Synthesis, Characterization and DFT Study of a New Family of High-Energy Compounds Based on s-Triazine, Carborane and Tetrazoles
Abstract
1. Introduction
2. Result and Discussion
2.1. Synthesis
2.2. NMR Spectral Data of Prepared Compounds
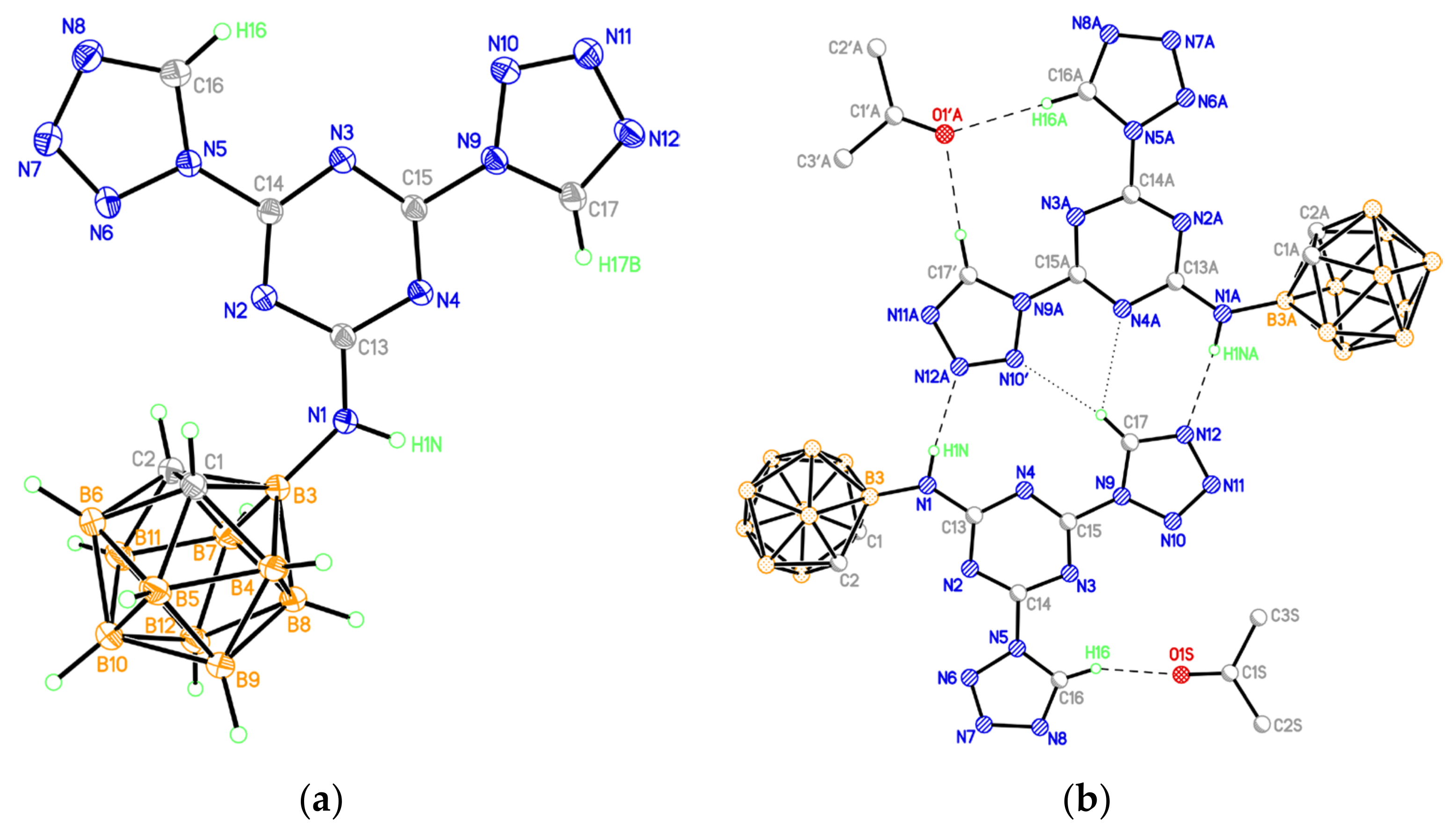
2.3. X-ray Crystallography
Hirshfeld Surface Analysis
2.4. Theoretical Studies of Carborane-Substituted Bis(Tetrazolyl)-s-triazines (9–11, 15–17)
2.4.1. Computational Details
2.4.2. Geometry and Electronic Structure
2.4.3. The Evaluation of the Enthalpy of Formation (EOF) of the Carborane-Substituted Bis(Tetrazolyl)-s-triazines in a Gas Phase
2.4.4. Predicted Detonation Performances
2.4.5. Calculation of Terahertz Spectra of Compounds 9–11 and 15–17
3. Experimental
3.1. Materials and Methods
3.2. X-ray Crystallography
3.3. Method of Calculation
3.4. General Procedure for the Preparation of 4,6-bis(5-Alkyltetrazol-1-yl)-2-[(o-Carborane-3-yl)Amino]-1,3,5-Triazines (9–11)
3.4.1. 2-[(o-Carborane-3-yl)amino]-4,6-di(1H-Tetrazol-1-yl)-1,3,5-triazine (9)
3.4.2. 2-[(o-Carborane-3-yl)amino]-4,6-di(5-Methyl-1H-tetrazol-1-yl)-1,3,5-triazine (10)
3.4.3. 2-[(o-Carborane-3-yl)amino]-4,6-di(5-Ethyl-1H-tetrazol-1-yl)-1,3,5-triazine (11)
3.5. General Procedure for the Preparation of 2-[(Carborane-9-yl)tio]-4,6-di(1H-Tetrazol-1-yl)-1,3,5-triazines (15, 16, 17)
3.5.1. 2-[(Nido-7,8-dicarbaundecaboran-7-yl)tio]-4,6-di(1H-tetrazol-1-yl)-1,3,5-triazinyl] Esium (15)
3.5.2. 2-[(o-Carborane-9-yl)tio]-4,6-di(1H-tetrazol-1-yl)-1,3,5-triazine (16)
3.5.3. 2-[(m-Carborane-9-yl)tio]-4,6-di(1H-tetrazol-1-yl)-1,3,5-triazine (17)
3.6. General Procedure for the Preparation of Compounds 19–21
3.6.1. 5-(o-Carborane-3-yl)amino-2,9-diphenyl-bis[1,2,4]triazolo[1,5-a:1′,5′-c][1,3,5]triazine (19)
3.6.2. 2-(2-Benzoylhydrazinyl)-4-(o-carborane-3-yl)amino-6-(5-phenyl-2H-tetrazol-2-yl)-1,3,5-triazine (20)
3.6.3. 3,7,11-Triphenyl[tris([1,2,4]triazolo)[4,3-a:4′,3′-c:4″,3″-e][1,3,5]triazine (21) [47,49,50]
4. Conclusions
Supplementary Materials
Author Contributions
Funding
Institutional Review Board Statement
Informed Consent Statement
Data Availability Statement
Acknowledgments
Conflicts of Interest
Sample Availability
References
- Keshavarz, M.H.; Klapötke, T.M. The Properties of Energetic Materials; Walter de Gruyter GmbH: Berlin, Germany; Boston, MA, USA, 2018. [Google Scholar]
- Damse, R.S.; Ghosh, M.; Naik, N.H.; Sikder, A.K. Thermoanalytical Screening of Nitrogen-Rich Compounds for Ballistic Requirements of Gun Propellant. J. Propul. Power 2009, 25, 249–256. [Google Scholar] [CrossRef]
- Keshavarz, M. Prediction of densities of acyclic and cyclic nitramines, nitrate esters and nitroaliphatic compounds for evaluation of their detonation performance. J. Hazard. Mater. 2007, 143, 437–442. [Google Scholar] [CrossRef] [PubMed]
- Agrawal, J.P. High Energy Materials: Propellants, Explosives and Pyrotechnics; WILEY-VCH Verlag GmbH & Co. KGaA: Weinheim, Germany, 2010. [Google Scholar]
- Wang, R.; Guo, Y.; Zeng, Z.; Twamley, B.; Shreeve, J.M. Furazan-Functionalized Tetrazolate-Based Salts: A New Family of Insensitive Energetic Materials. Chem. Eur. J. 2009, 15, 2625–2634. [Google Scholar] [CrossRef] [PubMed]
- O’Sullivan, O.T.; Zdilla, M.J. Properties and Promise of Catenated Nitrogen Systems As High-Energy-Density Materials. Chem. Rev. 2020, 120, 5682–5744. [Google Scholar] [CrossRef]
- Chavez, D.E.; Hiskey, M.A. 1,2,4,5-tetrazine based energetic materials. J. Energetic Mater. 1999, 17, 357–377. [Google Scholar] [CrossRef]
- Tao, G.-H.; Guo, Y.; Joo, Y.-H.; Twamley, B.; Shreeve, J.M. Energetic nitrogen-rich salts and ionic liquids: 5-aminotetrazole (AT) as a weak acid. J. Mater. Chem. 2008, 18, 5524–5530. [Google Scholar] [CrossRef]
- Dippold, A.A.; Klapötke, T.M. Synthesis and Characterization of 5-(1,2,4-Triazol-3-yl)tetrazoles with Various Energetic Functionalities. Chem. Asian J. 2013, 8, 1463–1471. [Google Scholar] [CrossRef]
- Thottempudi, V.; Zhang, J.; He, C.; Shreeve, J.M. Azo substituted 1,2,4-oxadiazoles as insensitive energetic materials. RSC Adv. 2014, 4, 50361–50364. [Google Scholar] [CrossRef]
- Hafner, K.; Klapötke, T.M.; Schmid, P.C.; Stierstorfer, J. Synthesis and Characterization of the Asymmetric 1,2-Dihydroxy-5,5′-bitetrazole and Selected Nitrogen Rich Derivatives. Eur. J. Inorg. Chem. 2015, 17, 2794–2803. [Google Scholar] [CrossRef]
- Gao, H.; Shreeve, J.M. Azole-based energetic salts. Chem. Rev. 2011, 111, 7377–7436. [Google Scholar] [CrossRef]
- Zhang, Q.; Shreeve, J.M. Energetic Ionic Liquids as Explosives and Propellant Fuels: A New Journey of Ionic Liquid Chemistry. Chem. Rev. 2014, 114, 10527–10574. [Google Scholar] [CrossRef]
- Frem, D. Theoretical Studies on Energetic Properties of s-Triazine Substituted Aminofurazan and Aminofuroxan Derivatives—High Performance Energetic Material Systems. Combust. Explos. Shock Waves 2014, 50, 441–446. [Google Scholar] [CrossRef]
- Shastin, A.V.; Godovikova, T.I.; Korsunskii, B.L. Nitro derivatives of 1,3,5-triazine: Synthesis and properties. Russ. Chem. Rev. 2003, 72, 279–287. [Google Scholar] [CrossRef]
- Gidaspov, A.A.; Bakharev, V.V.; Suponitsky, K.Y.; Nikitin, V.G.; Sheremetev, A.B. High-density insensitive energetic materials: 2,4,6-tris(2-fluoro-2,2-dinitroethoxy)-1,3,5-triazine. RSC Adv. 2016, 6, 104325–104329. [Google Scholar] [CrossRef]
- Patel, R.B.; Malhotra, A. (Eds.) Triazines: Synthesis, Applications and Toxicity; Nova Science Publishers: New York, NY, USA, 2012; 209p. [Google Scholar]
- Rao, M.H.; Ghule, V.D.; Muralidharan, K. 2,4,6-tris[bis(1H-tetrazol-5-yl)amino]-1,3,5-triazine as a nitrogen-rich material. J. Chem. Sci. 2017, 129, 657–661. [Google Scholar] [CrossRef]
- McEwan, W.S.; Rigg, M.W. The heats of combustion of compounds containing the tetrazole Ring. J. Am. Chem. Soc. 1951, 73, 4725–4727. [Google Scholar] [CrossRef]
- Ivashkevich, O.A.; Gaponik, P.N.; Koren, A.O.; Bubel, O.N.; Fronchek, E.V. Comparative semiempirical calculations of tetrazole derivatives. Int. J. Quantum Chem. 1992, 43, 813–826. [Google Scholar] [CrossRef]
- Ghule, V.D.; Radhakrishnan, S.; Jadhav, P.M. Computational studies on tetrazole derivatives as potential high energy materials. Struct. Chem. 2011, 22, 775–782. [Google Scholar] [CrossRef]
- Jose, R.; Lima, P.; Dubois, C.; Mader, O.; Stowe, R.; Ringuette, S. Boron nanoparticle-rich fuels for gas generators and propellants. Int. J. Energetic Mater. Chem. Propul. 2010, 9, 437–446. [Google Scholar] [CrossRef]
- Akhavan, J. Chemistry of Explosives, 2nd ed.; The Royal Society of Chemistry: Cambridge, UK, 2004. [Google Scholar]
- Macri, B.J. Boron-Fuel-Rich Propellant Compositions. U.S. Patent 3986909, 24 March 1976. [Google Scholar]
- Koch, E.-C.; Klapçtke, T.M. Boron-Based High Explosives. Propellants Explos. Pyrotech. 2012, 37, 335–344. [Google Scholar] [CrossRef]
- Liu, T.-K.; Shyuf, I.-M.; Hsia, Y.-S. Effect of Fluorinated Graphite on Combustion of Boron and Boron-Based Fuel-Rich Propellants. J. Propul. Power 1996, 12, 26–34. [Google Scholar] [CrossRef]
- Glotov, O.G.; Surodina, G.S. Combustion of Aluminum and Boron Agglomerates Free Falling in Air. I. Experimental Approach. Combust. Explos. Shock Waves 2019, 55, 335–344. [Google Scholar] [CrossRef]
- Fraenk, W.; Habereder, T.; Hammerl, A.; Klapötke, T.M.; Krumm, B.; Mayer, P.; Nöth, H.; Warchhold, M. Highly Energetic Tetraazidoborate Anion and Boron Triazide Adducts. Inorg. Chem. 2001, 40, 1334–1340. [Google Scholar] [CrossRef]
- Glück, J.; Klapötke, T.M.; Rusan, M.; Stierstorfer, J. Green colorants based on energetic azole borates. Chem. Eur. J. 2014, 20, 15947–15960. [Google Scholar] [CrossRef]
- Yin, P.; Zhang, Q.; Shreeve, J.M. Dancing with Energetic Nitrogen Atoms: Versatile N-Functionalization Strategies for N-Heterocyclic Frameworks in High Energy Density Materials. Acc. Chem. Res. 2016, 49, 4–16. [Google Scholar] [CrossRef] [PubMed]
- Ol’shevskaya, V.A.; Makarenkov, A.V.; Kononova, E.G.; Peregudov, A.S.; Lyssenko, K.A.; Kalinin, V.N. An efficient synthesis of carboranyl tetrazoles via alkylation of 5-R-1H-tetrazoles with allylcarboranes. Polyhedron 2016, 115, 128–136. [Google Scholar] [CrossRef]
- Borisov, Y.A.; Makarenkov, A.V.; Kiselev, S.S.; Kononova, E.G.; Ponomaryov, A.B.; Budnik, M.I.; Ol’shevskaya, V.A. Prediction of energetic properties of carboranyl tetrazoles based on DFT study. Mater. Chem. Phys. 2020, 240, 122209. [Google Scholar] [CrossRef]
- Hey-Hawkins, E.; Teixidor, C.V. Boron-Based Compounds: Potential and Emerging Applications in Medicine; John Wiley & Sons Ltd.: Hoboken, NJ, USA, 2018. [Google Scholar]
- King, R.B. Three-Dimensional Aromaticity in Polyhedral Boranes and Related Molecules. Chem. Rev. 2001, 101, 1119–1152. [Google Scholar] [CrossRef] [PubMed]
- Aihara, J. Three-dimensional aromaticity of polyhedral boranes. J. Am. Chem. Soc. 1978, 100, 3339–3342. [Google Scholar] [CrossRef]
- Dash, B.P.; Satapathy, R.; Maguire, J.A.; Hosmane, N.S. Polyhedral boron clusters in materials science. New J. Chem. 2011, 35, 1955–1972. [Google Scholar] [CrossRef]
- Hosmane, N.S. Boron Science New Technologies and Applications; CRC Press, Taylor & Francis Group: Boca Raton, FL, USA, 2012. [Google Scholar]
- Zakharkin, L.I. Some recent advances in the chemistry of dicarba-closo-dodecaboranes. Pure Appl. Chem. 1972, 29, 513–526. [Google Scholar] [CrossRef]
- Blotny, G. Recent applications of 2,4,6-trichloro-1,3,5-triazine and its derivatives in organic synthesis. Tetrahedron 2006, 62, 9507–9522. [Google Scholar] [CrossRef]
- Zakharkin, L.I.; Kalinin, V.N.; Gedymin, V.V. Synthesis and some reactions of 3-amino-o-carboranes. J. Organometal. Chem. 1969, 16, 371–379. [Google Scholar] [CrossRef]
- Zakharkin, L.I.; Kalinin, V.N.; Snyakin, A.P.; Kvasov, B.A. Effect of solvents on the electronic properties of 1-o-, 3-o- and 1-m-carboranyl groups. J. Organometal. Chem. 1969, 18, 19–26. [Google Scholar] [CrossRef]
- Zakharkin, L.I.; Kovredov, A.I.; Ol’shevskaya, V.A. Synthesis of 9-(fluorophenyl)-o-, 9-(fluorophenyl)-m-, and 2-(fluorophenyl)-p-carboranes and determination of electronic effects of 9-o-, 9-m-, and 2-p-carboranyl groups. Russ Chem. Bull. 1981, 30, 1775–1777. [Google Scholar] [CrossRef]
- Bhatt, U. Five-Membered Heterocycles with Four Heteroatoms: Tetrazoles. In Modern Heterocyclic Chemistry; Wiley-VCH Verlag GmbH & Co. KGaA: Hoboken, NJ, USA, 2011; pp. 1401–1430. [Google Scholar] [CrossRef]
- Wittenberger, S.J. Recent Developments in Tetrazole Chemistry. A Review. Org. Prep. Proced. Int. 1994, 26, 499–531. [Google Scholar] [CrossRef]
- Benson, F.R. The Chemistry of the Tetrazoles. Chem. Rev. 1947, 41, 1–61. [Google Scholar] [CrossRef]
- Neochoritis, C.G.; Zhao, T.; Dömling, A. Tetrazoles via Multicomponent Reactions. Chem. Rev. 2019, 119, 1970–2042. [Google Scholar] [CrossRef]
- Tartakovsky, V.A.; Frumkin, A.E.; Churakov, A.M.; Strelenko, Y.A. New approaches to synthesis of tris[1,2,4]triazolo[1,3,5]triazines. Russ. Chem. Bull. Int. Ed. 2005, 54, 719–725. [Google Scholar] [CrossRef]
- Zhao, S.; Dai, J.; Hu, M.; Liu, C.; Meng, R.; Liu, X.; Wang, C. Photo-induced Coupling Reaction of Tetrazoles and Carboxylic Acids in Aqueous Solution: Application in the Protein Labelling. Chem. Commun. 2016, 52, 4702–4705. [Google Scholar] [CrossRef]
- Huisgen, R.; Sturm, H.V.; Seidel, M.; Ringöffnungen der Azole, V. Weitere Reaktionen der Tetrazole mit elektrophilen Agenzien. Chem. Ber. 1961, 94, 1555–1562. [Google Scholar] [CrossRef]
- Detert, H. Tristriazolotriazines: Luminescent Discotic Liquid Crystals. Eur. J. Org. Chem. 2018, 33, 4501–4507. [Google Scholar] [CrossRef]
- Anitha, K.; Sivakumar, S.; Arulraj, R.; Rajkumar, K.; Kaur, M.; Jasinski, J.P. Synthesis, crystal structure, DFT calculations and Hirshfeld surface analysis of 3-butyl-2,6-bis- (4-fluoro-phen-yl)piperidin-4-one. Acta Crystallogr. E Crystallogr. Commun. 2020, 76, 651–655. [Google Scholar] [CrossRef] [PubMed]
- McKinnon, J.J.; Spackman, M.A.; Mitchell, A.S. Novel tools for visualizing and exploring intermolecular interactions in molecular crystals. Acta Crystallogr. B. 2004, 60, 627–668. [Google Scholar] [CrossRef] [PubMed]
- McKinnon, J.J.; Jayatilaka, D.; Spackman, M.A. Towards quantitative analysis of intermolecular interactions with Hirshfeld surfaces. Chem. Commun. 2007, 37, 3814–3816. [Google Scholar] [CrossRef]
- Haroon, M.; Akhtar, T.; Yousuf, M.; Tahir, M.N.; Rasheed, L.; Zahra, S.S.; Haq, I.U.; Ashfaq, M. Synthesis, crystal structure, Hirshfeld surface investigation and comparative DFT studies of ethyl 2-[2-(2-nitrobenzylidene)hydrazinyl]thiazole- 4-carboxylate. BMC Chem. 2022, 16, 18. [Google Scholar] [CrossRef]
- Turner, M.J.; McKinnon, J.J.; Wolff, S.K.; Grimwood, D.J.; Spackman, P.R.; Jayatilaka, D.; Spackman, M.A. CrystalExplorer17; University of Western Australia: Crawley, Australia, 2017. [Google Scholar]
- Parr, R.G.; Yang, Y. Density-Functional Theory of Atoms and Molecules; Oxford University Press: Oxford, UK, 1989. [Google Scholar]
- Becke, A.D. Density-functional exchange-energy approximation with correct asymptotic behavior. Phys. Rev. A 1988, 38, 3098–3100. [Google Scholar] [CrossRef]
- Lee, C.; Yang, W.; Parr, R.G. Development of the Colle-Salvetti correlation-energy formula into a functional of the electron density. Phys. Rev. B 1988, 37, 785–789. [Google Scholar] [CrossRef]
- Frisch, M.J.; Trucks, G.W.; Schlegel, H.B.; Scuseria, G.E.; Robb, M.A.; Cheeseman, J.R.; Scalmani, G.; Barone, V.; Mennucci, B.; Petersson, G.A.; et al. Gaussian 09W, Version 7; Gaussian, Inc.: Wallingford, CT, USA, 2009. [Google Scholar]
- Salem, L. Electrons in Chemical Reactions: First Principles; Wiley-Interscience Publication, John Willey&Sons: New York, NY, USA; Chichester, UK; Brisbane, Australia; Toronto, ON, Canada; Singapore, 1982. [Google Scholar]
- Huang, Y.; Rong, C.; Zhang, R.; Liu, S. Evaluating frontier orbital energy and HOMO/LUMO gap with descriptors from density functional reactivity theory. J. Mol. Model. 2017, 23, 3. [Google Scholar] [CrossRef]
- Pereira, D.H.; La Porta, F.A.; Santiago, R.T.; Garcia, D.R.; Ramalho, T.C. New Perspectives on the Role of Frontier Molecular Orbitals in the Study of Chemical Reactivity: A Review. Braz. Chem. Soc. 2016, 8, 425–453. [Google Scholar] [CrossRef]
- Yu, J.; Su, N.Q.; Yang, W. Describing Chemical Reactivity with Frontier Molecular Orbitalets. JACS Au 2022, 2, 1383–1394. [Google Scholar] [CrossRef]
- Buzsáki, D.; Kovács, M.B.; Hümpfner, E.; Harcsa-Pinterb, Z.; Kelemen, Z. Conjugation between 3D and 2D aromaticity: Does it really exist? The case of carborane-fused heterocycles. Chem. Sci. 2022, 13, 11388–11393. [Google Scholar] [CrossRef]
- Poater, J.; Viñas, C.; Solà, M.; Teixidor, F. 3D and 2D aromatic units behave like oil and water in the case of benzocarborane derivatives. Nat. Commun. 2022, 13, 3844. [Google Scholar] [CrossRef]
- Dorofeeva, O.V.; Ryzhova, O.N.; Suntsova, M.A. Accurate Prediction of Enthalpies of Formation of Organic Azides by Combining G4 Theory Calculations with an Isodesmic Reaction Scheme. J. Phys. Chem. A 2013, 117, 6835–6845. [Google Scholar] [CrossRef]
- Naylor, R.D.; Kirby, S.P.; Pedley, J.B. Thermochemical Data of Organic Compounds; Chapman and Hall: London, UK; New York, NY, USA, 1986. [Google Scholar]
- Pepekin, V.I.; Metyushin, Y.N.; Kalinin, V.N.; Lebedev, Y.A.; Zakharkin, L.I.; Apin, A.Y. Thermochemistry of ortho- and meta-carboranes (B10H10C2H2). Russ. Chem. Bull. 1971, 20, 212–216. [Google Scholar] [CrossRef]
- Xi, H.-W.; Goh, H.W.; Xu, J.Z.; Foo Lee, P.P.; Lim, K.H. Theoretical design and exploration of novel high energy density materials based on silicon. J. Energetic Mat. 2018, 36, 291–301. [Google Scholar] [CrossRef]
- Ewi, T.; Zhu, W.; Zhang, J.; Xiao, H. DFT study on energetic tetrazolo-[1,5-b]-1,2,4,5-tetrazine and 1,2,4-triazolo-[4,3-b]- 1,2,4,5-tetrazine derivatives. J. Hazard. Mater. 2010, 179, 581–590. [Google Scholar] [CrossRef]
- Kamlet, M.J.; Jacobs, E.J. Chemistry of Detonations. I. A Simple Method for Calculating Detonation Properties of C–H–N–O Explosives. J. Chem. Phys. 1968, 48, 23–35. [Google Scholar] [CrossRef]
- Manaa, M.R.; Fried, L.E.; Kuo, I.-F.W. Determination of enthalpies of formation of energetic molecules with composite quantum chemical methods. Chem. Phys. Lett. 2016, 648, 31–35. [Google Scholar] [CrossRef]
- Osmont, A.; Catoire, L.; Gökalp, I.R.; Yang, V. Ab initio quantum chemical predictions of enthalpies of formation, heat capacities, and entropies of gas-phase energetic compounds. Combust. Flame 2007, 151, 262–273. [Google Scholar] [CrossRef]
- Guo, D.; Zybin, S.V.; An, Q.; Goddard, W.A., III; Huang, F. Prediction of the Chapman–Jouguet chemical equilibrium state in a detonation wave from first principles based reactive molecular dynamics. Phys. Chem. Chem. Phys. 2016, 18, 2015–2022. [Google Scholar] [CrossRef] [PubMed]
- Zhou, Z.Q.; Nie, J.X.; Ou, Z.C.; Qin, J.F.; Jiao, Q.J. Effects of the aluminum content on the shock wave pressure and the acceleration ability of RDX-based aluminized explosives. J. Appl. Phys. 2014, 116, 144906–144908. [Google Scholar] [CrossRef]
- Kanel, G.I.; Razorenov, S.V.; Fortov, V.E. Shock-Wave Phenomena and the Properties of Condensed Matter; Springer: New York, NY, USA, 2004. [Google Scholar]
- Davies, A.G.; Burnett, A.D.; Fan, W.; Linfield, E.H.; Cunningham, J.E. Terahertz spectroscopy of explosives and drugs. Mater. Today 2008, 11, 18–26. [Google Scholar] [CrossRef]
- Sheldrick, G.M. Crystal structure refinement with SHELXL. Acta Cryst. 2015, C71, 3–8. [Google Scholar] [CrossRef]
- Macrae, C.F.; Sovago, I.; Cottrell, S.J.; Galek, P.T.A.; McCabe, P.; Pidcock, E.; Platings, M.; Shields, G.P.; Stevens, J.S.; Towler, M.; et al. Mercury 4.0: From visualization to analysis, design and prediction. J. Appl. Cryst. 2020, 53, 226–235. [Google Scholar] [CrossRef]
- Spek, A.L. PLATON SQUEEZE: A tool for the calculation of the disordered solvent contribution to the calculated structure factors. Acta Cryst. 2015, C71, 9–18. [Google Scholar] [CrossRef]













| Interatomic Distances | Experiment, Å | Calculations, Å |
|---|---|---|
| N=N (tetrazole) | 1.281(2)–1.284(2) | 1.272 |
| N-N (tetrazole) | 1.372(1)–1.380(2) | 1.369, 1.376 |
| C=N (tetrazole) | 1.312(2) | 1.312 |
| C-N (tetrazole) | 1.364(2)–1.366(2) | 1.375 |
| C-C (tetrazole-alkyl) | 1.483(2) | 1.486 |
| N-C (triazine) | 1.313(2)–1.362(2) | 1.346 |
| B-B (carborane) | 1.761(2)–1.790(2) | 1.761 |
| C-B (carborane) | 1.691(2)–1.726(2) | 1.718 |
| C-C (carborane) | 1.645(2) | 1.641 |
| Compound | HOMO, eV | LUMO, eV | Δε, eV |
|---|---|---|---|
| 9 | −8.35 | −3.40 | 4.95 |
| 10 | −8.20 | −3.16 | 5.15 |
| 11 | −8.17 | −3.12 | 5.05 |
| 15 | −8.33 | −3.75 | 4.57 |
| 16 | −7.46 | −2.97 | 4.49 |
| 17 | −7.54 | −3.05 | 4.49 |
| Compound | ∆H298, kcal/mol | Compound | ∆H298, kcal/mol |
|---|---|---|---|
| 9 | 181.90 | 2 a | 198.09 |
| 10 | 165.70 | 3 a | 181.78 |
| 11 | 165.11 | 4 a | 131.44 |
| 15 | 217.07 | ||
| 16 | 191.93 | ||
| 17 | 176.69 |
| Compound | Ng | Mg, g/mol | Q, J/g | p0, g/cm3 | D, km/s | P, GPa |
|---|---|---|---|---|---|---|
| 9 | 13 | 376.24 | 2022.22 | 1.25 | 7.21 | 50.233 |
| 10 | 15 | 404.27 | 1716.54 | 1.53 | 7.61 | 76.286 |
| 11 | 17 | 432.30 | 1599.36 | 1.34 | 7.43 | 60.147 |
| 15 | 12 | 393.20 | 2311.36 | 1.36 | 12.14 | 54.32 |
| 16 | 12 | 393.20 | 2043.67 | 1.34 | 11.77 | 51.08 |
| 17 | 12 | 393.20 | 1881.40 | 1.36 | 11.53 | 49.01 |
| № | ν; THz | H; A4/AMU |
|---|---|---|
| 9 | 0.6318, 0.8716, 1.2169, 1.4147, 1.4726, 2.1909, 2.5481, 3.0131 | 0.0013, 7.7105, 0.3268, 2.1826, 0.0605, 0.9840, 4.8842, 0.1518 |
| 10 | 0.4804, 0.5809, 0.7574, 0.8082, 1.371, 2.2101, 2.3605, 3.2013 | 0.0488, 3.4348, 7.2903, 1.1846, 2.0584, 1.2134, 4.6308, 0.2778 |
| 11 | 0.3168, 0.4199, 0.5698, 0.8613, 1.3083, 1.8885, 2.1009, 2.4997, 2.7895 | 0.8664, 0.5331, 2.6898, 4.5956, 1.7012, 2.2347, 2.0728, 1.4025, 0.3292 |
| 15 | 0.5478, 0.6870, 1.0455, 1.4581, 1.4918, 2.0758, 2.5671, 2.9889 | 0.4160, 0.2409, 4.6181, 0.5253, 0.7730, 0.6649, 5.1412, 0.1173 |
| 16 | 0.4267, 0.7548, 0.9538, 1.1091, 1.2381, 2.1343, 2.5848, 2.9406 | 0.4525, 0.2305, 0.8381, 10.9865, 1.6792, 4.3092, 4.8631, 0.0469 |
| 17 | 0.8451, 0.8923, 0.9935, 1.1842, 1.4842, 2.1501, 2.5904, 3.0237 | 0.3138, 0.0540, 0.4024, 11.5329, 1.3079, 3.5439, 4.9537, 0.0586 |
Publisher’s Note: MDPI stays neutral with regard to jurisdictional claims in published maps and institutional affiliations. |
© 2022 by the authors. Licensee MDPI, Basel, Switzerland. This article is an open access article distributed under the terms and conditions of the Creative Commons Attribution (CC BY) license (https://creativecommons.org/licenses/by/4.0/).
Share and Cite
Makarenkov, A.V.; Kiselev, S.S.; Kononova, E.G.; Dolgushin, F.M.; Peregudov, A.S.; Borisov, Y.A.; Ol’shevskaya, V.A. Synthesis, Characterization and DFT Study of a New Family of High-Energy Compounds Based on s-Triazine, Carborane and Tetrazoles. Molecules 2022, 27, 7484. https://doi.org/10.3390/molecules27217484
Makarenkov AV, Kiselev SS, Kononova EG, Dolgushin FM, Peregudov AS, Borisov YA, Ol’shevskaya VA. Synthesis, Characterization and DFT Study of a New Family of High-Energy Compounds Based on s-Triazine, Carborane and Tetrazoles. Molecules. 2022; 27(21):7484. https://doi.org/10.3390/molecules27217484
Chicago/Turabian StyleMakarenkov, Anton V., Sergey S. Kiselev, Elena G. Kononova, Fedor M. Dolgushin, Alexander S. Peregudov, Yurii A. Borisov, and Valentina A. Ol’shevskaya. 2022. "Synthesis, Characterization and DFT Study of a New Family of High-Energy Compounds Based on s-Triazine, Carborane and Tetrazoles" Molecules 27, no. 21: 7484. https://doi.org/10.3390/molecules27217484
APA StyleMakarenkov, A. V., Kiselev, S. S., Kononova, E. G., Dolgushin, F. M., Peregudov, A. S., Borisov, Y. A., & Ol’shevskaya, V. A. (2022). Synthesis, Characterization and DFT Study of a New Family of High-Energy Compounds Based on s-Triazine, Carborane and Tetrazoles. Molecules, 27(21), 7484. https://doi.org/10.3390/molecules27217484
