Abstract
The plants of the Moraceae family are producers of a great variety of polyphenolic natural products. Among these, the Diels–Alder type adducts (DAAs) are endowed with a unique cyclohexene scaffold, since they are biosynthesized from [4+2] cycloaddition of different polyphenolic precursors such as chalcones and dehydroprenyl polyphenols. To date, more than 150 DAAs have been isolated and characterized from Moraceous and related plants. The main source of DAAs is the mulberry root bark, also known as “Sang-Bai-Pi” in Traditional Chinese Medicine, but they have also been isolated from root bark, stem barks, roots, stems or twigs, leaves, and callus cultures of Moraceous and other related plants. Since 1980, many biological activities of DAAs have been identified, including anti-HIV, antimicrobial, anti-inflammatory, and anticancer ones. For these reasons, natural DAAs have been intensively investigated, and a lot of efforts have been made to study their biosynthesis and to establish practical synthetic access. In this review, we summarized all the updated knowledge on biosynthesis, chemoenzymatic synthesis, racemic and enantioselective total synthesis, and biological activity of natural DAAs from Moraceous and related plants.
1. Introduction
Moraceae is a wide family of flowering plants, including more than 1400 species and around 60 genera, scattered worldwide. Among these, the mulberry tree, a widespread plant from the genus Morus cultivated in Asia (China, Japan) and Europe for long time, is commonly used as food for silkworms. On the other hand, the mulberry root bark is a crude drug known as “Sang-Bai-Pi” that is used in the Traditional Chinese Medicine as an anti-inflammatory, antipyretic, diuretic, expectorant, and laxative [1]. This plant material has been extensively investigated since the 1970s by researchers to isolate and identify the biologically active compounds. The extracts of Morus root bark are rich in polyphenols presenting a cyclohexene scaffold, known as Diels–Alder type adducts (DAAs), endowed with several biological activities, including anti-HIV, antimicrobial, anti-inflammatory, and anticancer activity [2]. It has been postulated that their biosynthesis involves an intermolecular [4+2] cycloaddition between a diene (a dehydroprenylphenol, usually a dehydroprenylflavonoid or a dehydroprenylstilbene) and a dienophile (a chalcone), catalyzed by a Diels–Alderase enzyme, since all isolated DAAs are optically active. To date, approximately 90 DAAs from Chinese Morus plants and more than 160 DAAs from Moraceae and related plants have been isolated, and their structure, source, optical rotation, relative configuration, and biological activities are summarized in a review [2]. All-trans or cis-trans isomers can be obtained, depending on the endo- or exo-adduct formed by cycloaddition, respectively. The absolute stereochemistry and optical rotation of DAAs have been established by Nomura et al. and will be discussed in Section 3.1. Some relevant DAAs that will be discussed in this review are reported in Figure 1.
Figure 1.
Diels–Alder adducts from the Moraceae family, whose synthetic approaches will be discussed in this review.
Other types of optically active DAAs have been isolated from different species of the Moraceae family. Among these, brosimones A (8) and B (7) have been isolated from a Brazilian moraceous plant, namely Brosimopsis oblongifolia. Brosimone A (8) structure contains two cyclohexene units, suggesting a second intramolecular [4+2] cycloaddition in the biosynthetic pathway. Sorocenol B (19), a DAA isolated from Sorocea Bonplandii, contains a particular bicyclo [3.3.1] scaffold, which is supposed to be biosynthesized from a corresponding DAA by oxidative cyclization of the 2′ hydroxy group of the chalcone moiety [3]. Finally, ketalized DAAs are polycyclic compounds that derive from acid catalyzed ketalization of two correctly oriented phenol groups (only the cis-trans DAAs have the appropriate stereoelectronic requirements) on the carbonyl of the chalcone moiety (see Figure 2). Examples of ketalized DAAs are mulberrofurans F (21), G (22), K, and kuwanol A (20), isolated from Morus root bark. The first two are biogenetically related to mulberrofuran C (3) and chalcomoracin (1), respectively, by ketalization. Other structurally similar ketalized compounds, isolated from Sorocea bonplandii, are soroceal, soroceins A and B.
Figure 2.
Formation of ketalized compounds from DAAs.
Nomura and co-workers comprised the first research group that intensively studied the biosynthesis of mulberry DAAs by means of isotopic labelling and feeding experiments on Morus alba cell cultures [1,4]. Since the 1980s to 2020, no further investigations were carried out to discover new insight into the biosynthesis of DAAs. Very recently, by using a pioneering new technique, the research groups of Gao and Lei identified, cloned, expressed, purified, and characterized the first stand-alone M. alba Diels–Alderase (MaDA). This enzyme, identified from M. alba cell cultures, is capable of catalysing the [4+2] cycloaddition of chalcones as morachalcone A and various natural and unnatural polyphenolic natural dienes [5]. The authors were also able to identify, clone, and express several other MaDAs with different substrate scope and endo/exo selectivity [6]. The identification of natural MaDAs represents significant evidence confirming the previously postulated existence of Diels–Alderase enzymes in the biosynthesis of DAAs. According to the literature, biomimetic [4+2] cycloaddition is considered as a key step for the total synthesis of DAAs [7,8,9,10,11,12,13]. From the first synthetic route established by Rizzacasa and co-workers via simple thermal conditions [7], many advances have been made, starting from classical methods for the Diels–Alder reaction, as Brønsted and Lewis acid catalysis, to modern methods such as electron-transfer initiation, silver nanoparticles catalysis, and chiral boron complex asymmetric catalysis [8,9,10,11,12]. Recently, a review reporting on the total synthesis of prenylflavonoid and related DAAs has been published by Lei and co-workers, but it is not updated, since it covers the literature through 2015 [13]. The present review, which covers the literature from 1980 to 2022, focuses on the updated biosynthesis, chemoenzymatic synthesis, total synthesis, and biological activity of DAAs from Moraceous plants. It is organized in chapters reporting the different topics analysed, including a deep analysis of stereoelectronic features and regioselectivity of the Diels–Alder reaction. Herein, we reported the total synthesis of DAAs from Moraceous plants updated through 2022, divided in racemic and enantioselective approaches. During the compilation of this review, a Chinese group published a review article presenting the isolation, structure, bioactivity, as well as the chemical and chemoenzymatic total syntheses of mulberry DAAs [14].
2. The [4+2] Cycloaddition Reaction as a Powerful Tool for Biomimetic Synthesis of DAAs
The Diels–Alder (DA) reaction is the most important example of a cycloaddition reaction, a very useful method for forming substituted new cyclohexene rings from alkenes and dienes [15]. The DA reaction has been widely applied over the last century in many total syntheses [16]. Its versatility allows for the construction of complex molecular architectures and has been exploited by both nature and synthetic chemists to construct a large variety of natural products. It is a concerted 4πs + 2πs cycloaddition, where the respective energy, geometry, and symmetry of frontier molecular orbitals (FMOs) of diene and dienophile play a crucial role in determining whether a process is allowed or forbidden (Figure 3a), namely, that it is energetically favourable and the regioselectivity and the stereochemistry of the newly formed ring [17,18,19,20].
Figure 3.
(a) Representation of HOMO and LUMO in the DA transition state and (b) types of FMO interactions. (I) standard HOMO–LUMO interaction, comparable energies; (II) HOMO of the diene interacts with LUMO of the dienophile; (III) LUMO of the diene interacts with HOMO of the dienophile.
In the transition state (TS), the diene adopts the s-cis conformation and approaches in approximately parallel planes of the substituted alkene, namely, the dienophile. The symmetry properties of the π-orbitals permit stabilizing interactions between “frontier” carbons of the diene and the dienophile. Usually, the strongest bonding interaction is between the highest occupied molecular orbital (HOMO) of the diene and the lowest unoccupied molecular orbital (LUMO) of the dienophile (Figure 3bII). Generally, the DA reaction is facilitated by electron withdrawing groups (EWGs) on the dienophile, which lower the energy of the LUMO. On the other hand, electron poor dienes react better with electron rich dienophiles (bearing electron releasing groups (ERGs)), that possess HOMO higher in energy and are accessible for diene’s LUMO, undergoing a so-called inverse electron demand DA (Figure 3bIII). According to FMO theory, it is also possible to understand and predict the regioselectivity of DA reactions when unsymmetrical dienes and dienophiles are involved (Figure 4).
Figure 4.
Regioselectivity of DA reactions according to FMO theory: (a) the carbon bonded to EWG on the dienophile has a higher coefficient than the other carbon; (b) the carbon C-1 directly bonded to ERG on the diene has a higher coefficient than others; (c) the carbon C-1, adjacent to the carbon bonded to ERG, has a higher coefficient than others; (d) “frontier” carbons with a higher coefficient match in the forming cyclohexene ring.
Besides the regioselectivity, another feature related to unsymmetrical dienophiles is the two possible stereochemical orientations that the substituent can assume with respect to the diene: in the endo transition state, the substituent is oriented towards the π-system of the diene, while in the exo transition state, the substituent is oriented towards the opposite direction (Figure 5).
Figure 5.
Endo- and exo-transition states.
The endo-TS and, consequently, endo-product, is generally preferred when the substituent is an EWG, such as carbonyl, although it often leads to the more sterically hindered product [21]. This preference follows the “Alder rule”, and it is attributed to an interaction between π electrons of the diene and dienophile substituent via an alignment of the dipoles [22,23]; indeed, this preference is enhanced in polar solvents [24,25].
This review focuses on DAAs isolated from the mulberry tree and other plants of the genus Morus. These natural products, known as mulberry DAAs, result from the cycloaddition between 2′-OH-chalcone dienophiles and dehydroprenyl dienes, forming polyphenolic structures which are categorized according to the structure of the diene [26].
Synthetic studies supported by calculations reported by Boonsri et al. in 2012 highlighted the importance of the hydroxyl group at the C2′ of the chalcone moiety. Indeed, attempts of DA reactions to produce various mulberry DAAs starting from 2′-OMe chalcones (25) as dienophiles failed, while the experiments were successful using 2′-OH-chalcones (24) (Figure 6) [27]. This experimental outcome has also been computationally validated. The H-bond between the 2′-OH group and the carbonyl oxygen has different positive effects, thus accelerating the [4+2] cycloaddition: there is a stronger interaction between chalcone and diene due to the LUMO-lowering effect of the OH-carbonyl hydrogen bond. Density functional theory calculations showed that both endo and exo transition states starting from 2′-OH-chalcones have lower activation and reaction energies compared to 2′-OMe-chalcones, corresponding to 13–18-fold faster reactions under thermal reaction promotion; less energy is required to distort the diene to its TS geometry, therefore, the interaction between diene and dienophile is stronger due to the better coplanarity.
Figure 6.
Model Diels–Alder reaction between 2′OH- (24) or 2′-OMe-chalcones (25) and diene (23) and corresponding endo and exo products.
Selected total syntheses of mulberry DAAs disclosed in the next chapters have been reported since 2010. Besides the use of high temperatures to promote cycloaddition reactions, reported examples also employed Lewis acids (LAs) and Ag silica supported nanoparticles (AgNPs). A DA reaction, generally, can be catalysed by LAs that coordinate the dienophile and make it more electron-poor and, therefore, more reactive towards electron-rich dienes [28,29]. The use of LA, moreover, influences and often enhances the regio- and stereoselectivity. LA can also be employed together with chiral ligands, which are able to form rigid complexes with the dienophile and force the diene to approach selectively from one face of the double bond, resulting in cycloaddition products with high enantioselectivity. Particularly interesting are, from our point of view, the syntheses involving enantioselective approaches with respect to the cycloaddition step. Besides the first enantioselective synthesis of (−)-nicolaioidesin C, which employed (R)-(+)-camphor as a chiral auxiliary on the dienophile to induce asymmetry in a Brønsted acid catalysed cycloaddition [30], modern approaches take advantage of borane as LAs, in combination with chiral biaryl ligands, for both catalysing the cycloaddition and inducing asymmetry in product formation.
3. Biosynthesis of Mulberry DAAs
The mulberry DAAs’ biogenetic pathways have been investigated by Nomura et al. by incorporation studies of 13C-labelled acetates in Morus Alba cell cultures. Over a period of nine years, Nomura and co-workers were able to select some cell strains from M. alba callus tissues induced from the leaves or seedlings, with high productivity of pigments [1]. Six DAAs were isolated from pigments extracted from M. alba cell cultures, namely, kuwanons J, Q, R, and V, mulberrofuran E, and chalcomoracin along with their putative precursors, morachalcone A, isobavachalcone, and dehydroprenyl morachalcone A. By inspection of their chemical structures, Nomura and co-workers speculated that DAAs were biosynthesized from chalcones as dienophile precursors and dehydroprenylphenols as dienes. For example, chalcomoracin (1) derives from [4+2] cycloaddition of morachalcone A and dehydroprenylmoracin C [31,32,33,34]. The isolated DAAs and their putative precursors are reported in Table 1.
Table 1.
DAAs isolated from M. alba cell cultures and corresponding putative precursors.
The subsequent studies confirmed the hypothesis that DAAs are biogenetically formed via a key Diels–Alder reaction between two phenols units. Depending on exo- or endo-addition, two different stereoisomers can be formed, namely all-trans or cis-trans adducts (See Figure 7).
Figure 7.
Key biosynthetic [4+2] cycloaddition and absolute configuration of all-trans and cis-trans DAAs.
The [4+2] cycloaddition is an intrinsic regioselective reaction, according to the HOMO and LUMO largest coefficient, which provides a more efficient overlapping. The regioselectivity in the biosynthesis of DAAs was proved by Nomura et al. by studying the Diels–Alder reaction between two model compounds (an unsubstituted chalcone 26 and 3-methyl-1-phenylbuta-1,3-diene (27)) and between the pyrolysis products of kuwanon G octamethyl ether (31): in both cases, only one regioisomer was formed (as a mixture of two stereoisomers, namely, all-trans and cis-trans) (Figure 8).
Figure 8.
Diels–Alder reaction of (a) model chalcone 26 with dehydroprenyl benzene 27 and (b) pyrolysis products of kuwanon G octamethyl ether (30) affording endo- or exo-adducts of the same unique regioisomer.
The absolute stereochemistry of DAAs has been investigated by means of X-ray crystallography and circular dichroism (CD) spectroscopy [4,35,36]. The absolute configuration of the three stereocenters in the cyclohexene moiety in the two types of stereoisomers of DAAs was established to be 3″R, 4″R, and 5″S for the all-trans adducts, while it was 3″S, 4″R, and 5″S for the cis-trans adducts (See Figure 7). The all-trans type adducts showed negative optical rotations, while the cis-trans adducts showed positive values [37]. A further confirmation of the involvement of a Diels–Alderase in the biosynthesis of DAAs was that all the isolated DAAs were optically pure (ee > 99%). It is worth mentioning the fact that both all-trans and cis-trans DAAs have been isolated from the same plant, suggesting that different isoforms of endo- or exo-selective Diels–Alderase enzymes should exist at the same time.
Another confirmation that DAAs are biosynthesized via [4+2] cycloaddition catalysed by Diels–Alderase enzymes in M. alba cell cultures came from administration experiments with O-methylated chalcones as modified precursors, since no O-methylated DAAs have been previously isolated from Morus plants or cell cultures. Administration of different O-methylchalcones resulted in the identification of several metabolites, including prenylated O-methylchalcones (which suggests that prenylation occurs after the aromatization of the chalcone skeleton) and prenylated O-methylated DAAs bearing the same stereochemistry of kuwanon J (10) and chalcomoracin (1), which indicates that the [4+2] cycloaddition involved in the biosynthesis of DAAs is enzymatic [38]. A further proof of the existence of an enzymatic system in M. alba cell cultures was achieved by the bioconversion of artocarpesin (33) into artonin I (34), a DAA biosynthesized from morachalcone A (31) as dienophile and dehydroprenylartocarpesin (32) as diene. By feeding artocarpesin (33) (a prenylflavone precursor never isolated from M. alba cell cultures) to M. alba cell cultures in the presence of endogenous morachalcone A (31), Hano et al. isolated artonin I (34) as a Diels–Alder product (Figure 9). This experiment confirmed that in the plant, an enzyme system is also present, capable of oxidizing the prenyl moiety of artocarpesin (33) to the dehydroprenyl group, the diene intermediate precursor of artonin I (34) [39].
Figure 9.
Bioconversion of artocarpesin (33) to artonin I (34), by feeding experiment with M. alba cell cultures.
3.1. Incorporation Studies with 13C-Labelled Acetate
The incorporation studies of [1-13C]-[2-13C] and [1,2-13C2] acetate were carried out by Nomura’s group on the M. alba callus cell cultures and the biosynthesis of some DAAs, namely, kuwanon J (10) and chalcomoracin (1). The 13C-labelling patterns of kuwanon J (10) and chalcomoracin (1), reported in Figure 10, showed high incorporation of acetate in their aromatic rings.
Figure 10.
Biogenesis of chalcone 36 and 2-arylbenzofuran 38 in M. alba cell cultures producing kuwanon J (10) and chalcomoracin (1).
The labelling experiments highlighted that the biosynthetic pathways to kuwanon J (10) and chalcomoracin (1) share the same cinnamoylpolyketide precursor 35. For the biosynthesis of chalcone moiety 36, this intermediate undergoes a Claisen condensation followed by dehydration and aromatization. In contrast, the aldol condensation of the same precursor 35, followed by decarboxylation and aromatization, leads to the 2-arylbenzofuran unit 38 (Figure 10) [5]. Three carbon atoms of prenyl units of chalcomoracin (1) (the unmodified one and the diene dehydroprenyl moiety deriving from diene precursor, which forms the cyclohexene ring in the DAA) also incorporate 13C-labelled acetate.
Prenylation of the DAAs precursor occurs through the reaction with dimethyl allyl pyrophosphate (DMAPP), or other sources of the prenyl unit, i.e., geranyl pyrophosphate (GPP) or farnesyl pyrophosphate (FPP), all deriving from mevalonate. As mentioned above in paragraph three, prenylation of DAA precursors in Moraceous plants usually occurs after aromatization of the polyketide precursors and is catalysed by a class of enzymes called prenyl transferases (PTs). The first regioselective PT from M. Nigra was isolated from a microsomal fraction of callus cell cultures and characterized by Vitali et al., 2004 [40]. The PT is a Mg2+ dependant microsomal enzyme able to transfer the prenyl group from DMAPP to the substrate, which showed selectivity for 2′,4′-dihydroxychalcones, as well for the isoflavone naringenin. Recently, several PTs have been isolated and characterized from some other Moraceous and related plants, including M. alba and Cudrania tricuspidata. These enzymes are able to transfer the prenyl moiety from DMAPP or GPP to 2′,4′-dihydroxychalcones or other flavones or isoflavones [41,42]. Experiments with 13C-labelled mevalonate or leucine showed no incorporation, probably because they are catabolized into CH3COSCoA, which then loses the labelling by elimination of CO2 in the tricarboxylic acid cycle. In any case, pulsed feeding experiments with [2-13C] acetate showed incorporation in the three carbon atoms of the prenyl tail (Figure 11). These findings suggested that the diene moiety of the dehydroprenyl-derivatives, precursors of the DAAs, is biosynthesized by oxidation of the prenyl moiety catalysed by an oxidase enzyme in Moraceous plants.
Figure 11.
Pulsed administration experiment with [2-13C] acetate revealing the polyketide moieties and the oxidation of the prenyl group to the dehydroprenyl moiety.
The shikimate pathway was also investigated by labelling experiments to confirm the involvement of the cinnamoylpolyketide intermediate 35 in the biosynthesis of DAAs. Administration of L-[3-13C]-phenylalanine and L-[3-13C]-tyrosine to M. alba cell cultures showed the incorporation into the β-carbon of chalcone moiety and 3-carbon of benzofuran moiety, confirming the involvement of the shikimate pathway leading to cinnamoyl or p-coumaroyl intermediates [37].
3.2. Discovery of the First Intermolecular Diels–Alderase from M. alba
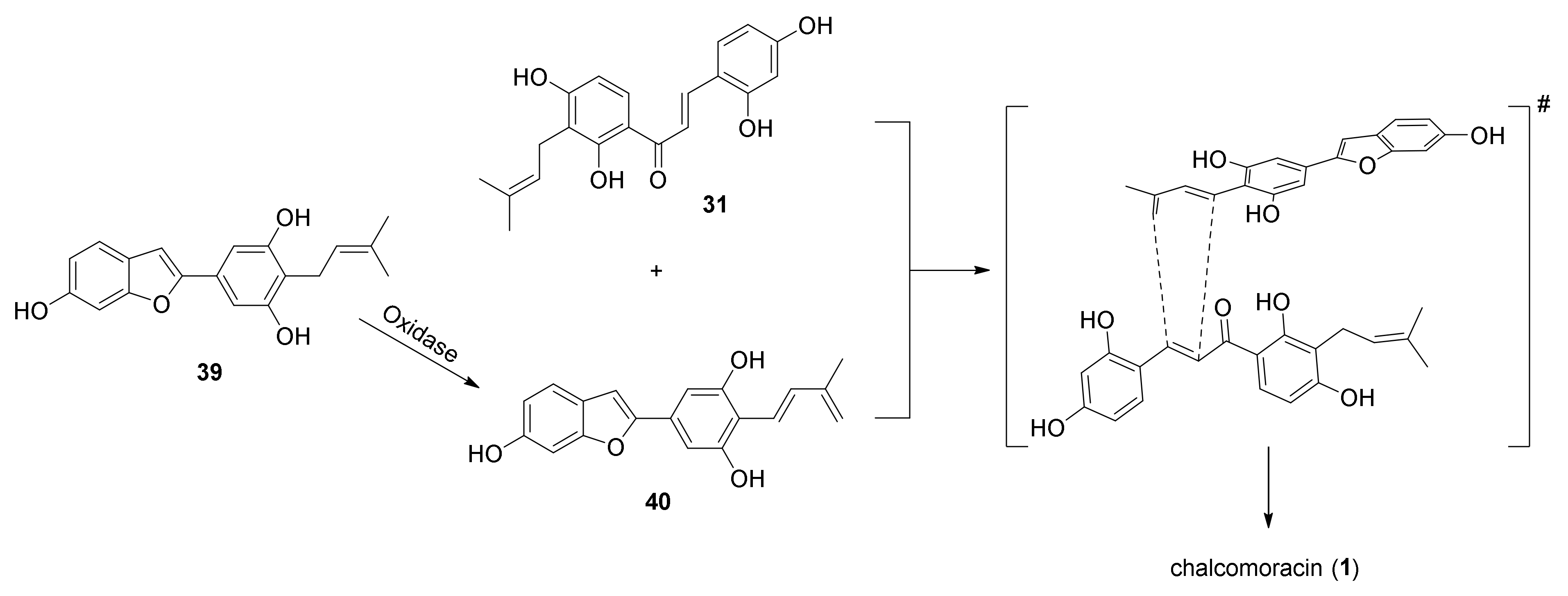
Despite the advent of new techniques and the advancement of technology, no stand-alone intermolecular Diels–Alderase has been previously isolated. This is also due to the problems in plant enzyme identification, which arise from the limitations of transcriptomics-enabled methods and gene prediction based on specialized metabolism, which requires characterized enzymes as bait. In 2020, Gao et al. reported the identification and the functional and biochemical characterization of two enzymes from M. alba cell cultures, namely, the M. alba Diels–Alderase (MaDA) and the M. alba moracin C oxidase (MaMO) [43]. In preliminary assays, the diene precursor moracin C (39) and dienophile morachalcone A (31) were incubated with M. alba cell lysate, and chalcomoracin (1) was isolated as a major compound, along with a diene 40 derived from moracin C (39) oxidation. This evidence suggested that an oxidase (MaMO) and a [4+2] pericyclase (MaDA) are involved in the biosynthesis of chalcomoracin (1) (Figure 12).
Figure 12.
Proposed biosynthesis of chalcomoracin (1) from moracin C (39) and morachalcone A (31).
The enzymes were identified and isolated through a new method, introduced by the authors, called biosynthetic intermediate probe (BIP)-based target identification. The approach is based on the use of a modified biosynthetic intermediate 41 endowed with a photoreactive group (a diazirine) and a tag (a propargyl group) and is capable of identifying unknown biosynthetic enzymes based on substrate binding (Figure 13a). The BIP is recognized from putative Diels–Alderase and transformed into the corresponding chalcomoracin derivative 42. Irradiation with UV light activates the diazirine group, transforming it into a highly reactive carbene that covalently crosslinks with the target [4+2] pericyclase during the enzymatic reaction. The target protein is enriched by activity-based protein purification, which consists of ammonium sulfate fractionation, hydrophobic interaction chromatography (HILIC), ion exchange chromatography (IEC), and size exclusion chromatography (SEC). Identification of hit proteins by this method is highly reliable, since the undesired proteins can be easily removed. Then, the purified proteins were subjected to liquid chromatography–mass spectrometry/mass spectrometry (HPLC-MS/MS) proteomics analysis (Figure 13b), which revealed that they were berberine bridge enzyme (BBE)-like enzymes, usually involved in the biosynthesis of structurally similar dienes as intermediates of other natural products. Using the BIP method, a band corresponding to a molecular mass of about 60 kDa was obtained by UV irradiation. To identify the candidate gene pool and, thus, to permit further functional and biochemical analysis, this band, which corresponds to several BBE-like enzymes, has been subjected to the transcriptional analysis. Fourteen different transcripts were annotated, and the full-length complementary DNAs were cloned. Interestingly, the two cloned enzymes, the MaMO and the MaDA, share about a 50% identity with BBE-type tetrahydrocannabinolic acid (THCA) synthase.
Figure 13.
BIP-based identification method of putative [4+2] pericyclase from Morus alba.
Taking advantage of this approach, the authors were able to isolate, by MaDA, a flavin adenine dinucleotide (FAD)-dependent [4+2] pericyclase, which showed high catalytic efficiency and low substrate specificity, and the MaMO, a FAD-dependent oxidase that catalyses the oxidation of prenyl moiety of moracin C (39) to a reactive unstable diene. The MaMO and MaDA were successfully expressed in Komagataella phaffii and Hi5 insect cells, respectively, and purified. The obtained recombinant enzymes were fully characterized by measuring kinetic parameters such as kM and kcat. Furthermore, DTF calculations were carried out along with some kinetic isotopic experiments (KIE) to estimate free energy variations for the DA transition state, the mechanism, and the intrinsic selectivity. The data supported a concerted asynchronous mechanism and the KIEs, together with DFT calculations, suggesting that the hydrogen bond between the carbonyl and the hydroxyl groups in the ortho position, contribute to the promotion of DA reaction by lowering the LUMO of the dienophile. Finally, full characterization of MaDA included crystal structure determination as FAD co-crystal, molecular dynamics (MD) simulations, and site directed mutagenesis.
4. Chemoenzymatic Total Syntheses of Natural and Unnatural Mulberry DAAs
The chemoenzymatic total synthesis is a well-established method for the preparation of natural products endowed with complex chemical scaffold, joining together the chemical synthesis for the preparation of advanced precursors that will be used for a late stage reaction, catalysed by enzymes which ensure high stereo- and enantioselectivity, leading to the formation of a single regioisomer with very high ee [44,45,46,47]. An intermolecular Diels–Alder reaction catalysed by newly discovered Diels–Alderases such as MaDA gave access to a new useful tool for the biotransformation of various dienes and dienophiles into natural or synthetic DAAs [45]. To explore the substrate scope and synthetic utility of the newly discovered MaDA, Gao et al. incubated some natural and synthetic dienes and dienophiles with the cloned enzyme MaDA [6]. The [4+2] cycloaddition reaction was promoted by dissolving substrates in Tris-HCl buffer in the presence of MaDA, at pH 8.0. An efficient chemoenzymatic total synthesis of guangsangon E (43), kuwanol E (17), kuwanon J (10), deoxyartonin I (44), and 18″-O-methyl chalcomoracin (45) was achieved through late-stage enzymatic reaction, and all the products were characterized by HPLC-MS, NMR spectroscopy, and polarimetry. All resulting compounds were optically pure (100% ee), and the spectroscopical data for synthetic compounds correspond to those reported for the natural compounds. According to the conversion of substrates into the products, the MaDA showed substrate selectivity for the dienophiles, while it was less selective for the tested dienes, which permitted the incorporation of different diene substituents in the mulberry DAA scaffold. In Figure 14, the tested substrates and DAAs natural product obtained from chemoenzymatic synthesis are reported [43].
Figure 14.
Substrate scope of MaDA and chemoenzymatic synthesis of natural DAAs.
The same approach was used for the total synthesis of artonin I (34) [48]. According to the retrosynthetic analysis reported in Figure 15, artonin I (34) can be obtained by a DA reaction between morachalcone A (31) and flavone diene 32. This biotransformation could be catalysed by the same first intermolecular Diels–Alderase MaDA used for the chemoenzymatic total synthesis of the above-mentioned DAAs. The dehydroprenyl moiety can be introduced by Stille coupling from aryl iodide 46. Iodide could be prepared from flavone 47 after the protection of hydroxyl groups and regioselective iodination.
Figure 15.
Retrosynthetic analysis of artonin I (34) by chemoenzymatic synthesis.
The synthesis of diene 32 started from Claisen–Schmidt condensation of protected acetophenone 48 and benzaldehyde 49 in the presence of NaH, which supplied chalcone 50. Flavone 51 was obtained from oxidative cyclization of chalcone 50 in the presence of iodine, followed by deprotection of benzyl groups by treatment with BBr3 and by in situ acetylation (Figure 16). Finally, the regioselective iodination in ortho to phenol moiety of flavone 52 with BTMA·ICl2, followed by Stille coupling with tributyl (3-methyl-1,3-butadienyl)stannane 54, using Pd2(dba)3 and AsPh3 as a catalytic system, gave flavone diene 55.
Figure 16.
Chemical synthesis of key flavonoid diene 55.
Diene 32 was obtained from deprotection of phenol groups by mild hydrolysis and then used in the enzymatic biotransformation. As expected, MaDA efficiently catalysed the Diels–Alder reaction between diene 32 and morachalcone A (31) as dienophile and showed excellent endo-selectivity, affording only the endo-isomer artonin I (34) in a 90% yield over two steps (Figure 17). The influence of pH and temperature on the enzyme activity was also investigated: the best conditions proved to be 50 °C and pH 8.5. The same experimental setup was used to synthesize dideoxyartonin I (58) in a 38% yield from the corresponding dideoxy flavone diene 57; both products were obtained with ee > 99%.
Figure 17.
Chemoenzymatic total synthesis of artonin I (34) and dideoxyartonin I (58).
The previously isolated MaDA showed only endo-selectivity, since it does not catalyse the DA reaction to DAAs with exo-configuration, such as mongolicin F (2), guangsangon J (59), and mulberrofuran J (4), while, among the endo-adducts, only the ones containing the prenyl group on the dienophile moiety were obtained, indicating a substrate specificity of the enzyme. These observations led us to postulate that other Diels–Alderase should exist in the same plant species, having diverse substrate scope and endo/exo selectivity [43]. Using MaDA and protein Basic Local Alignment Search Tool (pBLAST), 41 proteins were identified in the genome of Morus notabilis, 8 of which are closely related to MaDA, as suggested by phylogenetic analysis. Homologous genes of three putative Diels–Alderases from M. notabilis, namely MaDA-1, MaDA-2, and MaDa-3, were amplified from M. notabilis and expressed in High Five insect cells. The enzymatic Diels–Alder reaction between morachalcone A (31) or chalcone 24 and various natural dienes (prepared from chemical synthesis of acetylated precursors), such as 60, 61, 62, and 63, catalysed by MaDA-1, showed the same endo-selectivity as in the reaction catalysed by MaDA to produce chalcomoracin (1), mulberrofuran C (3), guangsangon E (43), kuwanon Y (16), and kuwanol E (17), while MaDA-2 and MaDA-3 were capable of producing exo-adducts, such as major products from the same precursors, as in mongolicin F (2), mulberrofuran J (4), albafuran C (64), guangsangon J (59), and exo-kuwanol E (exo-17) (Figure 18).
Figure 18.
Chemoenzymatic total synthesis of natural DAAs using MaDA-1 (endo-selective) or MaDA-2/MaDA-3 (exo-selective).
Furthermore, the MaDA enzymes also proved to catalyse the Diels–Alder reaction with high enantioselectivity, giving only enantiopure products (with ee > 98%) and high stereoselectivity. As the MaDA enzymes proved to be less selective for dienes, the substrate scope of the reaction was investigated to synthesize a library of unnatural DAAs [6]. It was found that the minimum structural requirement of diene for both MaDA-1 and MaDA-3 was the 2-dehydroprenylphenol moiety, as shown from computational calculations. The prenyl moiety is essential for the enzymatic activity; moreover, the substituents in the para- position can form stabilizing interactions with the enzyme, lowering the energy of the transition state. By [4+2] cycloaddition reaction between different natural and unnatural dienes and dienophiles, several unnatural DAAs (65-67) have been synthesized either as endo- or exo-isomers by using MaDA-1 or MaDA-3, respectively, as biocatalysts; their structures are reported in Figure 19.
Figure 19.
Chemoenzymatic synthesis of unnatural DAAs using MaDA-1 and MaDA-3.
To understand the mechanism of opposite stereoselectivities of MaDA enzymes, the crystal structure of the exo-selective MaDA-3 enzyme was solved. The combination of structure-based computational and mutagenesis studies revealed the key residues capable of stabilizing the endo or the exo transition state. According to the binding poses, the endo-transition state is stabilized by MaDA-1 or MaDA by a key hydrogen bond between R443 residue and the TS, while exo-selectivity is achieved by MaDA-3 through the formation of a cation–π interaction between R294 residue and TS. This pair of MaDA enzymes represent, thus, a powerful tool for the stereo- and enantioselective synthesis of natural or unnatural DAAs.
5. Total Synthesis of Mulberry DAAs
Due to the unique chemical scaffold and promising biological activities against HIV, tuberculosis, inflammation, and cancer [49,50,51,52,53,54,55,56,57], several research groups have developed, over the years, different approaches for the total synthesis of DAAs, including classical conditions for the Diels–Alder reaction such as thermal promotion, high pressure thermal catalysis, Brønsted acid catalysis, as well as modern methods such as electron-transfer initiation, silver nanoparticles catalysis, and chiral boron complex asymmetric catalysis [13].
5.1. Racemic Total Synthesis of Mulberry DAAs
5.1.1. Chalcomoracin, Mongolicin F, Mulberrofurans C, and J Methyl Ethers
Chalcomoracin (1) and mulberrofuran C (3) were the first examples of natural products biosynthesized by an enzyme-controlled [58,59] intermolecular Diels–Alder reaction between a dehydroprenylphenol diene derived from an isoprenoid substituted phenolic compound and an alkene of a chalcone as the dienophile [26]. Total syntheses of chalcomoracin and mulberrofuran C heptamethyl ethers (68 and 69) were performed by Gunawan et al., 2010 [7], and the detailed mechanistic and theoretical study on the synthesis of these Diels–Alder adducts was provided by the same group in 2012 [27].
Retro-Diels–Alder reaction of chalcomoracin heptamethyl ether (68), given in Figure 20, is a result of its pyrolysis, affording highly unstable dehydroprenylbenzofuran 70 and chalcone 71.
Figure 20.
Retro-Diels–Alder reaction of chalcomoracin heptamethyl ether (68).
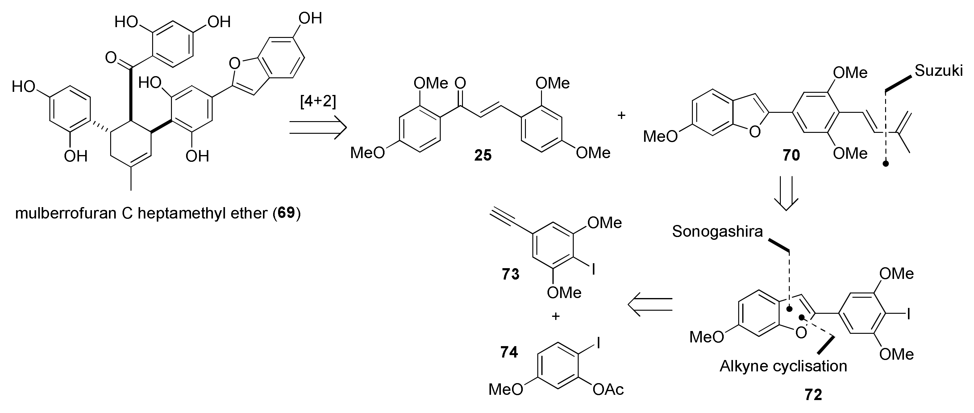
The proposed retrosynthetic approach towards the synthesis of mulberrofuran C heptamethyl ether (69) is depicted in Figure 21. The target compound could be obtained by a [4+2]-cycloaddition reaction between chalcone 25 and dehydroprenylbenzofuran 70. The required diene 70 is presumed to be obtained using a Suzuki cross coupling [60] reaction of iodide 72 and corresponding boronate, and the benzofuran scaffold could be prepared by a selective Sonogashira coupling [61] between iodoalkyne 73 and iodide 74.
Figure 21.
Retrosynthesis of mulberrofuran C heptamethyl ether (69).
First, synthesis of diene 70 was performed in accordance with Figure 22. Starting from readily available aldehyde 75, after treatment with the Bestmann-Ohira reagent in basic conditions [62], alkyne 73 was obtained. Sonogashira coupling of 73 with the iodide 74 using Cs2CO3 as a base afforded the tolan 76 [63]. After its hydrolysis, the obtained phenol 77 was cyclized to benzofuran 72 using TBAF [64]. To further convert compound 72, pinacol boronate 78 was prepared from enyne 79 by hydroboration [65,66] and via Suzuki coupling diene 70 was obtained in high yield.
Figure 22.
Synthesis of diene 70.
The second reactant needed for the Diels–Alder cyclization proposed in Figure 21, chalcone 25, was obtained by a Claisen-Schmidt condensation reaction between acetophenone 80 and aldehyde 81 (Figure 23). However, in every attempt to perform the final step, the reaction of chalcone 25 with diene 70 gave only traces of desired compound 69.
Figure 23.
Synthesis of chalcone 25 and attempted Diels–Alder reaction between 70 and 25.
Therefore, an alternative dienophile 24 was prepared by a Claisen–Schmidt condensation between phenol 82 and benzaldehyde 81 (Figure 24). Next, the heating of a solution of 24 and 70 in toluene for 16h afforded both the exo-product 83 (mulberrofuran J hexamethyl ether) and the desired endo-isomer 84 (mulberrofuran C hexamethyl ether) in a 1:1 ratio in 40% yield. Finally, methylation of endo-isomer 84 afforded the target compound mulberrofuran C heptamethyl ether (69). It can be concluded that the presence of the free phenol in chalcone 24 was crucial for the success of this Diels–Alder cyclization.
Figure 24.
Diels–Alder reaction between 70 and phenolic chalcone 24.
The synthesis of chalcomoracin heptamethyl ether (68) started with preparing the required prenylated chalcone 86 (Figure 25). For this reason, chalcone 24 was prenylated to ether 85, which was then subjected to 1,3-shift mediated by Florisil® in toluene [67], yielding the desired chalcone 86.
Figure 25.
Synthesis of chalcone 86.
The next step, a thermal Diels–Alder cycloaddition between diene 70 and chalcone 86, was performed at 180 °C and afforded the desired chalcomoracin hexamethyl ether 88 and the additional product, mongolicin F hexamethyl ether 89 [68], in a 2:1 ratio (Figure 26). Finally, compound 88 was successfully methylated, affording the target compound chalcomoracin heptamethyl ether (68) [33].
Figure 26.
Diels–Alder reaction between 70 and chalcone 86 towards chalcomoracin heptamethyl ether (68).
5.1.2. Kuwanon V, Dorsterone Methyl Ethers
In 2011, Rahman and co-workers reported the facile total synthesis of two type II DAAs, kuwanon V and dorsterone methyl ethers (90 and 91) [69]. The retrosynthetic plan includes a [4+2] biomimetic DA cycloaddition of chalcone diene 92 and chalcone 93 as a dienophile (Figure 27).
Figure 27.
Retrosynthetic plan of kuwanon V and dorsterone methyl ethers (90 and 91).
Diene 92 was synthesized starting from commercially available 2,4-dihydroxyacetophenone 94, which was subjected to regioselective iodination with ICl to afford aryl iodide 95. Methylation of compound 95 with (CH3)2SO4 followed by Claisen–Schmidt condensation with 4-methoxybenzaldehyde afforded iodinated chalcone 96. The diene moiety was installed through Heck reaction of chalcone 96 with 2-methylbut-3-en-2-ol by using Pd(OAc)2, (o-tolyl)3P, and Et3N as a catalytic system. Allyl alcohol 97 was then easily dehydrated by treatment with acetyl chloride in the presence of pyridine to afford diene 92 (Figure 28).
Figure 28.
Synthesis of chalcone diene 92.
On the other hand, dienophile 93 was prepared from previously known chalcone 98; the 2-methoxy group was selectively deprotected with BCl3, then prenylation afforded O-prenylchalcone 100, which was subjected to a 1,3-shift promoted by treatment with montmorillonite K10 to give C-prenylated chalcone 93 (Figure 29).
Figure 29.
Synthesis of prenylated chalcone dienophile 93.
Finally, the Diels–Alder reaction between chalcones 92 and 93 was attempted under several conditions; first, the thermal promotion in a sealed tube at 160 °C afforded endo- and exo-adducts in a ratio of 3:2 and 55% yield (Figure 30). Different catalytic systems were tested, including the Porco’s catalyst (Zn2/Bu4NBH4, CoI2/1,10-phenanthroline), which proved to be efficient in promoting single electron transfer-initiated formal Diels–Alder cycloaddition, but the yield and endo/exo selectivity were comparable to the uncatalysed reaction. The best results were obtained by employing AgOTf/Bu4NBH4: kuwanon V (endo-adduct) (90) and dorsterone (exo-adduct) (91) pentamethyl ethers were obtained in 65% yield and 6:4 endo/exo ratio. Any attempt of deprotection of the hydroxyl groups with BCl3 resulted in decomposition.
Figure 30.
Synthesis of kuwanon V and dorsterone pentamethyl ethers (90 and 91).
5.1.3. Sorocenol B
Sorocenol B (19) is a natural product found and isolated for the first time from the root bark of Sorocea bonplandii [3]. The structure of this molecule stands out by the presence of a bicyclo [3.3.1] core, which is also included in the structures of mulberrofuran I [70], australisin B [56], and mongolicin C [68]. The first total synthesis of (±)-sorocenol B (19) was performed by Cong et al., applying, for the first time, silver nanoparticle (AgNP)-catalysed Diels–Alder cycloadditions of 2′-hydroxychalcones [71]. The retrosynthetic analysis, presented in Figure 31, anticipates the formation of the target compound (±)-19 by a biomimetic oxidative cyclization of endo (102) and/or exo (103) cycloadducts. The synthesis of these cycloadducts is presumed to be performed via AgNP-catalysed Diels–Alder cycloaddition of 2′-hydroxychalcone 104 and diene 105 [72], derived from readily available starting compounds chromene 106 and resorcinol 107, respectively.
Figure 31.
Retrosynthetic approach towards sorocenol B (19).
The synthetic procedure for preparing acetylated 2′-hydroxychalcone 104 is presented in Figure 32. First, chalcone 109 was obtained in excellent yield by a Claisen–Schmidt condensation reaction of chromene 106 and benzaldehyde 108 in the presence of NaH as a base. Afterwards, chalcone 104 was obtained in good yield in two steps, by MOM hydrolysis on chalcone 108 and subsequent acetylation [73].
Figure 32.
Preparation of diene 105 and chalcone 104.
The synthesis of required diene 105 (Figure 32) was achieved in four steps. First, hydroxyl groups of resorcinol 107 were protected using MOMCl and NaH, providing compound 110, which was then subjected to a regioselective formylation towards benzaldehyde 111 [74]. Next, compound 111 was employed in an aldol condensation reaction with acetone and subsequent Wittig olefination of ketone 112, affording diene 105.
The reaction between acetylated 2′-hydroxychalcone 104 and diene 105 (Figure 33) presents the key Diels–Alder cycloaddition, which employs silica-supported silver nanoparticles (AgNPs) as a highly efficient and user-friendly catalyst (0.1 mol % of Ag loading). In this way, a mixture of endo/exo stereoisomers (113 and 114) was obtained with a 2:1 ratio. Since it was not possible to separate the endo-cycloadduct from the starting material, it was necessary to achieve the full conversion of chalcone 104. It is worth noting that this conversion could not be achieved by the conventional thermal Diels–Alder reaction between 104 and 105.
Figure 33.
Diels–Alder cycloaddition between 104 and 105 catalysed by AgNPs.
The next step involved the construction of a bicyclo [3.3.1] core (Figure 34), starting with the removal of acetyl-protective groups, giving 102 (endo) and 103 (exo) diastereoisomers. To achieve oxidative cyclization of the obtained intermediates, different oxidative conditions were explored (e.g., DDQ [75,76], CAN [77], and Pd(OAc)2/1,4-benzoquinone [78]), without success. The conversion of 102 (Figure 34a) was successfully achieved using Stoltz’s conditions for oxidative Wacker cyclization (catalytic Pd(OAc)2/pyridine in toluene under an oxygen atmosphere) [79,80,81], resulting in a bicyclic product 101 and its C-4 epimer 115. The relative stereochemistry of both 101 and 115 were unambiguously determined using NOE analysis (Figure 35). Unfortunately, conversion of the exo diastereoisomer 114 under the same reaction conditions did not supply the desired product (Figure 34b). This can be explained via the proposed mechanism for the Pd(II)-mediated oxidative cyclization (Figure 34a), which indicates that in the case of 114, syn-β-hydride is not feasible due to stereochemical restrictions.
Figure 34.
Pd(II)-catalysed oxidative cyclization.
Figure 35.
Key NOE’s leading to relative stereochemistry assignments of 101 and 115.
In the final step, MOM hydrolysis of 101 in acidic conditions was performed without epimerization at the C-4 position, providing the target compound (±)-19 in 74% yield. The relative stereochemistry of the obtained (±)-sorocenol B was confirmed by key NOE signals (Figure 36).
Figure 36.
MOM-deprotection, last step yielding (±)-sorocenol B (19).
5.1.4. Brosimones A and B
Qi et al. reported, in 2013, the first biomimetic total synthesis of brosimones A and B (8 and 7) through a multicatalytic dehydrogenative Diels–Alder (DHDA) cycloaddition of 2′-hydroxy-4′prenylchalcones [82]. The group reported for the first time, in 2010, the use of silica-supported silver nanoparticles (AgNPs) as a highly efficient catalyst for [4+2] cycloadditions of 2′-hydroxychalcones [72,83], so they exploited this catalytic system towards the biomimetic construction of Diels–Alder adducts natural products. Tandem reactions for the preparation of appropriate substrates have been planned, including, first, a dehydrogenation of prenyl chain to provide the diene in situ, followed by its AgNPs-promoted Diels–Alder cycloaddition to chalcone dienophile (Figure 37).
Figure 37.
Retrosynthesis of brosimone A, derived from brosimone B.
Preliminary studies on a model reaction set up the best combination of catalyst and oxidant to be a mixture of Pt/C and silica supported AgNPs, which also promotes the conversion of endo- to the desired exo-product, in an ambient air atmosphere, including cyclopentene acting as hydrogen scavenger. Subsequently, chalcone 118, opportunely protected on the hydroxyl groups with Bn, has been dimerized using the combination of Pt/C-AgNPs to afford the cycloadduct 119 and 120 in 64% yield and exo/endo ratio of 1.2:1. Hydrogenolysis of benzyl protecting groups, with ammonium formate as an additive, provided brosimone B (7) (Figure 38). X-ray analysis of the corresponding methyl derivative confirmed the structure of the desired product.
Figure 38.
Dehydrogentive Diels–Alder cycloaddition towards brosimone B (7). Bn = benzyl.
Applying the same reaction conditions to exo-120 did not afford the second DHDA to access the brosimone A derivative exo–exo-121. Replacing Pt/C with an excess of 2,3-dichloro-5,6-dicyano-1,4-benzoquinone (DDQ), in association with AgNPs, an exo/endo-122 product was obtained, together with DDQ adduct 123, in 17% and 34% yield, respectively. Nonetheless, by increasing the reaction temperature from 90 to 130 °C, it was possible to obtain the target adduct exo/exo-121 in a 62% yield. Hydrogenolysis of the adduct provided brosimone A (8) in a 91% yield.
Both undesired product exo/endo-122 and DDQ adduct 123 could be converted into an exo/exo-121 derivative by treatment with AgNPs at high temperatures. This evidence suggested the occurrence of tandem retro-Diels–Alder/Diels–Alder, which is also consistent with temperature-dependent stereoselectivity, leading to the exo–endo product under kinetic control and to the exo–exo product under thermodynamic control (Figure 39). Predicted reaction energies and calculated transition states support this thesis. The computational model suggested a one-electron substrate oxidation process, accompanied by deprotonation of the 2′-hydroxyl group and complexation with AgI radical.
Figure 39.
DHDA toward brosimone A derivative exo-exo-121.
5.1.5. Morusalbanol A Pentamethyl Ether
Morusalbanol A (18) was first isolated from the bark of Morus alba in 2012 by Yue et al. [84]. The main structural characteristic of this natural compound is an oxabicyclic moiety with solely S,R,S configurations at the C3, C4, and C5 chiral centres. It was proposed that this core skeleton biosynthetically derives from the intramolecular cyclization of a cis–trans DAA intermediate, which originates from an enzyme-controlled Diels–Alder reaction between a dehydroprenyl diene and a chalcone dienophile (Figure 40).
Figure 40.
Biogenesis of morusalbanol A (18) and related natural products.
The synthetic methodology for the Diels–Alder and the subsequent formation of the oxabicyclic core was developed by Tee et al., 2015 [85]. In this study, it was observed that the use of silver catalysts (AgOTf and AgBF4) for the Diels–Alder reaction employing model dienes and dienophiles resulted in a selective formation of exo-diastereoisomer in low yield, followed by the decomposition of the starting diene. Accordingly, thermal conditions for the formation of the Diels–Alder adduct proved to be the most efficient ones (Figure 41).
Figure 41.
Development of initial methodology; best results achieved with model diene 124 and dienophile 125.
Towards the synthesis of morusalbanol A pentamethyl ether (128), it was first necessary to obtain the corresponding dehydroprenyl diene 129 and chalcone dienophile 130. The requested diene 129 was synthesized by a similar procedure as described above, reported by Rahman et al., 2011, for the preparation of 90 and 91 [69]. Starting from commercially available 2,4,6-trihydroxybenzoic acid, a sequence of methylation, regioselective iodination [86], and Heck coupling reaction with 2-methylbut-3-en-2-ol, using Pd(OAc)2 as a catalyst in the presence of K2CO3 in DMF at a slightly elevated temperature, provided the allylic alcohol, which, by dehydration, furnished the desired diene 129 [87]. Similarly, the required dienophile 130 was prepared by mono-methylation of commercially available 2,4-dihydroxyacetophenone, followed by Claisen–Schmidt condensation with 2,4-dimethoxybenzaldehyde [71].
As stated above, the formation of the desired Diels–Alder endo-adduct 131 was achieved under thermal conditions in toluene at 135 °C for 24 h (Figure 42).
Figure 42.
Thermal Diels–Alder reaction of diene 129 and dienophile 130.
Finally, it was necessary to perform a selective cleavage of the O-methyl ether of 131 (Figure 43), which is achieved using MgI2 (10 euiv) in Et2O-THF (1:1). The subsequent C3–C21 bond rotation was followed by an intramolecular, stereocontrolled cyclization affording the targeted (±)-morusalbanol A pentamethyl ether 128.
Figure 43.
Synthesis of (±)-morusalbanol A pentamethyl ether (128).
The relative stereochemistry of 128 was determined using 1H NMR and NOESY experiments, and the structure was confirmed by the single-crystal X-ray crystallography.
5.1.6. Kuwanol E
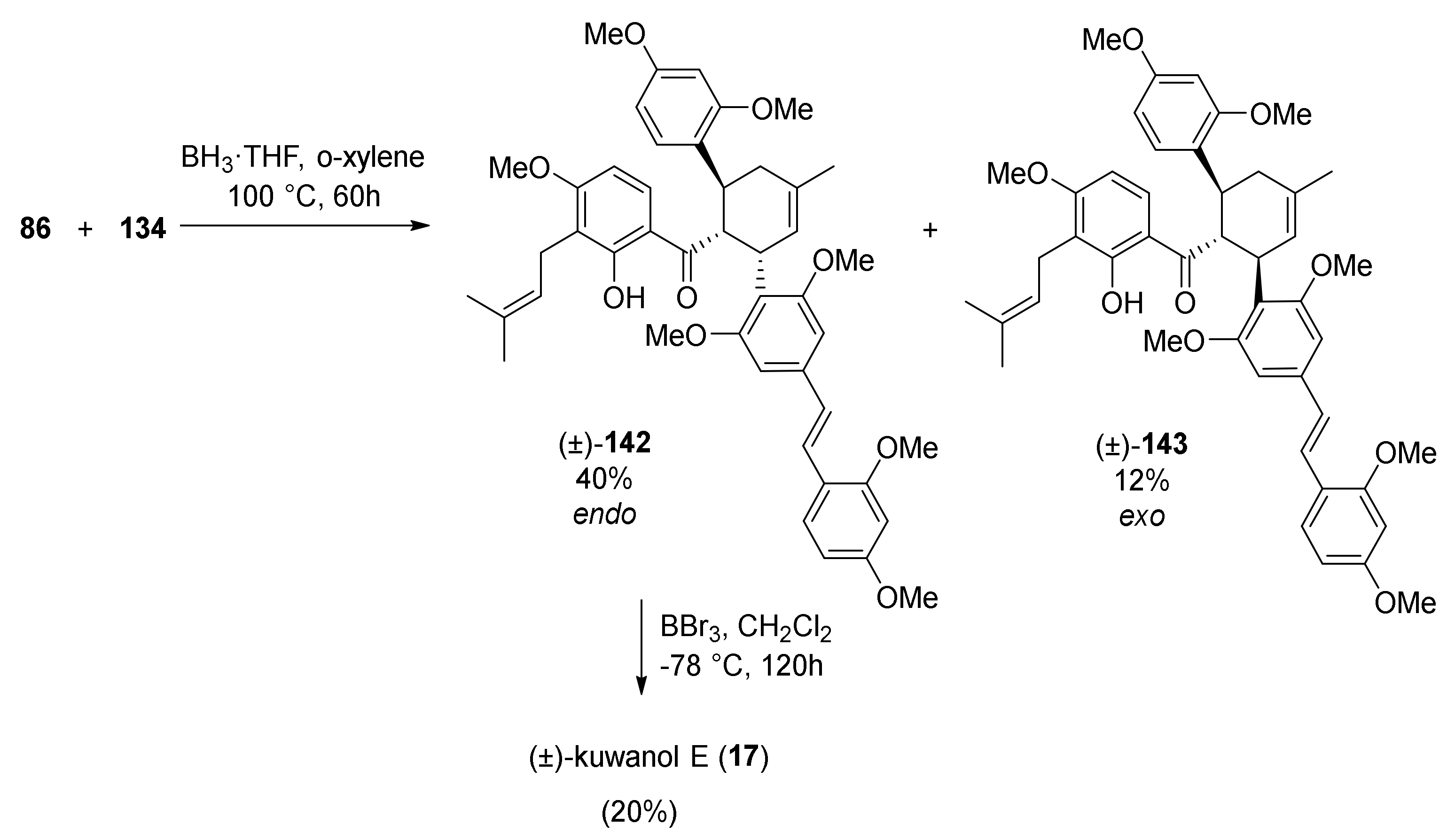
The first total synthesis of (±)-kuwanol E (17) was reported by Iovine et al., 2016 [88]. The retrosynthetic approach toward its synthesis is presented in Figure 44. It was presumed that target compound 17 could be obtained by cleavage of the O-methyl ether groups from kuwanol E heptamethyl ether (133), which could be prepared by a Diels−Alder [4+2] cycloaddition of morachalcone A trimethyl ether 86, as dienophile, and stilbene tetramethyl ether 134, as diene.
Figure 44.
Retrosynthetic approach to kuwanol E (17).
The retrosynthetic approach to morachalcone A trimethyl ether 86 proposes its synthesis starting from the commercially available 2-hydroxy-4-methoxyacetophenone and 2,4-dimethoxybenzaldehyde, via a Claisen–Schmidt condensation followed by base catalysed O-prenylation of the free hydroxyl group and subsequent prenyl 1,3-shift promoted by Montmorillonite K10 [89], similarly to that reported by Gunawan et al., 2010 [7].
To synthesize diene 134, benzyl bromides 135a and 135b had to be prepared (Figure 45) starting from commercially available 4-bromo-3,5-dihydroxybenzoic acid (136). First, 136 was converted into ester 137 and then treated with methyl iodide, giving 138a, which was further subjected to Finkelstein iodination, affording 138b [90]. Compounds 138a and 138b were further reduced to benzyl alcohols 139a or 139b, which were finally converted to bromides 135a and 135b.
Figure 45.
Synthesis of benzyl bromides 135a and 135b.
Halides 140a and 140b were prepared by one-pot Arbuzov and Horner–Wadsworth–Emmons reactions with commercially available 2,4-dimethoxybenzaldehyde (81) (Figure 46) [91,92]. Subsequent Suzuki–Miyaura coupling [60] with boronate 78 [93], using Pd2(dba)3 and S-Phos as the catalysts, yielded diene 134.
Figure 46.
Synthesis of diene 134.
The Diels–Alder cycloaddition of dienophile 86 and diene 134 was successfully performed in the presence of BH3·THF as a Lewis acid catalyst to enhance the reactivity of 2′-hydroxychalcone 86. The reaction resulted in a mixture of two Diels–Alder adduct diastereoisomers (±)-142 and (±)-143 with an endo/exo = 4:1 ratio.
Finally, endo-isomer 142 was subjected to the cleavage of the methoxy groups providing the target compound (±)-kuwanol E (17) (Figure 47). The NMR spectroscopic data for synthetic and naturally occurring 17 were in agreement with each other and with the literature data [94].
Figure 47.
Synthesis of (±)-kuwanol E (17).
5.1.7. Kuwanon G and H
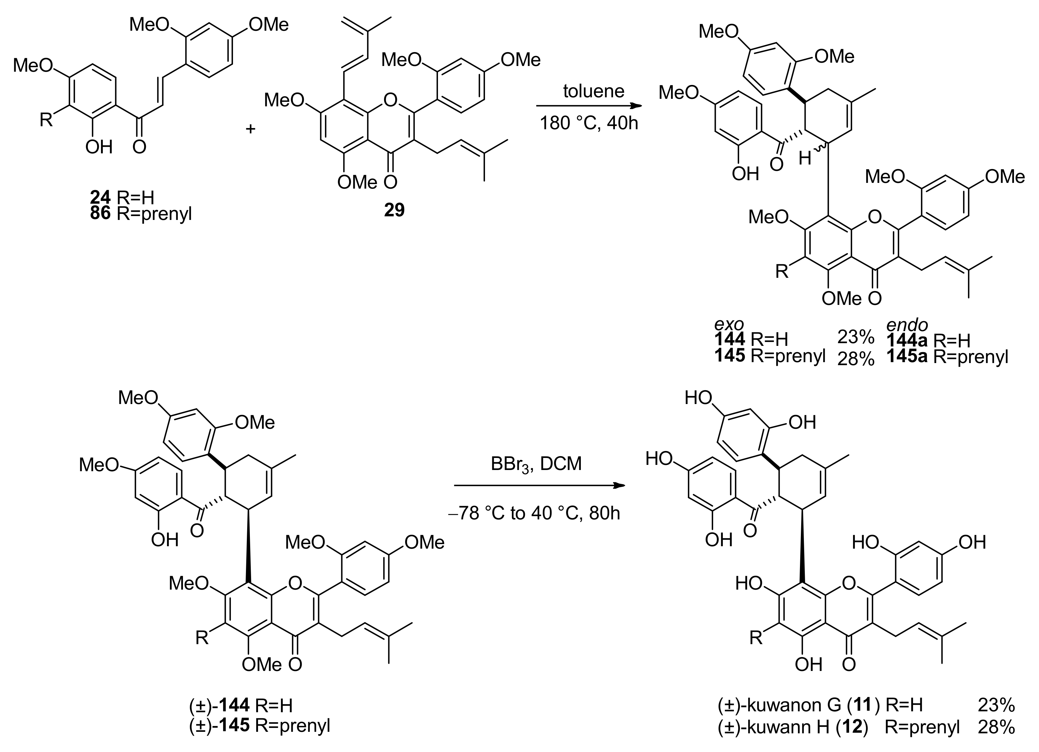
In 2021, Luo et al. reported the total synthesis of kuwanons G and H (11 and 12), two DAAs derived from the condensation of a chalcone with a flavone diene, that differs only in the presence of a prenyl group in kuwanon H (12) [95]. According to the retrosynthetic plan reported in Figure 48, kuwanons G and H (11 and 12) could be obtained from the demethylation of methoxy groups of heptamethyl ether precursors 144 or 145, which, in turn, could be prepared from Diels–Alder cycloaddition of diene 29 with 2′-hydroxychalcones 24 or 86 as dienophiles. Chalcones 24 and 86 could be synthesized, as already mentioned, by Claisen–Schmidt condensation of commercially available dimethoxybenzaldehyde 81 and 2-hydroxy-4-methoxy acetophenone 82, followed by prenylation 86. Diene moiety of 29 could be introduced by Suzuki–Miyaura coupling of flavone aryl iodide 146, that can be prepared by prenylation of β-diketone 147 and intramolecular cyclization. 147 could be obtained by esterification of intermediate 148 with 2,4-dimethoxybenzoic acid 149 and subsequent Baker–Venkataraman rearrangement.
Figure 48.
Retrosynthesis of kuwanons G and H (11 and 12).
The synthesis commenced from Claisen–Schmidt condensation of suitable acetophenone and benzaldehyde, followed by O-prenylation and a montmorillonite 1,3-shift of prenyl moiety, according to the already established route described by Iovine et al. in the synthesis of kuwanol E (17) [88]. For the preparation of diene 29, intermediate 148 was obtained by regioselective iodination with KI/KIO3 of 2-hydroxy-4,6-dimethoxyacetophenone. To afford the ketoester 150, 2,4-dimethoxybenzoyl chloride was treated with compound 148 in pyridine, which then undergoes Baker–Venkataraman rearrangement in the presence of sodium hydroxide to supply β-diketone 147 (Figure 49).
Figure 49.
Preparation of iodo-β-diketone 147.
Several attempts at α-prenylation of β-diketone 147 always afforded a mixture of the desired prenylated β-diketone 152, along with C,O-diprenylated byproduct 151, which could be converted into the desired β-diketone 152 by treating the mixture in acidic conditions. Then, cyclization and dehydration by sulfuric acid treatment in ethanol gave iodoflavone 146 and a cyclic adduct with ethanol 153, which can be separated and converted into 146 by acidic treatment at room temperature. With iodoflavonoid 146 in hand, the authors tried different conditions for the Suzuki–Miyaura coupling with pinacolboronate 78, which was prepared according to the procedure established by Iovine et al. [88]. The Suzuki–Miyaura coupling was optimized, and the best conditions included the use of (PCy3)2PdCl2 as the catalyst in toluene at 60 °C in the presence of K3PO4 as a base, which gave the desired diene 29 in 41% yield (Figure 50).
Figure 50.
Synthesis of prenylated iodoflavone 194 and Suzuki–Miyaura cross coupling for the preparation of diene 29.
The key Diels–Alder reaction was attempted in thermal conditions at high pressure in a sealed tube in toluene at 180 °C (Figure 51). Exo- (all-trans) and endo- (cis-trans) adducts of both dienophiles 24 and 86 with diene 29 were isolated in 23% and 28% yield, respectively. Finally, exo-adducts heptamethyl ethers 144 and 145 were deprotected by treatment with BBr3 to afford racemic kuwanon G and H (11 and 12), respectively, according to the demethylation conditions reported for the total synthesis of kuwanol E (17) (Figure 51) [88]. The racemate of kuwanon G (11) was separated by chiral HPLC to obtain the two enantiomers, which showed opposite specific rotations, in accordance with that reported for the naturally-occurring kuwanon G (11). Racemic kuwanon H (12) was subjected to the same procedure, also, in this case, two enantiomers with opposite optical rotations were obtained.
Figure 51.
Synthesis of kuwanons G and H (11 and 12) by Diels–Alder reaction of dienophiles 24 or 86 and diene 29 and deprotection.
5.2. Enantioselective Total Synthesis of Mulberry DAAs
5.2.1. Brosimones A and B and Kuwanons I and J
After only one year, the total synthesis of brosimones A and B (8 and 7) has been reported by the group of Porco. Han et al. accomplished the first enantioselective total synthesis of these two Diels–Alder adducts, along with the enantioselective total synthesis of kuwanons I and J (9 and 10), starting from the common intermediate chalcone 154 (Figure 52) [10].
Figure 52.
Retrosynthesis of brosimones A and B (8 and 7) and kuwanons I and J (9 and 10).
Chalcone 154 was afforded by prenylation of the free hydroxyl group, followed by a 1,5-shift reaction catalysed by Montmorillonite K10 towards para-prenylated chalcone 155, which was the synthetic precursor for brosimones A and B, and a 1,3-shift towards ortho-prenylated chalcone 156, the synthetic precursor for kuwanons I and J (9 and 10). Prenylated chalcone 163 was a direct precursor of the diene 158, obtained by a sequence of Schenck ene reaction/reduction followed by a dehydration reaction (Figure 53). After an extensive evaluation of diverse protecting groups, acetate was selected, as it could be removed smoothly under mild basic conditions.
Figure 53.
Preparation of chalcone diene 158.
Initially, the enantioselective Diels–Alder cycloaddition was developed and optimized on model substrates. Moreover, this reaction on 2′-hydroxychalcones has not been reported before. Taking inspiration from the work of Kelly et al. and Snyder et al. [8,9], the authors tested different chiral boron complexes and obtained excellent results using (S)-VANOL and moderate yield and enantioselectivity with (R)-VAPOL. With optimized reaction conditions in hand, the para-prenylated dienophile 155 and diene 158 underwent a Diels–Alder cycloaddition reaction in the presence of (S)-VANOL as chiral ligand, affording endo-164 and exo-165 in 71% yield with a 1.2:1 ratio, with excellent ee values for both (98% ee for endo-164, 93% ee for exo-165). Removal of acetyl groups provided (−)-brosimone B (7) in a 70% yield Figure 54.
Figure 54.
Enantioselective synthesis of brosimone B (7).
For the final Diels–Alder intramolecular cycloaddition towards brosimone A (8), many issues had to be overcome, such as the ring strain of the 12-membered ring of the target molecule, the steric hindrance encountered by the boron ligand, and the difficulty to simultaneously activate the dienophile while deactivating the diene. Nevertheless, adding a slight excess of boron complex, the three expected products, endo,endo-166, exo,endo-167, and exo,exo-168, have been achieved in 28, 20, and 13% yields, respectively. The latter, the desired configuration, has been obtained in 95% ee. Finally, global deprotection of exo,exo-168 under mild basic conditions efficiently afforded the desired natural product (−)-brosimone A in a 70% yield (Figure 55).
Figure 55.
Enantioselective intramolecular Diels–Alder cycloaddition towards brosimone A.
As previously said, the synthesis of kuwanons I and J proceeded from the ortho-prenylated dienophile 162, prepared via 1,3-shift of the prenyl chain catalysed by Montmorillonite K10, which allowed the target regioisomer to be obtained in 37% yield (Figure 53).
Reaction conditions have been optimized for the preparation of diene 160 starting from dienophile 156 via subsequent Schenck ene reaction/reduction and dehydration. It has been found that a visible-light-mediated regioselective Schenck ene reaction using [Ru(bpy)3Cl2·6H2O] and MeOH was the best combination to achieve the tertiary alcohol in 55% yield (Figure 56). Following dehydration reaction in the presence of SOCl2/DBU provided diene 160 resulted in a 75% yield.
Figure 56.
Schenck ene reaction towards tertiary alcohol 159.
As already discussed, a model reaction has been studied for the subsequent stereoselective Diels–Alder cycloaddition. Different boron complexes with chiral ligand have been evaluated and, employing an excess (2.5 equiv) of (R)-VANOL endo-171, were accessed in 80% yield, at a 1.2:1 endo/exo ratio, with excellent stereoselectivity (97% ee). Lower enantiomeric excess has been registered in the same condition for exo-170, but when (S)-8,8′-dimethyl-VANOL was used, the ee value of the exo product was significantly improved, from 60% to 84%. Finally, global deprotection of exo-170 and endo-171 under mild basic conditions efficiently furnished the desired natural products kuwanons I (9) and J (10), both in 70% yields (Figure 57).
Figure 57.
Enantioselective Diels–Alder cycloaddition towards kuwanons I and J (9 and 10).
5.2.2. Kuwanon X, Kuwanon Y, and Kuwanol A
The first enantioselective total syntheses of (−)-kuwanon X (15), (+)-kuwanon Y (16), and (+)-kuwanol A (20) were reported by Gao et al., 2016 [12]. Taking advantage of their previous experience [10,11], they stereoselectively built the cyclohexene skeleton, common for Diels–Alder type adducts derived from chalcone and dehydroprenylstilbene moieties, through an asymmetric Diels–Alder reaction catalysed by chiral biaryl ligands/boron Lewis acid.
The kuwanons X (15) and Y (16) could be generated through asymmetric Diels−Alder cycloadditions between dienophile 172 and diene 173 (Figure 58). Dienophile 172 is prepared, as described in the literature, through the Claisen–Schmidt condensation of the corresponding acetophenone and benzaldehyde [96]. Diene 173 is prepared by introducing the dehydroprenyl chain by Pd-catalysed Suzuki cross coupling on the iodinated corresponding stilbene 176 [7,97], previously obtained over three steps by Horner−Wadsworth−Emmons reaction.
Figure 58.
Retrosynthetic approach towards (−)-kuwanon X (15), (+)-kuwanon Y (16), and (+)-kuwanol A (20).
A screening of seven different chiral biaryl ligands highlighted an unprecedented exo selectivity for this cycloaddition (Figure 59). In particular, (S)-VAPOL catalysed the Diels–Alder reaction with a very high exo selectivity (endo/exo 1:13) and high enantioselectivity, so it was directly used to obtain acetylated kuwanon X (179) in 79% yield and 94% ee. This exo selectivity is, of course, a problem for the synthesis of kuwanon Y (16) and, consequently, for the synthesis of kuwanol A (20), which is derived from the endo-kuwanon Y (16) through a biomimetic acid catalysed ketalization. Among some VANOL derivatives, the best result was achieved using (R)-6,6′-dibromo-VANOL, which allowed acetylated kuwanon Y (180) to be prepared in 80% yield and 96% ee, with 1:3.5 endo/exo selectivity. The high enantioselectivity and exo selectivity can be explained by the two transition states reported in Figure 60. The chiral ligand blocks the α-face of the dienophile, and the diene could only approach the dienophile by its less hindered β-face. Due to the steric hindrance between the acetyl group and the phenyl group, the less hindered exo transition state is more favoured, leading, therefore, to the observed exo selectivity.
Figure 59.
Asymmetric Diels−Alder cycloadditions from dienophile 172 and diene 173.
Figure 60.
Transition states occurring during Diels–Alder cycloaddition between dienophile 172 and diene 173, explaining the peculiar exo-selectivity.
After removal of protecting acetyl groups, treating the Diels–Alder adducts, exo-179 and endo-180 with K2CO3 corresponding kuwanons were isolated in 67% and 49% yield, respectively.
Both products have been treated with sulfuric acid to catalyse the biomimetic intramolecular ketalization, but only endo-16 formed a ketalized product, confirmed as kuwanol A (20).
Nevertheless, the target compound has been obtained with very low yield, mostly due to the aforementioned low endo-selectivity. To improve the selectivity towards the endo-product, acetyl groups have been replaced with MOM protecting groups, which have shown no predominant endo/exo stereoselectivity in literature (Figure 61) [69,71].
Figure 61.
Synthesis of kuwanol A (20) from MOM-protected diene 173.
MOM-protected diene 181 was synthesised and used in the asymmetric Diels–Alder cycloaddition catalysed by (R)-VANOL/boron Lewis acid. Without losing the enantioselectivity (endo-product obtained in 90% ee, in comparison to previously achieved 94% ee) the endo/exo selectivity changed to 1:1.2. This reduced preference towards the exo-product is attributed to an anticipation of the transition state in the reaction pathway due to higher energy of HOMO in MOM-protected diene 181, therefore, a less steric demand to overcome for the endo compared to the exo transition state.
Finally, single step deprotection/ketalization, catalysed by sulfuric acid in EtOH, afforded kuwanon A (20) in 17.6% yield and the same high enantioselectivity.
5.2.3. Sanggenons C and O
The first asymmetric total syntheses of flavonoid DAAs sanggenons C and O were reported by the group of Porco in 2016, and it has been achieved by a stereodivergent Diels–Alder cycloaddition between protected dienophilic 2′-hydroxy-chalcone and flavonoid diene 183 [98]. The diene can be derived from sanggenon A (184) via isomerization of its chromene ring (Figure 62).
Figure 62.
Retrosynthetic approach towards enantio-enriched sanggenons C and O, starting from sanggenon A (184) or sanggenol F (185).
Sanggenon A (184) and its precursor sanggenol F (185) were also synthesised for the first time by the same group, and their synthesis is reported in the same paper. Preparation of 185 started by tetra-MOM-protection of morin (188), commercially available, and proceeded with the 5-allylation of the remaining free hydroxyl group. Removal of the MOM-group from C-3 followed by a second 3-allylation reaction and MOM- deprotection afforded compound 191, which is the substrate for the subsequent double Claisen rearrangement, catalysed by Yb(OTf)3 in a mixture of DCM and HFIP. The hydrobenzofuro[3,2-b]chromenone (±)-192 was then the key intermediate towards sanggenon F. Protection of the hydroxyl group with TBS followed by a cross coupling reaction catalysed by Grubbs’ 2nd generation catalyst provided the two prenyl chains, and final removal of the TBS groups easily afforded sanggenon F (185) in excellent yield. Finally, dehydrogenation with DDQ in THF leads to the second desired natural product, sanggenon A (184), in good yield (Figure 63).
Figure 63.
Synthesis of sanggenons A and F.
Initially, the authors’ idea was to directly use sanggenon A (184) as a diene precursor for the construction of sanggenons C and O (13 and 14) via stereodivergent Diels–Alder cycloaddition with 2′-hydroxychalcone 172. Nevertheless, this approach led to decomposition and no product formation. Therefore, chromene derivative 194, a variant of sanggenon A, was prepared from (±)-193 with DDQ in THF to serve as a diene precursor. The TBS-protected chromene 194 could generate the required diene 183 in situ via a retro 6π-electrocyclization followed by deprotonation/protonation, which results in a formal [1,7]-H shift. In the presence of acetylated 2′-hydroxychalcone 172 employing AgNPs, two endo-products were obtained, which yielded a mixture (4:1 d.r.) of (±)-sanggenons C and O (13 and 14) after treatment, sequentially with NaHCO3 and NEt3·3HF (Figure 64).
Figure 64.
Synthesis of racemic sanggenons C and O (13 and 14).
The two natural products have the same absolute configuration of the endo-formed cyclohexene ring, but they are epimers at both C-2 and C-3. To make this cycloaddition enantioselective, the authors envisioned, as mentioned above, a stereodivergent approach and evaluated different borate and axially chiral ligands on a model reaction with simplified diene and dienophile. Model Diels–Alder adducts have been produced in high yield and excellent stereoselectivity by using (S)-3,3′-dibromoBINOL and triphenylborate. A borate complex with the model dienophile has also been isolated and characterized by X-ray, confirming the spatial disposition and the corresponding face selectivity (Figure 65).
Figure 65.
Borate chiral complex with model dienophile 195.
The optimized conditions have been directly applied to synthesize sanggenons C and O (13 and 14) enantioselectively. The stereodivergent [4+2] cycloaddition between racemic diene precursor (±)-194 and dienophile 172 catalysed by catalytic amounts of B(OPh)3 and (R)-3,3′-dibromoBINOL, followed by subsequent acetate and silyl groups deprotections, yielded almost exclusively endo-products sanggenons C and O (13 and 14) in a 2:1 ratio and 98% and 93% ee, respectively (Figure 66).
Figure 66.
Stereoselective Diels–Alder cycloaddition towards sanggenons C and O.
Computational studies have been conducted on the interacting complex between dienophile 197 and both enantiomers of a simplified variant of the diene (TMS instead of TBS), engaging in Diels–Alder cycloaddition. Models A and B, shown in Figure 66 with the lowest energy conformer of diene 183, highlighted that model A is favoured compared to the corresponding model B using (R)-3,3′-dibromoBINOL. The steric interactions between the prenyl on the dienophile and phenyl groups on the diene are responsible for the significantly increased energy in assemblies related to model B.
6. Biological Activity of Mulberry DAAs
6.1. Antioxidant Activity
Mulberry DAAs comprise, in their structure, a flavonoid unit and polyphenol groups, which are known to contribute to good antioxidant activity. Hence, many DAAs showed promising antioxidant activities, with more than 50% of malondialdehyde (MDA) formation inhibition at a concentration of 10 μM. For example, kuwanon Y (16) [2] exhibited potent antioxidant activity with inhibitory rates of 56% at a concentration of 1 μM. Kuwanon X (15) [99] also exerted good antioxidant potency, with an 81% inhibitory rate of MDA, at a concentration of 10 μM. Chalcomoracin was also found to be effective in scavenging the superoxide anion, with radical scavenging activity of 71% in terms of inhibition of blue formazan formation [100]. In the same study, chalcomoracin was also shown to inhibit lipid peroxidation by exerting a protective effect against the destructive UV irradiation by reducing the level of MDA to 25% of untreated value at a concentration of 100 μM.
6.2. Anti-Inflammatory Activity
Besides their antioxidative properties, several DAAs have also demonstrated potent anti-inflammatory activity. Sanggenon C (13) and kuwanons G and H (11 and 12) were found to significantly affect arachidonate metabolism in rat platelets by a dose-dependent inhibition of the formation of 12-hydroxy-5,8,10-heptadecatrienoic acid (HHT) and thromboxane B, by the cyclooxygenase route [101]. Sanggenons C (13) and O (14) were tested for their inhibitory effect on COX-1 and COX-2, showing IC50 values of 10–14 μM and 40–50 μM [102]. Virtual screening and the experimental results obtained in two previously cited articles have provided important information regarding the structural requirements for the biological activity. An important structural feature for the inhibitory effect on both COX isoenzymes is the connection of the chalcone pharmacophore with flavonoid moiety via a cyclohexene ring. Additionally, the presence of a 2′,4′-dihydroxy group in the B-ring seems to be beneficial for COX-1 inhibition, while the isoprenyl group should be placed at the C2 position of the flavonoid C-ring for a positive effect on COX-2 inhibition. Furthermore, sanggenon C has inhibited TNF-alpha-stimulated PMN-HSC adhesion and expression of VCAM-1 by suppressing the activation of nuclear transcription factor-kappa B (NF-kB) [103]. Kuwanon J 2,4,10″-trimethyl ether also strongly inhibited NF-kB activity with the IC50 value of 4.65 μM [55]. Kuwanon G (11) has shown a significant inhibition of IL-6 production in lung epithelial cells (A549) and NO production in lung macrophages [104].
6.3. Cytotoxic Activity
Chalcomoracin showed moderate cytotoxic activities against five human cancer cell lines (A549, Bel-7402, BGC 823, HCT-8, A2780), with IC50 values ranging from 5.5 to 7.0 μg/mL, as determined by MTT assay [56]. The Diels–Alder type flavanone sanggenon C (13) isolated from Morus cathayana displayed potent cytotoxicity against two human oral tumour cell lines (HSC-2 and HSG), with 50% cytotoxic concentration, CC50 = 0.018 mM against HSC-2 [105]. This compound exhibited lower activity against normal human gingival fibroblasts (HGF) with a tumour specificity ratio of 2.3, suggesting a specific cytotoxic activity against cancer cell lines rather than normal cells. Kuwanons G and H (11 and 12) were found to inhibit the specific binding of the gastrin-releasing peptide (GRP) to GRP-preferring receptors, with Ki = 470 and 290 nM, respectively. Kuwanon Y was shown to inhibit protein kinase C (PKC) with an IC50 value of 15 μM [106]. Sanggenon C (13) inhibited tumour cellular proteasomal activity and cell viability via induction of cell cycle arrest and cell death, but also induced necrotic cell death in cancer cells, which could limit the clinical potential of Sanggenon C [107]. Sanggenons C and O (13 and 14) and kuwanon J were evaluated using luciferase reporter assay and were found to inhibit hypoxia-induced HIF-1α accumulation in a dose-dependent manner in human hepatocellular carcinoma cell-line Hep3B cells (IC50 = 1.03 μM, for sanggenon O (14)) [108]. In addition, it was determined that these compounds are also active against hypoxia-induced vascular endothelial growth factor (VEGF) secretion in Hep3B cells (IC50 = 2.08 μM, for sanggenon O (14)). Sanggenon C (14) induced apoptosis in HT-29 colon cancer cells via increased ROS generation and decreased NO production, which is associated with inhibition of iNOS expression and activation of the mitochondrial apoptosis pathway. In another study, sanggenon C was found to inhibit the proliferation of prostate cancer PC3 cells in a dose- and time-dependent manner with a 24-h IC50 of 18.76 µmol/L, possibly by activating caspase 3 and caspase 9 pathways [109]. The cytotoxicity of (±)-sorocenol B (19) was screened against a panel of 60 human cancer cell lines, and it was concluded that the most sensitive tumour cell lines include prostate cancer PC-3 (GI50 = 1.1 μM), melanoma LOX IMVI (GI50 = 1.4 μM), leukaemia MOLT-4 (GI50 = 1.4 μM), and colon cancer HCC-2998 (GI50 = 1.4 μM) [71].
6.4. Antimicrobial Activity
Chalcomoracin exhibited considerable antimicrobial activity (MIC 0.78 mug/mL) against MSSAs (strains FDA 209P and Smith) and MRSAs (strains K3 and ST 28) [51]. The potency of inhibitory activity of this compound against these strains was similar to that of vancomycin (MIC 0.39–1.56 mug/mL). Kuwanol E (17) is one of the most potent natural compound inhibitors of Mycobacterium tuberculosis protein tyrosine phosphatase B (Ki = 1.6 ± 0.1 μM), and the first reported non-peptidic natural compound inhibitor of PtpB [53]. Kuwanon G (11) and sanggenon C (13) inhibited the growth of oral pathogenic bacteria such as Streptococcus mutans, Streptococcus sobrinus, Streptococcus sanguis, and Porphyromonas gingivalis. Transmission electron microscopy (TEM) of kuwanon G-treated cells demonstrated remarkable morphological damage of the cell wall and condensation of the cytoplasm [110]. Kuwanon G (11) caused 100% mortality of Ichthyophthirius multifiliis theronts at the concentration of 2 mg/L and possessed a median effective concentration (EC50) of 0.8 36 ±0.04 mg/L against the theronts. The median lethal concentrations (LC50) of kuwanon G (11) to Ichthyophthirius multifiliis in grass carp was 38.0 ± 0.82 mg/L, which was approximately 50 times the EC50 for killing theronts [111]. Sanggenons C and O (13 and 14) showed an antifungal activity against Venturia inaequalis with IC50 values of 17.7 and 34.3 µM, respectively [112].
6.5. Miscellaneous Biological Activities
Different biological activities of Sanggenon C have also been evaluated. It was found to stimulate osteoblastic proliferation and differentiation, inhibit osteoclastic formation and function in vitro, and reverse the bone loss of zebrafish caused by prednisone [113]. Sanggenon C (13) also displayed cytoprotective effects by suppressing the inflammatory response and ROS production provoked during hypoxia via signalling mechanisms involving the activation of AMPK and simultaneous inhibition of mTOR and FOXO3a [114]. Yet another study revealed that Sanggenon C could exert protective effects against cardiac hypertrophy and fibrosis in response to chronic pressure overload via suppression of the calcineurin/NFAT2 pathway [115]. Mulberrofuran C (3) [116] and kuwanon G (11) [117] have been shown to possess hypotensive activity with intravenous injection of 1 mg kg−1, causing significant hypotension in rabbits. Mulberrofuran C (3) has also turned out to be a potent multi-targeted agent for Alzheimer’s disease (AD), with an IC50 value for EeAChE 4.2 ± 0.1 μM [118]. Kuwanon H (12) showed positive activity on HIV with an EC50 value of 1.95 μg/mL [119].
7. Conclusions
Morus and related plants are a rich source of DAAs, a wide class of prenylated polyphenols that contains a cyclohexene moiety derived from [4+2] cycloaddition in the biosynthetic pathway, endowed with important biological activities. The pioneering studies of Nomura et al. extensively analysed the biosynthesis of mulberry DAAs and revealed many insights into the biosynthetic pathways: first, the existence of an enzymatic system capable of oxidizing the prenyl moiety of a polyphenol precursor as chalcones, flavonoids, stilbenes, etc. to a dehydroprenyl diene moiety. Moreover, the existence of another family of enzymatic systems, namely, the intermolecular Diels–Alderases that catalyse the [4+2] cycloaddition between chalcones as dienophiles and different dehydroprenyl polyphenolic precursors, such as dienes, was proved by 13C incorporation studies and by the isolation of enantiopure endo- (cis-trans) or exo- (all-trans) adducts. Despite the advent of new genetic engineering techniques and the advancement of technology, also due to the problems in plant enzymes identification, no stand-alone intermolecular Diels–Alderase has been previously isolated. Very recently, the first Falvin-dependent intermolecular Diels–Alderase from Morus alba cell cultures was isolated by Gao et al., namely, the Morus alba Dials-Alderase (MaDA). The enzyme was fully characterized, and some isoforms were cloned and produced with opposite endo/exo selectivity. Moreover, moracin C oxidase, an enzyme capable of dehydrogenating the prenyl moiety of moracin C to the dehydroprenyl diene group, has been identified and successfully cloned and expressed. The discoveries gave input to the exploitation of these new endo- or exo-selective Diels–Alderase enzymes in the production of many natural and unnatural DAAs by chemoenzymatic synthesis.
The use of mulberry root bark in Traditional Chinese Medicine for the treatment of various diseases has illuminated the importance of the isolation, identification, and biological screening of contained bioactive compounds. DAAs represent one of the most important classes of these compounds, showing prominent biological activities such as antioxidative, anti-inflammatory, cytotoxic, antimicrobial, and anti-HIV agents. However, the amount of each compound made available by the chemoenzymatic synthesis in the batch is limited and, thus, not sufficient for the preclinical development of a lead compound. In the future, flow chemistry systems with immobilised MaDA would provide higher quantities of DAAs. The chemical total synthesis represents a valid alternative. For this reason, many researchers have made a lot of effort to develop practical synthetic procedures for the obtaining of DAAs. It is worth mentioning that the key synthetic step for all the procedures is a biomimetic [4+2] cycloaddition, therefore, many attempts have been made to develop a highly stereo- and enantioselective version of the Diels–Alder reaction. Different studies revealed that the presence of an ortho hydroxyl group that forms an intramolecular hydrogen bond is fundamental in lowering the HOMO–LUMO gap, thus accelerating the reaction rate. The same effect was exploited by the coordination with several Lewis acids and silver nanoparticles. The first attempts of the Diels–Alder reaction for the synthesis of DAAs were thermal or high pressure, but the yield and endo/exo selectivity was not optimal. Then, new methods, including single electron transfer by Porco’s catalyst and the use of silver nanoparticles, were introduced to enhance stereoselectivity and yield. Finally, more efficient catalytic systems such as Brønsted acid and boron chiral ligands were introduced to increase the stereoselectivity and induce enantioselectivity in the DAA products. According to the synthetic procedures, which vary depending on the final synthetic target, some procedures are commonly adopted, such as the installation of the diene moiety (dehydroprenyl) through a Palladium catalysed cross coupling as Stille or Suzuki–Miyaura reactions or the introduction of the prenyl group through O-prenylation of a free ortho hydroxyl group, followed by a 1,3-shift of the prenyl group. It is noteworthy that, very often, such a kind of prenyl 1,3 shift is incorrectly reported as a [1,3]-sigmatropic rearrangement, but this reaction has a concerted pericyclic mechanism; thus, the expected products should bear a 1,1-dimethylallyl group, and such compounds have never been reported among the products. Moreover, the formation of a deprenylated by-product and the fact that the reaction is promoted by Lewis’ acids suggest that the reaction occurs as an ionic shift of the prenyl group as allylic carbocation. Finally, Brønsted acid and boron chiral ligands were investigated as efficient catalytic systems capable of inducing enantioselectivity in the DAAs. Many advances have been achieved, and today, several stereo- and enantioselective chemical synthetic procedures for the preparation of enantiopure unnatural and unnatural DAAs are available, even if the control of endo/exo stereoselectivity remains a problem to be addressed. The use of pure Diels–Alderase enzymes with specific endo- or exo-selectivity is the best way to solve the problem, and the enzyme also provides enantioselectivity, but the use of chemical synthesis remains a gold standard for the synthesis of DAAs in a large scale.
Funding
This research was funded by MIUR under the Excellence Departments Grant to the Department of Chemistry and Technology of Drugs; MIUR under PRIN project 2017, Grant number 20175XBSX4; MIUR under PON (Piano Operativo Nazionale) Grant number ARS01_00432 (PROGEMA) and Sapienza University of Rome under Grant “Progetti Ateneo 2019”.
Acknowledgments
The authors thank Giancarlo Fabrizi for the interesting discussions and his useful advice.
Conflicts of Interest
The authors declare no conflict of interest.
References
- Nomura, T.; Hano, Y. Chemistry, Biosynthesis, and Biological Activity of Natural Diels-Alder Type Adducts from Moraceous Plants. In Plant Polyphenols 2: Chemistry, Biology, Pharmacology, Ecology; Gross, G.G., Hemingway, R.W., Yoshida, T., Branham, S.J., Eds.; Springer US: Boston, MA, USA, 1999; pp. 279–297. [Google Scholar]
- Yang, Y.; Tan, Y.-X.; Chen, R.-Y.; Kang, J. The latest review on the polyphenols and their bioactivities of Chinese Morus plants. J. Asian Nat. Prod. Res. 2014, 16, 690–702. [Google Scholar] [CrossRef] [PubMed]
- Nomura, T.; Hano, Y.; Yamanaka, J.; Momose, Y. Sorocenols A and B, Two New Isoprenylated Phenols from the Root Bark of Sorocea bonplandii Baillon. Heterocycles 1995, 41, 1035–1043. [Google Scholar] [CrossRef]
- Nomura, T.; Hano, Y.; Suzuko, S.; Kohno, H. Absolute Configuration of Kuwanon L, a Natural Diels-Alder Type Adduct from the Morus Root Bark. Heterocycles 1988, 27, 75–81. [Google Scholar] [CrossRef]
- Hano, Y.; Nomura, T.; Ueda, S. Biosynthesis of chalcomoracin and kuwanon J, the Diels-Alder type adducts, in Morus Alba L. cell coltures. Chem. Pharm. Bull. 1989, 37, 554–556. [Google Scholar] [CrossRef][Green Version]
- Gao, L.; Zou, Y.; Liu, X.; Yang, J.; Du, X.; Wang, J.; Yu, X.; Fan, J.; Jiang, M.; Li, Y.; et al. Enzymatic control of endo- and exo-stereoselective Diels–Alder reactions with broad substrate scope. Nat. Catal. 2021, 4, 1059–1069. [Google Scholar] [CrossRef]
- Gunawan, C.; Rizzacasa, M.A. Mulberry Diels−Alder Adducts: Synthesis of Chalcomoracin and Mulberrofuran C Methyl Ethers. Org. Lett. 2010, 12, 1388–1391. [Google Scholar] [CrossRef]
- Kelly, T.R.; Whiting, A.; Chandrakumar, N.S. Rationally designed, chiral Lewis acid for the asymmetric induction of some Diels-Alder reactions. J. Am. Chem. Soc. 1986, 108, 3510–3512. [Google Scholar] [CrossRef]
- Snyder, S.A.; Tang, Z.-Y.; Gupta, R. Enantioselective Total Synthesis of (−)-Napyradiomycin A1 via Asymmetric Chlorination of an Isolated Olefin. J. Am. Chem. Soc. 2009, 131, 5744–5745. [Google Scholar] [CrossRef]
- Han, J.; Li, X.; Guan, Y.; Zhao, W.; Wulff, W.D.; Lei, X. Enantioselective Biomimetic Total Syntheses of Kuwanons I and J and Brosimones A and B. Angew. Chem. Int. Ed. 2014, 53, 9257–9261. [Google Scholar] [CrossRef]
- Li, X.; Han, J.; Jones, A.X.; Lei, X. Chiral Boron Complex-Promoted Asymmetric Diels–Alder Cycloaddition and Its Application in Natural Product Synthesis. J. Org. Chem. 2016, 81, 458–468. [Google Scholar] [CrossRef]
- Gao, L.; Han, J.; Lei, X. Enantioselective Total Syntheses of Kuwanon X, Kuwanon Y, and Kuwanol A. Org. Lett. 2016, 18, 360–363. [Google Scholar] [CrossRef] [PubMed]
- Han, J.; Jones, A.X.; Lei, X. Recent Advances in the Total Synthesis of Prenylflavonoid and Related Diels–Alder Natural Products. Synthesis 2015, 47, 1519–1533. [Google Scholar] [CrossRef]
- Luo, S.-Y.; Zhu, J.-Y.; Zou, M.-F.; Yin, S.; Tang, G.-H. Mulberry Diels–Alder-type adducts: Isolation, structure, bioactivity, and synthesis. Nat. Prod. Bioprospect. 2022, 12, 31. [Google Scholar] [CrossRef]
- Wasserman, A. Diels Alder Reactions; Elsevier: Amsterdam, The Netherlands, 1965. [Google Scholar]
- Nicolaou, K.C.; Snyder, S.A.; Montagnon, T.; Vassilikogiannakis, G. The Diels–Alder Reaction in Total Synthesis. Angew. Chem. Int. Ed. 2002, 41, 1668–1698. [Google Scholar] [CrossRef]
- Butz, L.W.; Rytina, A.W. The Diels-Alder reaction. Quinones and other cyclenones. In Organic Reactions; John Wiley & Sons, Inc.: Hoboken, NJ, USA, 1949; Volume 5, pp. 136–192. [Google Scholar]
- Kloetzel, M.C. The Diels-Alder reactions with maleic anhydride. In Organic Reactions; John Wiley & Sons, Inc.: Hoboken, NJ, USA, 1948; Volume 4, pp. 1–59. [Google Scholar]
- Kraka, E.; Wu, A.; Cremer, D. Mechanism of the Diels−Alder Reaction Studied with the United Reaction Valley Approach: Mechanistic Differences between Symmetry-Allowed and Symmetry-Forbidden Reactions. J. Phys. Chem. A 2003, 107, 9008–9021. [Google Scholar] [CrossRef]
- Woodward, R.B.; Katz, T.J. The mechanism of the Diels-Alder reaction. Tetrahedron 1959, 5, 70–89. [Google Scholar] [CrossRef]
- Jorgensen, W.L.; Lim, D.; Blake, J.F. Ab initio study of Diels-Alder reactions of cyclopentadiene with ethylene, isoprene, cyclopentadiene, acrylonitrile, and methyl vinyl ketone. J. Am. Chem. Soc. 1993, 115, 2936–2942. [Google Scholar] [CrossRef]
- Kobuke, Y.; Sugimoto, T.; Furukawa, J.; Fueno, T. Role of attractive interactions in endo-exo stereoselectivities of Diels-Alder reactions. J. Am. Chem. Soc. 1972, 94, 3633–3635. [Google Scholar] [CrossRef]
- Williamson, K.L.; Hsu, Y.-F.L. Stereochemistry of the Diels-Alder reaction. II. Lewis acid catalysis of syn-anti isomerism. J. Am. Chem. Soc. 1970, 92, 7385–7389. [Google Scholar] [CrossRef]
- Berson, J.A.; Hamlet, Z.; Mueller, W.A. The Correlation of Solvent Effects on the Stereoselectivities of Diels-Alder Reactions by Means of Linear Free Energy Relationships. A New Empirical Measure of Solvent Polarity. J. Am. Chem. Soc. 1962, 84, 297–304. [Google Scholar] [CrossRef]
- Houk, K.N.; Luskus, L.J. Influence of steric interactions on endo stereoselectivity. J. Am. Chem. Soc. 1971, 93, 4606–4607. [Google Scholar] [CrossRef]
- Nomura, T.; Hano, Y. Isoprenoid-substituted phenolic compounds of moraceous plants. Nat. Prod. Rep. 1994, 11, 205–218. [Google Scholar] [CrossRef] [PubMed]
- Boonsri, S.; Gunawan, C.; Krenske, E.H.; Rizzacasa, M.A. Synthetic studies towards the mulberry Diels–Alder adducts: H-bond accelerated cycloadditions of chalcones. Org. Biomol. Chem. 2012, 10, 6010–6021. [Google Scholar] [CrossRef]
- Vermeeren, P.; Hamlin, T.A.; Fernández, I.; Bickelhaupt, F.M. How Lewis Acids Catalyze Diels–Alder Reactions. Angew. Chem. Int. Ed. 2020, 59, 6201–6206. [Google Scholar] [CrossRef] [PubMed]
- Vermeeren, P.; Tiezza, M.D.; van Dongen, M.; Fernández, I.; Bickelhaupt, F.M.; Hamlin, T.A. Lewis Acid-Catalyzed Diels-Alder Reactions: Reactivity Trends across the Periodic Table. Chem.-A Eur. J. 2021, 27, 10610–10620. [Google Scholar] [CrossRef] [PubMed]
- Bañuelos, P.; García, J.M.; Gómez-Bengoa, E.; Herrero, A.; Odriozola, J.M.; Oiarbide, M.; Palomo, C.; Razkin, J. (1R)-(+)-Camphor and Acetone Derived α′-Hydroxy Enones in Asymmetric Diels−Alder Reaction: Catalytic Activation by Lewis and Brønsted Acids, Substrate Scope, Applications in Syntheses, and Mechanistic Studies. J. Org. Chem. 2010, 75, 1458–1473. [Google Scholar] [CrossRef]
- Ikuta, J.; Fukai, T.; Nomura, T.; Ueda, S. Constituents of Morus alba L. Cell Cultures. (1).: Structures of Four New Natural Diels-Alder Type Adducts, Kuwanons J, Q, R, and V. Chem. Pharm. Bull. 1986, 34, 2471–2478. [Google Scholar]
- Mitsuo, T.; Shigemitsu, N.; Shoji, U.; Tadashi, M.; Akira, S.; Kokichi, T. Moracin C and D, new phytoalexins from diseased mulberry. Chem. Lett. 1978, 7, 1239–1240. [Google Scholar]
- Mitsuo, T.; Shigemitsu, N.; Tadashi, M.; Akira, S.; Kokichi, T. Chalcomoracin a natural Diels-Alder adduct from diseased Mulberry. Chem. Lett. 1980, 9, 1573–1576. [Google Scholar]
- Ueda, S.-i.; Matsumoto, J.; Nomura, T. Four new natural Diels―Alder type adducts, mulberrofuran E, kuwanon Q, R, and V from callus culture of Morus alba L. Chem. Pharm. Bull. 1984, 32, 350–353. [Google Scholar] [CrossRef]
- Nomura, T. Phenolic compounds of the mulberry tree and related plants. Fortschr. Chem. Org. Nat. 1988, 53, 87–201. [Google Scholar]
- Nomura, T.; Hano, Y.; Suzuki, S.; Iitaka, Y. Absolute Configuration of Natural Diels-Alder Type Adducts from the Morus Root Bark. Heterocycles 1988, 27, 2315–2325. [Google Scholar] [CrossRef]
- Nomura, T.; Hano, Y.; Ueda, S. Chemistry and Biosynthesis of Natural Diels-Alder Type Adducts from Moraceous Plants. In Studies in Natural Products Chemistry; Atta Ur, R., Ed.; Elsevier: Amsterdam, The Netherlands, 1995; Volume 17, pp. 451–478. [Google Scholar]
- Hano, Y.; Nomura, T.; Ueda, S. Biosynthesis of optically active Diels–Alder type adducts revealed by an aberrant metabolism of O-methylated precursors in Morus alba cell cultures. J. Chem. Soc. Chem. Commun. 1990, 8, 610–613. [Google Scholar] [CrossRef]
- Hano, Y.; Aida, M.; Nomura, T.; Ueda, S. A novel way of determining the structure of artonin I, an optically active Diels–Alder type adduct, with the aid of an enzyme system of Morus alba cell cultures. J. Chem. Soc. Chem. Commun. 1992, 17, 1177–1178. [Google Scholar] [CrossRef]
- Vitali, A.; Giardina, B.; Delle Monache, G.; Rocca, F.; Silvestrini, A.; Tafi, A.; Botta, B. Chalcone dimethylallyltransferase from Morus nigra cell cultures. Substrate specificity studies. FEBS Lett. 2004, 557, 33–38. [Google Scholar] [CrossRef]
- Wang, R.; Chen, R.; Li, J.; Liu, X.; Xie, K.; Chen, D.; Yin, Y.; Tao, X.; Xie, D.; Zou, J.; et al. Molecular characterization and phylogenetic analysis of two novel regio-specific flavonoid prenyltransferases from Morus alba and Cudrania tricuspidata. J. Biol. Chem. 2014, 289, 35815–35825. [Google Scholar] [CrossRef]
- De Bruijn, W.J.C.; Levisson, M.; Beekwilder, J.; van Berkel, W.J.H.; Vincken, J.-P. Plant Aromatic Prenyltransferases: Tools for Microbial Cell Factories. Trends Biotechnol. 2020, 38, 917–934. [Google Scholar] [CrossRef]
- Gao, L.; Su, C.; Du, X.; Wang, R.; Chen, S.; Zhou, Y.; Liu, C.; Liu, X.; Tian, R.; Zhang, L.; et al. FAD-dependent enzyme-catalysed intermolecular [4+2] cycloaddition in natural product biosynthesis. Nat. Chem. 2020, 12, 620–628. [Google Scholar] [CrossRef]
- Chakrabarty, S.; Romero, E.O.; Pyser, J.B.; Yazarians, J.A.; Narayan, A.R.H. Chemoenzymatic Total Synthesis of Natural Products. Acc. Chem. Res. 2021, 54, 1374–1384. [Google Scholar] [CrossRef]
- Gao, L.; Yang, J.; Lei, X. Enzymatic intermolecular Diels-Alder reactions in synthesis: From nature to design. Tetrahedron Chem 2022, 2, 100013. [Google Scholar] [CrossRef]
- Li, J.; Amatuni, A.; Renata, H. Recent advances in the chemoenzymatic synthesis of bioactive natural products. Curr. Opin. Chem. Biol. 2020, 55, 111–118. [Google Scholar] [CrossRef] [PubMed]
- Moore, B.S.; Gulder, T.A.M. Enzymes in natural product total synthesis. Nat. Prod. Rep. 2020, 37, 1292–1293. [Google Scholar] [CrossRef] [PubMed]
- Liu, X.; Yang, J.; Gao, L.; Zhang, L.; Lei, X. Chemoenzymatic Total Syntheses of Artonin I with an Intermolecular Diels–Alderase. Biotechnol. J. 2020, 15, 2000119. [Google Scholar] [CrossRef] [PubMed]
- Dai, S.-J.; Wu, Y.; Wang, Y.-H.; He, W.-Y.; Chen, R.-Y.; Yu, D.-Q. New Diels-Alder type adducts from Morus macroura and their anti-oxidant activities. Chem. Pharm. Bull. 2004, 52, 1190–1193. [Google Scholar] [CrossRef]
- Esposito, F.; Tintori, C.; Martini, R.; Christ, F.; Debyser, Z.; Ferrarese, R.; Cabiddu, G.; Corona, A.; Ceresola, E.R.; Calcaterra, A.; et al. Kuwanon-L as a New Allosteric HIV-1 Integrase Inhibitor: Molecular Modeling and Biological Evaluation. ChemBioChem 2015, 16, 2507–2512. [Google Scholar] [CrossRef]
- Fukai, T.; Kaitou, K.; Terada, S. Antimicrobial activity of 2-arylbenzofurans from Morus species against methicillin-resistant Staphylococcus aureus. Fitoterapia 2005, 76, 708–711. [Google Scholar] [CrossRef]
- Martini, R.; Esposito, F.; Corona, A.; Ferrarese, R.; Ceresola, E.R.; Visconti, L.; Tintori, C.; Barbieri, A.; Calcaterra, A.; Iovine, V.; et al. Natural Product Kuwanon-L Inhibits HIV-1 Replication through Multiple Target Binding. ChemBioChem 2017, 18, 374–377. [Google Scholar] [CrossRef]
- Mascarello, A.; Mori, M.; Chiaradia-Delatorre, L.D.; Menegatti, A.C.O.; Monache, F.D.; Ferrari, F.; Yunes, R.A.; Nunes, R.J.; Terenzi, H.; Botta, B.; et al. Discovery of Mycobacterium tuberculosis Protein Tyrosine Phosphatase B (PtpB) Inhibitors from Natural Products. PLoS ONE 2013, 8, e77081. [Google Scholar] [CrossRef]
- Mascarello, A.; Orbem Menegatti, A.C.; Calcaterra, A.; Martins, P.G.A.; Chiaradia-Delatorre, L.D.; D’Acquarica, I.; Ferrari, F.; Pau, V.; Sanna, A.; De Logu, A.; et al. Naturally occurring Diels-Alder-type adducts from Morus nigra as potent inhibitors of Mycobacterium tuberculosis protein tyrosine phosphatase B. Eur. J. Med. Chem. 2018, 144, 277–288. [Google Scholar] [CrossRef]
- Phung, T.X.B.; Tran, T.H.H.; Dan, T.T.H.; Chau, V.M.; Hoang, T.H.; Nguyen, T.D. Chalcone-derived Diels–Alder adducts as NF-κB inhibitors from Morus alba. J. Asian Nat. Prod. Res. 2012, 14, 596–600. [Google Scholar] [CrossRef]
- Zhang, Q.-J.; Tang, Y.-B.; Chen, R.-Y.; Yu, D.-Q. Three New Cytotoxic Diels–Alder-Type Adducts from Morus australis. Chem. Biodivers. 2007, 4, 1533–1540. [Google Scholar] [CrossRef] [PubMed]
- Zheng, Z.-P.; Cheng, K.-W.; Zhu, Q.; Wang, X.-C.; Lin, Z.-X.; Wang, M. Tyrosinase Inhibitory Constituents from the Roots of Morus nigra: A Structure−Activity Relationship Study. J. Agric. Food Chem. 2010, 58, 5368–5373. [Google Scholar] [CrossRef] [PubMed]
- Hideaki, O. Involvement of the Diels–Alderases in the Biosynthesis of Natural Products. Bull. Chem. Soc. Jpn. 2005, 78, 537–554. [Google Scholar]
- Stocking, E.M.; Williams, R.M. Chemistry and Biology of Biosynthetic Diels–Alder Reactions. Angew. Chem. Int. Ed. 2003, 42, 3078–3115. [Google Scholar] [CrossRef]
- Miyaura, N.; Suzuki, A. Palladium-Catalyzed Cross-Coupling Reactions of Organoboron Compounds. Chem. Rev. 1995, 95, 2457–2483. [Google Scholar] [CrossRef]
- Sonogashira, K.; Tohda, Y.; Hagihara, N. A convenient synthesis of acetylenes: Catalytic substitutions of acetylenic hydrogen with bromoalkenes, iodoarenes and bromopyridines. Tetrahedron Lett. 1975, 16, 4467–4470. [Google Scholar] [CrossRef]
- Müller, S.; Liepold, B.; Roth, G.J.; Bestmann, H.J. An Improved One-pot Procedure for the Synthesis of Alkynes from Aldehydes. Synlett 1996, 1996, 521–522. [Google Scholar] [CrossRef]
- Rathwell, D.C.K.; Yang, S.-H.; Tsang, K.Y.; Brimble, M.A. An Efficient Formal Synthesis of the Human Telomerase Inhibitor (±)-γ-Rubromycin. Angew. Chem. Int. Ed. 2009, 48, 7996–8000. [Google Scholar] [CrossRef]
- Hiroya, K.; Suzuki, N.; Yasuhara, A.; Egawa, Y.; Kasano, A.; Sakamoto, T. Total syntheses of three natural products, vignafuran, 2-(4-hydroxy-2-methoxyphenyl)-6-methoxybenzofuran-3-carboxylic acid methyl ester, and coumestrol from a common starting material. J. Chem. Soc. Perkin Trans. 2000, 1, 4339–4346. [Google Scholar] [CrossRef]
- Vaultier, M.; Truchet, F.; Carboni, B.; Hoffmann, R.W.; Denne, I. Diels-Alder reactions of 1,3-dienylboronates as a new route to functionalized carbocycles. Tetrahedron Lett. 1987, 28, 4169–4172. [Google Scholar] [CrossRef]
- Tucker, C.E.; Davidson, J.; Knochel, P. Mild and stereoselective hydroborations of functionalized alkynes and alkenes using pinacolborane. J. Org. Chem. 1992, 57, 3482–3485. [Google Scholar] [CrossRef]
- Talamás, F.X.; Smith, D.B.; Cervantes, A.; Franco, F.; Cutler, S.T.; Loughhead, D.G.; Morgans, D.J.; Weikert, R.J. The Florisil® catalyzed [1,3]-sigmatropic shift of allyl phenyl ethers—An entryway into novel mycophenolic acid analogues. Tetrahedron Lett. 1997, 38, 4725–4728. [Google Scholar] [CrossRef]
- Kang, J.; Chen, R.-Y.; Yu, D.-Q. Five New Diels-Alder Type Adducts from the Stem and Root Bark of Morus mongolica. Planta Med. 2006, 72, 52–59. [Google Scholar] [CrossRef] [PubMed]
- Chee, C.F.; Lee, Y.K.; Buckle, M.J.C.; Rahman, N.A. Synthesis of (±)-kuwanon V and (±)-dorsterone methyl ethers via Diels–Alder reaction. Tetrahedron Lett. 2011, 52, 1797–1799. [Google Scholar] [CrossRef]
- Hano, Y.; Fukai, T.; Nomura, T.; Uzawa, J.; Fukushima, K. Structure of mulberrofuran I, a novel 2-arylbenzofuran derivative from the cultivated mulberry tree (Morus bombycis Koidz.). Chem. Pharm. Bull. 1984, 32, 1260–1263. [Google Scholar] [CrossRef][Green Version]
- Cong, H.; Porco, J.A. Total Synthesis of (±)-Sorocenol B Employing Nanoparticle Catalysis. Org. Lett. 2012, 14, 2516–2519. [Google Scholar] [CrossRef]
- Cong, H.; Becker, C.F.; Elliott, S.J.; Grinstaff, M.W.; Porco, J.A. Silver Nanoparticle-Catalyzed Diels−Alder Cycloadditions of 2′-Hydroxychalcones. J. Am. Chem. Soc. 2010, 132, 7514–7518. [Google Scholar] [CrossRef]
- Cong, H.; Ledbetter, D.; Rowe, G.T.; Caradonna, J.P.; Porco, J.A. Electron Transfer-Initiated Diels−Alder Cycloadditions of 2′-Hydroxychalcones. J. Am. Chem. Soc. 2008, 130, 9214–9215. [Google Scholar] [CrossRef]
- Ballerini, E.; Minuti, L.; Piermatti, O.; Pizzo, F. High Pressure Diels−Alder Approach to Hydroxy-Substituted 6a-Cyano-tetrahydro-6H-benzo[c]chromen-6-ones: A Route to Δ6-Cis-Cannabidiol. J. Org. Chem. 2009, 74, 4311–4317. [Google Scholar] [CrossRef]
- Floreancig, P.E. Development and Applications of Electron-Transfer-Initiated Cyclization Reactions. Synlett 2007, 2007, 191–203. [Google Scholar] [CrossRef]
- Li, C.-J. Cross-Dehydrogenative Coupling (CDC): Exploring C−C Bond Formations beyond Functional Group Transformations. Acc. Chem. Res. 2009, 42, 335–344. [Google Scholar] [CrossRef] [PubMed]
- Porco, J.A.; Schoenen, F.J.; Stout, T.J.; Clardy, J.; Schreiber, S.L. Transannular Diels-Alder route to systems related to dynemicin A. J. Am. Chem. Soc. 1990, 112, 7410–7411. [Google Scholar] [CrossRef]
- Wang, D.H.; Engle, K.M.; Shi, B.F.; Yu, J.Q. Ligand-enabled reactivity and selectivity in a synthetically versatile aryl C-H olefination. Science 2010, 327, 315–319. [Google Scholar] [CrossRef] [PubMed]
- Stoltz, B.M. Palladium Catalyzed Aerobic Dehydrogenation: From Alcohols to Indoles and Asymmetric Catalysis. Chem. Lett. 2004, 33, 362–367. [Google Scholar] [CrossRef]
- Trend, R.M.; Ramtohul, Y.K.; Ferreira, E.M.; Stoltz, B.M. Palladium-Catalyzed Oxidative Wacker Cyclizations in Nonpolar Organic Solvents with Molecular Oxygen: A Stepping Stone to Asymmetric Aerobic Cyclizations. Angew. Chem. Int. Ed. 2003, 42, 2892–2895. [Google Scholar] [CrossRef]
- Trend, R.M.; Ramtohul, Y.K.; Stoltz, B.M. Oxidative Cyclizations in a Nonpolar Solvent Using Molecular Oxygen and Studies on the Stereochemistry of Oxypalladation. J. Am. Chem. Soc. 2005, 127, 17778–17788. [Google Scholar] [CrossRef]
- Qi, C.; Cong, H.; Cahill, K.J.; Müller, P.; Johnson, R.P.; Porco, J.A., Jr. Biomimetic Dehydrogenative Diels–Alder Cycloadditions: Total Syntheses of Brosimones A and B. Angew. Chem. Int. Ed. 2013, 52, 8345–8348. [Google Scholar] [CrossRef]
- Cong, H.; Porco, J.A. Chemical Synthesis of Complex Molecules Using Nanoparticle Catalysis. ACS Catal. 2012, 2, 65–70. [Google Scholar] [CrossRef]
- Chen, H.-D.; Ding, Y.-Q.; Yang, S.-P.; Li, X.-C.; Wang, X.-J.; Zhang, H.-Y.; Ferreira, D.; Yue, J.-M. Morusalbanol A, a neuro-protective Diels–Alder adduct with an unprecedented architecture from Morus alba. Tetrahedron 2012, 68, 6054–6058. [Google Scholar] [CrossRef]
- Tee, J.T.; Chee, C.F.; Buckle, M.J.C.; Lee, V.S.; Chong, W.L.; Khaledi, H.; Rahman, N.A. Model studies on construction of the oxabicyclic [3.3.1] core of the mulberry Diels–Alder adducts morusalbanol A and 441772-64-1. Tetrahedron Lett. 2015, 56, 5082–5085. [Google Scholar] [CrossRef]
- Wang, H.; Yan, Z.; Lei, Y.; Sheng, K.; Yao, Q.; Lu, K.; Yu, P. Concise synthesis of prenylated and geranylated chalcone natural products by regiospecific iodination and Suzuki coupling reactions. Tetrahedron Lett. 2014, 55, 897–899. [Google Scholar] [CrossRef]
- Arkoudis, E.; Lykakis, I.N.; Gryparis, C.; Stratakis, M. Biomimetic Synthesis of Dimeric Metabolite Acremine G via a Highly Regioselective and Stereoselective Diels−Alder Reaction. Org. Lett. 2009, 11, 2988–2991. [Google Scholar] [CrossRef] [PubMed]
- Iovine, V.; Benni, I.; Sabia, R.; D’Acquarica, I.; Fabrizi, G.; Botta, B.; Calcaterra, A. Total Synthesis of (±)-Kuwanol E. J. Nat. Prod. 2016, 79, 2495–2503. [Google Scholar] [CrossRef] [PubMed]
- Sugamoto, K.; Kurogi, C.; Matsushita, Y.-i.; Matsui, T. Synthesis of 4-hydroxyderricin and related derivatives. Tetrahedron Lett. 2008, 49, 6639–6641. [Google Scholar] [CrossRef]
- Yamashita, K.-I.; Tsuboi, M.; Asano, M.S.; Sugiura, K.-I. Facile Aromatic Finkelstein Iodination (AFI) Reaction in 1,3-Dimethyl-2-imidazolidinone (DMI). Synth. Commun. 2012, 42, 170–175. [Google Scholar] [CrossRef]
- Kim, S.; Ko, H.; Park, J.E.; Jung, S.; Lee, S.K.; Chun, Y.-J. Design, Synthesis, and Discovery of Novel trans-Stilbene Analogues as Potent and Selective Human Cytochrome P450 1B1 Inhibitors. J. Med. Chem. 2002, 45, 160–164. [Google Scholar] [CrossRef]
- Nicolaou, K.C.; Kang, Q.; Wu, T.R.; Lim, C.S.; Chen, D.Y.K. Total Synthesis and Biological Evaluation of the Resveratrol-Derived Polyphenol Natural Products Hopeanol and Hopeahainol A. J. Am. Chem. Soc. 2010, 132, 7540–7548. [Google Scholar] [CrossRef]
- Pereira, S.; Srebnik, M. Hydroboration of Alkynes with Pinacolborane Catalyzed by HZrCp2Cl. Organometallics 1995, 14, 3127–3128. [Google Scholar] [CrossRef]
- Hano, Y.; Nomura, T.; Ueda, S. Two New Diels-Alder Type Adducts, Mulberrofuran T and Kuwanol E, from Callus Tissues of Morus alba L. Heterocycles 1989, 29, 2035–2041. [Google Scholar]
- Luo, S.-Y.; Tang, Z.-Y.; Li, Q.; Weng, J.; Yin, S.; Tang, G.-H. Total Synthesis of Mulberry Diels–Alder-Type Adducts Kuwanons G and H. J. Org. Chem. 2021, 86, 4786–4793. [Google Scholar] [CrossRef]
- Jun, N.; Hong, G.; Jun, K. Synthesis and evaluation of 2′,4′,6′-trihydroxychalcones as a new class of tyrosinase inhibitors. Bioorg. Med. Chem. 2007, 15, 2396–2402. [Google Scholar] [CrossRef] [PubMed]
- Lei, X.; Porco, J.A. Synthesis of a Polymer-Supported Anthracene and Its Application as a Dienophile Scavenger. Org. Lett. 2004, 6, 795–798. [Google Scholar] [CrossRef] [PubMed]
- Qi, C.; Xiong, Y.; Eschenbrenner-Lux, V.; Cong, H.; Porco, J.A. Asymmetric Syntheses of the Flavonoid Diels–Alder Natural Products Sanggenons C and O. J. Am. Chem. Soc. 2016, 138, 798–801. [Google Scholar] [CrossRef] [PubMed]
- Dai, S.-J.; Mi, Z.-M.; Ma, Z.-B.; Li, S.; Chen, R.-Y.; Yu, D.-Q. Bioactive Diels-Alder Type Adducts from the Stem Bark of Morus macroura. Planta Med. 2004, 70, 758–763. [Google Scholar] [CrossRef] [PubMed]
- Sharma, R.; Sharma, A.; Shono, T.; Takasugi, M.; Shirata, A.; Fujimura, T.; Machii, H. Mulberry Moracins: Scavengers of UV Stress-generated Free Radicals. Biosci. Biotechnol. Biochem. 2001, 65, 1402–1405. [Google Scholar] [CrossRef]
- Kimura, Y.; Okuda, H.; Nomura, T.; Fukai, T.; Arichi, S. Effects of Phenolic Constituents from the Mulberry Tree on Arachidonate Metabolism in Rat Platelets. J. Nat. Prod. 1986, 49, 639–644. [Google Scholar] [CrossRef]
- Rollinger, J.M.; Bodensieck, A.; Seger, C.; Ellmerer, E.P.; Bauer, R.; Langer, T.; Stuppner, H. Discovering COX-Inhibiting Constituents of Morus Root Bark: Activity-Guided versus Computer-Aided Methods. Planta Med. 2005, 71, 399–405. [Google Scholar] [CrossRef]
- Li, L.-C.; Shen, F.; Hou, Q.; Cheng, G.-F. Inhibitory effect and mechanism of action of sanggenon C on human polymorphonuclear leukocyte adhesion to human synovial cells. Acta Pharmacol. Sin. 2002, 23, 138–142. [Google Scholar]
- Lim, H.J.; Jin, H.-G.; Woo, E.-R.; Lee, S.K.; Kim, H.P. The root barks of Morus alba and the flavonoid constituents inhibit airway inflammation. J. Ethnopharmacol. 2013, 149, 169–175. [Google Scholar] [CrossRef]
- Shi, Y.-Q.; Fukai, T.; Sakagami, H.; Chang, W.-J.; Yang, P.-Q.; Wang, F.-P.; Nomura, T. Cytotoxic Flavonoids with Isoprenoid Groups from Morus mongolica. J. Nat. Prod. 2001, 64, 181–188. [Google Scholar] [CrossRef]
- Wei, H.; Zhu, J.-J.; Liu, X.-Q.; Feng, W.-H.; Wang, Z.-M.; Yan, L.-H. Review of bioactive compounds from root barks of Morus plants (Sang-Bai-Pi) and their pharmacological effects. Cogent Chem. 2016, 2, 1212320. [Google Scholar] [CrossRef]
- Huang, H.; Liu, N.; Zhao, K.; Zhu, C.; Lu, X.; Li, S.; Lian, W.; Zhou, P.; Dong, X.; Zhao, C.; et al. Sanggenon C decreases tumor cell viability associated with proteasome inhibition. Front. Biosci. 2011, 3, 1315–1325. [Google Scholar] [CrossRef]
- Dat, N.T.; Jin, X.; Lee, K.; Hong, Y.-S.; Kim, Y.H.; Lee, J.J. Hypoxia-Inducible Factor-1 Inhibitory Benzofurans and Chalcone-Derived Diels−Alder Adducts from Morus Species. J. Nat. Prod. 2009, 72, 39–43. [Google Scholar] [CrossRef]
- Zhou, P.; Dong, X.-X.; Tang, P. Sanggenon C induces apoptosis of prostate cancer PC3 cells by activating caspase 3 and caspase 9 pathways. J. South. Med. Univ. 2017, 37, 1206–1210. [Google Scholar]
- Park, K.M.; You, J.S.; Lee, H.Y.; Baek, N.I.; Hwang, J.K. Kuwanon G: An antibacterial agent from the root bark of Morus alba against oral pathogens. J. Ethnopharmacol. 2003, 84, 181–185. [Google Scholar] [CrossRef]
- Liang, J.-H.; Fu, Y.-W.; Zhang, Q.-Z.; Xu, D.-H.; Wang, B.; Lin, D.-J. Identification and Effect of Two Flavonoids from Root Bark of Morus alba against Ichthyophthirius multifiliis in Grass Carp. J. Agric. Food Chem. 2015, 63, 1452–1459. [Google Scholar] [CrossRef] [PubMed]
- Rollinger, J.M.; Spitaler, R.; Menz, M.; Marschall, K.; Zelger, R.; Ellmerer, E.P.; Schneider, P.; Stuppner, H. Venturia inaequalis-Inhibiting Diels−Alder Adducts from Morus Root Bark. J. Agric. Food Chem. 2006, 54, 8432–8436. [Google Scholar] [CrossRef] [PubMed]
- Wang, H.; Feng, T.; Guo, D.; Zhang, M.; Chen, L.; Zhou, Y. Sanggenon C Stimulates Osteoblastic Proliferation and Differentiation, Inhibits Osteoclastic Resorption, and Ameliorates Prednisone-Induced Osteoporosis in Zebrafish Model. Molecules 2018, 23, 2343. [Google Scholar] [CrossRef]
- Gu, Y.; Gao, L.; Chen, Y.; Xu, Z.; Yu, K.; Zhang, D.; Zhang, G.; Zhang, X. Sanggenon C protects against cardiomyocyte hypoxia injury by increasing autophagy. Mol. Med. Rep. 2017, 16, 8130–8136. [Google Scholar] [CrossRef]
- Xiao, L.; Gu, Y.; Gao, L.; Shangguan, J.; Chen, Y.; Zhang, Y.; Li, L. Sanggenon C protects against pressure overload-induced cardiac hypertrophy via the calcineurin/NFAT2 pathway. Mol. Med. Rep. 2017, 16, 5338–5346. [Google Scholar] [CrossRef]
- Nomura, T.; Fukai, T.; Matsumoto, J.; Fukushima, K.; Momose, Y. Structure of Mulberrofuran C, a Natural Hypotensive Diels-Alder Adduct from Root Barks of the Cultivated Mulberry Tree (Morus bombycis Koidzumi). Heterocycles 1981, 16, 759–765. [Google Scholar] [CrossRef]
- Nomura, T.; Fukai, T. Kuwanon G, a New Flavone Derivative from the Root Barks of the Cultivated Mulberry Tree (Morus alba L.). Chem. Pharm. Bull. 1980, 28, 2548–2552. [Google Scholar] [CrossRef]
- Xia, C.-L.; Tang, G.-H.; Guo, Y.-Q.; Xu, Y.-K.; Huang, Z.-S.; Yin, S. Mulberry Diels-Alder-type adducts from Morus alba as multi-targeted agents for Alzheimer’s disease. Phytochemistry 2019, 157, 82–91. [Google Scholar] [CrossRef] [PubMed]
- Shi-De, L.; Nemec, J.; Bing-Mei, N. Anti-HIV flavonoids from Morus alba. Plant Divers. 1995, 17, 89–95. [Google Scholar]
Publisher’s Note: MDPI stays neutral with regard to jurisdictional claims in published maps and institutional affiliations. |
© 2022 by the authors. Licensee MDPI, Basel, Switzerland. This article is an open access article distributed under the terms and conditions of the Creative Commons Attribution (CC BY) license (https://creativecommons.org/licenses/by/4.0/).

































































