The Efficacy of Aprotinin Combinations with Selected Antiviral Drugs in Mouse Models of Influenza Pneumonia and Coronavirus Infection Caused by SARS-CoV-2
Abstract
:1. Introduction
2. Results
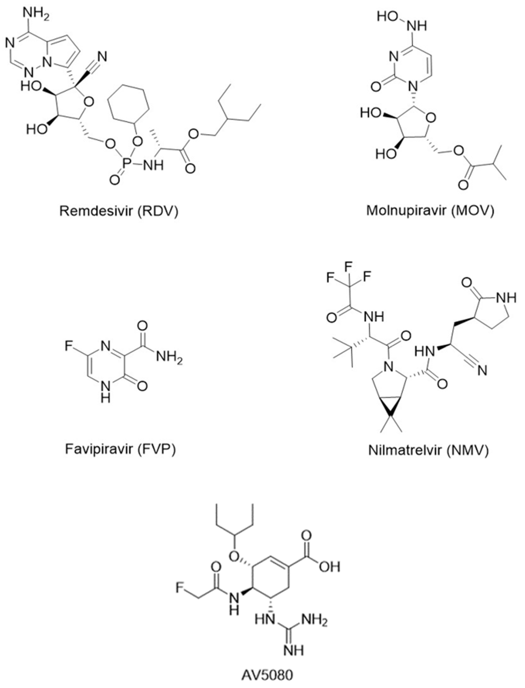
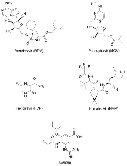
2.1. Efficacy of the Combinational Use of Aprotinin (APR) Is Higher Than Selected Antiviral Drugs in a Model of Influenza Pneumonia in Mice Infected Intranasally with Influenza A/CA/04/2009 (H1N1)
2.2. Efficacy of the Combinatorial Use of Aprotinin (APR) Is Higher Than the Individual Use of APR and Selected Antiviral Drugs in a Model of Coronavirus Infection Caused by SARS-CoV-2 in Transgenic Mice
3. Discussion
4. Materials and Methods
4.1. Drugs
4.2. Mice
4.3. Virus and Cell Lines
4.4. Study Design
4.4.1. Study Design of the Combinatorial Use of APR and Inhibitors of RNA Viruses in a Model of Influenza Pneumonia in Mice
4.4.2. Study Design of the Combinatorial Use of APR and Inhibitors of RNA Viruses in a Model of Coronavirus Infection Caused by SARS-CoV-2 in Transgenic Mice
5. Conclusions
Supplementary Materials
Author Contributions
Funding
Institutional Review Board Statement
Informed Consent Statement
Data Availability Statement
Acknowledgments
Conflicts of Interest
Sample Availability
References
- Cucinotta, D.; Vanelli, M. WHO Declares COVID-19 a Pandemic. Acta Biomed. 2020, 91, 157–160. [Google Scholar] [CrossRef] [PubMed]
- COVID-19 Coronavirus Pandemic. Worldometer. 2022. Available online: https://www.worldometers.info/coronavirus (accessed on 7 June 2022).
- Qomara, W.F.; Primanissa, D.N.; Amalia, S.H.; Purwadi, F.V.; Zakiyah, N. Effectiveness of Remdesivir, Lopinavir/Ritonavir, and Favipiravir for COVID-19 Treatment: A Systematic Review. Int. J. Gen. Med. 2021, 14, 8557. [Google Scholar] [CrossRef] [PubMed]
- Masyeni, S.; Iqhrammullah, M.; Frediansyah, A.; Nainu, F.; Tallei, T.; Emran, T.B.; Ophinni, Y.; Dhama, K.; Harapan, H. Molnupiravir: A lethal mutagenic drug against rapidly mutating severe acute respiratory syndrome coronavirus 2—A narrative review. J. Med. Virol. 2022, 94, 3006–3016. [Google Scholar] [CrossRef] [PubMed]
- Javanian, M.; Barary, M.; Ghebrehewet, S.; Koppolu, V.; Vasigala, V.K.R.; Ebrahimpour, S. A brief review of influenza virus infection. J. Med. Virol. 2021, 93, 4638–4646. [Google Scholar] [CrossRef]
- CDC; NCIRD. Disease Burden of Flu. 2021. Available online: https://www.cdc.gov/flu/about/burden/index.html (accessed on 29 September 2021).
- CDC. Archived: Estimated Influenza Illnesses, Medical Visits, Hospitalizations, and Deaths in the United States—2019–2020 Influenza Season. 2021. Available online: https://www.cdc.gov/flu/about/burden/2019–2020/archive-09292021.html (accessed on 29 September 2021).
- CDC. Influenza Antiviral Medications: Summary for Clinicians. 2022. Available online: https://www.cdc.gov/flu/professionals/antivirals/summary-clinicians.htm (accessed on 13 June 2022).
- Bai, Y.; Jones, J.C.; Wong, S.-S.; Zanin, M. Antivirals Targeting the Surface Glycoproteins of Influenza Virus: Mechanisms of Action and Resistance. Viruses 2021, 13, 624. [Google Scholar] [CrossRef]
- Louie, J.K.; Yang, S.; Acosta, M.; Yen, C.; Samuel, M.C.; Schechter, R.; Guevara, H.; Timothy Uyeki, M. Treatment with neuraminidase inhibitors for critically ill patients with nfluenza A (H1N1) pdmClin. Infect. Dis. 2012, 55, 1198–1204. [Google Scholar] [CrossRef] [Green Version]
- Ivachtchenko, A.V.; Ivanenkov, Y.A.; Mitkin, O.D.; Yamanushkin, P.M.; Bichko, V.V.; Shevkun, N.A.; Karapetian, R.N.; Leneva, I.A.; Borisova, O.V.; Veselov, M.S. Novel oral anti-influenza drug candidate AV5080. J. Antimicrob. Chemother. 2014, 69, 1892–1902. [Google Scholar] [CrossRef] [Green Version]
- Bojkova, D.; Bechtel, M.; McLaughlin, K.M.; McGreig, J.E.; Klann, K.; Bellinghausen, C.; Rohde, G.; Jonigk, D.; Braubach, P.; Ciesek, S.; et al. Aprotinin Inhibits SARS-CoV-2 Replication. Cells 2020, 9, 2377. [Google Scholar] [CrossRef]
- Scheule, A.M.; Beierlein, W.; Wendel, H.P.; Jurmann, M.J.; Eckstein, F.S.; Ziemer, G. Aprotinin in fibrin tissue adhesives induces. specific antibody response and increases antibody response of high-dose intravenous application. J. Thorac. Cardiovasc. Surg. 1999, 118, 348–353. [Google Scholar] [CrossRef] [Green Version]
- Bidstrup, B.P.; Royston, D.; Sapsford, R.N.; Taylor, K.M. Reduction in blood loss and blood use after cardiopulmonary bypass with high dose aprotinin (Trasylol). J. Thorac. Cardiovasc. Surg. 1989, 97, 364–372. [Google Scholar] [CrossRef]
- Royston, D. Preventing the inflammatory response to open-heart surgery: The role of aprotinin and other protease inhibitors. Int. J. Cardiol. 1996, 53, S11–S37. [Google Scholar] [CrossRef]
- Lentschener, C.; Benhamou, D.; Mercier, F.J.; Boyer-Neumann, C.; Naveau, S.; Smadja, C.; Wolf, M.; Franco, D. Aprotinin reduces blood loss in patients undergoing elective liver resection Affiliations expand. Anesth. Analg. 1997, 84, 875–881. [Google Scholar] [CrossRef] [PubMed]
- Zhirnov, O.P.; Ovcharenko, A.V.; Bukrinskaya, A.G. A modified plaque assay method for accurate analysis of infectivity of influenza viruses with uncleaved hemagglutinin. Arch. Virol. 1982, 71, 177–183. [Google Scholar] [CrossRef] [PubMed]
- Zhirnov, O.P.; Ovcharenko, A.V.; Bukrinskaya, A.G. Suppression of Influenza Virus Replication in Infected Mice by Protease lnhibitors. J. Gen. Virol. 1984, 65, 191–196. [Google Scholar] [CrossRef]
- Zhirnov, O.P.; Klenk, H.D.; Wright, P.F. Aprotinin and similar protease inhibitors as drugs against influenza. Antivir. Res. 2011, 92, 27–36. [Google Scholar] [CrossRef]
- Shen, L.W.; Mao, H.J.; Wu, Y.L.; Tanaka, Y.; Zhang, W. TMPRSS2: A potential target for treatment of influenza virus and coronavirus infections. Biochimie 2017, 142, 1–10. [Google Scholar] [CrossRef]
- Lambertz, R.L.O.; Gerhauser, I.; Nehlmeier, I.; Gärtner, S.; Winkler, M.; Leist, S.R.; Kollmus, H.; Pöhlmann, S.; Schughart, K. H2 influenza A virus is not pathogenic in Tmprss2 knock-out mice. Virol. J. 2020, 17, 56. [Google Scholar] [CrossRef]
- Hoffmann, M.; Kleine-Weber, H.; Schroeder, S.; Krüger, N.; Herrler, T.; Erichsen, S.; Schiergens, T.S.; Herrler, G.; Wu, N.H.; Nitsche, A.; et al. SARS-CoV-2 Cell Entry Depends on ACE2 and TMPRSS2 and is Blocked by a Clinically Proven Protease Inhibitor. Cell 2020, 181, 271–280.e8. [Google Scholar] [CrossRef]
- Hoffmann, M.; Schroeder, S.; Kleine-Weber, H.; Müller, M.A.; Drosten, C.; Pöhlmann, S. Nafamostat mesylate blocks activation of SARS-CoV-2: New treatment option for COVID-Antimicrob. Agents Chemother. 2020, 64, e00754-20. [Google Scholar] [CrossRef] [Green Version]
- Meng, B.; Abdullahi, A.; Ferreira, I.A.T.M.; Goonawardane, N.; Saito, A.; Kimura, I.; Yamasoba, D.; Gerber, P.P.; Fatihi, S.; Rathore, S.; et al. Altered TMPRSS2 usage by SARS-CoV-2 Omicron impacts infectivity and fusogenicity. Nature 2022, 603, 706–714. [Google Scholar] [CrossRef]
- Bojkova, D.; Widera, M.; Ciesek, S.; Wass, M.N.; Michaelis, M.; Cinatl, J. Reduced interferon antagonism but similar drug sensitivity in Omicron variant compared to Delta variant of SARS-CoV-2 isolates. Cell Res. 2022, 32, 319–321. [Google Scholar] [CrossRef] [PubMed]
- Limburg, H.; Harbig, A.; Bestle, D.; Stein, D.A.; Moulton, H.M.; Jaege, J.; Janga, H.; Hardes, K.; Koepke, J.; Schulte, L.; et al. TMPRSS2 Is the Major Activating Protease of Influenza A Virus in Primary Human Airway Cells and Influenza B Virus in Human Type II Pneumocytes. J. Virol. 2019, 93, e00649-19. [Google Scholar] [CrossRef] [PubMed] [Green Version]
- Wettstein, L.; Kirchhoff, F.; Münch, J. The Transmembrane Protease TMPRSS2 as a Therapeutic Target for COVID-19 Treatment. Int. J. Mol. Sci. 2022, 23, 1351. [Google Scholar] [CrossRef]
- Bestle, D.; Heindl, M.R.; Limburg, H.; van Lam, T.V.; Pilgram, O.; Moulton, H.; Stein, D.A.; Hardes, K.; Eickmann, M.; Dolnik, O.; et al. TMPRSS2 and furin are both essential for proteolytic activation of SARS-CoV-2 in human airway cells. Life Sci. Alliance 2020, 3, e202000786. [Google Scholar] [CrossRef] [PubMed]
- Rahbar, S.Y.; Hosseiniyan, K.S.M.; Zununi, V.S.; Ardalan, M. Host Serine Proteases: A Potential Targeted Therapy for COVID-19 and Influenza. Front. Mol. Biosci. 2021, 8, 725528. [Google Scholar] [CrossRef]
- Zhirnov, O.P.; Golyando, P.B.; Ovcharenko, A.V. Replication of influenza B virus in chicken embryos is suppressed by exogenous aprotinin. Arch. Virol. 1994, 135, 209–216. [Google Scholar] [CrossRef]
- Zhirnov, O.P.; Bokova, N.O.; Isaeva, E.I.; Vorobieva, I.V.; Malyshev, N.A. Pathogenetic treatment of influenza patients with aerosolized form of aprotinin, a protease inhibitor. BIOpreparations. Prev. Diagn. Treat. 2015, 4, 59–64. [Google Scholar]
- Bertram, S.; Glowacka, I.; Steffen, I.; Kühl, A.; Pöhlmann, S. Novel insights into proteolytic cleavage of influenza virus hemagglutinin. Rev. Med. Virol. 2010, 20, 298–310. [Google Scholar] [CrossRef]
- Böttcher, E.; Tatyana Matrosovich, T.; Beyerle, M.; Klenk, H.-D.; Garten, W.; Matrosovich, M. Proteolytic activation of influenza viruses by serine proteases TMPRSS2 and HAT from human airway epithelium. J. Virol. 2006, 80, 9896–9898. [Google Scholar] [CrossRef] [Green Version]
- Bertram, S.; Heurich, A.; Lavender, H.; Gierer, S.; Danisch, S.; Perin, P.; Lucas, J.M.; Nelson, P.S.; Pöhlmann, S.; Soilleux, E.J. Influenza and SARS-coronavirus activating proteases TMPRSS2 and HAT are expressed at multiple sites in human respiratory and gastrointestinal tracts. PLoS ONE 2012, 7, e35876. [Google Scholar] [CrossRef]
- Song, E.-J.; Españo, E.; Shim, S.-M.; Nam, J.-H.; Kim, J.; Lee, K.; Park, S.-K.; Lee, C.-K.; Kim, J.-K. Inhibitory effects of aprotinin on influenza A and B viruses in vitro and in vivo. Sci. Rep. 2021, 11, 9427. [Google Scholar] [CrossRef] [PubMed]
- Zhirnov, O.P.; Matrosovich, T.Y.; Matrosovich, M.N.; Klenk, H.-D. Aprotinin, a protease inhibitor, suppresses proteolytic activation of pandemic H1N1v influenza virus. Antivir. Chem. Chemother. 2011, 21, 169–174. [Google Scholar] [CrossRef] [PubMed]
- Zhirnov, O.P.; Ikizler, M.R.; Wright, P.F. Cleavage of influenza A virus hemagglutinin in human respiratory epithelium is cell associated and sensitive to exogenous antiproteases. J. Virol. 2002, 76, 8682. [Google Scholar] [CrossRef] [PubMed] [Green Version]
- Zhirnov, O.P.; Khanykov, A.V. Aprotinin-Based Aerosol Preparation for the Treatment of Viral Respiratory Infections. WO/2012/008869, 15 July 2010. [Google Scholar]
- Furuta, Y.; Takahashi, K.; Fukuda, Y.; Kuno, M.; Kamiyama, T.; Kozaki, K.; Nomura, N.; Egawa, H.; Minami, S.; Watanabe, Y.; et al. In Vitro and In Vivo Activities of Anti-Influenza Virus Compound T-Antimicrob. Agents Chemother. 2002, 46, 977–981. [Google Scholar] [CrossRef] [PubMed] [Green Version]
- Furuta, Y.; Komeno, T.; Nakamura, T. Favipiravir (T-705), a broad spectrum inhibitor of viral RNA polymerase. Proc. Jpn. Acad. Ser. B Phys. Biol. Sci. 2017, 93, 449–463. [Google Scholar] [CrossRef] [PubMed] [Green Version]
- Yoon, J.J.; Toots, M.; Lee, S.; Lee, M.-E.; Ludeke, B.; Luczo, J.M.; Ganti, K.; Cox, R.M.; Sticher, Z.M.; Edpuganti, V.; et al. Orally efficacious broad-spectrum ribonucleoside analog inhibitor of influenza and respiratory syncytial viruses. Antimicrob. Agents Chemother. 2018, 62, e00766-18. [Google Scholar] [CrossRef] [Green Version]
- Toots, M.; Yoon, J.J.; Cox, R.M.; Hart, M.; Sticher, Z.M.; Makhsous, N.; Plesker, R.; Barrena, A.H.; Reddy, P.G.; Mitchell, D.G.; et al. Characterization of orally efficacious influenza drug with high resistance barrier in ferrets and human airway epithelia. Sci. Transl. Med. 2019, 11, eaax5866. [Google Scholar] [CrossRef]
- Toots, M.; Yoon, J.J.; Hart, M.; Natchus, M.G.; Painter, G.R.; Plemper, R.K. Quantitative efficacy paradigms of the influenza clinical drug candidate EIDD-2801 in the ferret model. Transl. Res. 2020, 218, 16–28. [Google Scholar] [CrossRef]
- Stephens, B. The Story of Remdesivir. The New York Times. p. A23. Available online: https://www.nytimes.com/2020/04/17/opinion/remdesivir-coronavirus.html (accessed on 17 April 2020).
- FDA Approves First Treatment for COVID-FDA. 2020. Available online: https://www.fda.gov/news-events/press-announcements/fda-approves-first-treatment-covid-19 (accessed on 22 October 2020).
- NIH. Influenza and COVID—COVID-19 Treatment Guidelines. 2021. Available online: https://www.covid19treatmentguidelines.nih.gov/special-populations/influenza/#:~:text=Remdesivir%20does%20not%20have%20activity,who%20are%20receiving%20oseltamivir%20treatment (accessed on 27 October 2021).
- Alsafi, R.; Alghamdi, S.; Asif, M. Antiviral Drugs and Their Roles in the Treatment of Coronavirus. In Antiviral Drugs; Intech Open: London, UK, 2022. [Google Scholar]
- Wang, D.; Hu, B.; Hu, C.; Zhu, F.; Liu, X.; Zhang, J.; Wang, B.; Xiang, H.; Cheng, Z.; Xiong, Y.; et al. Clinical Characteristics of 138 Hospitalized Patients With 2019 Novel Coronavirus–Infected Pneumonia in Wuhan, China. JAMA 2020, 323, 1061–1069. [Google Scholar] [CrossRef]
- Ivashchenko, A.A.; Azarova, V.N.; Egorova, A.N.; Karapetian, R.N.; Kravchenko, D.V.; Krivonos, N.V.; Loginov, V.G.; Poyarkov, S.V.; Merkulova, E.A.; Rosinkova, O.S.; et al. Effect of Aprotinin and Avifavir® Combination Therapy for Moderate COVID-19 Patients. Viruses 2021, 13, 1253. [Google Scholar] [CrossRef]
- Redondo-Calvo, F.J.; Padín, J.F.; Muñoz-Rodríguez, J.R.; Serrano-Oviedo, L.; López-Juárez, P.; Porras Leal, M.L.; González Gasca, F.J.; Rodríguez Martínez, M.; Pérez Serrano, R.; Sánchez Cadena, A.; et al. Aprotinin treatment against SARS-CoV-2: A randomized phase III study to evaluate the safety and efficacy of a pan- protease inhibitor for moderate COVID-19. Eur. J. Clin. Investig. 2022, 52, e13776. [Google Scholar] [CrossRef] [PubMed]
- Leneva, I.; Roberts, N.; Govorkova, E.; Goloubeva, O.; Webster, R.G. The neuraminidase inhibitor GS4104 (oseltamivir phosphate) is efficacious against A/Hong Kong/156/97 (H5N1) and A/Hong Kong/1074/99 (H9N2) influenza virus. Antivir. Res. 2000, 48, 101–111. [Google Scholar] [CrossRef]




| Group | lgTCID50/mL b | Life c | ||||
|---|---|---|---|---|---|---|
| No. | Drug a | Dose, mg/kg | Alive c (p) | Mortality, % | Average Life Expectancy, Days | |
| 1 | Saline | >7 | 0 | 100 | 7.6 | |
| 2 | APR | 50,000 d | 4.75 ± 0.43 | 3 (0.0652) | 70 | 10.7 |
| 3 | RDV | 5 | 4.33 ± 0.76 | 4 (0.0248) | 60 | 10.8 |
| 4 | MOV | 5 | 4.17 ± 0.58 | 5 (0.0077) | 50 | 11.4 |
| 5 | FVP | 5 | 2.67 ± 0.29 | 6 (0.0017) | 40 | 12.4 |
| 6 | AV5080 | 0.25 | 3.92 ± 0.8 | 7 (0.0002) | 30 | 13.0 |
| 7 | APR + RDV | 50,000 d + 5 | 3.5 ± 0 | 5 (0.0077) | 50 | 10.4 |
| 8 | APR + MOV | 50,000 d + 5 | 3.5 ± 0.66 | 5 (0.0077) | 50 | 11.8 |
| 9 | APR + FVP | 50,000 d + 5 | 2.08 ± 0.14 | 9 | 0 | 16.0 |
| 10 | APR + AV5080 | 50,000 d + 0.25 | 2.5 ± 0.87 | 8 (0.00001) | 20 | 14.0 |
| Median Time, Days (IQR) | Cohorta | |||
|---|---|---|---|---|
| 1 a | 2 b | 3 c | 4 d | |
| to the elimination of SARS-CoV-2 | 3.5 (3–4) | 7.5 (6–9) | 4.5 (4–9) | 9.0 (5–9) |
| to the normalization of CRP | 3.5 (3–5) | 6.0 (6–6) | 14.0 (5.5–14) | 14.0 (14–14) |
| to the normalization of D-dimer | 5.0 (4–5) | 4.5 (3–6) | NA | NA |
| to the normalization of body temp. | 1.0 (1–3) | 3.0 (2–3) | 2.0 (1–3) | 4.0 (1–8) |
| to an improvement in clinical status by 2 points on the WHO-OSCI | 5.0 (5–5) | 11.0 (6–11) | 14.0 (11.5–16) | 13.0 (11.5–15.5) |
| No. | Drug | Preparing of Medicines | Conc. | Daily Dose for 2.1 |
|---|---|---|---|---|
| 1 | Saline | sodium chloride in distilled water | 0.9% | 5 mL/kg |
| 2 | APR | A total of 1852 mg APR (5400 KIU/mg) in 1 mL of saline is stirred with ultrasound until complete dissolution. | 10,000 KIU/mL | 50,000 KIU/kg |
| 3 | AV5080 | A total of 0.05 mg AV5080 in 1 mL of saline is stirred with ultrasound until complete dissolution. | 0.05 mg/mL | 0.25 mg/kg |
| 4 | FVP | A total of 50 mg FVP and 24 mg L-lysine monohydrate in 1 mL of saline are stirred with ultrasound until complete dissolution before the addition of ~25 µL 10 N NaOH; it is then stirred with ultrasound until complete dissolution and pH 7–8 are achieved. | 50 mg/mL | 250 mg/kg |
| 5 | MPV | A total of 5 mg MPV in 1 mL of saline is stirred with ultrasound until complete dissolution. | 5 mg/mL | 25 mg/kg |
| 6 | RDV | A total of 5 mg RDV in 1 mL of saline is stirred with ultrasound until complete dissolution. | 5 mg/mL | 25 mg/kg |
| 7 | NMV | A total of 20 mg NMV in 1 mL of saline is stirred with ultrasound until complete dissolution. | 20 mg/mL | 100 mg/kg |
| 8 | APR + AV5080 | A total of 1 mL APR (10,000 KIU/mL) and 0.05 mg AV5080 are stirred with ultrasound until complete dissolution. | 0.05 mg/mL | 50,000 KIU/kg + 0.25 mg/kg |
| 9 | APR + FVP | A total of 1 mL APR (10,000 KIU/mL) and 50 mg FVP + 24 mg L-lysine monohydrate are stirred with ultrasound until complete dissolution before the addition of ~25 µL 10 N NaOH; it is then stirred with ultrasound until complete dissolution and pH 7–8 are achieved. | 10,000 KIU/mL + 50 mg/mL | 50,000 KIU/kg + 250 mg/kg |
| 10 | APR + MPV | A total of 1 mL APR (10,000 KIU/mL) and 5 mg MPV are stirred with ultrasound until complete dissolution. | 10,000 KIU/mL + 5 mg/mL | 50,000 KIU/kg + 25 mg/kg |
| 11 | APR + RDV | A total of 1 mL APR (10,000 KIU/mL), 5 mg RDV and 300 mg SBECD are stirred with ultrasound until complete dissolution. | 10,000 KIU/mL + 5 mg/mL | 50,000 KIU /kg + 25 mg/kg |
| 12 | APR + NMV | A total of 1 mL APR (10,000 KIU/mL) and 20 mg NMV are stirred with ultrasound until complete dissolution. | 10,000 KIU/mL + 20 mg/mL | 50,000 KIU /kg + 100 mg/kg |
| Virus Breeding | Survivors/Dead | Mortality, % | Virus Titer in the Lungs, lg TCD50/mL | Conc. of Viral RNA in Lungs, lg RNA Copies/mL |
|---|---|---|---|---|
| Whole | 0/2 | 100 | >6 | 9.3 |
| 1:10 | 0/2 | 100 | >6 | 10.3 |
| 1:20 | 0/2 | 100 | >6 | 9.7 |
| 1:50 | 0/2 | 100 | >6 | 10.3 |
| 1:100 | 0/2 a | 100 | >6 | NA b |
Publisher’s Note: MDPI stays neutral with regard to jurisdictional claims in published maps and institutional affiliations. |
© 2022 by the authors. Licensee MDPI, Basel, Switzerland. This article is an open access article distributed under the terms and conditions of the Creative Commons Attribution (CC BY) license (https://creativecommons.org/licenses/by/4.0/).
Share and Cite
Ivashchenko, A.A.; Zagribelnyy, B.A.; Ivanenkov, Y.A.; Ivashchenko, I.A.; Karapetian, R.N.; Kravchenko, D.V.; Savchuk, N.P.; Yakubova, E.V.; Ivachtchenko, A.V. The Efficacy of Aprotinin Combinations with Selected Antiviral Drugs in Mouse Models of Influenza Pneumonia and Coronavirus Infection Caused by SARS-CoV-2. Molecules 2022, 27, 4975. https://doi.org/10.3390/molecules27154975
Ivashchenko AA, Zagribelnyy BA, Ivanenkov YA, Ivashchenko IA, Karapetian RN, Kravchenko DV, Savchuk NP, Yakubova EV, Ivachtchenko AV. The Efficacy of Aprotinin Combinations with Selected Antiviral Drugs in Mouse Models of Influenza Pneumonia and Coronavirus Infection Caused by SARS-CoV-2. Molecules. 2022; 27(15):4975. https://doi.org/10.3390/molecules27154975
Chicago/Turabian StyleIvashchenko, Andrey A., Bogdan A. Zagribelnyy, Yan A. Ivanenkov, Ilya A. Ivashchenko, Ruben N. Karapetian, Dmitry V. Kravchenko, Nikolay P. Savchuk, Elena V. Yakubova, and Alexandre V. Ivachtchenko. 2022. "The Efficacy of Aprotinin Combinations with Selected Antiviral Drugs in Mouse Models of Influenza Pneumonia and Coronavirus Infection Caused by SARS-CoV-2" Molecules 27, no. 15: 4975. https://doi.org/10.3390/molecules27154975
APA StyleIvashchenko, A. A., Zagribelnyy, B. A., Ivanenkov, Y. A., Ivashchenko, I. A., Karapetian, R. N., Kravchenko, D. V., Savchuk, N. P., Yakubova, E. V., & Ivachtchenko, A. V. (2022). The Efficacy of Aprotinin Combinations with Selected Antiviral Drugs in Mouse Models of Influenza Pneumonia and Coronavirus Infection Caused by SARS-CoV-2. Molecules, 27(15), 4975. https://doi.org/10.3390/molecules27154975
