Anti-Inflammatory, Analgesic and Antioxidant Potential of New (2S,3S)-2-(4-isopropylbenzyl)-2-methyl-4-nitro-3-phenylbutanals and Their Corresponding Carboxylic Acids through In Vitro, In Silico and In Vivo Studies
Abstract
:1. Introduction
2. Results
2.1. Chemistry of the (2S,3S)-2-(4-isopropylbenzyl)-2-methyl-4-nitro-3-phenylbutanal and Their Carboxylic Acids
2.1.1. (2S,3S)-2-(4-isopropylbenzyl)-2-methyl-4-nitro-3-phenylbutanal (FM1)
2.1.2. (2S,3S)-3-(4-chlorophenyl)-2-(4-isopropylbenzyl)-2-methyl-4-nitrobutanal (FM2)
2.1.3. (2S,3S)-2-(4-isopropylbenzyl)-2-methyl-4-nitro-3-(p-tolyl)butanal (FM3)
2.1.4. (2S,3S)-2-(4-isopropylbenzyl)-3-(4-methoxyphenyl)-2-methyl-4-nitrobutanal (FM4)
2.1.5. (2S,3S)-2-(4-isopropylbenzyl)-3-(2-methoxyphenyl)-2-methyl-4-nitrobutanal (FM5)
2.1.6. (2S,3S)-3-(furan-2-yl)-2-(4-isopropylbenzyl)-2-methyl-4-nitrobutanal (FM6)
2.1.7. (2S,3S)-2-(4-isopropylbenzyl)-2-methyl-4-nitro-3-phenylbutanoic Acid (FM7)
2.1.8. (2S,3S)-3-(4-chlorophenyl)-2-(4-isopropylbenzyl)-2-methyl-4-nitrobutanal (FM8)
2.1.9. (2S,3S)-2-(4-isopropylbenzyl)-2-methyl-4-nitro-3-(p-tolyl)butanal (FM9)
2.1.10. (2S,3S)-2-(4-isopropylbenzyl)-3-(4-methoxyphenyl)-2-methyl-4-nitrobutanal (FM10)
2.1.11. (2S,3S)-2-(4-isopropylbenzyl)-3-(2-methoxyphenyl)-2-methyl-4-nitrobutanal (FM11)
2.1.12. (2S,3S)-3-(furan-2-yl)-2-(4-isopropylbenzyl)-2-methyl-4-nitrobutanal (FM12)
2.2. Antioxidant Results
2.3. Cyclo and Lipoxygenase Results
2.4. In Vivo Results
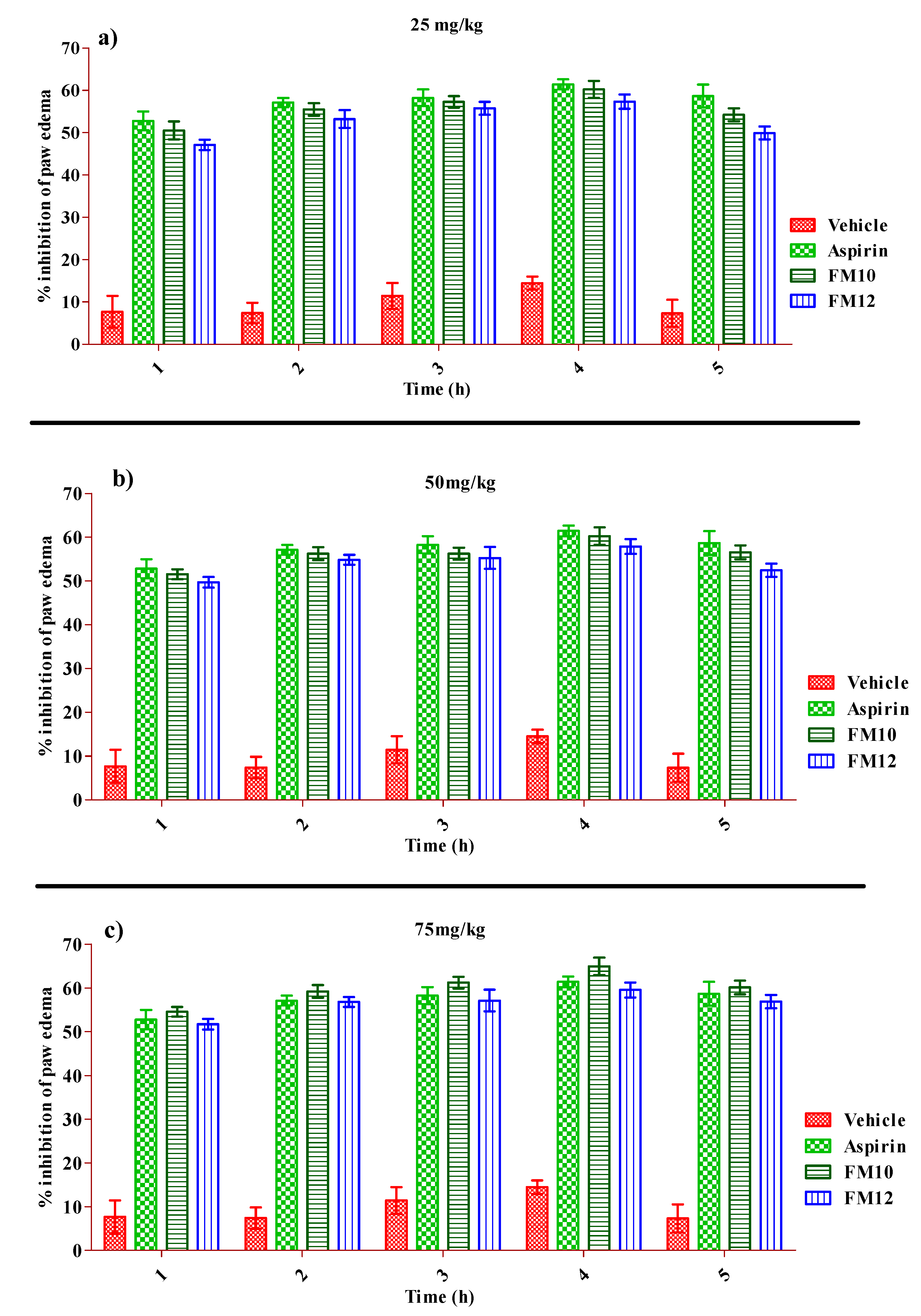
2.5. Carrageenan-Induced Inflammation Results
2.6. Acetic Acid Induced Analgesic Results
2.7. Results of Formalin In Vivo Assay
2.8. Hotplate Analgesic Results
2.9. Molecular Docking Studies
3. Discussion
4. Materials and Methods
4.1. Equipments
4.2. Synthesis of (2S,3S)-3-aryl-2-(4-isopropylbenzyl)-2-methyl-4-nitrobutanals (FM 1–6)
4.3. Synthesis of (2S,3S)-3-aryl-2-(4-isopropylbenzyl)-2-methyl-4-nitrobutanoic Acids (FM 7–12)
4.4. DPPH Free Radical Scavenging Assay
4.5. ABTS Free Radical Scavenging Assay
4.6. Cyclooxygenase (COX-1/2) Assay
4.7. 5-Lipoxygenase (5-LOX) Assay
4.8. Molecular Docking Studies
4.9. In Vivo Studies
4.9.1. Experimental Animals
4.9.2. Acute Toxicity
4.9.3. Carrageenan-Induced Inflammation
4.9.4. Acetic Acid Induced Writhing Test
4.9.5. Formalin-Induced Paw-Licking Test
4.9.6. Hot Plate Test
5. Conclusions
Supplementary Materials
Author Contributions
Funding
Institutional Review Board Statement
Informed Consent Statement
Data Availability Statement
Acknowledgments
Conflicts of Interest
References
- Walsh, D.A.; Mapp, P.I.; Kelly, S. Calcitonin gene-related peptide in the joint: Contributions to pain and inflammation. Br. J. Clin. Pharmacol. 2015, 80, 965. [Google Scholar] [CrossRef] [PubMed] [Green Version]
- Ul Hassan, S.S.; Ishaq, M.; Zhang, W.; Jin, H.-Z. An overview of the mechanisms of marine fungi-derived antiinflammatory and anti-tumor agents and their novel role in drug targeting. Curr. Pharm. Des. 2021, 27, 2605–2614. [Google Scholar] [CrossRef] [PubMed]
- Greig, S.L.; Garnock-Jones, K.P. Loxoprofen: A review in pain and inflammation. Clin. Drug Investig. 2016, 36, 771. [Google Scholar] [CrossRef] [PubMed]
- Muhammad, I.; ul Hassan, S.S.; Cheung, S.; Li, X.; Wang, R.; Zhang, W.D.; Yan, S.K.; Zhang, Y.; Jin, H.Z. Phytochemical study of Ligularia subspicata and valuation of its anti-inflammatory activity. Fitoterapia 2021, 148, 104800. [Google Scholar] [CrossRef]
- Gadek, T.R.; Nicholas, J.B. Small molecule antagonists of proteins. Biochem. Pharmacol. 2003, 65, 1. [Google Scholar] [CrossRef]
- Sneader, W. The discovery of aspirin: A reappraisal. BMJ 2000, 321, 1591. [Google Scholar] [CrossRef] [Green Version]
- Hart, F.D.; Huskisson, E.C. Non-steroidal anti-inflammatory drugs. Drugs 1984, 27, 232. [Google Scholar] [CrossRef]
- Gøtzsche, P.C. Non-steroidal anti-inflammatory drugs. BMJ 2000, 320, 1058. [Google Scholar] [CrossRef]
- Sadiq, A.; Mahnashi, M.H.; Alyami, B.A.; Alqahtani, Y.S.; Alqarni, A.O.; Rashid, U. Tailoring the substitution pattern of Pyrrolidine-2, 5-dione for discovery of new structural template for dual COX/LOX inhibition. Bioorg. Chem. 2021, 112, 104969. [Google Scholar] [CrossRef]
- Hawkey, C.J. COX-1 and COX-2 inhibitors. Best Pract. Res. Clin. Gastroenterol. 2001, 15, 801. [Google Scholar] [CrossRef]
- Shams, S.; Zhang, W.; Jin, H.; Basha, S.H.; Priya, S.V.S.S. In-silico anti-inflammatory potential of guaiane dimers from Xylopia vielana targeting COX-2. J. Biomol. Struct. Dyn. 2020, 40, 484–498. [Google Scholar] [CrossRef]
- FitzGerald, G.A. COX-2 and beyond: Approaches to prostaglandin inhibition in human disease. Nat. Rev. Drug Discov. 2003, 2, 879. [Google Scholar] [CrossRef]
- Suleyman, H.; Demircan, B.; Karagoz, Y. Anti-inflammatory and side effects of cyclo-oxygenase inhibitors. Pharmacol. Rep. 2007, 59, 247. [Google Scholar]
- Shi, S.; Klotz, U. Clinical use and pharmacological properties of selective COX-2 inhibitors. Eur. J. Clin. Pharmacol. 2008, 64, 233. [Google Scholar] [CrossRef]
- Jan, M.S.; Ahmad, S.; Hussain, F.; Ahmad, A.; Mahmood, F.; Rashid, U.; Ullah, F.; Ayaz, M.; Sadiq, A. Design, synthesis, in-vitro, in-vivo and in-silico studies of pyrrolidine-2, 5-dione derivatives as multitarget anti-inflammatory agents. Eur. J. Med. Chem. 2020, 186, 111863. [Google Scholar] [CrossRef]
- Shah, S.M.; Sadiq, A.; Shah, S.M.; Ullah, F. Antioxidant, total phenolic contents and antinociceptive potential of Teucrium stocksianum methanolic extract in different animal models. BMC Complement. Altern. Med. 2014, 14, 217. [Google Scholar] [CrossRef] [Green Version]
- Mahnashi, M.H.; Alyami, B.A.; Alqahtani, Y.S.; Alqarni, A.O.; Jan, M.S.; Hussain, F.; Zafar, R.; Rashid, U.; Abbas, M.; Tariq, M.; et al. Antioxidant Molecules Isolated from Edible Prostrate Knotweed: Rational Derivatization to Produce More Potent Molecules. Oxid. Med. Cell. Longev. 2022, 27, 2022. [Google Scholar] [CrossRef]
- Sadiq, A.; Mahmood, F.; Ullah, F.; Ayaz, M.; Ahmad, S.; Haq, F.U.; Khan, G.; Jan, M.S. Synthesis, anticholinesterase and antioxidant potentials of ketoesters derivatives of succinimides: A possible role in the management of Alzheimer’s. Chem. Cent. J. 2015, 9, 1. [Google Scholar] [CrossRef] [Green Version]
- Hassan, S.S.; Muhammad, I.; Abbas, S.Q.; Hassan, M.; Majid, M.; Jin, H.Z.; Bungau, S. Stress driven discovery of natural products from actinobacteria with anti-oxidant and cytotoxic activities including docking and admet properties. Int. J. Mol. Sci. 2021, 22, 11432. [Google Scholar] [CrossRef]
- ul Hassan, S.S.; Jin, H.Z.; Abu-Izneid, T.; Rauf, A.; Ishaq, M.; Suleria, H.A. Stress-driven discovery in the natural products: A gateway towards new drugs. Biomed. Pharmacother. 2019, 109, 459. [Google Scholar] [CrossRef]
- Shah, S.; Shah, S.M.; Ahmad, Z.; Yaseen, M.; Shah, R.; Sadiq, A.; Khan, S.; Khan, B. Phytochemicals, in vitro antioxidant, total phenolic contents and phytotoxic activity of Cornus macrophylla Wall bark collected from the North-West of Pakistan. Pak. J. Pharm. Sci. 2015, 28, 23. [Google Scholar]
- Bibi, A.; Shah, T.; Sadiq, A.; Khalid, N.; Ullah, F.; Iqbal, A. L-isoleucine-catalyzed michael synthesis of N-alkylsuccinimide derivatives and their antioxidant activity assessment. Russ. J. Org. Chem. 2019, 55, 1749. [Google Scholar] [CrossRef]
- Jabeen, M.; Ahmad, S.; Shahid, K.; Sadiq, A.; Rashid, U. Ursolic acid hydrazide based organometallic complexes: Synthesis, characterization, antibacterial, antioxidant, and docking studies. Front. Chem. 2018, 6, 55. [Google Scholar] [CrossRef]
- Kumar, D.; Kumar, R.; Ramajayam, R.; Lee, K.W.; Shin, D.S. Synthesis, antioxidant and molecular docking studies of (-)-catechin derivatives. J. Korean Chem. Soc. 2021, 65, 106. [Google Scholar] [CrossRef]
- Chen, J.; Yang, J.; Ma, L.; Li, J.; Shahzad, N.; Kim, C.K. Structure-antioxidant activity relationship of methoxy, phenolic hydroxyl, and carboxylic acid groups of phenolic acids. Sci. Rep. 2020, 10, 2611. [Google Scholar] [CrossRef]
- Nugent, T.C.; Bibi, A.; Sadiq, A.; Shoaib, M.; Umar, M.N.; Tehrani, F.N. Chiral picolylamines for Michael and aldol reactions: Probing substrate boundaries. Org. Biomol. Chem. 2012, 10, 9287. [Google Scholar] [CrossRef]
- Berner, O.M.; Tedeschi, L.; Enders, D. Asymmetric Michael additions to nitroalkenes. Eur. J. Org. Chem. 2002, 2002, 1877. [Google Scholar] [CrossRef]
- Ahmad, S.; Mahnashi, M.H.; Alyami, B.A.; Alqahtani, Y.S.; Ullah, F.; Ayaz, M.; Tariq, M.; Sadiq, A.; Rashid, U. Synthesis of michael adducts as key building blocks for potential analgesic drugs: In vitro, in vivo and in silico explorations. Drug Des. Dev. Ther. 2021, 15, 1299. [Google Scholar] [CrossRef]
- Pasuparthy, S.D.; Maiti, B. Enantioselective Organocatalytic Michael Addition Reactions Catalyzed by Proline/Prolinol/Supported Proline based Organocatalysts: An Overview. ChemistrySelect 2022, 7, e202104261. [Google Scholar] [CrossRef]
- List, B.; Pojarliev, P.; Martin, H.J. Efficient proline-catalyzed Michael additions of unmodified ketones to nitro olefins. Org. Lett. 2001, 3, 2423. [Google Scholar] [CrossRef]
- Das, T.; Mohapatra, S.; Mishra, N.P.; Nayak, S.; Raiguru, B.P. Recent Advances in Organocatalytic Asymmetric Michael Addition Reactions to α, β-Unsaturated Nitroolefins. ChemistrySelect 2021, 6, 3745. [Google Scholar] [CrossRef]
- Sadiq, A.; Nugent, T.C. Catalytic access to succinimide products containing stereogenic quaternary carbons. ChemistrySelect 2020, 5, 11934. [Google Scholar] [CrossRef]
- Nugent, T.C.; Sadiq, A.; Bibi, A.; Heine, T.; Zeonjuk, L.L.; Vankova, N.; Bassil, B.S. Noncovalent bifunctional organocatalysts: Powerful tools for contiguous quaternary-tertiary stereogenic carbon formation, scope, and origin of enantioselectivity. Chem. Eur. J. 2012, 18, 4088. [Google Scholar] [CrossRef] [PubMed]
- Mahmood, F.; Jan, M.S.; Ahmad, S.; Rashid, U.; Ayaz, M.; Ullah, F.; Hussain, F.; Ahmad, A.; Khan, A.U.; Aasim, M.; et al. Ethyl 3-oxo-2-(2, 5-dioxopyrrolidin-3-yl) butanoate derivatives: Anthelmintic and cytotoxic potentials, antimicrobial, and docking studies. Front. Chem. 2017, 5, 119. [Google Scholar] [CrossRef] [Green Version]
- McCulloch, A.C.; Stock, B.H. The bactericidal activity of some aromatic alcohols. Australas. J. Pharm. 1966, 47, 514. [Google Scholar]
- Mühlman, A.; Lindberg, J.; Classon, B.; Unge, T.; Hallberg, A.; Samuelsson, B. Synthesis of Novel, Potent, Diol-Based HIV-1 Protease Inhibitors via Intermolecular Pinacol Homocoupling of (2 S)-2-Benzyloxymethyl-4-phenylbutanal. J. Med. Chem. 2001, 44, 3407. [Google Scholar] [CrossRef]
- Seitzberg, J.G.; Knapp, A.E.; Lund, B.W.; Mandrup Bertozzi, S.; Currier, E.A.; Ma, J.N.; Sherbukhin, V.; Burstein, E.S.; Olsson, R. Discovery of potent and selective small-molecule PAR-2 agonists. J. Med. Chem. 2008, 51, 5490. [Google Scholar] [CrossRef]
- Zhang, Y.; Wang, W. Recent advances in organocatalytic asymmetric Michael reactions. Catal. Sci. Technol. 2012, 2, 42. [Google Scholar] [CrossRef]
- Fritz, K.S.; Petersen, D.R. An overview of the chemistry and biology of reactive aldehydes. Free Radic. Biol. Med. 2013, 59, 85. [Google Scholar] [CrossRef] [Green Version]
- Leval, X.D.; Julémont, F.; Delarge, J.; Pirotte, B.; Dogné, J.M. New trends in dual 5-LOX/COX inhibition. Curr. Med. Chem. 2002, 9, 941. [Google Scholar] [CrossRef]
- Mendes, R.T.; Stanczyk, C.P.; Sordi, R.; Otuki, M.F.; Santos, F.A.; Fernandes, D. Selective inhibition of cyclooxygenase-2: Risks and benefits. Rev. Bras. Reumatol. 2012, 52, 774. [Google Scholar] [CrossRef] [Green Version]
- Hawkey, C.J. COX-2 inhibitors. Lancet 1999, 353, 307. [Google Scholar] [CrossRef]
- Huneif, M.A.; Alshehri, D.B.; Alshaibari, K.S.; Dammaj, M.Z.; Mahnashi, M.H.; Majid, S.U.; Javed, M.A.; Ahmad, S.; Rashid, U.; Sadiq, A. Design, synthesis and bioevaluation of new vanillin hybrid as multitarget inhibitor of α-glucosidase, α-amylase, PTP-1B and DPP4 for the treatment of type-II diabetes. Biomed. Pharmacother. 2022, 150, 113038. [Google Scholar] [CrossRef]
- Sadiq, A.; Rashid, U.; Ahmad, S.; Zahoor, M.; AlAjmi, M.F.; Ullah, R.; Noman, O.M.; Ullah, F.; Ayaz, M.; Khan, I.; et al. Treating hyperglycemia from Eryngium caeruleum M. Bieb: In-vitro α-glucosidase, antioxidant, in-vivo antidiabetic and molecular docking-based approaches. Front. Chem. 2020, 8, 1064. [Google Scholar] [CrossRef]
- Sadiq, A.; Zeb, A.; Ullah, F.; Ahmad, S.; Ayaz, M.; Rashid, U.; Muhammad, N. Chemical characterization, analgesic, antioxidant, and anticholinesterase potentials of essential oils from Isodon rugosus Wall. ex. Benth. Front. Pharmacol. 2018, 9, 623. [Google Scholar] [CrossRef]
- Munir, A.; Khushal, A.; Saeed, K.; Sadiq, A.; Ullah, R.; Ali, G.; Ashraf, Z.; Mughal, E.U.; Jan, M.S.; Rashid, U.; et al. Synthesis, in-vitro, in-vivo anti-inflammatory activities and molecular docking studies of acyl and salicylic acid hydrazide derivatives. Bioorg. Chem. 2020, 104, 104168. [Google Scholar] [CrossRef]
- Mahnashi, M.H.; Alyami, B.A.; Alqahtani, Y.S.; Jan, M.S.; Rashid, U.; Sadiq, A.; Alqarni, A.O. Phytochemical profiling of bioactive compounds, anti-inflammatory and analgesic potentials of Habenaria digitata Lindl.: Molecular docking based synergistic effect of the identified compounds. J. Ethnopharmacol. 2021, 273, 113976. [Google Scholar] [CrossRef]
- Javed, M.A.; Ashraf, N.; Saeed Jan, M.; Mahnashi, M.H.; Alqahtani, Y.S.; Alyami, B.A.; Alqarni, A.O.; Asiri, Y.I.; Ikram, M.; Sadiq, A.; et al. Structural Modification, In Vitro, In Vivo, Ex Vivo, and In Silico Exploration of Pyrimidine and Pyrrolidine Cores for Targeting Enzymes Associated with Neuroinflammation and Cholinergic Deficit in Alzheimer’s Disease. ACS Chem. Neurosci. 2021, 12, 4123. [Google Scholar] [CrossRef]
- Ahmad, S.; Iftikhar, F.; Ullah, F.; Sadiq, A.; Rashid, U. Rational design and synthesis of dihydropyrimidine based dual binding site acetylcholinesterase inhibitors. Bioorg. Chem. 2016, 69, 91. [Google Scholar] [CrossRef]
- Sadiq, A.; Mahnashi, M.H.; Rashid, U.; Jan, M.S.; Alshahrani, M.A.; Huneif, M.A. 3-(((1S,3S)-3-((R)-hydroxy(4-(trifluoromethyl)phenyl)methyl)-4-oxocyclohexyl)methyl)pentane-2,4-dione: Design and synthesis of new stereopure multi-target antidiabetic agent. Molecules 2022, 27, 3265. [Google Scholar] [CrossRef]
- Sarfraz, M.; Sultana, N.; Rashid, U.; Akram, M.S.; Sadiq, A.; Tariq, M.I. Synthesis, biological evaluation and docking studies of 2, 3-dihydroquinazolin-4 (1H)-one derivatives as inhibitors of cholinesterases. Bioorg. Chem. 2017, 70, 237. [Google Scholar] [CrossRef] [PubMed] [Green Version]
- Aslam, H.; Khan, A.U.; Naureen, H.; Ali, F.; Ullah, F.; Sadiq, A. Potential application of Conyza canadensis (L) Cronquist in the management of diabetes: In vitro and in vivo evaluation. Trop. J. Pharm. Res. 2018, 17, 1287. [Google Scholar] [CrossRef] [Green Version]
- Shah, S.M.; Ullah, F.; Shah, S.M.; Zahoor, M.; Sadiq, A. Analysis of chemical constituents and antinociceptive potential of essential oil of Teucrium Stocksianum bioss collected from the North West of Pakistan. BMC Complement. Altern. Med. 2012, 12, 351. [Google Scholar] [CrossRef] [PubMed] [Green Version]
- Alam, F.; Din, K.M.; Rasheed, R.; Sadiq, A.; Jan, M.S.; Minhas, A.M.; Khan, A. Phytochemical investigation, anti-inflammatory, antipyretic and antinociceptive activities of Zanthoxylum armatum DC extracts-in vivo and in vitro experiments. Heliyon 2020, 6, e05571. [Google Scholar] [CrossRef]






| Samples | DPPH IC50 (µM) | ABTS IC50 (µM) |
|---|---|---|
| FM1 | 54.35 | 62.91 |
| FM2 | 55.36 | 42.03 |
| FM3 | 15.08 | 11.47 |
| FM4 | 21.08 | 25.78 |
| FM5 | 183.73 | 190.57 |
| FM6 | 49.70 | 37.67 |
| FM7 | 22.54 | 24.65 |
| FM8 | 23.50 | 17.51 |
| FM9 | 17.02 | 18.20 |
| FM10 | 08.36 | 08.90 |
| FM11 | 53.32 | 46.32 |
| FM12 | 15.30 | 17.22 |
| Gallic acid | 09.02 | 03.23 |
| Samples | IC50 (µM) ± SEM | SI | 5LOX IC50 (µM) ± SEM | |
|---|---|---|---|---|
| COX-2 | COX-1 | |||
| FM1 | 1.21 ± 0.03 | 14.76 ± 1.19 | 12.2 | 1.81 ± 0.11 |
| FM2 | 2.51 ± 0.24 | 38.04 ± 1.65 | 15.1 | 0.64 ± 0.01 |
| FM3 | 3.53 ± 0.18 | 12.79 ± 1.08 | 3.6 | 9.69 ± 0.99 |
| FM4 | 0.74 ± 0.03 | 31.70 ± 1.37 | 42.8 | 0.98 ± 0.12 |
| FM5 | 8.15 ± 0.98 | 58.37 ± 2.08 | 7.2 | 16.33 ± 1.02 |
| FM6 | 4.72 ± 0.08 | 54.78 ± 1.95 | 11.6 | 6.17 ± 0.23 |
| FM7 | 1.09 ± 0.01 | 25.31 ± 1.22 | 23.2 | 0.73 ± 0.05 |
| FM8 | 1.99 ± 0.04 | 61.22 ± 1.84 | 30.8 | 0.87 ± 0.08 |
| FM9 | 8.31 ± 1.01 | 50.07 ± 1.33 | 6.0 | 2.36 ± 0.33 |
| FM10 | 0.69 ± 0.05 | 43.29 ± 1.16 | 62.7 | 1.77 ± 0.14 |
| FM11 | 4.25 ± 0.21 | 35.02 ± 2.13 | 8.2 | 11.01 ± 1.14 |
| FM12 | 0.18 ± 0.01 | 49.89 ± 1.91 | 277.1 | 0.43 ± 0.02 |
| Celecoxib | 0.042 ± 0.001 | 10.87 ± 1.15 | 258.8 | --------- |
| Zileuton | --------- | --------- | --------- | 0.50 ± 0.02 |
| Groups | Animals (Male/Female) | Compounds (FM4, FM10, FM12) mg/kg Body Weight |
|---|---|---|
| 1 | 5 | 25 |
| 2 | 5 | 50 |
| 3 | 5 | 100 |
| 4 | 5 | 200 |
| 5 | 5 | 300 |
| 6 | 5 | 400 |
| 7 | 5 | 500 |
| 8 | 5 | 1000 |
| 9 | 5 | 2000 |
| Samples Names | Dose in mg/kg Body Weight | Time Spent (Licking) | |||
|---|---|---|---|---|---|
| 0–5 (min.) | Percent (%) Inhibition | 15–30 (min.) | Percent (%) Inhibition | ||
| Negative control | - | 57.21 ± 0.42 | - | 78.07 ± 0.43 | - |
| FM10 | 25 | 18.10 ± 0.59 | 68.37 *** | 37.78 ± 0.73 | 51.61 *** |
| 50 | 12.31 ± 0.47 | 78.49 *** | 25.92 ± 0.98 | 66.80 *** | |
| 75 | 7.10 ± 0.92 | 87.59 *** | 18.42 ± 0.56 | 76.41 *** | |
| FM12 | 25 | 23.68 ± 0.68 | 58.62 *** | 41.43 ± 0.92 | 46.94 *** |
| 50 | 15.58 ± 0.48 | 72.78 *** | 30.56 ± 0.65 | 60.86 *** | |
| 75 | 09.42 ± 0.57 | 83.54 *** | 21.85 ± 0.87 | 72.02 *** | |
| Morphine | 5 | 6.50 ± 0.78 | 88.64 *** | 4.83 ± 0.62 | 93.81 *** |
| Morphine + Nalaxone | 5 + 02 | 51.32 ± 0.33 | 10.29 ** | 66.52 ± 0.40 | 14.79 *** |
| Indomethacin + Nalaxone | 10 + 02 | 34.00 ± 0.20 | 40.57 *** | 20.00 ± 0.74 | 74.38 *** |
| Samples | Dose mg/kg | Reaction Time on Hot Plate in (min) | |||
|---|---|---|---|---|---|
| 15 | 30 | 45 | 60 | ||
| -ve control | - | 3.91 ± 0.52 | 4.95 ± 0.39 | 3.35 ± 0.59 | 1.73 ± 0.44 |
| FM10 | 25 | 8.50 ± 0.64 *** | 8.83 ± 0.64 *** | 7.52 ± 0.76 *** | 6.66 ± 0.33 *** |
| 50 | 10.78 ± 0.32 *** | 9.26 ± 0.43 *** | 9.10 ± 0.57 *** | 8.74 ± 0.46 *** | |
| 75 | 13.52 ± 0.65 *** | 12.23 ± 0.44 *** | 11.54 ± 0.64 *** | 10.36 ± 0.54 *** | |
| FM12 | 25 | 7.50 ± 0.64 *** | 8.36 ± 0.49 *** | 7.27 ± 0.48 *** | 6.45 ± 0.74 *** |
| 50 | 9.42 ± 0.74 *** | 8.52 ± 0.45 *** | 8.26 ± 0.47 *** | 7.39 ± 0.67 *** | |
| 75 | 12.44 ± 0.62 *** | 11.51 ± 0.62 *** | 9.54 ± 0.75 *** | 9.36 ± 0.54 *** | |
| Morphine | 5 | 12.88 ± 0.26 *** | 12.31 ± 0.62 *** | 11.86 ± 0.87 *** | 11.22 ± 0.45 *** |
Publisher’s Note: MDPI stays neutral with regard to jurisdictional claims in published maps and institutional affiliations. |
© 2022 by the authors. Licensee MDPI, Basel, Switzerland. This article is an open access article distributed under the terms and conditions of the Creative Commons Attribution (CC BY) license (https://creativecommons.org/licenses/by/4.0/).
Share and Cite
Mahmood, F.; Khan, J.A.; Mahnashi, M.H.; Jan, M.S.; Javed, M.A.; Rashid, U.; Sadiq, A.; Hassan, S.S.u.; Bungau, S. Anti-Inflammatory, Analgesic and Antioxidant Potential of New (2S,3S)-2-(4-isopropylbenzyl)-2-methyl-4-nitro-3-phenylbutanals and Their Corresponding Carboxylic Acids through In Vitro, In Silico and In Vivo Studies. Molecules 2022, 27, 4068. https://doi.org/10.3390/molecules27134068
Mahmood F, Khan JA, Mahnashi MH, Jan MS, Javed MA, Rashid U, Sadiq A, Hassan SSu, Bungau S. Anti-Inflammatory, Analgesic and Antioxidant Potential of New (2S,3S)-2-(4-isopropylbenzyl)-2-methyl-4-nitro-3-phenylbutanals and Their Corresponding Carboxylic Acids through In Vitro, In Silico and In Vivo Studies. Molecules. 2022; 27(13):4068. https://doi.org/10.3390/molecules27134068
Chicago/Turabian StyleMahmood, Fawad, Jamshaid Ali Khan, Mater H. Mahnashi, Muhammad Saeed Jan, Muhammad Aamir Javed, Umer Rashid, Abdul Sadiq, Syed Shams ul Hassan, and Simona Bungau. 2022. "Anti-Inflammatory, Analgesic and Antioxidant Potential of New (2S,3S)-2-(4-isopropylbenzyl)-2-methyl-4-nitro-3-phenylbutanals and Their Corresponding Carboxylic Acids through In Vitro, In Silico and In Vivo Studies" Molecules 27, no. 13: 4068. https://doi.org/10.3390/molecules27134068
APA StyleMahmood, F., Khan, J. A., Mahnashi, M. H., Jan, M. S., Javed, M. A., Rashid, U., Sadiq, A., Hassan, S. S. u., & Bungau, S. (2022). Anti-Inflammatory, Analgesic and Antioxidant Potential of New (2S,3S)-2-(4-isopropylbenzyl)-2-methyl-4-nitro-3-phenylbutanals and Their Corresponding Carboxylic Acids through In Vitro, In Silico and In Vivo Studies. Molecules, 27(13), 4068. https://doi.org/10.3390/molecules27134068

