastré-Hernández, J.; Hernández-Hernández, L.A.; Hernández-Pérez, M.Á.; Maldonado-Altamirano, P.; Mendoza-Pérez, R.; Contreras-Puente, G. Structural and Optical Properties of GaN Thin Films Grown on Si (111) by Pulsed Laser Deposition. Mat. Res. 2019, 22, e20180263. [Google Scholar] [CrossRef]
- Yang, W.; Wang, W.; Liu, Z.; Li, G. Effect of AlN Buffer Layer Thickness on the Properties of GaN Films Grown by Pulsed Laser Deposition. Mater. Sci. Semicond. Process. 2015, 39, 499–505. [Google Scholar] [CrossRef]
- Prabaswara, A.; Birch, J.; Junaid, M.; Serban, E.A.; Hultman, L.; Hsiao, C.-L. Review of GaN Thin Film and Nanorod Growth Using Magnetron Sputter Epitaxy. Appl. Sci. 2020, 10, 3050. [Google Scholar] [CrossRef]
- Furqan, C.M.; Ho, J.Y.L.; Kwok, H.S. GaN Thin Film: Growth and Characterizations by Magnetron Sputtering. Surf. Interfaces 2021, 26, 101364. [Google Scholar] [CrossRef]
- Hentschel, R.; Gärtner, J.; Wachowiak, A.; Großer, A.; Mikolajick, T.; Schmult, S. Surface Morphology of AlGaN/GaN Heterostructures Grown on Bulk GaN by MBE. J. Cryst. Growth 2018, 500, 1–4. [Google Scholar] [CrossRef]
- Fernández-Garrido, S.; Ramsteiner, M.; Gao, G.; Galves, L.A.; Sharma, B.; Corfdir, P.; Calabrese, G.; de Souza Schiaber, Z.; Pfüller, C.; Trampert, A.; et al. Molecular Beam Epitaxy of GaN Nanowires on Epitaxial Graphene. Nano Lett. 2017, 17, 5213–5221. [Google Scholar] [CrossRef]
- Xiao-Yong, G.; Song-You, W.; Jing, L.; Yu-Xiang, Z.; Rong-Jun, Z.; Peng, Z.; Yue-Mei, Y.; Liang-Yao, C. Structural and Optical Investigation of GaN Grown by Metal-Organic Chemical Vapor Deposition. J. Korean Phys. Soc. 2004, 44, 765. [Google Scholar] [CrossRef]
- Zuo, R.; Yu, H.; Xu, N.; He, X. Influence of Gas Mixing and Heating on Gas-Phase Reactions in GaN MOCVD Growth. ECS J. Solid State Sci. Technol. 2012, 1, P46. [Google Scholar] [CrossRef]
- Banerjee, S.; Aarnink, A.A.I.; Gravesteijn, D.J.; Kovalgin, A.Y. Thermal Atomic Layer Deposition of Polycrystalline Gallium Nitride. J. Phys. Chem. C 2019, 123, 23214–23225. [Google Scholar] [CrossRef]
- He, Y.-F.; Li, M.-L.; Liu, S.-J.; Wei, H.-Y.; Ye, H.-Y.; Song, Y.-M.; Qiu, P.; An, Y.-L.; Peng, M.-Z.; Zheng, X.-H. Growth of Gallium Nitride Films on Multilayer Graphene Template Using Plasma-Enhanced Atomic Layer Deposition. Acta Metall. Sin. 2019, 32, 1530–1536. [Google Scholar] [CrossRef]
- Lu, J.; Elam, J.W.; Stair, P.C. Atomic Layer Deposition—Sequential Self-Limiting Surface Reactions for Advanced Catalyst “Bottom-up” Synthesis. Surf. Sci. Rep. 2016, 71, 410–472. [Google Scholar] [CrossRef]
- Potts, S.E.; Kessels, W.M.M. Energy-Enhanced Atomic Layer Deposition for More Process and Precursor Versatility. Coord. Chem. Rev. 2013, 257, 3254–3270. [Google Scholar] [CrossRef]
- Kim, O.H.; Kim, D.; Anderson, T. Atomic Layer Deposition of GaN Using GaCl3 and NH3. J. Vac. Sci. Technol. A 2009, 27, 6. [Google Scholar] [CrossRef]
- Ozgit, C.; Donmez, I.; Alevli, M.; Biyikli, N. Atomic Layer Deposition of GaN at Low Temperatures. J. Vac. Sci. Technol. A 2012, 30, 5. [Google Scholar] [CrossRef]
- Shih, H.-Y.; Lin, M.-C.; Chen, L.-Y.; Chen, M.-J. Uniform GaN Thin Films Grown on (100) Silicon by Remote Plasma Atomic Layer Deposition. Nanotechnology 2015, 26, 014002. [Google Scholar] [CrossRef]
- Alevli, M.; Gungor, N.; Haider, A.; Kizir, S.; Leghari, S.A.; Biyikli, N. Substrate Temperature Influence on the Properties of GaN Thin Films Grown by Hollow-Cathode Plasma-Assisted Atomic Layer Deposition. J. Vac. Sci. Technol. A 2016, 34, 01A125. [Google Scholar] [CrossRef]
- Yi, Y.; Zhang, R.; Wang, L.; Yan, J.; Zhang, J.; Guo, H. Plasma-Triggered CH4/NH3 Coupling Reaction for Direct Synthesis of Liquid Nitrogen-Containing Organic Chemicals. ACS Omega 2017, 2, 9199–9210. [Google Scholar] [CrossRef]
- Yi, Y.; Wang, L.; Guo, Y.; Sun, S.; Guo, H. Plasma-Assisted Ammonia Decomposition over Fe–Ni Alloy Catalysts for COx-Free Hydrogen. AIChE J. 2019, 65, 691–701. [Google Scholar] [CrossRef]
- Ovanesyan, R.A.; Hausmann, D.M.; Agarwal, S. A Three-Step Atomic Layer Deposition Process for SiNx Using Si2Cl6, CH3 NH2, and N2 Plasma. ACS Appl. Mater. Interfaces 2018, 10, 19153–19161. [Google Scholar] [CrossRef]
- Kim, Y.; Kim, M.S.; Yun, H.J.; Ryu, S.Y.; Choi, B.J. Effect of Growth Temperature on AlN Thin Films Fabricated by Atomic Layer Deposition. Ceram. Int. 2018, 44, 17447–17452. [Google Scholar] [CrossRef]
- Dendooven, J.; Detavernier, C. Basics of Atomic Layer Deposition: Growth Characteristics and Conformality. In Atomic Layer Deposition in Energy Conversion Applications; Bachmann, J., Ed.; Wiley-VCH Verlag GmbH & Co. KGaA: Weinheim, Germany, 2017; pp. 1–40. ISBN 978-3-527-69482-2. [Google Scholar]
- Liu, S.; Zhao, G.; He, Y.; Li, Y.; Wei, H.; Qiu, P.; Wang, X.; Wang, X.; Cheng, J.; Peng, M.; et al. Baking and Plasma Pretreatment of Sapphire Surfaces as a Way to Facilitate the Epitaxial Plasma-Enhanced Atomic Layer Deposition of GaN Thin Films. Appl. Phys. Lett. 2020, 116, 211601. [Google Scholar] [CrossRef]
- Lee, W.-H.; Yin, Y.-T.; Cheng, P.-H.; Shyue, J.-J.; Shiojiri, M.; Lin, H.-C.; Chen, M.-J. Nanoscale GaN Epilayer Grown by Atomic Layer Annealing and Epitaxy at Low Temperature. ACS Sustain. Chem. Eng. 2019, 7, 487–495. [Google Scholar] [CrossRef]
- Motamedi, P.; Cadien, K. Structure–Property Relationship and Interfacial Phenomena in GaN Grown on C-Plane Sapphire via Plasma-Enhanced Atomic Layer Deposition. RSC Adv. 2015, 5, 57865–57874. [Google Scholar] [CrossRef]
- Gungor, N.; Alevli, M. Role of Film Thickness on the Structural and Optical Properties of GaN on Si (100) Grown by Hollow-Cathode Plasma-Assisted Atomic Layer Deposition. J. Vac. Sci. Technol. A Vac. Surf. Film. 2018, 36, 021514. [Google Scholar] [CrossRef]
- Moldovan, G.; Roe, M.J.; Harrison, I.; Kappers, M.; Humphreys, C.J.; Brown, P.D. Effects of KOH Etching on the Properties of Ga-Polar n-GaN Surfaces. Philos. Mag. 2006, 86, 2315–2327. [Google Scholar] [CrossRef]
- Ozgit-Akgun, C.; Goldenberg, E.; Okyay, A.K.; Biyikli, N. Hollow Cathode Plasma-Assisted Atomic Layer Deposition of Crystalline AlN, GaN and AlxGa1−xN Thin Films at Low Temperatures. J. Mater. Chem. C 2014, 2, 2123–2136. [Google Scholar] [CrossRef]
- Ozgit, C.; Donmez, I.; Biyikli, N. Self-Limiting Growth of GaN at Low Temperatures. Acta Phys. Pol. A 2011, 120, A–55–A–57. [Google Scholar] [CrossRef]
- Li, D.; Sumiya, M.; Fuke, S.; Yang, D.; Que, D.; Suzuki, Y.; Fukuda, Y. Selective Etching of GaN Polar Surface in Potassium Hydroxide Solution Studied by X-Ray Photoelectron Spectroscopy. J. Appl. Phys. 2001, 90, 4219–4223. [Google Scholar] [CrossRef]
- Mishra, M.; Krishna, T.C.S.; Aggarwal, N.; Kaur, M.; Singh, S.; Gupta, G. Pit Assisted Oxygen Chemisorption on GaN Surfaces. Phys. Chem. Chem. Phys. 2015, 17, 15201–15208. [Google Scholar] [CrossRef]
- Qiu, P.; Wei, H.; An, Y.; Wu, Q.; Du, W.; Jiang, Z.; Zhou, L.; Gao, C.; Liu, S.; He, Y.; et al. Plasma-Enhanced Atomic Layer Deposition of Gallium Nitride Thin Films on Fluorine-Doped Tin Oxide Glass Substrate for Future Photovoltaic Application. Ceram. Int. 2020, 46, 5765–5772. [Google Scholar] [CrossRef]
- Tekcan, B.; Ozgit-Akgun, C.; Bolat, S.; Biyikli, N.; Okyay, A.K. Metal-Semiconductor-Metal Ultraviolet Photodetectors Based on Gallium Nitride Grown by Atomic Layer Deposition at Low Temperatures. Opt. Eng. 2014, 53, 107106. [Google Scholar] [CrossRef]
- Tauc, J. Optical Properties and Electronic Structure of Amorphous Ge and Si. Mater. Res. Bull. 1968, 3, 37–46. [Google Scholar] [CrossRef]
- Kizir, S.; Haider, A.; Biyikli, N. Substrate Impact on the Low-Temperature Growth of GaN Thin Films by Plasma-Assisted Atomic Layer Deposition. J. Vac. Sci. Technol. A Vac. Surf. Film. 2016, 34, 041511. [Google Scholar] [CrossRef]
- Lee, M.; Lee, D.; Baik, H.; Kim, H.; Jeong, Y.; Yang, M.; Lee, H.U.; Hahm, M.G.; Kim, J. Highly Efficient Excitonic Recombination of Non-polar (1120) GaN Nanocrystals for Visible Light Emitter by Hydride Vapour Phase Epitaxy. Sci. Rep. 2020, 10, 2076. [Google Scholar] [CrossRef] [PubMed]
- Santana, G.; de Melo, O.; Aguilar-Hernández, J.; Mendoza-Pérez, R.; Monroy, B.; Escamilla-Esquivel, A.; López-López, M.; de Moure, F.; Hernández, L.; Contreras-Puente, G. Photoluminescence Study of Gallium Nitride Thin Films Obtained by Infrared Close Space Vapor Transport. Materials 2013, 6, 1050–1060. [Google Scholar] [CrossRef]
- Paskova, T.; Arnaudov, B.; Paskov, P.P.; Goldys, E.M.; Hautakangas, S.; Saarinen, K.; Södervall, U.; Monemar, B. Donor-Acceptor Pair Emission Enhancement in Mass-Transport-Grown GaN. J. Appl. Phys. 2005, 98, 033508. [Google Scholar] [CrossRef]
- Yang, Y.; Leppert, V.J.; Risbud, S.H.; Twamley, B.; Power, P.P.; Lee, H.W.H. Blue Luminescence from Amorphous GaN Nanoparticles Synthesized in Situ in a Polymer. Appl. Phys. Lett. 1999, 74, 2262–2264. [Google Scholar] [CrossRef]
- Ravash, R.; Bläsing, J.; Hempel, T.; Noltemeyer, M.; Dadgar, A.; Christen, J.; Krost, A. Metal Organic Vapor Phase Epitaxy Growth of Single Crystalline GaN on Planar Si (211) Substrates. Appl. Phys. Lett. 2009, 95, 242101. [Google Scholar] [CrossRef]
- Reshchikov, M.A.; Visconti, P.; Morkoç, H. Blue Photoluminescence Activated by Surface States in GaN Grown by Molecular Beam Epitaxy. Appl. Phys. Lett. 2001, 78, 177. [Google Scholar] [CrossRef][Green Version]
















| Parameter | Value |
|---|---|
| TMG bubbler temperature (°C) | 0 |
| Substrate temperature (°C) | 200–450 |
| TMG pulse time (s) | 0.1 |
| TMG purge time (s) | 4 |
| TMG carrier gas flow rate (sccm) | 120 |
| NH3 pulse time (s) | 13 |
| NH3 purge time (s) | 6 |
| NH3 flow rate (sccm) | 30 |
| NH3 plasma power (W) | 2500 |
| Ar flow rate (sccm) | 160 |
| Substrate Temperature (°C) | Ga (at.%) | N (at.%) | O (at.%) |
|---|---|---|---|
| 200 | 47.52 | 34.74 | 17.74 |
| 250 | 47.81 | 35.13 | 17.06 |
| 300 | 48.65 | 35.4 | 15.95 |
| 350 | 48.91 | 35.93 | 15.16 |
| 400 | 53.01 | 32.82 | 14.17 |
| 450 | 54.54 | 33.18 | 12.28 |
Publisher’s Note: MDPI stays neutral with regard to jurisdictional claims in published maps and institutional affiliations. |
© 2022 by the authors. Licensee MDPI, Basel, Switzerland. This article is an open access article distributed under the terms and conditions of the Creative Commons Attribution (CC BY) license (https://creativecommons.org/licenses/by/4.0/).
Share and Cite
Ren, F.-B.; Jiang, S.-C.; Hsu, C.-H.; Zhang, X.-Y.; Gao, P.; Wu, W.-Y.; Chiu, Y.-J.; Lien, S.-Y.; Zhu, W.-Z. Deposition Mechanism and Properties of Plasma-Enhanced Atomic Layer Deposited Gallium Nitride Films with Different Substrate Temperatures. Molecules 2022, 27, 8123. https://doi.org/10.3390/molecules27238123
Ren F-B, Jiang S-C, Hsu C-H, Zhang X-Y, Gao P, Wu W-Y, Chiu Y-J, Lien S-Y, Zhu W-Z. Deposition Mechanism and Properties of Plasma-Enhanced Atomic Layer Deposited Gallium Nitride Films with Different Substrate Temperatures. Molecules. 2022; 27(23):8123. https://doi.org/10.3390/molecules27238123
Chicago/Turabian StyleRen, Fang-Bin, Shi-Cong Jiang, Chia-Hsun Hsu, Xiao-Ying Zhang, Peng Gao, Wan-Yu Wu, Yi-Jui Chiu, Shui-Yang Lien, and Wen-Zhang Zhu. 2022. "Deposition Mechanism and Properties of Plasma-Enhanced Atomic Layer Deposited Gallium Nitride Films with Different Substrate Temperatures" Molecules 27, no. 23: 8123. https://doi.org/10.3390/molecules27238123
APA StyleRen, F.-B., Jiang, S.-C., Hsu, C.-H., Zhang, X.-Y., Gao, P., Wu, W.-Y., Chiu, Y.-J., Lien, S.-Y., & Zhu, W.-Z. (2022). Deposition Mechanism and Properties of Plasma-Enhanced Atomic Layer Deposited Gallium Nitride Films with Different Substrate Temperatures. Molecules, 27(23), 8123. https://doi.org/10.3390/molecules27238123

