Changes in Volatile Compounds in Short-Term High CO2-Treated ‘Seolhyang’ Strawberry (Fragaria × ananassa) Fruit during Cold Storage
Abstract
1. Introduction
2. Results and Discussion
2.1. Identification of Volatile Compounds in Strawberries
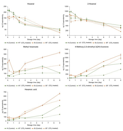
2.2. Changes in the Composition of Volatile Compounds in Strawberries
2.3. Principal Component Analysis (PCA) and the Heatmap of Volatiles
3. Materials and Methods
3.1. Chemicals and Reagents
3.2. Strawberry Samples
3.3. Determination of Strawberry Volatiles using HS-SPME-GC/MS
3.4. Identification and Relative Quantification of Volatiles in Strawberries
3.5. Statistical Analyses
4. Conclusions
Supplementary Materials
Author Contributions
Funding
Conflicts of Interest
References
- Chungcheongnam-do Agricultural Research and Extension Services. Available online: https://cnnongup.chungnam.go.kr/board/B0015.cs?act=download&articleId=228111&fileSn=0 (accessed on 13 January 2022).
- aTKorea. Available online: https://www.kati.net/file/down.do?path=/board/2018/07/&fileName=%EB%94%B8%EA%B8%B0+%EA%B5%AD%EB%82%B4%EC%83%9D%EC%82%B0+%EB%B0%8F+%ED%95%B4%EC%99%B8%EC%8B%9C%EC%9E%A5+%EB%8F%99%ED%96%A5.pdf.pdf (accessed on 13 January 2022).
- KATI. Available online: https://www.kati.net/product/basisInfo.do?lcdCode=MD149 (accessed on 13 January 2022).
- Kim, J.-G.; Choi, J.-W.; Park, M.-H. Effect of different days of postharvest treatment and CO2 concentrations on the quality of ‘Seolhyang’ strawberry during storage. Korean J. Food Preserv. 2016, 23, 12–19. [Google Scholar] [CrossRef]
- Yan, J.w.; Ban, Z.j.; Lu, H.y.; Li, D.; Poverenov, E.; Luo, Z.s.; Li, L. The aroma volatile repertoire in strawberry fruit: A review. J. Sci. Food Agric. 2018, 98, 4395–4402. [Google Scholar] [CrossRef] [PubMed]
- Maarse, H. Volatile Compounds in Foods and Beverages, 1st ed.; Routledge: London, UK, 2017; pp. 329–387. [Google Scholar]
- Azodanlou, R.; Darbellay, C.; Luisier, J.-L.; Villettaz, J.-C.; Amadò, R. Changes in flavour and texture during the ripening of strawberries. Eur. Food Res. Technol. 2004, 218, 167–172. [Google Scholar]
- Urün, I.; Attar, S.H.; Sönmez, D.A.; Gündeşli, M.A.; Ercişli, S.; Kafkas, N.E.; Bandić, L.M.; Duralija, B. Comparison of polyphenol, sugar, organic acid, volatile compounds, and antioxidant capacity of commercially grown strawberry cultivars in Turkey. Plants 2021, 10, 1654. [Google Scholar] [CrossRef] [PubMed]
- Vandendriessche, T.; Nicolai, B.; Hertog, M. Optimization of HS SPME fast GC-MS for high-throughput analysis of strawberry aroma. Food Anal. Methods 2013, 6, 512–520. [Google Scholar] [CrossRef]
- Ozcan, G.; Barringer, S. Effect of enzymes on strawberry volatiles during storage, at different ripeness level, in different cultivars, and during eating. J. Food Sci. 2011, 76, C324–C333. [Google Scholar] [CrossRef] [PubMed]
- Pérez, A.G.; Sanz, C.; Olías, R.; Ríos, J.J.; Olías, J.M. Evolution of strawberry alcohol acyltransferase activity during fruit development and storage. J. Agric. Food Chem. 1996, 44, 3286–3290. [Google Scholar] [CrossRef]
- Myung, K.; Hamilton-Kemp, T.R.; Archbold, D.D. Biosynthesis of trans-2-hexenal in response to wounding in strawberry fruit. J. Agric. Food Chem. 2006, 54, 1442–1448. [Google Scholar] [CrossRef]
- Almenar, E.; Hernandez-Munoz, P.; Gavara, R. Evolution of selected volatiles in chitosan-coated strawberries (Fragaria × ananassa) during refrigerated storage. J. Agric. Food Chem. 2009, 57, 974–980. [Google Scholar] [CrossRef]
- Lu, H.; Wang, K.; Wang, L.; Li, D.; Yan, J.; Ban, Z.; Luo, Z.; Li, L.; Yang, D. Effect of superatmospheric oxygen exposure on strawberry (Fragaria × ananassa Fuch.) volatiles, sensory and chemical attributes. Postharvest Biol. Technol. 2018, 142, 60–71. [Google Scholar] [CrossRef]
- Öz, A.T.; Kafkas, E. Volatile compositions of strawberry fruit during shelf life using pre and postharvest hexanal treatment. J. Food Process. Preserv. 2022, 46, e16464. [Google Scholar] [CrossRef]
- Pelayo, C.; Ebeler, S.; Kader, A. Postharvest life and flavor quality of three strawberry cultivars kept at 5 °C in air or air+ 20 kPa CO2. Postharvest Biol. Technol. 2003, 27, 171–183. [Google Scholar] [CrossRef]
- Yang, M.; Ban, Z.; Luo, Z.; Li, J.; Lu, H.; Li, D.; Chen, C.; Li, L. Impact of elevated O2 and CO2 atmospheres on chemical attributes and quality of strawberry (Fragaria × ananassa Duch.) during storage. Food Chem. 2020, 307, 125550. [Google Scholar] [CrossRef]
- Pelayo-Zaldívar, C.; Abda, J.B.; Ebeler, S.E.; Kader, A.A. Quality and chemical changes associated with flavor of ‘Camarosa’strawberries in response to a CO2-enriched atmosphere. HortScience 2007, 42, 299–303. [Google Scholar] [CrossRef]
- Ahn, D.; Kim, I.; Lim, J.-H.; Choi, J.H.; Park, K.-J.; Lee, J. The effect of high CO2 treatment on targeted metabolites of ‘Seolhyang’ strawberry (Fragaria × ananassa) fruits during cold storage. LWT 2021, 143, 111156. [Google Scholar] [CrossRef]
- Dong, J.; Zhang, Y.; Tang, X.; Jin, W.; Han, Z. Differences in volatile ester composition between Fragaria × ananassa and F. vesca and implications for strawberry aroma patterns. Sci. Hortic. 2013, 150, 47–53. [Google Scholar] [CrossRef]
- Ulrich, D.; Hoberg, E.; Rapp, A.; Kecke, S. Analysis of strawberry flavour–discrimination of aroma types by quantification of volatile compounds. Eur. Food Res. Technol. 1997, 205, 218–223. [Google Scholar] [CrossRef]
- Mishra, R.; Kar, A. Effect of storage on the physicochemical and flavour attributes of two cultivars of strawberry cultivated in Northern India. Sci. World J. 2014, 2014, 794926. [Google Scholar] [CrossRef]
- Forney, C.F.; Kalt, W.; Jordan, M.A. The composition of strawberry aroma is influenced by cultivar, maturity, and storage. HortScience 2000, 35, 1022–1026. [Google Scholar] [CrossRef]
- Padilla-Jiménez, S.M.; Angoa-Pérez, M.V.; Mena-Violante, H.G.; Oyoque-Salcedo, G.; Montañez-Soto, J.L.; Oregel-Zamudio, E. Identification of organic volatile markers associated with aroma during maturation of strawberry fruits. Molecules 2021, 26, 504. [Google Scholar] [CrossRef]
- Ménager, I.; Jost, M.; Aubert, C. Changes in physicochemical characteristics and volatile constituents of strawberry (Cv. Cigaline) during maturation. J. Agric. Food Chem. 2004, 52, 1248–1254. [Google Scholar] [CrossRef]
- Perez, A.G.; Rios, J.J.; Sanz, C.; Olias, J.M. Aroma components and free amino acids in strawberry variety Chandler during ripening. J. Agric. Food Chem. 1992, 40, 2232–2235. [Google Scholar] [CrossRef]
- Wang, L.; Dou, G.; Guo, H.; Zhang, Q.; Qin, X.; Yu, W.; Jiang, C.; Xiao, H. Volatile organic compounds of Hanseniaspora uvarum increase strawberry fruit flavor and defense during cold storage. Food Sci. Nutr. 2019, 7, 2625–2635. [Google Scholar] [CrossRef]
- Perdones, Á.; Escriche, I.; Chiralt, A.; Vargas, M. Effect of chitosan–lemon essential oil coatings on volatile profile of strawberries during storage. Food Chem. 2016, 197, 979–986. [Google Scholar] [CrossRef]
- Jincy, M.; Djanaguiraman, M.; Jeyakumar, P.; Subramanian, K.; Jayasankar, S.; Paliyath, G. Inhibition of phospholipase D enzyme activity through hexanal leads to delayed mango (Mangifera indica L.) fruit ripening through changes in oxidants and antioxidant enzymes activity. Sci. Hortic. 2017, 218, 316–325. [Google Scholar] [CrossRef]
- Lanciotti, R.; Corbo, M.R.; Gardini, F.; Sinigaglia, M.; Guerzoni, M.E. Effect of hexanal on the shelf life of fresh apple slices. J. Agric. Food Chem. 1999, 47, 4769–4776. [Google Scholar] [CrossRef]
- Vandendriessche, T.; Vermeir, S.; Martinez, C.M.; Hendrickx, Y.; Lammertyn, J.; Nicolaï, B.; Hertog, M. Effect of ripening and inter-cultivar differences on strawberry quality. LWT 2013, 52, 62–70. [Google Scholar] [CrossRef]
- Ayala-Zavala, J.F.; Wang, S.Y.; Wang, C.Y.; González-Aguilar, G.A. Effect of storage temperatures on antioxidant capacity and aroma compounds in strawberry fruit. LWT 2004, 37, 687–695. [Google Scholar] [CrossRef]
- Ke, D.; Zhou, L.; Kader, A.A. Mode of oxygen and carbon dioxide action on strawberry ester biosynthesis. J. Am. Soc. Hortic. Sci. 1994, 119, 971–975. [Google Scholar] [CrossRef]
- Bodelón, O.G.; Blanch, M.; Sanchez-Ballesta, M.T.; Escribano, M.I.; Merodio, C. The effects of high CO2 levels on anthocyanin composition, antioxidant activity and soluble sugar content of strawberries stored at low non-freezing temperature. Food Chem. 2010, 122, 673–678. [Google Scholar] [CrossRef]
- Zabetakis, I.; Gramshaw, J.; Robinson, D. 2, 5-Dimethyl-4-hydroxy-2H-furan-3-one and its derivatives: Analysis, synthesis and biosynthesis—A review. Food Chem. 1999, 65, 139–151. [Google Scholar] [CrossRef]
- Wein, M.; Lavid, N.; Lunkenbein, S.; Lewinsohn, E.; Schwab, W.; Kaldenhoff, R. Isolation, cloning and expression of a multifunctional O-methyltransferase capable of forming 2,5-dimethyl-4-methoxy-3(2H)-furanone, one of the key aroma compounds in strawberry fruits. Plant J. 2002, 31, 755–765. [Google Scholar] [CrossRef]
- Lunkenbein, S.; Salentijn, E.M.J.; Coiner, H.A.; Boone, M.J.; Krens, F.A.; Schwab, W. Up- and down-regulation of Fragaria × ananassa O-methyltransferase: Impacts on furanone and phenylpropanoid metabolism. J. Exp. Bot. 2006, 57, 2445–2453. [Google Scholar] [CrossRef] [PubMed]
- Almenar, E.; Hernández-Muñoz, P.; Lagarón, J.M.; Catalá, R.; Gavara, R. Controlled atmosphere storage of wild strawberry fruit (Fragaria vesca L.). J. Sci. Food Agric. 2006, 54, 86–91. [Google Scholar] [CrossRef] [PubMed]
- Lara, I.; Miró, R.; Fuentes, T.; Sayez, G.; Graell, J.; López, M. Biosynthesis of volatile aroma compounds in pear fruit stored under long-term controlled-atmosphere conditions. Postharvest Biol. Technol. 2003, 29, 29–39. [Google Scholar] [CrossRef]
- Flavornet and Human Odor Space. Available online: http://www.flavornet.org (accessed on 13 January 2022).
- Larsen, M.; Watkins, C.B. Firmness and aroma composition of strawberries following short-term high carbon dioxide treatments. HortScience 1995, 30, 303–305. [Google Scholar] [CrossRef]
- Kafkas, E.; Gunaydin, S.; Ercisli, S.; Ozogu, Y.; Unlu, M.A. Fat and fatty acid composition of strawberry cultivars. Chem. Nat. Compd. 2009, 45, 861–863. [Google Scholar] [CrossRef]
- Matsumoto, H.; Ikoma, Y. Effect of postharvest temperature on the muscat flavor and aroma volatile content in the berries of ‘Shine Muscat’ (Vitis labruscana Baily × V. vinifera L.). Postharvest Biol. Technol. 2016, 112, 256–265. [Google Scholar] [CrossRef]
- Choi, S.; Seo, H.-S.; Lee, K.R.; Lee, S.; Lee, J. Effect of milling degrees on volatile profiles of raw and cooked black rice (Oryza sativa L. cv. Sintoheugmi). Appl. Biol. Chem. 2018, 61, 91–105. [Google Scholar] [CrossRef]
- Lee, J.; Xiao, L.; Zhang, G.; Ebeler, S.E.; Mitchell, A.E. Influence of storage on volatile profiles in roasted almonds (Prunus dulcis). J. Agric. Food Chem. 2014, 62, 11236–11245. [Google Scholar] [CrossRef]




| Peak no. | Volatile Compound | Odor Description a | DB-WAX Column | DB-5MS Column | Extracted Ion (m/z)c | Internal Standard | Compound Newly Produced During Storage | ||
|---|---|---|---|---|---|---|---|---|---|
| Unknown RI | Literature RIb | Unknown RI | Literature RIb | ||||||
| Aldehydes | |||||||||
| 1 | Acetaldehyde | Pungent | 660 | 677 | 32 | Octanal-d16 | |||
| 9 | Hexanal * | Fresh, green | 1073 | 1077 | 801 | 802 | 56 | Octanal- d16 | |
| 12 | 2-Hexenal * | Fruity, green | 1204 | 1205 | 856 | 854 | 41 | Octanal- d16 | |
| 18 | Nonanal * | Citrus | 1378 | 1375 | 57 | Octanal- d16 | |||
| 22 | Benzaldehyde * | Fruity, nutty | 1496 | 1495 | 967 | 961 | 106 | Octanal- d16 | |
| Esters | |||||||||
| 2 | Methyl acetate * | Fruity | 811 | 813 | 42 | Ethyl butanoate-d3 | |||
| 3 | Ethyl acetate | Fruity, sweet | 866 | 867 | 43 | Ethyl butanoate-d3 | |||
| 6 | Methyl butanoate | Fruity, apple | 976 | 971 | 653 | 697 | 74 | Ethyl butanoate-d3 | |
| 7 | Ethyl butanoate | Apple | 1032 | 1037 | 71 | Ethyl butanoate-d3 | |||
| 8 | Ethyl 3-methylbutanoate | Sweet, fruity | 1062 | 1064 | 841 | 856 | 88 | Ethyl butanoate-d3 | |
| 11 | Methyl hexanoate* | Fruity, pineapple | 1181 | 1183 | 925 | 910 | 74 | Ethyl butanoate-d3 | |
| 13 | Butyl butanoate | Sweet, fruity, fresh | 1207 | 1208 | 71 | Ethyl butanoate-d3 | |||
| 14 | Ethyl hexanoate * | Fruity, sweet, pineapple | 1227 | 1220 | 997 | 999 | 88 | Ethyl butanoate-d3 | |
| 15 | Hexyl acetate | Green, fruity, apple | 1263 | 1261 | 1011 | 1011 | 43 | Ethyl butanoate-d3 | |
| 16 | (2E)-Hexenyl acetate | Sweet, leafy, green | 1321 | 1322 | 1014 | 1025 | 43 | Ethyl butanoate-d3 | New |
| 17 | Methyl octanoate | Green, sweet, orange | 1377 | 1378 | 1122 | 1120 | 74 | Ethyl butanoate-d3 | |
| 19 | Hexyl butanoate | Green, sweet, fruity | 1401 | 1407 | 1187 | 1191 | 43 | Ethyl butanoate-d3 | |
| 20 | Ethyl octanoate * | Sweet, pineapple | 1421 | 1420 | 88 | Ethyl butanoate-d3 | New | ||
| 21 | (2E)-Hexenyl butanoate | Ripe, fruity | 1461 | 1461 | 71 | Ethyl butanoate-d3 | |||
| 26 | 2-Methylbutanoate | Acidic, fruity | 1647 | 1641 | 849 | 854 | 74 | Ethyl butanoate-d3 | |
| 27 | Benzyl acetate | Sweet, fruit, floral | 1708 | 1710 | 1161 | 1170 | 108 | Ethyl butanoate-d3 | |
| 28 | Methyl 2-hydroxybenzoate | Sweet, aromatic | 1761 | 1762 | 1192 | 1193 | 120 | Ethyl butanoate-d3 | |
| Ketones | |||||||||
| 4 | 2-Butanone | Ethereal | 878 | 889 | 43 | Octanal-d16 | |||
| 5 | 2,3-Butanedione | Pungent | 965 | 965 | 43 | Octanal-d16 | |||
| 10 | 2-Heptanone * | Fruity, green | 1172 | 1178 | 890 | 889 | 43 | Octanal-d16 | |
| Alcohols | |||||||||
| 23 | 3,7-Dimethyl-1,6-octadien-3-ol | Citrus, orange, floral | 1534 | 1534 | 1100 | 1101 | 71 | Hexyl-d13 alcohol | |
| 30 | (6Z)-3,7,11-Trimethyl-1,6,10-dodecatrien-3-ol | Mild floral | 2033 | 2033 | 1559 | 1566 | 69 | Hexyl-d13 alcohol | |
| Acids | |||||||||
| 25 | Butyric acid * | Sharp, dairy-like, cheesy | 1604 | 1607 | 60 | Hexyl-d13 alcohol | |||
| 29 | Hexanoic acid * | Sour, rancid, sweat | 1832 | 1834 | 985 | 990 | 60 | Hexyl-d13 alcohol | |
| Furanones | |||||||||
| 24 | 4-Methoxy-2,5-dimethyl-3(2H)-furanone | Sweet, caramel | 1571 | 1580 | 1059 | 1057 | 142 | Octanal-d16 | |
| Volatile Compound | H0h | H6h | H1D | H2D | H3D | H6D | H9D | HT6h | HT1D | HT2D | HT3D | HT6D | HT9D | ||||||||||||||||||||||||||
|---|---|---|---|---|---|---|---|---|---|---|---|---|---|---|---|---|---|---|---|---|---|---|---|---|---|---|---|---|---|---|---|---|---|---|---|---|---|---|---|
| Aldehydes | |||||||||||||||||||||||||||||||||||||||
| Acetaldehyde | 899 ± 31 bc | 923 ± 25 bc | 874 ± 46 cd | 821 ± 62 d | 898 ± 14 bc | 941 ± 2 ab | 986 ± 14 a | 464 ± 12 ef | 413 ± 8 fg | 410 ± 5 fg | 403 ± 7 g | 393 ± 10 g | 505 ± 2 e | ||||||||||||||||||||||||||
| Hexanal | 217 ± 20 a | 211 ± 17 a | 196 ± 8 ab | 113 ± 9 de | 91 ± 7 e | 66 ± 3 f | 56 ± 2 fg | 218 ± 14 a | 182 ± 13 b | 156 ± 4 c | 131 ± 11 cd | 64 ± 7 fg | 41 ± 0 g | ||||||||||||||||||||||||||
| 2-Hexenal | 975 ± 73 a | 985 ± 43 a | 854 ± 1 b | 625 ± 33 d | 676 ± 67 cd | 511 ± 6 e | 413 ± 6 fg | 715 ± 74 cd | 725 ± 49 c | 659 ± 8 cd | 666 ± 12 cd | 444 ± 28 ef | 333 ± 8 g | ||||||||||||||||||||||||||
| Nonanal | 4 ± 0 e | 4 ± 0 e | 5 ± 1 c | 4 ± 0 de | 6 ± 0 c | 5 ± 1 cd | 6 ± 0 c | 7 ± 1 b | 7 ± 0 b | 7 ± 0 b | 8 ± 0 a | 4 ± 0 e | 2 ± 0 f | ||||||||||||||||||||||||||
| Benzaldehyde | 12 ± 2 de | 8 ± 1 fg | 9 ± 1 f | 12 ± 1 e | 14 ± 0 cd | 17 ± 0 b | 88 ± 1 a | 8 ± 1 fg | 6 ± 0 g | 12 ± 1 e | 9 ± 1 f | 14 ± 1 cde | 15 ± 1 bc | ||||||||||||||||||||||||||
| Esters | |||||||||||||||||||||||||||||||||||||||
| Methyl acetate | 12 ± 1 d | 10 ± 1 e | 21 ± 0 a | 22 ± 2 a | 18 ± 0 b | 18 ± 0 b | 13 ± 1 d | 13 ± 2 d | 11 ± 0 de | 12 ± 0 d | 15 ± 0 c | 12 ± 0 d | 15 ± 0 c | ||||||||||||||||||||||||||
| Ethyl acetate | 11 ± 2 e | 17 ± 1 d | 5 ± 0 h | 6 ± 0 gh | 5 ± 0 hi | 30 ± 1 c | 63 ± 3 a | 8 ± 0 efg | 7 ± 1 fgh | 9 ± 0 ef | 1 ± 0 j | 2 ± 0 ij | 48 ± 1 b | ||||||||||||||||||||||||||
| Methyl butanoate | 53 ± 1 g | 50 ± 2 g | 93 ± 6 e | 131 ± 3 c | 110 ± 7 d | 177 ± 4 b | 192 ± 3 a | 54 ± 1 g | 40 ± 1 h | 58 ± 4 g | 77 ± 7 f | 70 ± 5 f | 89 ± 4 e | ||||||||||||||||||||||||||
| Ethyl butanoate | 5 ± 0 cd | 4 ± 0 cd | 2 ± 0 d | 5 ± 0 cd | 4 ± 0 cd | 42 ± 0 b | 159 ± 11 a | 10 ± 1 c | 6 ± 0 cd | 5 ± 0 cd | 8 ± 0 cd | 8 ± 1 cd | 36 ± 1 b | ||||||||||||||||||||||||||
| Ethyl 3-methylbutanoate | 3 ± 1 b | n.d. | n.d. | n.d. | n.d. | 2 ± 0 c | 5 ± 0 a | 1 ± 0 d | n.d. | n.d. | n.d. | n.d. | n.d. | ||||||||||||||||||||||||||
| Methyl hexanoate | 56 ± 4 e | 57 ± 4 e | 103 ± 1 cd | 159 ± 17 b | 159 ± 12 b | 252 ± 8 a | 113 ± 4 c | 43 ± 3 e | 46 ± 1 e | 90 ± 5 d | 101 ± 1 cd | 113 ± 22 c | 110 ± 2 cd | ||||||||||||||||||||||||||
| Butyl butanoate | 15 ± 3 abc | 13 ± 0 cdef | 18 ± 0 a | 17 ± 3 ab | 15 ± 1 bcd | 16 ± 1 abc | 14 ± 1 bcd | 14 ± 1 bcde | 11 ± 1 ef | 10 ± 0 fg | 11 ± 1 def | 12 ± 1 def | 7 ± 0 g | ||||||||||||||||||||||||||
| Ethyl hexanoate | 2 ± 0 ef | 3 ± 0 d | 1 ± 0 gh | 2 ± 0 e | 1 ± 0 fgh | 7 ± 1 b | 6 ± 0 c | 1 ± 0 fgh | 1 ± 0 h | 1 ± 0 fgh | 1 ± 0 gh | 2 ± 0 efg | 27 ± 1 a | ||||||||||||||||||||||||||
| Hexyl acetate | 21 ± 1 d | 28 ± 3 c | 13 ± 0 ef | 9 ± 1 gh | 5 ± 0 i | 31 ± 0 b | 119 ± 3 a | 15 ± 1 e | 6 ± 0 hi | 7 ± 0 hi | 4 ± 1 i | 11 ± 2 fg | 12 ± 1 efg | ||||||||||||||||||||||||||
| (2E)-hexenyl acetate | n.d. | 20 ± 0 b | 31 ± 1 a | 18 ± 1 c | 5 ± 0 g | 5 ± 0 g | 8 ± 0 f | 14 ± 2 d | 9 ± 1 ef | 17 ± 1 c | 6 ± 0 g | 8 ± 0 f | 10 ± 1 e | ||||||||||||||||||||||||||
| Methyl octanoate | 2 ± 0 d | 1 ± 0 e | 1 ± 0 e | 5 ± 1 b | 4 ± 0 c | 7 ± 0 a | 8 ± 0 a | 1 ± 0 e | n.d. | n.d. | 3 ± 0 d | 4 ± 0 c | 4 ± 0 c | ||||||||||||||||||||||||||
| Hexyl butanoate | 1 ± 0 b | 1 ± 0 b | 1 ± 0 b | 2 ± 0 b | 1 ± 0 b | 2 ± 0 b | 18 ± 3 a | 1 ± 0 b | 1 ± 0 b | 1 ± 0 b | 1 ± 0 b | 1 ± 0 b | n.d. | ||||||||||||||||||||||||||
| (2E)-Hexenyl butanoate | 1 ± 0 fgh | 1 ± 0 gh | 1 ± 0 ef | 3 ± 0 b | 1 ± 0 hi | 1 ± 0 fg | 16 ± 0 a | 2 ± 0 c | 2 ± 0 d | 1 ± 0 de | 1 ± 0 i | 1 ± 0 de | 1 ± 0 ef | ||||||||||||||||||||||||||
| 2-Methyl butanoate | 22 ± 3 ef | 24 ± 1 ef | 27 ± 1 e | 50 ± 5 d | 44 ± 1 d | 161 ± 9 a | 123 ± 9 b | 26 ± 0 ef | 18 ± 1 ef | 24 ± 1 ef | 17 ± 1 f | 26 ± 4 ef | 86 ± 2 c | ||||||||||||||||||||||||||
| Benzyl acetate | 519 ± 43 g | 506 ± 32 g | 2067 ± 7 f | 3608 ± 65 d | 5519 ± 150 b | 5050 ± 229 c | 6414 ± 394 a | 436 ± 11 g | 804 ± 76 g | 1801 ± 57 f | 2521 ± 141 e | 2161 ± 253 ef | 3303 ± 194 d | ||||||||||||||||||||||||||
| Methyl 2-hydroxybenzoate | 3 ± 1 cde | 1 ± 0 f | 2 ± 0 de | 4 ± 0 c | 5 ± 0 b | 3 ± 0 cd | 7 ± 1 a | 1 ± 0 ef | 1 ± 0 f | 2 ± 0 ef | 2 ± 0 ef | 2 ± 0 ef | 2 ± 0 ef | ||||||||||||||||||||||||||
| Ketones | |||||||||||||||||||||||||||||||||||||||
| 2-Butanone | 12 ± 1 def | 16 ± 2 bcd | 18 ± 1 b | 16 ± 2 bc | 14 ± 0 bcde | 15 ± 0 bcde | 48 ± 4 a | 14 ± 1 cde | 13 ± 1 cdef | 10 ± 0 fg | 11 ± 1 ef | 6 ± 0 h | 6 ± 0 gh | ||||||||||||||||||||||||||
| 2,3-Butanedione | 32 ± 2 c | 32 ± 3 c | 25 ± 1 d | 39 ± 0 a | 22 ± 1 d | 40 ± 2 a | 35 ± 0 b | 24 ± 2 d | 19 ± 1 e | 13 ± 1 f | 8 ± 0 g | 14 ± 1 f | 15 ± 1 f | ||||||||||||||||||||||||||
| 2-Heptanone | 2 ± 0 d | 1 ± 0 i | 1 ± 0 h | 6 ± 0 b | 5 ± 0 c | 6 ± 0 a | 6 ± 0 a | 2 ± 0 ef | 2 ± 0 ef | 2 ± 0 gh | 2 ± 0 fg | 2 ± 0 fg | 2 ± 0 e | ||||||||||||||||||||||||||
| Alcohols | |||||||||||||||||||||||||||||||||||||||
| 3,7-Dimethyl-1,6-octadien-3-ol | 82 ± 7 f | 85 ± 0 f | 101 ± 2 e | 157 ± 8 a | 130 ± 0 bc | 138 ± 3 b | 111 ± 4 de | 90 ± 8 f | 81 ± 1 f | 125 ± 4 c | 123 ± 1 c | 127 ± 11 bc | 120 ± 1 cd | ||||||||||||||||||||||||||
| (6Z)-3,7,11-Trimethyl-1,6,10-dodecatrien-3-ol | 35 ± 3 ef | 36 ± 1 ef | 27 ± 0 f | 123 ± 9 a | 64 ± 4 d | 118 ± 10 a | 90 ± 8 bc | 39 ± 2 ef | 33 ± 2 f | 76 ± 1 cd | 50 ± 2 e | 102 ± 16 b | 88 ± 0 bc | ||||||||||||||||||||||||||
| Acids | |||||||||||||||||||||||||||||||||||||||
| Butyric acid | 1 ± 0 c | n.d. | 1 ± 0 ef | 2 ± 0 a | 1 ± 0 d | 2 ± 0 b | n.d. | n.d. | n.d. | 1 ± 0 g | 1 ± 0 fg | 1 ± 0 de | 1 ± 0 ef | ||||||||||||||||||||||||||
| Hexanoic acid | 26 ± 3 h | 27 ± 0 h | 38 ± 0 g | 97 ± 10 d | 75 ± 4 ef | 140 ± 5 c | 370 ± 2 a | 19 ± 1 h | 25 ± 0 h | 64 ± 3 f | 69 ± 2 ef | 79 ± 3 e | 162 ± 12 b | ||||||||||||||||||||||||||
| Furanones | |||||||||||||||||||||||||||||||||||||||
| 4-Methoxy-2,5-dimethyl-3(2H)-furanone | 20 ± 1 g | 26 ± 1 g | 45 ± 1 g | 145 ± 12 de | 135 ± 10 de | 617 ± 17 b | 711 ± 22 a | 24 ± 1 g | 44 ± 0 g | 121 ± 11 ef | 98 ± 4 f | 153 ± 31 d | 437 ± 18 c | ||||||||||||||||||||||||||
| Sum | 3044 ± 99 g | 3090 ± 53 g | 4584 ± 70 e | 6199 ± 235 c | 8027 ± 132 b | 8420 ± 184 b | 10198 ± 380 a | 2263 ± 104 h | 2511 ± 14 h | 3694 ± 80 f | 4348 ± 162 e | 3835 ± 372 f | 5480 ± 181 d | ||||||||||||||||||||||||||
| Volatile Compound | B0h | B6h | B1D | B2D | B3D | B6D | B9D | BT6h | BT1D | BT2D | BT3D | BT6D | BT9D | ||||||||||||||||||||||||||
|---|---|---|---|---|---|---|---|---|---|---|---|---|---|---|---|---|---|---|---|---|---|---|---|---|---|---|---|---|---|---|---|---|---|---|---|---|---|---|---|
| Aldehydes | |||||||||||||||||||||||||||||||||||||||
| Acetaldehyde | 881 ± 9 abc | 954 ± 134 ab | 824 ± 65 c | 872 ± 35 bc | 802 ± 49 c | 811 ± 29 c | 988 ± 2 a | 369 ± 5 d | 464 ± 9 d | 402 ± 13 d | 430 ± 49 d | 420 ± 5 d | 440 ± 36 d | ||||||||||||||||||||||||||
| Hexanal | 160 ± 14 ab | 146 ± 30 ab | 162 ± 24 ab | 127 ± 9 bc | 99 ± 9 cd | 77 ± 9 de | 25 ± 0 f | 163 ± 17 ab | 165 ± 14 a | 155 ± 17 ab | 150 ± 4 ab | 77 ± 14 de | 48 ± 8 ef | ||||||||||||||||||||||||||
| 2-Hexenal | 871 ± 41 a | 831 ± 20 a | 798 ± 114 a | 692 ± 55 b | 623 ± 43 bc | 506 ± 15 cd | 164 ± 8 f | 569 ± 47 c | 615 ± 10 bc | 611 ± 2 bc | 600 ± 24 bc | 411 ± 67 de | 308 ± 58 e | ||||||||||||||||||||||||||
| Nonanal | 7 ± 0 ab | 7 ± 1 ab | 4 ± 0 c | 6 ± 0 b | 4 ± 1 c | 6 ± 0 b | 8 ± 1 a | 4 ± 0 c | 3 ± 0 c | 4 ± 0 c | 6 ± 1 b | 4 ± 0 c | 3 ± 0 c | ||||||||||||||||||||||||||
| Benzaldehyde | 11 ± 1 cdef | 16 ± 3 b | 5 ± 1 g | 10 ± 1 cdef | 13 ± 1 bcde | 14 ± 1 bc | 39 ± 3 a | 7 ± 0 fg | 9 ± 1 ef | 10 ± 1 def | 14 ± 1 bcd | 10 ± 2 ef | 14 ± 3 bc | ||||||||||||||||||||||||||
| Esters | |||||||||||||||||||||||||||||||||||||||
| Methyl acetate | 18 ± 0 a | 10 ± 1 de | 14 ± 1 b | 16 ± 0 a | 13 ± 0 b | 13 ± 1 b | 10 ± 1 cd | 16 ± 0 a | 10 ± 1 cd | 12 ± 0 bc | 8 ± 0 e | 9 ± 0 de | 8 ± 0 e | ||||||||||||||||||||||||||
| Ethyl acetate | 10 ± 0 fg | 12 ± 0 fg | 5 ± 1 g | 6 ± 0 g | 5 ± 0 g | 46 ± 2 c | 144 ± 2 a | 128 ± 19 b | 37 ± 4 cd | 31 ± 1 de | 13 ± 1 fg | 11 ± 1 fg | 19 ± 2 ef | ||||||||||||||||||||||||||
| Methyl butanoate | 159 ± 5 c | 173 ± 3 c | 118 ± 15 d | 118 ± 8 d | 211 ± 3 b | 226 ± 15 b | 254 ± 31 a | 87 ± 3 e | 72 ± 11 e | 91 ± 13 e | 122 ± 4 d | 168 ± 8 c | 205 ± 5 b | ||||||||||||||||||||||||||
| Ethyl butanoate | 18 ± 2 cd | 18 ± 1 cde | 3 ± 0 e | 5 ± 0 de | 18 ± 1 cde | 138 ± 10 a | 138 ± 14 a | 89 ± 9 b | 13 ± 2 de | 12 ± 2 de | 30 ± 3 c | 84 ± 10 b | 135 ± 6 a | ||||||||||||||||||||||||||
| Ethyl 3-methylbutanoate | 1 ± 0 ef | 1 ± 0 def | 1 ± 0 def | 1 ± 0 f | 1 ± 0 ef | 3 ± 1 b | 3 ± 0 c | 8 ± 0 a | 1 ± 0 de | 1 ± 0 ef | 1 ± 0 ef | 2 ± 0 d | 3 ± 0 b | ||||||||||||||||||||||||||
| Methyl hexanoate | 330 ± 4 d | 377 ± 24 c | 140 ± 18 hi | 149 ± 1 hi | 306 ± 31 de | 434 ± 19 b | 534 ± 25 a | 159 ± 16 gh | 107 ± 13 i | 128 ± 11 hi | 195 ± 10 fg | 216 ± 28 f | 276 ± 5 e | ||||||||||||||||||||||||||
| Butyl butanoate | 19 ± 0 b | 20 ± 3 b | 18 ± 3 bc | 18 ± 1 bc | 17 ± 1 bcd | 25 ± 3 a | 20 ± 3 b | 7 ± 1 f | 11 ± 1 ef | 13 ± 0 cde | 12 ± 0 e | 9 ± 1 ef | 13 ± 2 de | ||||||||||||||||||||||||||
| Ethyl hexanoate | 21 ± 3 e | 20 ± 2 ef | 1 ± 0 g | 3 ± 0 fg | 15 ± 0 efg | 162 ± 17 b | 187 ± 16 a | 71 ± 9 d | 22 ± 3 e | 26 ± 3 e | 30 ± 2 e | 91 ± 6 c | 153 ± 1 b | ||||||||||||||||||||||||||
| Hexyl acetate | 10 ± 1 def | 9 ± 0 ef | 5 ± 1 f | 7 ± 0 ef | 29 ± 2 c | 86 ± 11 a | 82 ± 7 a | 17 ± 3 de | 9 ± 3 def | 15 ± 0 def | 14 ± 1 def | 19 ± 3 d | 48 ± 5 b | ||||||||||||||||||||||||||
| (2E)-Hexenyl acetate | 19 ± 2 c | 18 ± 1 cd | 9 ± 1 e | 10 ± 1 e | 20 ± 1 c | 9 ± 1 e | 15 ± 2 d | 36 ± 4 a | 17 ± 3 cd | 31 ± 1 b | 16 ± 1 cd | 11 ± 1 e | 9 ± 0 e | ||||||||||||||||||||||||||
| Methyl octanoate | 7 ± 1 cdef | 7 ± 1 cdef | 3 ± 0 hi | 4 ± 0 efgh | 8 ± 0 cd | 18 ± 2 b | 29 ± 4 a | 4 ± 0 fgh | 1 ± 0 i | 4 ± 0 ghi | 7 ± 0 cde | 6 ± 2 defg | 10 ± 1 c | ||||||||||||||||||||||||||
| Hexyl butanoate | 3 ± 0 c | 2 ± 0 cd | 2 ± 0 cd | 1 ± 0 de | 2 ± 0 cde | 6 ± 1 b | 11 ± 2 a | n.d. | n.d. | 1 ± 0 cde | 1 ± 0 cde | 3 ± 0 c | 5 ± 0 b | ||||||||||||||||||||||||||
| Ethyl octanoate | n.d. | n.d. | n.d. | n.d. | n.d. | 5 ± 1 b | 6 ± 1 a | 1 ± 0 d | n.d. | n.d. | 1 ± 0 de | 2 ± 0 c | 4 ± 0 b | ||||||||||||||||||||||||||
| (2E)-Hexenyl butanoate | 1 ± 0 de | 1 ± 0 e | 1 ± 0 e | 1 ± 0 de | 3 ± 0 ab | 2 ± 0 c | 3 ± 0 ab | 2 ± 0 cd | n.d. | n.d. | 3 ± 0 ab | 3 ± 1 a | 3 ± 0 b | ||||||||||||||||||||||||||
| 2-Methyl butanoate | 69 ± 12 d | 59 ± 5 def | 43 ± 3 efg | 61 ± 3 de | 72 ± 3 d | 157 ± 4 b | 238 ± 26 a | 43 ± 3 efg | 34 ± 0 g | 40 ± 0 fg | 38 ± 4 fg | 67 ± 8 d | 123 ± 4 c | ||||||||||||||||||||||||||
| Benzyl acetate | 546 ± 45 i | 515 ± 22 i | 819 ± 118 gh | 3854 ± 46 a | 2432 ± 44 d | 3327 ± 102 b | 3068 ± 134 c | 655 ± 25 hi | 970 ± 44 g | 1990 ± 23 e | 2411 ± 170 d | 2160 ± 41 e | 1420 ± 31 f | ||||||||||||||||||||||||||
| Methyl 2-hydroxybenzoate | 2 ± 0 de | 2 ± 0 d | 1 ± 0 gh | 3 ± 0 a | 2 ± 0 c | 3 ± 0 b | 3 ± 0 a | 1 ± 0 h | 1 ± 0 h | 1 ± 0 g | 1 ± 0 ef | 1 ± 0 fg | 1 ± 0 fg | ||||||||||||||||||||||||||
| Ketones | |||||||||||||||||||||||||||||||||||||||
| 2-Butanone | 16 ± 2 b | 14 ± 2 b | 13 ± 0 b | 13 ± 1 b | 9 ± 0 c | 13 ± 1 bc | 32 ± 5 a | n.d. | n.d. | n.d. | n.d. | n.d. | n.d. | ||||||||||||||||||||||||||
| 2,3-Butanedione | 92 ± 4 a | 87 ± 6 a | 45 ± 8 c | 46 ± 3 c | 51 ± 3 bc | 56 ± 4 b | 42 ± 6 c | 28 ± 0 de | 25 ± 1 de | 20 ± 2 e | 32 ± 5 d | 22 ± 4 de | 25 ± 3 de | ||||||||||||||||||||||||||
| 2-Heptanone | 10 ± 2 de | 8 ± 0 e | 2 ± 0 g | 6 ± 0 f | 12 ± 0 c | 18 ± 0 a | 20 ± 2 a | 2 ± 0 g | 2 ± 0 g | 4 ± 0 fg | 10 ± 1 de | 12 ± 1 cd | 15 ± 2 b | ||||||||||||||||||||||||||
| Alcohols | |||||||||||||||||||||||||||||||||||||||
| 3,7-Dimethyl-1,6-octadien-3-ol | 72 ± 5 d | 76 ± 6 d | 145 ± 11 bc | 134 ± 5 bc | 168 ± 1 a | 138 ± 7 bc | 81 ± 4 d | 167 ± 6 a | 144 ± 14 bc | 127 ± 4 c | 174 ± 10 a | 152 ± 19 ab | 138 ± 14 bc | ||||||||||||||||||||||||||
| (6Z)-3,7,11-Trimethyl-1,6,10-dodecatrien-3-ol | 191 ± 11 c | 190 ± 14 c | 142 ± 13 ef | 156 ± 5 de | 267 ± 5 a | 240 ± 2 ab | 227 ± 27 b | 118 ± 15 f | 132 ± 3 ef | 146 ± 2 ef | 237 ± 31 ab | 183 ± 14 cd | 207 ± 12 bc | ||||||||||||||||||||||||||
| Acids | |||||||||||||||||||||||||||||||||||||||
| Butyric acid | 2 ± 0 de | 1 ± 0 e | 1 ± 0 e | 2 ± 0 de | 3 ± 0 de | 8 ± 0 bc | 15 ± 3 a | 1 ± 0 e | 1 ± 0 e | 1 ± 0 e | 3 ± 0 d | 7 ± 0 c | 9 ± 0 b | ||||||||||||||||||||||||||
| Hexanoic acid | 87 ± 7 fg | 96 ± 9 fg | 62 ± 7 h | 102 ± 6 f | 185 ± 17 e | 381 ± 10 c | 664 ± 21 a | 59 ± 1 h | 71 ± 6 gh | 112 ± 12 f | 231 ± 7 d | 380 ± 12 c | 502 ± 13 b | ||||||||||||||||||||||||||
| Furanones | |||||||||||||||||||||||||||||||||||||||
| 4-Methoxy-2,5-dimethyl-3(2H)-furanone | 156 ± 14 fg | 167 ± 6 fg | 101 ± 7 g | 229 ± 10 f | 376 ± 39 e | 815 ± 8 c | 1137 ± 66 a | 156 ± 4 fg | 112 ± 2 g | 210 ± 9 f | 338 ± 21 e | 571 ± 18 d | 985 ± 87 b | ||||||||||||||||||||||||||
| Sum | 3787 ± 5 g | 3836 ± 102 g | 3490 ± 219 g | 6651 ± 61 c | 5766 ± 17 d | 7742 ± 256 b | 8186 ± 286 a | 2968 ± 68 h | 3048 ± 136 h | 4200 ± 64 f | 5129 ± 51 e | 5110 ± 228 e | 5130 ± 272 e | ||||||||||||||||||||||||||
Publisher’s Note: MDPI stays neutral with regard to jurisdictional claims in published maps and institutional affiliations. |
© 2022 by the authors. Licensee MDPI, Basel, Switzerland. This article is an open access article distributed under the terms and conditions of the Creative Commons Attribution (CC BY) license (https://creativecommons.org/licenses/by/4.0/).
Share and Cite
Kim, I.; Ahn, D.; Choi, J.H.; Lim, J.-H.; Ok, G.; Park, K.-J.; Lee, J. Changes in Volatile Compounds in Short-Term High CO2-Treated ‘Seolhyang’ Strawberry (Fragaria × ananassa) Fruit during Cold Storage. Molecules 2022, 27, 6599. https://doi.org/10.3390/molecules27196599
Kim I, Ahn D, Choi JH, Lim J-H, Ok G, Park K-J, Lee J. Changes in Volatile Compounds in Short-Term High CO2-Treated ‘Seolhyang’ Strawberry (Fragaria × ananassa) Fruit during Cold Storage. Molecules. 2022; 27(19):6599. https://doi.org/10.3390/molecules27196599
Chicago/Turabian StyleKim, Inhwan, Donghee Ahn, Jeong Hee Choi, Jeong-Ho Lim, Gyeongsik Ok, Kee-Jai Park, and Jihyun Lee. 2022. "Changes in Volatile Compounds in Short-Term High CO2-Treated ‘Seolhyang’ Strawberry (Fragaria × ananassa) Fruit during Cold Storage" Molecules 27, no. 19: 6599. https://doi.org/10.3390/molecules27196599
APA StyleKim, I., Ahn, D., Choi, J. H., Lim, J.-H., Ok, G., Park, K.-J., & Lee, J. (2022). Changes in Volatile Compounds in Short-Term High CO2-Treated ‘Seolhyang’ Strawberry (Fragaria × ananassa) Fruit during Cold Storage. Molecules, 27(19), 6599. https://doi.org/10.3390/molecules27196599

