Synthesis and Characterization of New Boron Compounds Using Reaction of Diazonium Tetraphenylborate with Enaminoamides
Abstract
1. Introduction
2. Results and Discussion
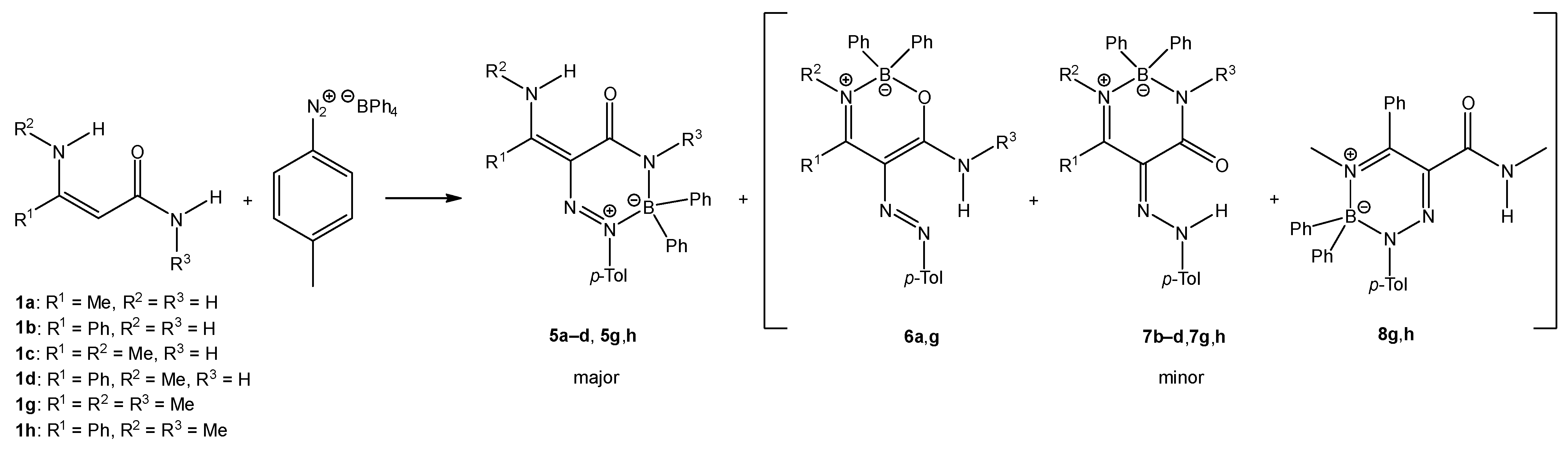
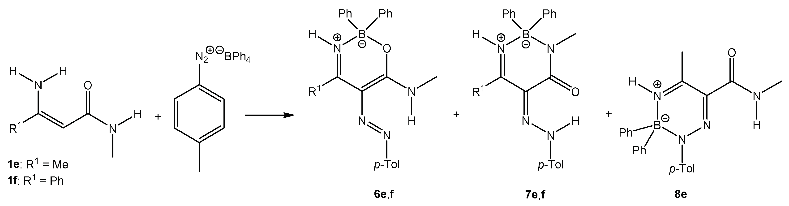
2.1. Synthesis
2.2. UV–Visible Spectroscopy
2.3. IR Spectroscopy
2.4. X-ray
2.5. Fluorescence
3. Experimental
3.1. Materials and Methods
3.2. Synthetic Procedure
General Procedure for the Reaction of 1a–h with 4-Methylbenzenediazonium Tetraphenylborate
4. Conclusions
Supplementary Materials
Author Contributions
Funding
Institutional Review Board Statement
Informed Consent Statement
Data Availability Statement
Conflicts of Interest
Sample Availability
References
- Mai, A.; Perrone, A.; Nebbioso, A.; Rotili, D.; Valente, S.; Tardugno, M.; Massa, S.; De Bellis, F.; Altucci, L. Novel Uracil-Based 2-Aminoanilide and 2-Aminoanilide-like Derivatives: Histone Deacetylase Inhibition and in-Cell Activities. Bioorg. Med. Chem. Lett. 2008, 18, 2530–2535. [Google Scholar] [CrossRef] [PubMed]
- Zandersons, A.; Lusis, V.; Vigante, B.; Mutsenietse, D.; Dubur, G. Synthesis of Ethoxycarbonyl-1,4- and -1,2-Dihydropyridinecarboxylic Acid Amides. Chem. Heterocycl. Compd. 1991, 27, 1339–1347. [Google Scholar] [CrossRef]
- Cooper, K.; Fray, M.J.; Parry, M.J.; Richardson, K.; Steele, J. 1,4-Dihydropyridines as Antagonists of Platelet Activating Factor. 1. Synthesis and Structure-Activity Relationships of 2-(4-Heterocyclyl)Phenyl Derivatives. J. Med. Chem. 1992, 35, 3115–3129. [Google Scholar] [CrossRef] [PubMed]
- Wong, W.C.; Chiu, G.; Wetzel, J.M.; Marzabadi, M.R.; Nagarathnam, D.; Wang, D.; Fang, J.; Miao, S.W.; Hong, X.; Forray, C.; et al. Identification of a Dihydropyridine as a Potent A1a Adrenoceptor-Selective Antagonist That Inhibits Phenylephrine-Induced Contraction of the Human Prostate. J. Med. Chem. 1998, 41, 2643–2650. [Google Scholar] [CrossRef]
- Sainani, J.B.; Shah, A.C.; Arya, V.P. Synthesis of 1,4-Dihydro-2,6-Dimethyl-4-(Substituted Phenyl)-5-N-Methylaminocarbonyl-Pyridine-3-Carboxylate. Indian J. Chem. Sect. B Org. Chem. Incl. Med. Chem. 1994, 33, 573–575. [Google Scholar]
- Hisaki, M.; Kashima, K.; Sakamoto, Y.; Hojo, M.; Katayama, O.; Hata, H. 3-Aminocarbonyl-1,4-dihydropyridine-5-carboxylic Acid Compounds, and Pharmaceutical Composition Containing the Same. Patent US4874773A, 17 October 1989. [Google Scholar]
- Kato, T.; Noda, M. Studies on Ketene and Its Derivatives. LXXXI. Reaction of β-Aminocrotonamide with α,β-Unsaturated Ketones. Chem. Pharm. Bull. 1976, 24, 1408–1410. [Google Scholar] [CrossRef][Green Version]
- Chiba, T.; Takahashi, T. Studies on Amino Acid Derivatives. IV. Synthesis of 3-Amino-2 (1H)-Pyridone Derivatives Using 4-Ethoxymethylene-2-Phenyl-5-Oxazolone. Chem. Pharm. Bull. 1985, 33, 2731–2734. [Google Scholar] [CrossRef][Green Version]
- Brown, D.J.; Cowden, W.B. Unfused Heterobicycles as Amplifiers of Phleomycin. V. A Range of Pyridinylpyrimidines with Strongly Basic Side Chains. Aust. J. Chem. 1982, 35, 1203–1207. [Google Scholar] [CrossRef]
- Kato, T.; Chiba, T.; Sasaki, M. Reaction of 3-Aminocrotonamide with Nitriles. Heterocycles 1981, 16, 577–580. [Google Scholar] [CrossRef]
- Sato, M.; Ogasawara, H.; Kato, T. Reaction of β-Aminocrotonamide with Dibasic Acid Derivatives. J. Heterocycl. Chem. 1983, 20, 87–91. [Google Scholar] [CrossRef]
- Katagiri, N.; Koshihara, A.; Atsuumi, S.; Kato, T. Reaction of β-Aminocrotonamide with N-Acylated Amino Acid Esters to Give 2-Acylaminoalkyl-6-Methylpyrimidin-4 (3H)-Ones and Their Ring Closure with Polyphosphoric Acid (PPA). Chem. Pharm. Bull. (Tokyo) 1983, 31, 2288–2295. [Google Scholar] [CrossRef]
- Katagiri, N.; Koshihara, A.; Atsuumi, S.; Kato, T. 2-[(Acylamino)Methyl]-6-Methylpyrimidin-4(3H)-Ones. Novel Precursors for the Synthesis of Imidazo[1,5-a]Pyrimidines and Imidazo[4,5-b]Pyridines. J. Org. Chem. 1982, 47, 167–169. [Google Scholar] [CrossRef]
- Bischoff, C.; Schröder, E. Heterocyclenbildung Mit Enaminen. J. Prakt. Chem./Chem.-Ztg. 1992, 334, 711–715. [Google Scholar] [CrossRef]
- Zankowska-Jasinska, W.; Golus, J.; Kamela, Z.; Kolasa, A. Oxalyl Chloride in Furan- and 1H-Pyrrole-2,3-Dione Syntheses. Pol. J. Chem. 1987, 61, 141–148. [Google Scholar]
- Shaw, G.; Sugowdz, G. IsoOxazolones. Part VI. The Hydrogenation of 5-Aminoisooxazoles. A New Synthesis of Pyrimidines. J. Chem. Soc. 1954, 0, 665–668. [Google Scholar] [CrossRef]
- Goerdeler, J.; Horn, H. Über Isothiazole, IV. Substituierte 5-Amino-Isothiazole Und Isothiazolo[5.4-d]Pyrimidine. Chem. Ber. 1963, 96, 1551–1560. [Google Scholar] [CrossRef]
- Baldwin, A.G.; Rivers-Auty, J.; Daniels, M.J.D.; White, C.S.; Schwalbe, C.H.; Schilling, T.; Hammadi, H.; Jaiyong, P.; Spencer, N.G.; England, H.; et al. Boron-Based Inhibitors of the NLRP3 Inflammasome. Cell Chem. Biol. 2017, 24, 1321–1335. [Google Scholar] [CrossRef]
- Brough, D.; Allan, S.M.; Freeman, S.; Baldwin, A.G. Cyclic Diarylboron Derivatives as NLRP3 Inflammasome Inhibitors. WO2017017469A1, 2 February 2017. [Google Scholar]
- Šimůnek, P.; Pešková, M.; Bertolasi, V.; Macháček, V.; Lyčka, A. Synthesis, NMR and X-Ray Characterisation of 6-Substituted 4-Amino-5-Aryldiazenyl-1-Arylpyridazinium Salts. Tetrahedron 2005, 61, 8130–8137. [Google Scholar] [CrossRef]
- Josefík, F.; Svobodová, M.; Bertolasi, V.; Šimůnek, P. A Simple, Enaminone-Based Approach to Some Bicyclic Pyridazinium Tetrafluoroborates. Beilstein J. Org. Chem. 2013, 9, 1463–1471. [Google Scholar] [CrossRef]
- Šimůnek, P.; Pešková, M.; Bertolasi, V.; Lyčka, A.; Macháček, V. Formation of Pyridazinium Salts by Azo Coupling of N-Substituted 3-Amino-1-phenylbut-2-en-1-ones and Diazonium Salts. Eur. J. Org. Chem. 2004, 2004, 5055–5063. [Google Scholar] [CrossRef]
- Šimůnek, P.; Svobodová, M.; Bertolasi, V.; Macháček, V. Facile and Straightforward Method Leading to Substituted 4-Amino-1-Arylpyrazoles. Synthesis 2008, 11, 1761–1766. [Google Scholar] [CrossRef]
- Šimůnek, P.; Svobodová, M.; Macháček, V. Synthesis and Characterization of Some 3-Acyl-4-Amino-1-Aryl-1H-Pyrazoles. J. Heterocycl. Chem. 2009, 46, 650–655. [Google Scholar] [CrossRef]
- Šimůnek, P.; Macháček, V.; Svobodová, M.; Růžička, A. Some New Information on the Formation of Substituted 4-Amino-1-Substituted Phenyl-1H-Pyrazoles from β-Enaminones and Diazonium Tetrafluoroborates. J. Heterocycl. Chem. 2011, 48, 780–786. [Google Scholar] [CrossRef]
- Brož, B.; Padělková, Z.; Bertolasi, V.; Šimůnek, P. A Simple New Hydrazine-Free Synthesis of Methyl 1,4,5-Trisubstituted 1H-Pyrazole-3-carboxylates. Mon. Chem.—Chem. Mon. 2013, 144, 1013–1019. [Google Scholar] [CrossRef]
- Pešková, M.; Šimůnek, P.; Bertolasi, V.; Macháček, V.; Lyčka, A. Novel 5-(4-Substituted-Phenyldiazenyl)-1,3,2λ4-Oxazaborines and Their Rearrangement to 1,2,4,3λ4-Triazaborines. Organometallics 2006, 25, 2025–2030. [Google Scholar] [CrossRef]
- Svobodová, M.; Bárta, J.; Šimůnek, P.; Bertolasi, V.; Macháček, V. Straightforward Access to Oxazaborines, Diazaborinones and Triazaborines by Reactions of β-Enaminoamides with 4-Methylbenzenediazonium Tetraphenylborate. J. Organomet. Chem. 2009, 694, 63–71. [Google Scholar] [CrossRef]
- Josefík, F.; Svobodová, M.; Bertolasi, V.; Šimůnek, P.; Macháček, V.; Almonasy, N.; Černošková, E. A New Bicyclic Oxazaborines with a Bridged Nitrogen Atom, Their Thermic Rearrangement and Fluorescence Properties. J. Organomet. Chem. 2012, 699, 75–81. [Google Scholar] [CrossRef]
- Svobodová, M.; Šimůnek, P.; Macháček, V.; Štruncová, L.; Růžička, A. Four-Coordinate Organoboron Compounds from β-Enaminonitriles and Diazonium Salts. Tetrahedron 2012, 68, 2052–2060. [Google Scholar] [CrossRef]
- Josefík, F.; Mikysek, T.; Svobodová, M.; Šimůnek, P.; Kvapilová, H.; Ludvík, J. New Triazaborine Chromophores: Their Synthesis via Oxazaborines and Electrochemical and DFT Study of Their Fundamental Properties. Organometallics 2014, 33, 4931–4939. [Google Scholar] [CrossRef]
- Giardina, G.A.M.; Sarau, H.M.; Farina, C.; Medhurst, A.D.; Grugni, M.; Raveglia, L.F.; Schmidt, D.B.; Rigolio, R.; Luttmann, M.; Vecchietti, V.; et al. Discovery of a Novel Class of Selective Non-Peptide Antagonists for the Human Neurokinin-3 Receptor. 1. Identification of the 4-Quinolinecarboxamide Framework. J. Med. Chem. 1997, 40, 1794–1807. [Google Scholar] [CrossRef]
- Štefane, B.; Polanc, S. A New Regio- and Chemoselective Approach to β-Keto Amides and β-Enamino Carboxamides via 1,3,2-Dioxaborinanes. Synlett 2004, 4, 698–702. [Google Scholar] [CrossRef]
- Macháček, V.; Bertolasi, V.; Šimůnek, P.; Svobodová, M.; Svoboda, J.; Černošková, E. A Three-Dimensional Channel Supramolecular Architecture Based on 3-Amino-2-(4-dimethylaminophenyldiazenyl)-1-phenylbut-2-en-1-one and Aromatic Guests. Cryst. Growth Des. 2010, 10, 85–91. [Google Scholar] [CrossRef]
- Otwinowski, Z.; Minor, W. Processing of X-Ray Diffraction Data Collected in Oscillation Mode. Macromol. Crystallogr. Part A 1997, 276, 307–326. [Google Scholar] [CrossRef]
- Blessing, R.H. An Empirical Correction for Absorption Anisotropy. Acta Crystallogr. Sect. A 1995, 51, 33–38. [Google Scholar] [CrossRef] [PubMed]
- Altomare, A.; Burla, M.C.; Camalli, M.; Cascarano, G.L.; Giacovazzo, C.; Guagliardi, A.; Moliterni, A.G.G.; Polidori, G.; Spagna, R. SIR97: A New Tool for Crystal Structure Determination and Refinement. J. Appl. Crystallogr. 1999, 32, 115–119. [Google Scholar] [CrossRef]
- Sheldrick, G.M. A Short History of SHELX. Acta Crystallogr. Sect. A 2008, 64, 112–122. [Google Scholar] [CrossRef] [PubMed]
- Nardelli, M. PARST95—An Update to PARST a System of Fortran Routines for Calculating Molecular Structure Parameters from the Results of Crystal Structure Analyses. J. Appl. Crystallogr. 1995, 28, 659. [Google Scholar] [CrossRef]
- Spek, A.L. Structure Validation in Chemical Crystallography. Acta Crystallogr. Sect. D 2009, 65, 148–155. [Google Scholar] [CrossRef]
- Farrugia, L.J. WinGX Suite for Small-Molecule Single-Crystal Crystallography. J. Appl. Crystallogr. 1999, 32, 837–838. [Google Scholar] [CrossRef]
- Kato, T.; Yamanaka, H.; Shibata, T. Studies on Ketene and Its Derivatives—XIII: Synthesis of β-Aminocrotonamide and the Structure of Its Pyrolysed Product. Tetrahedron 1967, 23, 2965–2971. [Google Scholar] [CrossRef]
- Kato, T.; Yamanaka, H.; Kawamata, J.; Shimomura, H. Studies on Ketene and Its Derivatives. XXVIII. Reaction of β-Aminocrotonamide with Ketene and Diketene. Chem. Pharm. Bull. 1969, 17, 1889–1895. [Google Scholar] [CrossRef][Green Version]
- Hansen, K.B.; Rosner, T.; Kubryk, M.; Dormer, P.G.; Armstrong, J.D. Detection and Elimination of Product Inhibition from the Asymmetric Catalytic Hydrogenation of Enamines. Org. Lett. 2005, 7, 4935–4938. [Google Scholar] [CrossRef] [PubMed]
- Stahl, I. 1,3-Dithienium- Und 1,3-Dithioleniumsalze, III. Synthese Cyclischer Dithioacetale von β-Ketoestern Aus Keten-Silylacetalen. Chem. Ber. 1985, 118, 3159–3165. [Google Scholar] [CrossRef]
- Gelbard, G.; Lin, J.; Roques, N. Reductions with NADH Models. 3. The High Reactivity of Hantzsch Amides. J. Org. Chem. 1992, 57, 1789–1793. [Google Scholar] [CrossRef]
- Sato, T.; Yamamoto, K.; Fukui, K.; Saito, K.; Hayakawa, K.; Yoshiie, S. Metal-Catalysed Organic Photoreactions. Photoreactions of 3,5-Dimethylisoxazole with and without Catalytic Assistance by Copper(II) Salts. J. Chem. Soc. Perkin Trans. 1 1976, 7, 783–787. [Google Scholar] [CrossRef]





















| Starting Amide | Products | Yield (%) | ||
|---|---|---|---|---|
| Method A: CH2Cl2 r.t., 72–104 h | Method B: CH3COONa/CH2Cl2 r.t., 72 h | Method C: CH2Cl2/Toluene 1. r.t., 30 min. 2. Reflux, 2.5–5 h | ||
| 1a | Triazaborine 5a | 61 | 58 | 61 |
| Oxazaborine 6a | 4 | 7 | – | |
| 1b | Triazaborine 5b | 50 | 37 | 55 |
| Diazaborinone 7b | 10 | 21 | – | |
| 1c | Triazaborine 5c | 43 | 48 | 69 |
| Diazaborinone 7c | – | 8 | – | |
| 1d | Triazaborine 5d | 65.5 | 79 | 68.5 |
| Diazaborinone 7d | 1.7 | 10.5 | 9.6 | |
| 1e | Oxazaborine 6e | 29 | 51 | 32 |
| Diazaborinone 7e | 27 | – | 16 | |
| Triazaborine 8e | – | – | 26 | |
| 1f | Oxazaborine 6f | 8 | 43 | 21 |
| Diazaborinone 7f | 51 | 9 | 13 | |
| 1g | Triazaborinone 5g | 26 | 30 | 48 |
| Oxazaborine 6g | 32 | 17 | 5.4 | |
| Diazaborinone 7g | – | – | 6.3 | |
| Triazaborine 8g | – | – | 2.4 | |
| 1h | Triazaborinone 5h | – | – | 15 |
| Oxazaborine 6h | 22 | – | – | |
| Diazaborinone 7h | 3 | – | 16 | |
| Triazaborine 8h | – | – | 21 | |
![]() | |||||||||
|---|---|---|---|---|---|---|---|---|---|
| Compound | R1 | R2 | R3 | δ (15N1) | δ (15N2) | δ (15N3) | δ (15N4) | δ (11B) | 1J |
| 5a | Me | H | H | −251.5 | −288.7 | 32.0 | −143.8 | 0.99 | 80.0 a |
| 5b | Ph | H | H | −249.1 | −245.7 | 48.5 | −122.5 | 0.92 | 79.6 a, 88.9 b, 92.0 b |
| 5c | Me | Me | H | −251.5 | −236.4 | 32.5 | −138.4 | 0.42 | 90.5 a, 79.4 b |
| 5d | Ph | Me | H | −250.5 | −239.6 | 42.7 | −131.8 | 0.73 | 79.0 a, 88.0 b |
| 5g | Me | Me | Me | −256.4 | −236.1 | 29.6 | −141.9 | 2.06 | 87.9 b |
| 5h | Ph | Me | Me | −254.6 | −238.8 | 39.4 | −133.7 | 2.11 | 87.3 b |
| 6a | Me | H | H | −278.1 | −222.9 | 85.7 | 21.5 | 2.70 | 89.2 a, 90.8 a, 79.8 b |
| 6e | Me | H | Me | −273.8 | −224.2 | 82.2 | 8.8 | 2.68 | 90.9 a |
| 6f | Ph | H | Me | −271.8 | −227.7 | 88.3 | 15.0 | 2.60 | 91.2 a, 82.0 b |
| 6g | Me | Me | Me | −274.6 | −221.9 | 79.3 | −1.5 | 4.39 | none |
| 6h | Ph | Me | Me | −273.6 | −224.8 | 89.3 | 8.1 | 4.48 | 91.0 a |
| 7a | Me | H | H | −250.6 | −182.5 | −5.3 | −194.5 | −2.56 | 78.0 a, 79.4 b, 94.0 c |
| 7b | Ph | H | H | −250.2 | −184.7 | 2.6 | −190.3 | −2.29 | 77.9 a, 82.0 b, 94.5 c |
| 7c | Me | Me | H | −246.6 | −180.4 | −8.5 | −198.9 | 0.09 | 78.4 a, 94.1 c |
| 7d | Ph | Me | H | −246.5 | −180.5 | 2.1 | −194.6 | 0.23 | 78.6 a, 94.5 c |
| 7e | Me | H | Me | −252.7 | −179.8 | −9.3 | −197.7 | −0.89 | 93.9 c |
| 7f | Ph | H | Me | −252.4 | −183.2 | 0.43 | −191.5 | −0.54 | 82.2 b, 92.2 c |
| 7g | Me | Me | Me | −250.0 | −179.5 | −11.4 | −200.6 | 1.30 | 94.0 c |
| 7h | Ph | Me | Me | −250.7 | −179.9 | −0.6 | −196.3 | 1.69 | 94.0 c |
| 8e | Me | H | Me | −292.7 | −200.2 | 5.6 | −166.3 | −1.26 | 92.0 a, 81.0 b |
| 8h | Ph | Me | Me | −292.7 | −200.2 | 4.7 | −169.5 | 1.44 | 92.0 a |
| 9g | Me | Me | Me | −243.3 | −197.2 | 20.1 | −149.2 | 5.00 2.15 | none |
| 9h | Ph | Me | Me | −243.3 | −198.5 | 27.8 | −144.6 | 5.20 2.00 | none |
Publisher’s Note: MDPI stays neutral with regard to jurisdictional claims in published maps and institutional affiliations. |
© 2022 by the authors. Licensee MDPI, Basel, Switzerland. This article is an open access article distributed under the terms and conditions of the Creative Commons Attribution (CC BY) license (https://creativecommons.org/licenses/by/4.0/).
Share and Cite
Svobodová, M.; Svoboda, J.; Li, B.-H.; Bertolasi, V.; Socha, L.; Sedlák, M.; Marek, L. Synthesis and Characterization of New Boron Compounds Using Reaction of Diazonium Tetraphenylborate with Enaminoamides. Molecules 2022, 27, 367. https://doi.org/10.3390/molecules27020367
Svobodová M, Svoboda J, Li B-H, Bertolasi V, Socha L, Sedlák M, Marek L. Synthesis and Characterization of New Boron Compounds Using Reaction of Diazonium Tetraphenylborate with Enaminoamides. Molecules. 2022; 27(2):367. https://doi.org/10.3390/molecules27020367
Chicago/Turabian StyleSvobodová, Markéta, Jan Svoboda, Bing-Han Li, Valerio Bertolasi, Luboš Socha, Miloš Sedlák, and Lukáš Marek. 2022. "Synthesis and Characterization of New Boron Compounds Using Reaction of Diazonium Tetraphenylborate with Enaminoamides" Molecules 27, no. 2: 367. https://doi.org/10.3390/molecules27020367
APA StyleSvobodová, M., Svoboda, J., Li, B.-H., Bertolasi, V., Socha, L., Sedlák, M., & Marek, L. (2022). Synthesis and Characterization of New Boron Compounds Using Reaction of Diazonium Tetraphenylborate with Enaminoamides. Molecules, 27(2), 367. https://doi.org/10.3390/molecules27020367


