Piezo-Responsive Hydrogen-Bonded Frameworks Based on Vanillin-Barbiturate Conjugates
Abstract
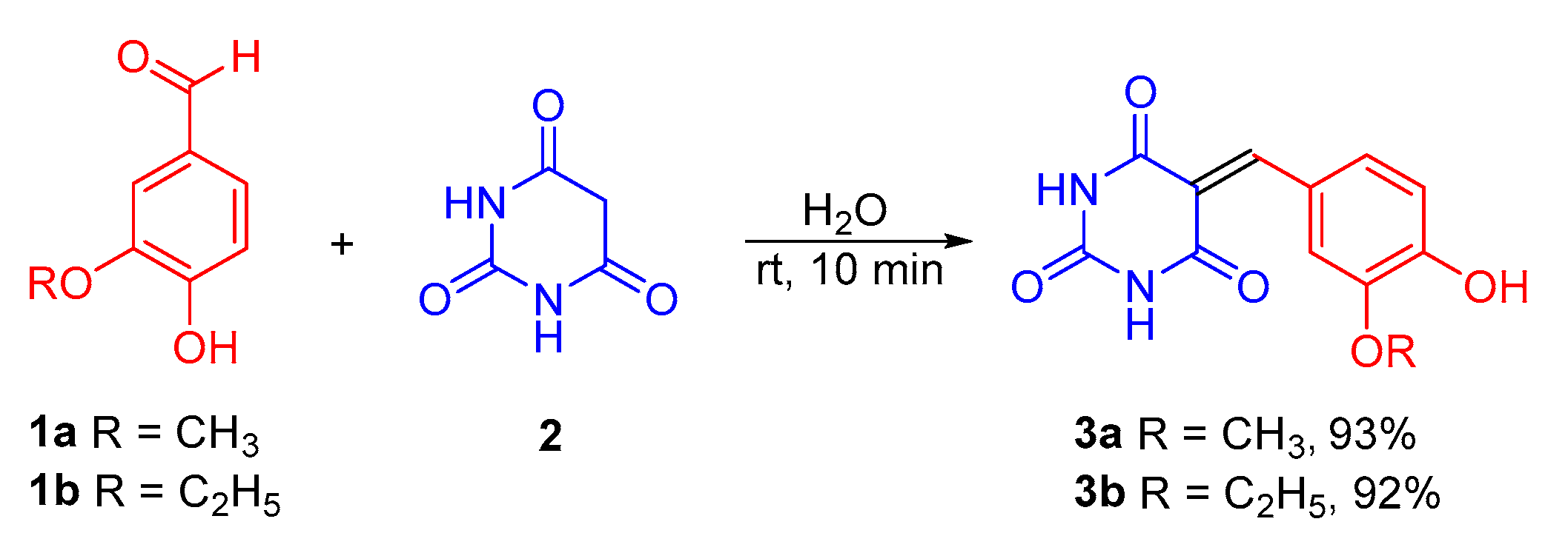
:1. Introduction
2. Results and Conclusions
3. Materials and Methods
Supplementary Materials
Author Contributions
Funding
Institutional Review Board Statement
Informed Consent Statement
Data Availability Statement
Conflicts of Interest
Sample Availability
References
- Mahapatra, S.D.; Mahapatra, P.C.; Aria, A.I.; Christie, G.; Mishra, Y.K.; Hofmann, S.; Thakur, V.K. Piezoelectric materials for energy harvesting and sensing applications: Roadmap for future smart materials. Adv. Sci. 2021, 8, 2100864. [Google Scholar]
- Huang, C.R.; Li, Y.; Xie, Y.; Du, Y.; Peng, H.; Zeng, Y.-L.; Liu, J.-C.; Xiong, R.-G. The first high-temperature supramolecular radical ferroics. Angew. Chem. Int. Ed. 2021, 60, 16668–16673. [Google Scholar] [CrossRef] [PubMed]
- Liu, X.; Zhu, G.; He, D.; Gu, L.; Shen, P.; Cui, G.; Wang, S.; Shi, Z.; Miyajima, D.; Wang, S.; et al. Guest-mediated hierarchical self-assembly of dissymmetric organic cages to form supramolecular ferroelectrics. CCS Chem. 2021, 3, 2420–2428. [Google Scholar] [CrossRef]
- Guerin, S.; Tofail, S.A.M.; Thompson, D. Organic piezoelectric materials: Milestones and potential. NPG Asia Mater. 2019, 11, 10. [Google Scholar] [CrossRef]
- Urbanaviciute, I.; Meng, X.; Biler, M.; Wei, Y.; Cornelissen, T.D.; Bhattacharjee, S.; Linares, M.; Kemerin, M. Negative piezoelectric effect in an organic supramolecular ferroelectric. Mater. Horiz. 2019, 6, 1688–1698. [Google Scholar] [CrossRef]
- Pralle, M.U.; Urayama, K.; Tew, G.N.; Neher, D.; Wegner, G.; Stupp, S.I. Piezoelectricity in polar supramolecular materials. Angew. Chem. Int. Ed. 2000, 39, 1486–1489. [Google Scholar] [CrossRef]
- Bdikin, I.K.; Gracio, J.; Ayouchi, R.; Schwarz, R.; Kholkin, A.L. Local piezoelectric properties of ZnO thin films prepared by RF-plasma-assisted pulsed-laser deposition method. Nanotechnology 2010, 21, 235703. [Google Scholar] [CrossRef]
- Xu, Q.; Gao, X.; Zhao, S.; Liu, Y.-N.; Zhang, D.; Zhou, K.; Khanbareh, H.; Chen, W.; Zhang, Y.; Bowen, C. Construction of bio-piezoelectric platforms: From structures and synthesis to applications. Adv. Mater. 2021, 33, 2008452. [Google Scholar] [CrossRef]
- Guerin, S.; Stapleton, A.; Chovan, D.; Mouras, R.; Gleeson, M.; McKeown, C.; Noor, M.R.; Silien, C.; Rhen, F.M.F.; Kholkin, A.L.; et al. Control of piezoelectricity in amino acids by supramolecular packing. Nat. Mater. 2018, 17, 180–186. [Google Scholar] [CrossRef]
- Nguyen, V.; Zhu, R.; Jenkins, K.; Yang, R. Self-assembly of diphenylalanine peptide with controlled polarization for power generation. Nat. Commun. 2016, 7, 13566. [Google Scholar] [CrossRef] [PubMed]
- Dishon, S.; Ushakov, A.; Nuraeva, A.; Ehre, D.; Lahav, M.; Shur, V.; Kholkin, A.; Lubomirsky, I. Surface piezoelectricity and pyroelectricity in centrosymmetric materials: A case of α-glycine. Materials 2020, 13, 4663. [Google Scholar] [CrossRef] [PubMed]
- Shilovskikh, V.V.; Timralieva, A.A.; Nesterov, P.V.; Novikov, A.S.; Sitnikov, P.A.; Konstantinova, E.A.; Kokorin, A.I.; Skorb, E.V. Melamine–barbiturate supramolecular assembly as a pH-dependent organic radical trap material. Chem. Eur. J. 2020, 26, 16603–16610. [Google Scholar] [CrossRef] [PubMed]
- Isobe, A.; Prabhu, D.D.; Datta, S.; Aizawa, T.; Yagai, S. Effect of an aromatic solvent on hydrogen-bond-directed supramolecular polymerization leading to distinct topologies. Chem. Eur. J. 2020, 26, 8997–9004. [Google Scholar] [CrossRef] [PubMed]
- Kawaura, M.; Aizawa, T.; Takahashi, S.; Miyasaka, H.; Sotome, H.; Yagai, S. Fluorescent supramolecular polymers of barbiturate dyes with thiophene-cored twisted π-systems. Chem. Sci. 2022, 13, 1281–1287. [Google Scholar] [CrossRef]
- Lukin, S.; Tireli, M.; Lončarić, I.; Barišić, D.; Šket, P.; Vrsaljko, D.; di Michiel, M.; Plavec, J.; Užarević, K.; Halasz, I. Mechanochemical carbon–carbon bond formation that proceeds via a cocrystal intermediate. Chem. Commun. 2018, 54, 13216–13219. [Google Scholar] [CrossRef]
- Lukin, S.; Tireli, M.; Lončarić, I.; Barišić, D.; Šket, P.; Vrsaljko, D.; di Michiel, M.; Plavec, J.; Užarević, K.; Halasz, I. Reaction of 6-aminouracils with aldehydes in water as both solvent and reactant under FeCl3·6H2O catalysis: Towards 5-alkyl/arylidenebarbituric acid. RSC Adv. 2014, 4, 32207–32213. [Google Scholar]
- Neese, F. The ORCA program system. Wiley Interdiscip. Rev. Comput. Mol. Sci. 2012, 2, 73–78. [Google Scholar] [CrossRef]
- Neese, F. An improvement of the resolution of the identity approximation for the formation of the Coulomb matrix. J. Comput. Chem. 2003, 24, 1740–1747. [Google Scholar] [CrossRef] [PubMed]
- Zelenovskii, P.S.; Romanyuk, K.; Liberato, M.S.; Brandão, P.; Ferreira, F.F.; Kopyl, S.; Mafra, L.M.; Alves, W.A.; Kholkin, A.L. 2D layered dipeptide crystals for piezoelectric applications. Adv. Funct. Mater. 2021, 31, 2102524. [Google Scholar] [CrossRef]
- Gwyddion. Available online: http://www.gwyddion.net (accessed on 21 April 2022).




Publisher’s Note: MDPI stays neutral with regard to jurisdictional claims in published maps and institutional affiliations. |
© 2022 by the authors. Licensee MDPI, Basel, Switzerland. This article is an open access article distributed under the terms and conditions of the Creative Commons Attribution (CC BY) license (https://creativecommons.org/licenses/by/4.0/).
Share and Cite
Nebalueva, A.S.; Timralieva, A.A.; Sadovnichii, R.V.; Novikov, A.S.; Zhukov, M.V.; Aglikov, A.S.; Muravev, A.A.; Sviridova, T.V.; Boyarskiy, V.P.; Kholkin, A.L.; et al. Piezo-Responsive Hydrogen-Bonded Frameworks Based on Vanillin-Barbiturate Conjugates. Molecules 2022, 27, 5659. https://doi.org/10.3390/molecules27175659
Nebalueva AS, Timralieva AA, Sadovnichii RV, Novikov AS, Zhukov MV, Aglikov AS, Muravev AA, Sviridova TV, Boyarskiy VP, Kholkin AL, et al. Piezo-Responsive Hydrogen-Bonded Frameworks Based on Vanillin-Barbiturate Conjugates. Molecules. 2022; 27(17):5659. https://doi.org/10.3390/molecules27175659
Chicago/Turabian StyleNebalueva, Anna S., Alexandra A. Timralieva, Roman V. Sadovnichii, Alexander S. Novikov, Mikhail V. Zhukov, Aleksandr S. Aglikov, Anton A. Muravev, Tatiana V. Sviridova, Vadim P. Boyarskiy, Andrei L. Kholkin, and et al. 2022. "Piezo-Responsive Hydrogen-Bonded Frameworks Based on Vanillin-Barbiturate Conjugates" Molecules 27, no. 17: 5659. https://doi.org/10.3390/molecules27175659
APA StyleNebalueva, A. S., Timralieva, A. A., Sadovnichii, R. V., Novikov, A. S., Zhukov, M. V., Aglikov, A. S., Muravev, A. A., Sviridova, T. V., Boyarskiy, V. P., Kholkin, A. L., & Skorb, E. V. (2022). Piezo-Responsive Hydrogen-Bonded Frameworks Based on Vanillin-Barbiturate Conjugates. Molecules, 27(17), 5659. https://doi.org/10.3390/molecules27175659

