Molecular Modeling Study of Novel Lancifolamide Bioactive Molecule as an Inhibitor of Acetylcholinesterase (AChE), Herpes Simplex Virus (HSV-1), and Anti-proliferative Proteins
Abstract
:1. Introduction
2. Materials and Methods
2.1. Plant Material
2.2. General Experimental Procedures
2.3. Extraction and Isolation
Lancifolamide (LFD)
2.4. Analysis of High-Performance Liquid Chromatography or HPLC
2.5. Molecular Docking
2.6. Antioxidant Assays
2.6.1. Scavenging Activity of DPPH Assay of Free Radical
2.6.2. Scavenging Activity of ABTS Cation Radical Assay
2.6.3. Assay of Inhibitory Activity of Lipid Peroxidation
2.6.4. CUPRAC (Cupric Reducing Antioxidant Capacity) Assay
2.7. In Vitro Cytotoxicity of Isolated Compound
2.8. Anticholinesterase Activity Assay
2.9. Virucidal Compound Effects or Extracts on HSV-1
2.10. Antimicrobial Studies
2.11. Statistical Analysis
3. Results
3.1. Extraction and Isolation
3.2. Analysis of High-Performance Liquid Chromatography or HPLC
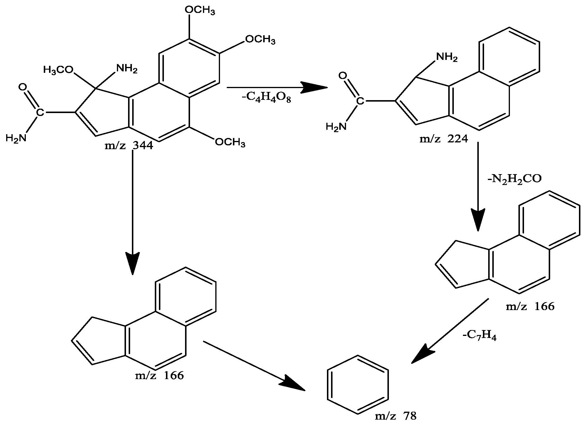
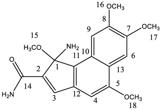
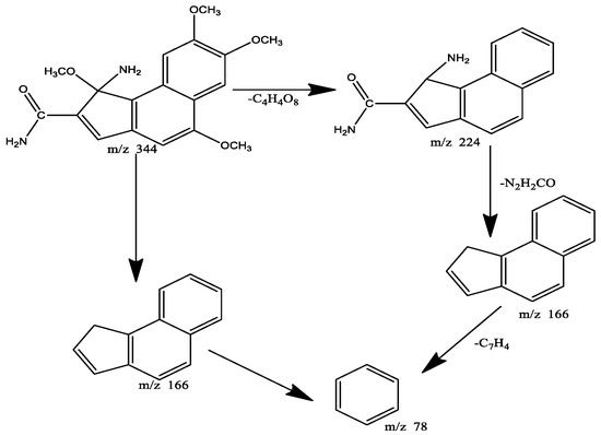
3.3. Structural Elucidation
3.4. Molecular Docking
3.5. Antioxidant Assays
3.5.1. Scavenging Activity of DPPH, ABTS, and Lipid Peroxidation Inhibitory Activity
3.5.2. CUPRAC (Cupric Reducing Antioxidant Capacity) Assay
3.6. Cytotoxic Assay
3.7. Anticholinesterase Activity Assay
3.8. Virucidal Effects of Compound and Extracts on HSV-1
3.9. Antimicrobial Studies
4. Discussion
5. Conclusions
Author Contributions
Funding
Institutional Review Board Statement
Informed Consent Statement
Data Availability Statement
Acknowledgments
Conflicts of Interest
References
- Ibach, B.; Haen, E. Acetylcholinesterase inhibition in Alzheimer’s Disease. Curr. Pharm. Des. 2004, 10, 231–251. [Google Scholar] [CrossRef] [PubMed]
- Greenstein, J.P. Biochemistry of Cancer; Elsevier: Amsterdam, The Netherlands, 2016. [Google Scholar]
- Vineis, P.; Wild, C.P. Global cancer patterns: Causes and prevention. Lancet 2014, 383, 549–557. [Google Scholar] [CrossRef]
- Casey, D.A.; Antimisiaris, D.; O’Brien, J. Drugs for Alzheimer’s disease: Are they effective? Pharm. Ther. 2010, 35, 208. [Google Scholar]
- Abdel-Hameed, E.-S.S.; Bazaid, S.A.; Shohayeb, M.M.; El-Sayed, M.M.; El-Wakil, E.A. Phytochemical Studies and Evaluation of Antioxidant, Anticancer and Antimicrobial Properties of Conocarpus erectus L. Growing in Taif, Saudi Arabia. Eur. J. Med. Plants 2012, 2, 93–112. [Google Scholar] [CrossRef]
- Wei, J.-C.; Huang, H.-H.; Zhong, N.-F.; Gao, Y.-N.; Liu, X.-L.; Long, G.-Q.; Hu, G.-S.; Wang, A.-H.; Jia, J.-M. Euphorfistrines AG, cytotoxic and AChE inhibiting triterpenoids from the roots of Euphorbia fischeriana. Bioorganic Chem. 2021, 116, 105395. [Google Scholar] [CrossRef]
- Schnitzler, P.; Nolkemper, S.; Stintzing, F.; Reichling, J. Comparative in vitro study on the anti-herpetic effect of phytochemically characterized aqueous and ethanolic extracts of Salvia officinalis grown at two different locations. Phytomedicine 2008, 15, 62–70. [Google Scholar] [CrossRef]
- Swarup, V.; Ghosh, J.; Ghosh, S.; Saxena, A.; Basu, A. Antiviral and anti-inflammatory effects of rosmarinic acid in an experimental murine model of Japanese encephalitis. Antimicrob. Agents Chemother. 2007, 51, 3367–3370. [Google Scholar] [CrossRef]
- Abdel-Megeed, A. In-vitro Antibacterial Activities of Alkaloids Extract from Leaves of Conocarpus lancifolius Engl. J. Pure Appl. Microbiol. 2013, 7, 1903–1907. [Google Scholar]
- Saadullah, M.; Chaudary, B.A.; Uzair, M.; Afzal, K. Anti-diabetic potential of Conocarpus lancifolius. Bangladesh J. Pharmacol. 2014, 9, 244–249. [Google Scholar] [CrossRef]
- Yilmaz, A.; Boga, M.; Topçu, G. Novel terpenoids with potential anti-alzheimer activity from Nepeta obtusicrena. Rec. Nat. Prod. 2016, 10, 5300. [Google Scholar]
- Xiao, J.; Chen, G.; Li, N. Ionic liquid solutions as a green tool for the extraction and isolation of natural products. Molecules 2018, 23, 1765. [Google Scholar] [CrossRef] [PubMed]
- Baroon, Z.; Razzaque, M.A. Nutritional Evaluation And Palatability Trial Of Ensiled Conocarpus Greenery Residues. Exp. Agric. 2011, 48, 138–147. [Google Scholar] [CrossRef]
- Rasheed, F.; Zafar, Z.; Waseem, Z.A.; Rafay, M.; Abdullah, M.; Salam, M.M.A.; Mohsin, M.; Khan, W.Z. Phytoaccumulation of Zn, Pb, and Cd in Conocarpus lancifolius irrigated with wastewater: Does physiological response influence heavy metal uptake? Int. J. Phytoremediation 2020, 22, 287–294. [Google Scholar] [CrossRef] [PubMed]
- Saleem, M.; Javed, F.; Asif, M.; Kashif Baig, M.; Arif, M. HPLC Analysis and In Vivo Renoprotective Evaluation of Hydroalcoholic Extract of Cucumis melo Seeds in Gentamicin-Induced Renal Damage. Medicina 2019, 55, 107. [Google Scholar] [CrossRef]
- Vichai, V.; Kirtikara, K. Sulforhodamine B colorimetric assay for cytotoxicity screening. Nat. Protoc. 2006, 1, 1112–1116. [Google Scholar] [CrossRef]
- Cheung, J.; Rudolph, M.J.; Burshteynet, F.; Cassidy, M.S.; Garyal, E.N.; Love, J.; Franklin, M.C.; Height, J.J. Structures of human acetylcholinesterase in complex with pharmacologically important ligands. J. Med. Chem. 2012, 22, 10282–10286. [Google Scholar] [CrossRef]
- Jain, A.N. Surflex: Fully automatic flexible molecular docking using a molecular similarity-based search engine. J. Med. Chem. 2003, 46, 499–511. [Google Scholar] [CrossRef]
- Liu, S.; Knafels, J.D.; Chang, J.S.; Waszak, G.A.; Baldwin, E.T.; Deibel, M.R.; Thomsen, D.R.; Homa, F.L.; Wells, P.A.; Tory, M.C.; et al. Crystal structure of the herpes simplex virus 1 DNA polymerase. J. Biol. Chem. 2006, 281, 18193–18200. [Google Scholar] [CrossRef]
- Clark, M.; Cramer, R.D., III; Van Opdenbosch, N. Validation of the general purpose Tripos 5. 2 force field. J. Comput. Chem. 1989, 10, 982–1012. [Google Scholar] [CrossRef]
- Chohan, T.A.; Chen, J.-J.; Qian, H.-Y.; Pan, Y.-L.; Chen, J.-Z. Molecular modeling studies to characterize N-phenylpyrimidin-2-amine selectivity for CDK2 and CDK4 through 3D-QSAR and molecular dynamics simulations. Mol. BioSystems 2016, 12, 1250–1268. [Google Scholar] [CrossRef]
- Hati, S.; Tripathy, S.; Dutta, P.K.; Agarwal, R.; Srinivasan, R.; Singh, A.; Singh, S.; Sen, S. Spiro[pyrrolidine-3, 3’-oxindole] as potent anti-breast cancer compounds: Their design, synthesis, biological evaluation and cellular target identification. Sci. Rep. 2016, 6, 32213. [Google Scholar] [CrossRef] [PubMed]
- Olano, C.; Méndez, C.; Salas, J.A. Antitumor compounds from marine actinomycetes. Mar. Drugs 2009, 7, 210–248. [Google Scholar] [CrossRef]
- Greenwell, M.; Rahman, P.K. Medicinal Plants: Their Use in Anticancer Treatment. Int. J. Pharm. Sci. Res. 2015, 6, 4103–4112. [Google Scholar] [PubMed]
- Ramirez-Garcia, A.; Rementeria, A.; Aguirre-Urizar, J.M.; Moragues, M.D.; Antoran, A.; Pellon, A.; Abad-Diaz-de-Cerio, A.; Hernando, F.L. Candida albicans and cancer: Can this yeast induce cancer development or progression? Crit. Rev. Microbiol. 2016, 42, 181–193. [Google Scholar] [PubMed]
- Majumdar, P.; Bathula, C.; Basu, S.M.; Das, S.K.; Agarwal, R.; Hati, S.; Singh, A.; Sen, S.; Das, B.B. Design, synthesis and evaluation of thiohydantoin derivatives as potent topoisomerase I (Top1) inhibitors with anticancer activity. Eur. J. Med. Chem. 2015, 102, 540–551. [Google Scholar] [CrossRef] [PubMed]
- Cerella, C.; Dicato, M.; Jacob, C.; Diederich, M. Chemical properties and mechanisms determining the anti-cancer action of garlic-derived organic sulfur compounds. Anti-Cancer Agents Med. Chem. 2011, 11, 267–271. [Google Scholar] [CrossRef]
- Mousset, S.; Buchheidt, D.; Heinz, W.; Ruhnke, M.; Cornely, O.A.; Egerer, G.; Krüger, W.; Link, H.; Neumann, S.; Ostermann, H.; et al. Treatment of invasive fungal infections in cancer patients-updated recommendations of the Infectious Diseases Working Party (AGIHO) of the German Society of Hematology and Oncology (DGHO). Ann. Hematol. 2014, 93, 13–32. [Google Scholar] [CrossRef]
- Miglani, R.; Cliffe, I.A.; Voleti, S.R. Assessment of the putative binding conformation of a pyrazolopyridine class of inhibitors of MAPKAPK2 using computational studies. Eur. J. Med. Chem. 2010, 45, 98–105. [Google Scholar] [CrossRef]
- Ibrar, A.; Khan, A.; Ali, M.; Sarwar, R.; Mehsud, S.; Farooq, U.; Halimi, S.M.A.; Khan, I.; Al-Harrasi, A. Combined in vitro and in silico studies for the anticholinesterase activity and pharmacokinetics of coumarinyl thiazoles and oxadiazoles. Front. Chem. 2018, 6, 61. [Google Scholar] [CrossRef]
- Zarrouk, K.; Piret, J.; Boivin, G. Herpesvirus DNA polymerases: Structures, functions and inhibitors. Virus Res. 2017, 234, 177–192. [Google Scholar] [CrossRef]
- Grover, A.; Agrawal, V.; Shandilya, A.; Bisaria, V.S.; Sundar, D. Non-nucleosidic inhibition of Herpes simplex virus DNA polymerase: Mechanistic insights into the anti-herpetic mode of action of herbal drug withaferin A. BMC Bioinform. 2011, 12, S22. [Google Scholar] [CrossRef] [PubMed]
- Siegel, R.L.; Miller, K.D.; Jemal, A. Cancer statistics, 2016. CA Cancer J. Clin. 2016, 66, 7–30. [Google Scholar] [CrossRef] [PubMed]
- E Prota, A.; Bargsten, K.; Zurwerra, D.; Field, J.J.; Díaz, J.F.; Altmann, K.-H.; O Steinmetz, M. Molecular mechanism of action of microtubule-stabilizing anticancer agents. Science 2013, 339, 587–590. [Google Scholar] [CrossRef] [PubMed] [Green Version]
- Rizzo, G.; Copettiet, M.; Arcuti, S.; Martino, D.; Fontana, A.; Logroscino, G. Accuracy of clinical diagnosis of Parkinson disease: A systematic review and meta-analysis. Neurology 2016, 6, 566–576. [Google Scholar] [CrossRef]
- Smith, M.A.; Rottkamp, C.A.; Nunomura, A.; Raina, A.K.; Perry, G. Oxidative stress in Alzheimer’s disease. Biochim. Biophys. Acta (BBA)-Mol. Basis Dis. 2000, 1502, 139–144. [Google Scholar] [CrossRef]
- Rehman, K.; Chohan, T.A.; Waheed, I.; Gilani, Z.; Akash, M.S.H. Taxifolin prevents postprandial hyperglycemia by regulating the activity of α-amylase: Evidence from an in vivo and in silico studies. J. Cell. Biochem. 2019, 1, 425–438. [Google Scholar] [CrossRef]
- Stankovic, M.S. Total phenolic content, flavonoid concentration and antioxidant activity of Marrubium peregrinum L. extracts. Kragujev. J. Sci. 2011, 33, 63–72. [Google Scholar]
- Santos, T.C.D.; Gomes, T.M.; Pinto, B.A.S.; Camara, A.L.; Paes, A.M.D.A. Naturally Occurring Acetylcholinesterase Inhibitors and Their Potential Use for Alzheimer’s Disease Therapy. Front. Pharmacol. 2018, 9, 1192. [Google Scholar] [CrossRef]
- Ogbole, O.O.; Segun, P.A.; Adeniji, A.J. In vitro cytotoxic activity of medicinal plants from Nigeria ethnomedicine on Rhabdomyosarcoma cancer cell line and HPLC analysis of active extracts. BMC Complementary Altern. Med. 2017, 17, 494. [Google Scholar] [CrossRef]






| Carbon No. | Multiplicity DEPT | C13–NMR (δ) | Proton NMR | J. Value |
|---|---|---|---|---|
| C–1 | C | 109.50 | - | - |
| C–2 | C | 138.20 | - | - |
| C–3 | CH | 138.54 | 6.636 d | (J = 3.2, Hz, H-1) |
| C–4 | CH | 109.24 | 6.633 d | (J = 2.6, Hz, H-2) |
| C–5 | C | 108.20 | - | - |
| C–6 | CH | 109.40 | - | - |
| C–7 | C | 109.91 | - | |
| C–8 | C | 113.55 | - | - |
| C–9 | CH | 139.35 | - | - |
| C–10 | C | 139.92 | ||
| C–11 | C | 148.72 | - | - |
| C–12 | C | 105.55 | 6.857 d | (J = 3.1, 2.4 Hz, H-2) |
| C–13 | C | 110.22 | - | - |
| C–14 | C | 152.90 | - | - |
| C–15 | OCH3 | 54.45 | 3.347 s | (J = 4.2 Hz) |
| C–16 | OCH3 | 59.20 | 3.984 s | (J = 5.5 Hz) |
| C–17 | OCH3 | 60.55 | 4.580 s | (J = 4.4 Hz) |
| C–18 | OCH3 | 60.55 | 4.635 s | (J = 4.4 Hz) |
| Protein | Ligand | CScore a | Crash Score b | Polar Score c | D Score d | PMF Score e | G Score f | Chem Score g | Amino Acid Interaction |
|---|---|---|---|---|---|---|---|---|---|
| Acetylcholine | LFD | 6.63 | −1.81 | 1.17 | −148.754 | −13.63 | −217.817 | −17.05 | G120, G121, G122, E202, H447, |
| GLM | 5.64 | −1.70 | 0.00 | −132.573 | −5.102 | −256.580 | −23.36 | G120, S125, Y133, | |
| DNA polymerase | ACV | 10.32 | −0.55 | 6.59 | −105.060 | −33.78 | −175.87 | −0.087 | Y101, E225, R176, M128, |
| LFD | 9.09 | −3.83 | 4.17 | −159.13 | −13.86 | −308 | −22.11 | R176, R222, M128, Y132 | |
| BCL-xl | LFD | 6.72 | −1.18 | 0.10 | −129.044 | −51.80 | −255.476 | −20.96 | S106, E129, R132, R139, |
| BCL-2 | LFD | 4.18 | −0.56 | 1.89 | −86.197 | −0.466 | −134.869 | −14.15 | Q118, A149 |
| Caspase-3 | LFD | 4.78 | −1.05 | 2.01 | −92.743 | 29.101 | −148.402 | −7.972 | H121, G122, E123, T166, |
| NF-kb | LFD | 3.86 | −4.33 | 2.73 | −169.628 | 114.664 | −300.937 | −22.57 | Y319, D321, S329 |
| TNF-α | LFD | 2.77 | −1.13 | 1.57 | −79.118 | −63.603 | −129.618 | −17.08 | Y59, Q149 |
| Antioxidant Assays | CLD * | CLM ** | LFD *** | BHT | BHA | α-Tocopherol |
|---|---|---|---|---|---|---|
| DPPH | NA | 162.21 ± 4.56 | NA | 74.59 ± 1.98 | 16.19 ± 0.56 | 33.09 ± 0.68 |
| ABTS | NA | 69.16 ± 2.29 | 173.15 ± 6.73 | 18.35 ± 0.67 | 12.66 ± 0.47 | 19.35 ± 0.21 |
| β-Caroten | 139.12 ± 0.20 | NA | 140.91 ± 4.85 | 6.24 ± 0.39 | 5.06 ± 0.37 | 0.53 ± 0.73 |
| Concentrations | 10 μg/mL | 25 μg/mL | 50 μg/mL | 100 μg/mL |
|---|---|---|---|---|
| CLD * | 0.13 ± 1.20 | 0.17 ± 0.42 | 0.22 ± 1.64 | 0.30 ± 2.35 |
| CLM ** | 0.13 ± 2.62 | 0.21 ± 1. 05 | 0.32 ± 0.65 | 0.49 ± 0.30 |
| Lancifolamide | 0.11 ± 2.54 | 0.19 ± 2.10 | 0.26 ± 1.85 | 0.41± 2.11 |
| BHA | 1.22 ± 0.35 | 1.60 ± 0.62 | 2.10 ± 0.55 | 2.39 ± 0.15 |
| BHT | 1.49 ± 1.15 | 1.78 ± 1.36 | 2.04 ± 0.70 | 2.42 ± 0.45 |
| α-Tocopherol | 0.29 ± 1.20 | 0.52 ± 0.90 | 0.68 ± 0.25 | 1.28 ± 1.10 |
| Crude Extracts/Pure Compounds | Cancer Cells | Normal Cells | ||||
|---|---|---|---|---|---|---|
| P-388 | Col-2 | MCF-7 | Lu-1 | ASK | Hek293 | |
| Dichloromethane | 8.15 ± 2.11 | 7.24 ± 2.50 | 1.19 ± 1.40 | 11.65 ± 1.95 | 9.04 ± 1.65 | 5.32 ± 0.54 |
| Methanol | 2.06 ± 2.01 | 8.14 ± 3.10 | 0.85 ± 2.66 | 7.64 ± 0.45 | 5.40 ± 0.30 | <4.00 |
| Compound (lancifolamide) | 2.01 ± 3.15 | NR * | 0.72 ± 3.92 | NR * | 2.40 ± 2.55 | 1.55 ± 1.02 |
| Ellipticine (Positive control) | 0.42 ± 0.03 | 0.53 ± 0.11 | 0.36 ± 0.92 | 0.22 ± 0.73 | 0.23 ± 0.70 | 0.57 ± 1.63 |
| Sample | Inhibition % against BChE | Inhibition % against AChE | IC50 Values in μg/mL of AChE |
|---|---|---|---|
| CLD * | 09.04 ± 0.11 | 69.10 ± 3.32 | 25.14 ± 2.62 |
| CLM ** | 5.73 ± 0.07 | 62.45 ± 2.53 | 29.55 ± 2.10 |
| Lancifolamide | 24.04 ± 1.93 | 60.30 ± 2.86 | 34.62 ± 1.40 |
| Galantamine | 76.25 ± 4.51 | 75.20 ± 2.78 | 13.20 ± 0.15 |
| Compound | IC50 (mg/mL) | IP (%) |
|---|---|---|
| CLM | >100 | 17 ± 1.08 |
| CLD | >100 | 13 ± 0.86 |
| Lancifolamide | >100 | 26 ± 1.89 |
| Bacteria | Microorganisms | Activity | CLD | CLM | Lancifolamide | RA |
| B. subtilis | MIC | 0.275 | 0.275 | 0.275 | 7.8 | |
| MBC | 0.55 | 0.55 | 0.55 | 15.6 | ||
| S. mutans | MIC | 1.10 | 2.20 | 1.10 | 7.8 | |
| MBC | 2.20 | 4.40 | 2.20 | 15.6 | ||
| B. laterosporus | MIC | 0.137 | 0.275 | 0.137 | 3.9 | |
| MBC | 0.275 | 0.55 | 0.275 | 7.8 | ||
| S. typhi | MIC | 0.275 | 0.55 | 0.137 | 3.9 | |
| MBC | 0.55 | 1.10 | 0.275 | 7.8 | ||
| Fungi | C. albicans | MIC | 0.55 | 2.20 | 0.55 | NT |
| MFC | 1.10 | 4.40 | 1.10 | NT | ||
| C. neoformans | MIC | 0.275 | 0.275 | 0.275 | NT | |
| MFC | 0.55 | 0.55 | 0.55 | NT |
Publisher’s Note: MDPI stays neutral with regard to jurisdictional claims in published maps and institutional affiliations. |
© 2022 by the authors. Licensee MDPI, Basel, Switzerland. This article is an open access article distributed under the terms and conditions of the Creative Commons Attribution (CC BY) license (https://creativecommons.org/licenses/by/4.0/).
Share and Cite
Saadullah, M.; Farid, A.; Ali, A.; Rashad, M.; Naseem, F.; Rashid, S.A.; Ghazanfar, S.; Yasin, M.; Akhtar, N.; Almuhayawi, M.S.; et al. Molecular Modeling Study of Novel Lancifolamide Bioactive Molecule as an Inhibitor of Acetylcholinesterase (AChE), Herpes Simplex Virus (HSV-1), and Anti-proliferative Proteins. Molecules 2022, 27, 5480. https://doi.org/10.3390/molecules27175480
Saadullah M, Farid A, Ali A, Rashad M, Naseem F, Rashid SA, Ghazanfar S, Yasin M, Akhtar N, Almuhayawi MS, et al. Molecular Modeling Study of Novel Lancifolamide Bioactive Molecule as an Inhibitor of Acetylcholinesterase (AChE), Herpes Simplex Virus (HSV-1), and Anti-proliferative Proteins. Molecules. 2022; 27(17):5480. https://doi.org/10.3390/molecules27175480
Chicago/Turabian StyleSaadullah, Malik, Arshad Farid, Asad Ali, Muhammad Rashad, Faiza Naseem, Sheikh Abdur Rashid, Shakira Ghazanfar, Muhammad Yasin, Nosheen Akhtar, Mohammed S. Almuhayawi, and et al. 2022. "Molecular Modeling Study of Novel Lancifolamide Bioactive Molecule as an Inhibitor of Acetylcholinesterase (AChE), Herpes Simplex Virus (HSV-1), and Anti-proliferative Proteins" Molecules 27, no. 17: 5480. https://doi.org/10.3390/molecules27175480
APA StyleSaadullah, M., Farid, A., Ali, A., Rashad, M., Naseem, F., Rashid, S. A., Ghazanfar, S., Yasin, M., Akhtar, N., Almuhayawi, M. S., Alruhaili, M. H., & Selim, S. (2022). Molecular Modeling Study of Novel Lancifolamide Bioactive Molecule as an Inhibitor of Acetylcholinesterase (AChE), Herpes Simplex Virus (HSV-1), and Anti-proliferative Proteins. Molecules, 27(17), 5480. https://doi.org/10.3390/molecules27175480

