Field-Induced Slow Magnetic Relaxation in CoII Cyclopropane-1,1-dicarboxylates
Abstract
1. Introduction
2. Results and Discussion
2.1. Synthesis and Crystal Structure
2.2. Magnetic Properties
2.2.1. Ab Initio Calculation of the Electronic Structure and the Griffith Hamiltonian Approach
2.2.2. Theoretical Modeling the Orbital Splitting
2.2.3. DC Magnetic Data
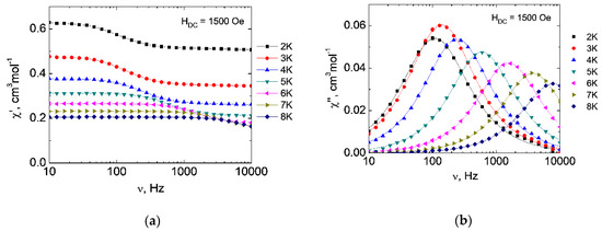
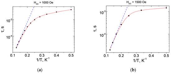
2.2.4. AC Magnetic Data
3. Materials and Methods
3.1. Synthesis
3.1.1. General Details
3.1.2. Synthesis of New Compounds
- {[Rb6Co3(cpdc)6(H2O)12]·6H2O}n (1).
- [Cs2Co(cpdc)2(H2O)6]n (2).
3.2. Single-Crystal X-ray Diffraction Analysis
3.3. Powder X-ray Diffraction
3.4. Magnetic Measurements
3.5. Computational Details
4. Conclusions
Supplementary Materials
Author Contributions
Funding
Data Availability Statement
Acknowledgments
Conflicts of Interest
Sample Availability
References
- Leuenberger, M.N.; Loss, D. Quantum computing in molecular magnets. Nature 2001, 410, 789–793. [Google Scholar] [CrossRef]
- Tejada, J. Quantum behaviour of molecule-based magnets: Basic aspects (quantum tunneling and quantum coherence) and applications (hardware for quantum computers and magnetic refrigeration). Polyhedron 2001, 20, 1751–1756. [Google Scholar] [CrossRef]
- Evangelisti, M.; Brechin, E.K. Recipes for enhanced molecular cooling. Dalton Trans. 2010, 39, 4672–4676. [Google Scholar] [CrossRef] [PubMed]
- Aromí, G.; Aguilà, D.; Gamez, P.; Luis, F.; Roubeau, O. Design of magnetic coordination complexes for quantum computing. Chem. Soc. Rev. 2012, 41, 537–546. [Google Scholar] [CrossRef] [PubMed]
- Kaminski, D.; Webber, A.L.; Wedge, C.J.; Liu, G.; Timco, G.A.; Vitorica-Yrezabal, I.J.; McInnes, E.J.L.; Winpenny, R.E.P.; Ardavan, A. Quantum spin coherence in halogen-modified Cr7Ni molecular nanomagnets. Phys. Rev. 2014, B90, 184419. [Google Scholar] [CrossRef]
- Ferrando-Soria, J.; Pineda, E.M.; Chiesa, A.; Fernandez, A.; Magee, S.A.; Carretta, S.; Santini, P.; Vitorica-Yrezabal, I.J.; Tuna, F.; Timco, G.A.; et al. A modular design of molecular qubits to implement universal quantum gates. Nature Comm. 2016, 7, 11377. [Google Scholar] [CrossRef]
- Ferrando-Soria, J.; Vallejo, J.; Castellano, M.; Martínez-Lillo, J.; Pardo, E.; Cano, J.; Castro, I.; Lloret, F.; Ruiz-García, R.; Julve, M. Molecular magnetism, quo vadis? A historical perspective from a coordination chemist viewpoint. Coord. Chem. Rev. 2017, 339, 17–103. [Google Scholar] [CrossRef]
- McInnes, E.J.L.; Winpenny, R.E.P. 4.14—Molecular Magnets. Comprehensive Inorganic Chemistry II; Elsevier: Edinburgh, UK, 2013; Volume 4, pp. 371–396. [Google Scholar] [CrossRef]
- Craig, G.A.; Murrie, M. 3d single-ion magnets. Chem. Soc. Rev. 2015, 44, 2135–2147. [Google Scholar] [CrossRef]
- Sarkar, A.; Dey, S.; Rajaraman, G. Role of Coordination Number and Geometry in Controlling the Magnetic Anisotropy in FeII, CoII, and NiII Single-Ion Magnets. Chem. Eur. J. 2020, 62, 14036–14058. [Google Scholar] [CrossRef]
- Bogani, L.; Wernsdorfer, W. Molecular spintronics using single-molecule magnets. Nat. Mater. 2008, 7, 179. [Google Scholar] [CrossRef]
- Song, X.; Liu, J.; Zhang, T.; Chen, L. 2D conductive metal-organic frameworks for electronics and spintronics. Sci. China Chem. 2020, 63, 1391–1401. [Google Scholar] [CrossRef]
- Zhang, Y.-Z.; Gómez-Coca, S.; Brown, A.J.; Saber, M.R.; Zhang, X.; Dunbar, K.R. Trigonal antiprismatic Co(II) single molecule magnets with large uniaxial anisotropies: Importance of Raman and tunneling mechanisms. Chem. Sci. 2016, 7, 6519–6527. [Google Scholar] [CrossRef] [PubMed]
- Bar, A.K.; Pichona, C.; Sutter, J.-P. Magnetic anisotropy in two- to eight-coordinated transition–metal complexes: Recent developments in molecular magnetism. Coord. Chem. Rev. 2016, 308, 346–380. [Google Scholar] [CrossRef]
- Nemec, I.; Herchel, R.; Trávníček, Z. Ferromagnetic coupling mediated by Co⋯π non-covalent contacts in a pentacoordinate Co(II) compound showing field-induced slow relaxation of magnetization. Dalton Trans. 2016, 45, 12479–12482. [Google Scholar] [CrossRef]
- Mondal, A.K.; Mondal, A.; Dey, B.; Konar, S. Influence of the Coordination Environment on Easy-Plane Magnetic Anisotropy of Pentagonal Bipyramidal Cobalt(II) Complexes. Inorg. Chem. 2018, 57, 9999–10008. [Google Scholar] [CrossRef]
- Rajnak, C.; Varga, F.; Titiš, J.; Moncoľ, J.; Roman Boča, R. Field-Supported Single-Molecule Magnets of Type [Co(bzimpy)X2]. Eur. J. Inorg. Chem. 2017, 13, 1915–1922. [Google Scholar] [CrossRef]
- Tripathi, S.; Dey, A.; Shanmugam, M.; Narayanan, R.S.; Chandrasekhar. Cobalt(II) Complexes as Single-Ion Magnets. Top. Organomet. Chem. 2019, 64, 35–75. [Google Scholar] [CrossRef]
- Frost, J.M.; Harriman, K.L.M.; Murugesu, M. The rise of 3-d single-ion magnets in molecular magnetism: Towards materials from molecules? Chem. Sci. 2016, 7, 2470–2491. [Google Scholar] [CrossRef]
- Krzystek, J.; Ozarowski, A.; Telser, J. Multi-frequency, high-field EPR as a powerful tool to accurately determine zero-field splitting in high-spin transition metal coordination complexes. Coord. Chem. Rev. 2006, 250, 2308–2324. [Google Scholar] [CrossRef]
- Gomez-Coca, S.; Cremades, E.; Aliaga-Alcalde, N.; Ruiz, E. Mononuclear Single-Molecule Magnets: Tailoring the Magnetic Anisotropy of First-Row Transition-Metal Complexes. J. Am. Chem. Soc. 2013, 135, 7010–7018. [Google Scholar] [CrossRef]
- Pasán, J.; Sanchiz, J.; Fabelo, Ó.; Cañadillas-Delgado, L.; Déniz, M.; Díaz-Gallifa, P.; Martínez-Benito, C.; Lloret, F.; Julve, M.; Ruiz-Pérez, C. Influence of the coligand in the magnetic properties of a series of copper(II)–phenylmalonate complexes. CrystEngComm 2014, 16, 8106–8118. [Google Scholar] [CrossRef]
- Zorina, E.N.; Zauzolkova, N.V.; Sidorov, A.A.; Aleksandrov, G.G.; Lermontov, A.S.; Kiskin, M.A.; Bogomyakov, A.S.; Mironov, V.S.; Novotortsev, V.M.; Eremenko, I.L. Novel polynuclear architectures incorporating Co2+ and K+ ions bound by dimethylmalonate anions: Synthesis, structure, and magnetic properties. Inorg. Chim. Acta. 2013, 396, 108–118. [Google Scholar] [CrossRef]
- Zorina-Tikhonova, E.N.; Chistyakov, A.S.; Matyukhina, A.K.; Efimov, N.N.; Shmelev, M.A.; Skabitsky, I.V.; Kiskin, M.A.; Sidorov, A.A.; Eremenko, I.L. Effect of substituent in malonate anions on the structure of Zn(II) coordination polymers. J. Struct. Chem. 2021, 62, 1209–1217. [Google Scholar] [CrossRef]
- Dobrokhotova, Z.V.; Gogoleva, N.V.; Zorina-Tikhonova, E.N.; Kiskin, M.A.; Chernyshev, V.V.; Emelina, A.L.; Bukov, M.A.; Goloveshkin, A.S.; Bushmarinov, I.S.; Sidorov, A.A.; et al. The use of malonate coordination polymers with CuII and BaII atoms for barium cuprate preparation. Eur. J. Inorg. Chem. 2015, 19, 3116–3127. [Google Scholar] [CrossRef]
- Bazhina, E.S.; Aleksandrov, G.G.; Sidorov, A.A.; Eremenko, I.L. The formation of polymeric structures in the M2+–VO2+ systems (M2+ = Sr2+, Ca2+) containing substituted malonate anions. Russian J. of Coord. Chem. 2015, 41, 730–740. [Google Scholar] [CrossRef]
- Zorina-Tikhonova, E.N.; Matyukhina, A.K.; Skabitskiy, I.V.; Shmelev, M.A.; Korchagin, D.V.; Babeshkin, K.A.; Efimov, N.N.; Kiskin, M.A.; Eremenko, I.L. Cobalt(II) Complexes Based on Benzylmalonate Anions Exhibiting Field-Induced Single-Ion Magnet Slow Relaxation Behavior. Crystals 2020, 10, 1130. [Google Scholar] [CrossRef]
- Bellamy, L.J. The Infra-Red Spectra of Complex Molecules; Springer: Dordrecht, The Netherlands, 1975. [Google Scholar] [CrossRef]
- Zorina-Tikhonova, E.N.; Matyukhina, A.K.; Aleksandrov, G.G.; Kiskin, M.A.; Sidorov, A.A.; Eremenko, I.L. Effect of initial CoII salts on the composition and structure of Cs-CoII dimethylmalonates. Russ. J. Inorg. Chem. 2020, 66, 179–186. [Google Scholar] [CrossRef]
- Alvarez, S.; Avnir, D.; Llunell, M.; Pinsky, M. Continuous symmetry maps and shape classification. The case of six-coordinated metal compounds. New J. Chem. 2002, 26, 996–1009. [Google Scholar] [CrossRef]
- Griffith, J.S. The Theory of Transition Metal Ions; Cambridge University Press: Cambridge, UK, 1964. [Google Scholar]
- Lloret, F.; Julve, M.; Cano, J.; Ruiz-García, R.; Pardo, E. Magnetic properties of six-coordinated high-spin cobalt(II) complexes: Theoretical background and its application. Inorg. Chim. Acta 2008, 361, 3432–3445. [Google Scholar] [CrossRef]
- Palii, A.V.; Korchagin, D.V.; Yureva, E.A.; Akimov, A.V.; Misochko, E.Y.; Shilov, G.V.; Talantsev, A.D.; Morgunov, R.B.; Aldoshin, S.M.; Tsukerblat, B.S. Single-Ion Magnet Et4N[CoII(hfac)3] with Nonuniaxial Anisotropy: Synthesis, Experimental Characterization, and Theoretical Modeling. Inorg. Chem. 2016, 55, 9696–9706. [Google Scholar] [CrossRef]
- Tupolova, Y.P.; Shcherbakov, I.N.; Popov, L.D.; Lebedev, V.E.; Tkachev, V.V.; Zakharov, K.V.; Vasiliev, A.N.; Korchagin, D.V.; Palii, A.V.; Aldoshin, S.M. Field-induced single-ion magnet behaviour of a hexacoordinated Co(II) complex with easy-axis-type magnetic anisotropy. Dalton Trans. 2019, 48, 6960–6970. [Google Scholar] [CrossRef] [PubMed]
- Singh, S.K.; Eng, J.; Atanasov, M.; Neese, F. Covalency and Chemical Bonding in Transition Metal Complexes: An Ab Initio Based Ligand Field Perspective. Coord. Chem. Rev. 2017, 344, 2–25. [Google Scholar] [CrossRef]
- Benelli, C.; Gatteschi, D. Magnetism of Lanthanides in Molecular Materials with Transition-Metal Ions and Organic Radicals. Chem. Rev. 2002, 102, 2369–2387. [Google Scholar] [CrossRef] [PubMed]
- Petrosyants, S.P.; Babeshkin, K.A.; Gavrikov, A.V.; Ilyukhin, A.B.; Belova, E.N.; Efimov, N.N. Towards comparative investigation of Er- and Yb-based SMMs: The effect of the coordination environment configuration on the magnetic relaxation in the series of heteroleptic thiocyanate complexes. Dalton Trans. 2019, 48, 12644–12655. [Google Scholar] [CrossRef] [PubMed]
- Murrie, M. Co(II) single-molecule magnets. Chem. Soc. Rev. 2010, 39, 1986–1995. [Google Scholar] [CrossRef] [PubMed]
- Gómez-Coca, S.; Urtizberea, A.; Cremades, E.; Alonso, P.J.; Camón, A.; Ruiz, E.; Luis, F. Origin of slow magnetic relaxation in Kramers ions with non-uniaxial anisotropy. Nat. Commun. 2014, 5, 4300. [Google Scholar] [CrossRef]
- Rigamonti, L.; Bridonneau, N.; Poneti, G.; Tesi, L.; Sorace, L.; Pinkowicz, D.; Jover, J.; Ruiz, E.; Sessoli, R.; Cornia, A. A Pseudo-Octahedral Cobalt(II) Complex with Bispyrazolylpyridine Ligands Acting as a Zero-Field Single-Molecule Magnet with Easy Axis Anisotropy. Chem. Eur. J. 2018, 24, 8857–8868. [Google Scholar] [CrossRef]
- Tripathi, S.; Vaidya, S.; Ahmed, N.; Klahn, E.A.; Cao, H.; Spillecke, L.; Koo, C.; Spachmann, S.; Klingeler, R.; Rajaraman, G.; et al. Structure-property correlation in stabilizing axial magnetic anisotropy in octahedral Co(II) complexes. Cell Rep. Phys. Sci. 2021, 2, 100404. [Google Scholar] [CrossRef]
- Tupolova, Y.P.; Shcherbakov, I.M.; Korchagin, D.V.; Tkachev, V.V.; Lebedev, V.E.; Popov, L.D.; Zakharov, K.V.; Vasiliev, A.N.; Palii, A.V.; Aldoshin, S.M. Fine-Tuning of Uniaxial Anisotropy and Slow Relaxation of Magnetization in the Hexacoordinate Co(II) Complexes with Acidoligands. J. Phys. Chem. C. 2020, 124, 25957–25966. [Google Scholar] [CrossRef]
- Świtlicka, A.; Machura, B.; Penkala, M.; Bieńko, A.; Bieńko, D.C.; Titiš, J.; Rajnák, C.; Boča, R.; Ozarowski, A. Slow magnetic relaxation in hexacoordinated cobalt(II) field-induced single-ion magnets. Inorg. Chem. Front. 2020, 7, 2637–2650. [Google Scholar] [CrossRef]
- Świtlicka-Olszewska, A.; Palion-Gazda, J.; Klemens, T.; Machura, V.B.; Vallejo, J.; Cano, J.; Lloret, F.; Julve, M. Single-ion magnet behaviour in mononuclear and two-dimensional dicyanamide-containing cobalt(ii) complexes. Dalton Trans. 2016, 45, 10181–10193. [Google Scholar] [CrossRef] [PubMed]
- Palion-Gazda, J.; Klemens, T.; Machura, B.; Vallejo, J.; Lloret, F.; Julve, M. Single ion magnet behavior in a two-dimensional network of dicyanamide-bridged cobalt(II) ions. Dalton Trans. 2015, 44, 2989–2992. [Google Scholar] [CrossRef] [PubMed]
- Nemec, I.; Fellner, O.F.; Indruchová, B.; Herchel, R. Trigonally Distorted Hexacoordinate Co(II) Single-Ion Magnets. Materials 2022, 15, 1064. [Google Scholar] [CrossRef] [PubMed]
- Wynn, C.M.; Gîrtu, M.A.; Brinckerhoff, W.B.; Sugiura, K.-I.; Miller, J.S.; Epstein, A.J. Magnetic Dipole-Dipole Interaction and Single-Ion Anisotropy: Revisiting a Classical Approach to Magnets. Chem. Mater. 1997, 9, 2156–2163. [Google Scholar] [CrossRef]
- Wang, J.; Dong, H.; Li, S.-W. Magnetic dipole-dipole interaction induced by the electromagnetic field. Phys. Rev. 2018, 97, 013819. [Google Scholar] [CrossRef]
- Krause, L.; Herbst-Irmer, R.; Sheldrick, G.M.; Stalke, D. Comparison of silver and molybdenum microfocus X-ray sources for single-crystal structure determination. J. Appl. Cryst. 2015, 48, 3–10. [Google Scholar] [CrossRef]
- Dolomanov, O.V.; Bourhis, L.J.; Gildea, R.J.; Howard, J.A.K.; Puschmann, H. OLEX2: A complete structure solution, refinement and analysis program. J. Appl. Cryst. 2009, 42, 339–341. [Google Scholar] [CrossRef]
- Sheldrick, G.M. A short history of SHELX. Acta Cryst. Sect. A. 2008, 64, 112–122. [Google Scholar] [CrossRef]
- Sheldrick, G.M. Crystal structure refinement with SHELXL. Acta Cryst. Sect. C. 2015, C71, 3–8. [Google Scholar] [CrossRef]
- Malmqvist, P.-Å.; Roos, B.O. The CASSCF state interaction method. Chem. Phys. Lett. 1989, 155, 189–194. [Google Scholar] [CrossRef]
- Angeli, C.; Cimiraglia, R.; Evangelisti, S.; Leininger, T.; Malrieu, J.P. Introduction of n-electron valence states for multireference perturbation theory. J. Chem. Phys. 2001, 114, 10252–10264. [Google Scholar] [CrossRef]
- Neese, F. The ORCA program system. Wiley Interdiscip. Rev. Comput. Mol. Sci. 2012, 2, 73–78. [Google Scholar] [CrossRef]
- Schäfer, A.; Huber, C.; Ahlrichs, R. Fully optimized contracted Gaussian basis sets of triple zeta valence quality for atoms Li to Kr. J. Chem. Phys. 1994, 100, 5829–5835. [Google Scholar] [CrossRef]
- Neese, F. An improvement of the resolution of the identity approximation for the formation of the Coulomb matrix. J. Comput. Chem. 2003, 24, 1740–1747. [Google Scholar] [CrossRef] [PubMed]
- Ganyushin, D.; Neese, F. First-principles calculations of zero-field splitting parameters. J. Chem. Phys. 2006, 125, 024103. [Google Scholar] [CrossRef] [PubMed]
- Neese, F. Efficient and accurate approximations to the molecular spin-orbit coupling operator and their use in molecular g-tensor calculations. J. Chem. Phys. 2005, 122, 034107. [Google Scholar] [CrossRef]
- Maurice, R.; Bastardis, R.; De Graaf, C.; Suaud, N.; Mallah, T.; Guihery, N. Universal Theoretical Approach to Extract Anisotropic Spin Hamiltonians. J. Chem. Theory Comput. 2009, 5, 2977–2984. [Google Scholar] [CrossRef]
- Mingos, D.M.P.; Day, P.; Dahl, J.P. Molecular Electronic Structures of Transition Metal Complexes II; Springer: Berlin/Heidelberg, Germany, 2012; Volume 143, pp. 149–220. [Google Scholar] [CrossRef]








| Complex | Metal | Term | Energy Levels | |
|---|---|---|---|---|
| Spin-Free State | Spin-Orbit State | |||
| 1 | Co1 | 4Eg | 0 | 0 268.9 |
| 155.6 | 594.0 925.0 | |||
| 4A2g | 1715.4 | 2118.0 2216.1 | ||
| Co2 | 4Eg | 0 | 0 237.9 | |
| 354.6 | 688.2 988.2 | |||
| 4A2g | 1666.0 | 2008.3 2109.3 | ||
| 2 | Co1 | 4Eg | 0 | 0 186.4 |
| 678.2 | 895.7 1143.3 | |||
| 4A2g | 1742.8 | 2015.6 2107.6 | ||
| Complex | 1 | 2 | |
|---|---|---|---|
| Optimal dc Field (Oe) | 1000 | 1500 | |
| Orbach | Temperature range (K) ΔE/kB (K) τ0 (s) | 6–8 48 5.2·10−8 | 7–8 37 2.0·10−7 |
| Orbach + Raman | Temperature range (K) C (K−n_Raman s−1) n_Raman ΔE/kB (K) τ0 (s) | 2–8 82 1.58 42 1.2·10−7 | 2–8 466 0.56 36 2.6·10−7 |
Publisher’s Note: MDPI stays neutral with regard to jurisdictional claims in published maps and institutional affiliations. |
© 2022 by the authors. Licensee MDPI, Basel, Switzerland. This article is an open access article distributed under the terms and conditions of the Creative Commons Attribution (CC BY) license (https://creativecommons.org/licenses/by/4.0/).
Share and Cite
Matyukhina, A.K.; Zorina-Tikhonova, E.N.; Goloveshkin, A.S.; Babeshkin, K.A.; Efimov, N.N.; Kiskin, M.A.; Eremenko, I.L. Field-Induced Slow Magnetic Relaxation in CoII Cyclopropane-1,1-dicarboxylates. Molecules 2022, 27, 6537. https://doi.org/10.3390/molecules27196537
Matyukhina AK, Zorina-Tikhonova EN, Goloveshkin AS, Babeshkin KA, Efimov NN, Kiskin MA, Eremenko IL. Field-Induced Slow Magnetic Relaxation in CoII Cyclopropane-1,1-dicarboxylates. Molecules. 2022; 27(19):6537. https://doi.org/10.3390/molecules27196537
Chicago/Turabian StyleMatyukhina, Anna K., Ekaterina N. Zorina-Tikhonova, Alexander S. Goloveshkin, Konstantin A. Babeshkin, Nikolay N. Efimov, Mikhail A. Kiskin, and Igor L. Eremenko. 2022. "Field-Induced Slow Magnetic Relaxation in CoII Cyclopropane-1,1-dicarboxylates" Molecules 27, no. 19: 6537. https://doi.org/10.3390/molecules27196537
APA StyleMatyukhina, A. K., Zorina-Tikhonova, E. N., Goloveshkin, A. S., Babeshkin, K. A., Efimov, N. N., Kiskin, M. A., & Eremenko, I. L. (2022). Field-Induced Slow Magnetic Relaxation in CoII Cyclopropane-1,1-dicarboxylates. Molecules, 27(19), 6537. https://doi.org/10.3390/molecules27196537

