Action of Mangifera indica Leaf Extract on Acne-Prone Skin through Sebum Harmonization and Targeting C. acnes
Abstract
:1. Introduction
2. Results
2.1. In Vitro Seboregulation Activity of Mangifera indica Extract at 0.3%
2.2. In Silico Studies: Comprehension of Mode of Action of the Three Main Phytochemical Compounds Found in Mangifera indica Extract
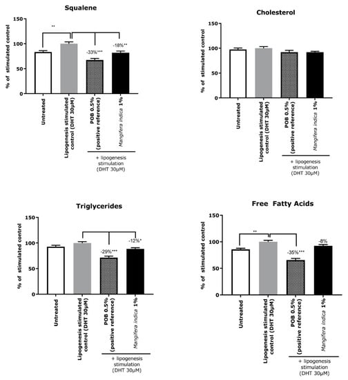
2.3. Ex Vivo Seboregulation Activity of Mangifera indica at 1%
2.4. Impact of Mangifera indica 1% on Sebum
2.5. Impact of Mangifera indica on Skin Microbiota and C. acnes
2.5.1. Analysis of TG/FFA Ratio in Volunteers Sebum
2.5.2. Evaluation of C. acnes Metabolism Activity in Presence of Mangifera indica
2.5.3. Porphyrins Production
2.5.4. Impact of Mangifera indica 1% on Skin Microbiota Composition
3. Discussion
4. Materials and Methods
4.1. Extract Description
4.2. Understanding of Mode of Action of Phytochemical Compounds Found in Mangifera indica Extract
4.2.1. In Vitro Lipogenesis Inhibition Assay
4.2.2. Inverse Docking on Maclurin and Iriflophenone
4.2.3. Molecular Docking Analysis on Mangiferin and PPAR-γ
4.3. Ex Vivo Lipogenesis Characterization
4.4. Clinical Investigations
4.4.1. Study Design
4.4.2. Study Measures
- Sebum evaluation: sebum quantity on cheek and nose areas were measured by a Sebumeter®, which is a device composed of a box and a cassette. This cassette consists of a frosted film (matte and translucent). The cassette (film) is brought into contact with the area of interest for 30 s. The cassette is then inserted into the machine, which measures the transparency of the film through transmitted light and determines the sebum rate.Measurements were taken on the forehead on day 0 to select and include the volunteers in the study, with a sebum level greater than 140 μg/cm2 considered as oily.
- Sebum evaluation: the identification and quantification of the different classes of lipids (squalene, cholesterol and FFA) was realized with a GC system (7890A from Agilent) coupled with an MS system (5975C Inert XL EI/CI MSD from Agilent, Santa Clara, USA). A calibration curve was performed on squalene and cholesterol; semi-quantitative analysis was performed for the other biomarkers. The evaluation of the sebum quality focused on the ratio TG/FFA, which can reflect some indirect information related to the evolution of skin microbiota metabolism, especially on C. acnes. Indeed, C. acnes consumes the TG and releases FFA, which will be degraded as an energy source for its growth. Therefore, an alteration of TG/FFA ratio could indicate a potential impact on C. acnes.
- Metagenomic analysis: microbiota samples were collected from the volunteers using a non-invasive swabbing method, using sterile swabs moistened with a sterile solution of 0.15 M NaCl. Swabs were transferred at −20 °C and kept frozen until DNA extraction. Sampling was done before treatment (D0) and after 28 (D28) days of treatment, using a standardized procedure. DNA extraction was performed using the DNeasy PowerLyzer® PowerSoil® DNA Isolation Kit with Qiacube device (Qiagen, Hilden, Germany), with the following modifications. The tip of each swab was detached with a sterile surgical blade and transferred into a 1.5 mL tube containing 750 μL of bead solution. The sampled biomass was suspended by stirring and pipetting and then transferred to a bead beating tube. The remaining steps were performed according to the manufacturer’s instructions. According to the manufacturer’s instructions, DNA concentration was determined using the Qubit™ dsDNA HS fluorometric quantitation kit (Invitrogen, ThermoFisher Scientific, Courtaboeuf, France). An extensive description of 16S rRNA gene sequencing and data analysis is reported in Supplementary Materials.
- Porphyrins detection using VISIA® CR2.3 (Canfield, Parsippany, NJ, USA): porphyrins are organic compounds produced by C. acnes and linked to acne severity [21]. The impact of Mangifera indica 1% on porphyrin intensity was evaluated in full-face or localized skin areas (cheek and nose) after 28 days of application. The repositioning took place directly on the data-processing screen using an overlay visualization of the images at each time of acquisition. The Visia® CR 2.3 allows taking pictures with different illuminations and very rapid capture of images. A series of photos taken under multispectral imaging and analysis allows capturing visual information affecting the appearance of the skin.
4.5. Evaluation of the Anti-Lipase Activity of Mangifera indica Extract on C. acnes
4.6. Statistical Analysis
5. Conclusions
6. Patents
Supplementary Materials
Author Contributions
Funding
Institutional Review Board Statement
Informed Consent Statement
Data Availability Statement
Acknowledgments
Conflicts of Interest
Sample Availability
References
- Tan, J.K.; Bhate, K.A. global perspective on the epidemiology of acne. Br. J. Dermatol. 2015, 172 (Suppl. 1), 3–12. [Google Scholar] [CrossRef] [PubMed]
- Marron, S.E.; Chernyshov, P.V.; Tomas-Aragones, L. Quality-of-life research in acne vulgaris: Current status and future directions. Am. J. Clin. Dermatol. 2019, 20, 527–538. [Google Scholar] [CrossRef] [PubMed]
- Picardo, M.; Ottaviani, M.; Camera, E.; Mastrofrancesco, A. Sebaceous gland lipids. Dermatoendocrinology 2009, 1, 68–71. [Google Scholar] [CrossRef] [PubMed]
- Spittaels, K.J.; Ongena, R.; Zouboulis, C.C.; Crabbé, A.; Coenye, T. Cutibacterium acnes phylotype I and II strains interact differently with human skin cells. Front. Cell. Infect. Microbiol. 2020, 10, 575164. [Google Scholar] [CrossRef] [PubMed]
- Kim, H.J.; Lee, B.J.; Kwon, A.R. The grease trap: Uncovering the mechanism of the hydrophobic lid in Cutibacterium acnes lipase. J. Lipid Res. 2020, 61, 722–733. [Google Scholar] [CrossRef] [Green Version]
- Lomholt, H.B.; Kilian, M. Population genetic analysis of Propionibacterium acnes identifies a subpopulation and epidemic clones associated with acne. PLoS ONE 2010, 5, e12277. [Google Scholar] [CrossRef] [PubMed] [Green Version]
- Kurokawa, I.; Layton, A.M.; Ogawa, R. Updated treatment for acne: Targeted therapy based on pathogenesis. Dermatol. Ther. 2021, 11, 1129–1139. [Google Scholar] [CrossRef] [PubMed]
- Fox, L.; Csongradi, C.; Aucamp, M.; du Plessis, J.; Gerber, M. Treatment modalities for acne. Molecules 2016, 21, 1063. [Google Scholar] [CrossRef] [PubMed] [Green Version]
- Ogè’, L.K.; Broussard, A.; Marshall, M.D. Acne vulgaris: Diagnosis and treatment. Am. Fam. Physician 2019, 100, 475–484. [Google Scholar]
- Vallerand, I.A.; Lewinson, R.T.; Farris, M.S.; Sibley, C.D.; Ramien, M.L.; Bulloch, A.G.M.; Patten, S.B. Efficacy and adverse events of oral isotretinoin for acne: A systematic review. Br. J. Dermatol. 2018, 178, 76–85. [Google Scholar] [CrossRef]
- Erdemir, U.; Okan, G.; Gungor, S.; Tekin, B.; Yildiz, S.O.; Yildiz, E. The oral adverse effects of isotretinoin treatment in acne vulgaris patients: A prospective, case-control study. Niger. J. Clin. Pract. 2017, 20, 860–866. [Google Scholar] [CrossRef] [Green Version]
- Reilly, B.K.; Ritsema, T.S. Managing nonteratogenic adverse reactions to isotretinoin treatment for acne vulgaris. JAAPA 2015, 28, 34–39. [Google Scholar] [CrossRef]
- Bonati, L.M.; Dover, J.S. Treating acne with topical antibiotics: Current obstacles and the introduction of topical minocycline as a new treatment option. J. Drugs Dermatol. 2019, 18, 240–244. [Google Scholar] [PubMed]
- Shah, K.; Patel, M.; Patel, R.; Parmar, P. Mangifera Indica (Mango). Pharmacogn. Rev. 2010, 4, 42. [Google Scholar] [CrossRef] [PubMed]
- Kumar, M.; Saurabh, V.; Tomar, M.; Hasan, M.; Changan, S.; Sasi, M.; Maheshwari, C.; Prajapati, U.; Singh, S.; Prajapat, R.K.; et al. Mango (Mangifera indica L.) Leaves: Nutritional Composition, Phytochemical Profile, and Health-Promoting Bioactivities. Antioxidants 2021, 10, 299. [Google Scholar] [CrossRef] [PubMed]
- Batool, N.; Ilyas, N.; Shabir, S.; Saeed, M.; Mazhar, R. Mini-Review- A mini-review of therapeutic potential of Mangifera indica L. Pak. J. Pharm. Sci. 2018, 31, 1441–1448. [Google Scholar] [PubMed]
- Lauricella, M.; Emanuele, S.; Calvaruso, G.; Giuliano, M.; D’Anneo, A. Multifaceted health benefits of Mangifera indica L. (mango): The inestimable value of orchards recently planted in Sicilian rural areas. Nutrients 2017, 9, 525. [Google Scholar] [CrossRef] [PubMed]
- Ningsih, N.; Zusfahair, Z.; Hermawan, D.; Anggraeni, W.; Aboul-Enein, H. Formulation and characterization oinment of arum manis mango (Mangifera Indica L.) leaves methanol extracts as an antibacterial against Propionibacterium acnes. Curr. Bioact. Compd. 2020, 16, 67–75. [Google Scholar]
- Kim, H.; Castellon-Chicas, M.; Arbizu, S.; Talcott, S.; Drury, N.; Smith, S.; Mertens-Talcott, S. Mango (Mangifera indica L.) Polyphenols: Anti-Inflammatory Intestinal Microbial Health Benefits, and Associated Mechanisms of Actions. Molecules 2021, 26, 2732. [Google Scholar] [CrossRef] [PubMed]
- Muruganandan, S.; Gupta, S.; Kataria, M.; Lal, J.; Gupta, P.K. Mangiferin protects the streptozotocin-induced oxidative damage to cardiac and renal tissues in rats. Toxicology 2002, 176, 165–173. [Google Scholar] [CrossRef]
- Khumpook, T.; Saenphet, S.; Tragoolpua, Y.; Saenphet, K. Antibacterial effects of Thai mango (Mangifera indica Linn.) leaves against acne-inducing bacteria. Sci. Int. 2018, 30, 449–453. [Google Scholar]
- Utami, N.; Prasetyorini Khaerunissa, R.; Pramitasari, I.; Herbayani, A. Screening of mango leaves (Mangifera indica L.) varieties in Indonesia for antibacterial activity in Staphylococcus aureus. Int. J. Res. Ayurveda Pharm. 2020, 11, 77–80. [Google Scholar] [CrossRef]
- Cardenas, V.; Mendoza, R.; Chiong, L.; Del Aguila, E.; Alvítez-Temoche, D.; Mayta-Tovalino, F. Comparison of the antibacterial activity of the ethanol extract vs hydroalcoholic extract of the leaves of Mangifera indica L. (Mango) in different concentrations: An in vitro study. J. Contemp. Dent. Pract. 2020, 21, 202–206. [Google Scholar] [CrossRef]
- Fernández-Ponce, T.; Casas, L.; Mantell, C.; de la Ossa, E.M. Use of high pressure techniques to produce Mangifera indica L. leaf extracts enriched in potent antioxidant phenolic compounds. Innov. Food Sci. Emerg. Technol. 2015, 29, 94–106. [Google Scholar] [CrossRef]
- Laulloo, S.J.; Bhowon, M.G.; Soyfoo, S.; Chua, L.S. Nutritional and Biological Evaluation of Leaves of Mangifera indica from Mauritius. J. Chem. 2018, 2018, 6869294. [Google Scholar]
- Pappas, A.; Johnsen, S.; Liu, J.C.; Eisinger, M. Sebum analysis of individuals with and without acne. Dermatoendocrinology 2009, 1, 157–161. [Google Scholar] [CrossRef] [Green Version]
- Zouboulis, C.C. Propionibacterium acnes and sebaceous lipogenesis: A love-hate relationship? J. Investig. Dermatol. 2009, 129, 2093–2096. [Google Scholar] [CrossRef] [Green Version]
- Huang, Y.C.; Yang, C.H.; Li, T.T.; Zouboulis, C.C.; Hsu, H.C. Cell-free extracts of Propionibacterium acnes stimulate cytokine production through activation of p38 MAPK and Toll-like receptor in SZ95 sebocytes. Life Sci. 2015, 139, 123–131. [Google Scholar] [CrossRef]
- Barnard, E.; Johnson, T.; Ngo, T.; Arora, U.; Leuterio, G.; McDowell, A.; Li, H. Porphyrin production and regulation in cutaneous Propionibacteria. mSphere 2020, 5, e00793-19. [Google Scholar] [CrossRef] [Green Version]
- McDowell, A.; Barnard, E.; Nagy, I.; Gao, A.; Tomida, S.; Li, H.; Eady, A.; Cove, J.; Nord, C.E.; Patrick, S. An expanded multilocus sequence typing scheme for Propionibacterium acnes: Investigation of ‘pathogenic’, ‘commensal’ and antibiotic resistant strains. PLoS ONE 2012, 7, e41480. [Google Scholar] [CrossRef] [Green Version]
- Johnson, T.; Kang, D.; Barnard, E.; Li, H. Strain-level differences in porphyrin production and regulation in Propionibacterium acnes elucidate disease associations. mSphere 2016, 1, e00023-15. [Google Scholar] [CrossRef] [PubMed] [Green Version]
- Borelli, C.; Merk, K.; Schaller, M.; Jacob, K.; Vogeser, M.; Weindl, G.; Berger, U.; Plewig, G. In vivo porphyrin production by P. acnes in untreated acne patients and its modulation by acne treatment. Acta Derm. Venereol. 2006, 86, 316–319. [Google Scholar] [CrossRef] [PubMed] [Green Version]
- Do, Q.T.; Renimel, I.; Andre, P.; Lugnier, C.; Muller, C.D.; Bernard, P. Reverse pharmacognosy: Application of selnergy, a new tool for lead discovery. The example of epsilon-viniferin. Curr Drug Discov Technol. 2005, 2, 161–167. [Google Scholar] [CrossRef]
- Rognes, T.; Flouri, T.; Nichols, B.; Quince, C.; Mahé, F. VSEARCH: A versatile open source tool for metagenomics. PeerJ 2016, 4, e2584. [Google Scholar] [CrossRef] [PubMed]
- Mahé, F.; Rognes, T.; Quince, C.; de Vargas, C.; Dunthorn, M. Swarm v2: Highly-scalable and high-resolution amplicon clustering. PeerJ 2015, 3, e1420. [Google Scholar] [CrossRef] [PubMed] [Green Version]
- Wang, Q.; Garrity, G.M.; Tiedje, J.M.; Cole, J.R. Naive Bayesian classifier for rapid assignment of rRNA sequences into the new bacterial taxonomy. Appl. Environ. Microbiol. 2007, 73, 5261–5267. [Google Scholar] [CrossRef] [PubMed] [Green Version]
- Benjamini, Y.; Hochberg, Y. Controlling the False Discovery Rate: A Practical and Powerful Approach to Multiple Testing. J. R. Stat. Soc. Ser. B Methodol. 1995, 57, 289–300. [Google Scholar] [CrossRef]









Publisher’s Note: MDPI stays neutral with regard to jurisdictional claims in published maps and institutional affiliations. |
© 2022 by the authors. Licensee MDPI, Basel, Switzerland. This article is an open access article distributed under the terms and conditions of the Creative Commons Attribution (CC BY) license (https://creativecommons.org/licenses/by/4.0/).
Share and Cite
Tollenaere, M.D.; Boira, C.; Chapuis, E.; Lapierre, L.; Jarrin, C.; Robe, P.; Zanchetta, C.; Vilanova, D.; Sennelier-Portet, B.; Martinez, J.; et al. Action of Mangifera indica Leaf Extract on Acne-Prone Skin through Sebum Harmonization and Targeting C. acnes. Molecules 2022, 27, 4769. https://doi.org/10.3390/molecules27154769
Tollenaere MD, Boira C, Chapuis E, Lapierre L, Jarrin C, Robe P, Zanchetta C, Vilanova D, Sennelier-Portet B, Martinez J, et al. Action of Mangifera indica Leaf Extract on Acne-Prone Skin through Sebum Harmonization and Targeting C. acnes. Molecules. 2022; 27(15):4769. https://doi.org/10.3390/molecules27154769
Chicago/Turabian StyleTollenaere, Morgane De, Cloé Boira, Emilie Chapuis, Laura Lapierre, Cyrille Jarrin, Patrick Robe, Catherine Zanchetta, David Vilanova, Bénédicte Sennelier-Portet, Jessy Martinez, and et al. 2022. "Action of Mangifera indica Leaf Extract on Acne-Prone Skin through Sebum Harmonization and Targeting C. acnes" Molecules 27, no. 15: 4769. https://doi.org/10.3390/molecules27154769
APA StyleTollenaere, M. D., Boira, C., Chapuis, E., Lapierre, L., Jarrin, C., Robe, P., Zanchetta, C., Vilanova, D., Sennelier-Portet, B., Martinez, J., Scandolera, A., Auriol, D., & Reynaud, R. (2022). Action of Mangifera indica Leaf Extract on Acne-Prone Skin through Sebum Harmonization and Targeting C. acnes. Molecules, 27(15), 4769. https://doi.org/10.3390/molecules27154769

