Abstract
GM1 gangliosidosis is a rare lysosomal disease caused by the deficiency of the enzyme β-galactosidase (β-Gal; GLB1; E.C. 3.2.1.23), responsible for the hydrolysis of terminal β-galactosyl residues from GM1 ganglioside, glycoproteins, and glycosaminoglycans, such as keratan-sulfate. With the aim of identifying new pharmacological chaperones for GM1 gangliosidosis, the synthesis of five new trihydroxypiperidine iminosugars is reported in this work. The target compounds feature a pentyl alkyl chain in different positions of the piperidine ring and different absolute configurations of the alkyl chain at C-2 and the hydroxy group at C-3. The organometallic addition of a Grignard reagent onto a carbohydrate-derived nitrone in the presence or absence of a suitable Lewis Acid was exploited, providing structural diversity at C-2, followed by the ring-closure reductive amination step. An oxidation-reduction process allowed access to a different configuration at C-3. The N-pentyl trihydroxypiperidine iminosugar was also synthesized for the purpose of comparison. The biological evaluation of the newly synthesized compounds was performed on leucocyte extracts from healthy donors and identified two suitable β-Gal inhibitors, namely compounds 10 and 12. Among these, compound 12 showed chaperoning properties since it enhanced β-Gal activity by 40% when tested on GM1 patients bearing the p.Ile51Asn/p.Arg201His mutations.
1. Introduction
GM1 gangliosidosis (MIM# 230500) is a lysosomal storage disorder (LSD) caused by the deficiency of lysosomal β-galactosidase (β-Gal; GLB1; E.C. 3.2.1.23), an enzyme deputed to the hydrolysis of the terminal β-galactosyl residues from GM1 ganglioside, glycoproteins, and glycosaminoglycans, such as keratan-sulfate []. GM1 gangliosidosis is considered a neurodegenerative disorder classified into three clinical subtypes: severe infantile (type I; OMIM #230500), late-infantile/juvenile (type II; OMIM #230600), and milder adult (type III; OMIM #230650) forms []. The severe infantile form (type I) is fatal by 1–2 years old and associated with severe progressive neurological symptoms that manifest during early infancy. Patients with the juvenile form (type II) manifest first symptoms at 2–3 years, show the slower progression of the disease and have a relatively higher life expectancy (late childhood or early adolescence). Type III GM1 gangliosidosis is the mildest form, with later onset of symptoms (early to mid-adolescence) and higher life expectancy. The estimated incidence of GM1 gangliosidosis is in the range of 1:100.000–200.000 live births [,], with some isolated communities being particularly affected (e.g., Malta, 1:3.700) [].
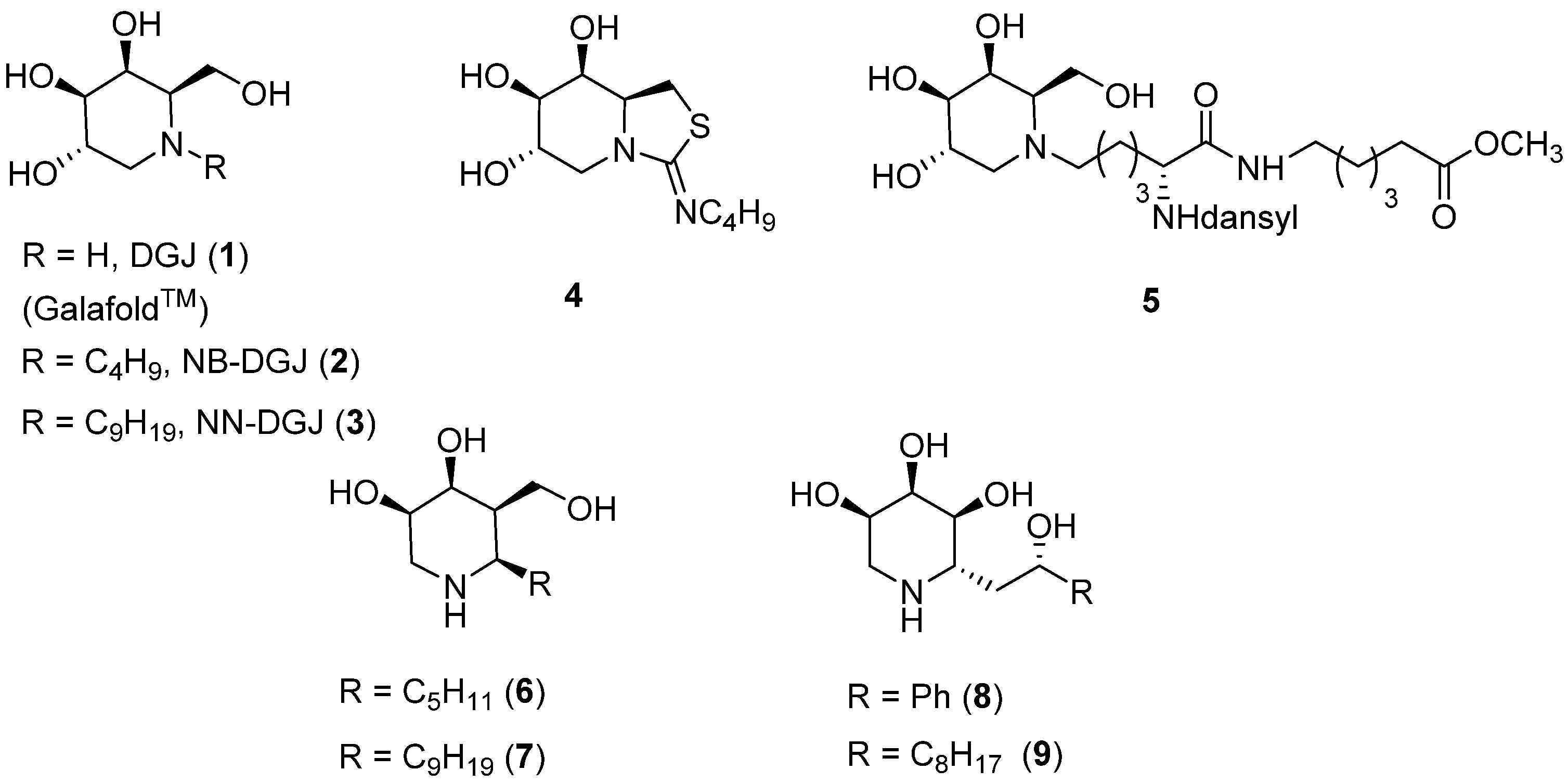
At present, there is no cure available for GM1 gangliosidosis. Symptomatic treatments for some of the neurologic symptoms are available but do not significantly alter the condition’s progression []. Therapies relying on pharmacological chaperones (PCs) may constitute a future option for the treatment of this disease. PCs are reversible inhibitors of the enzyme used in sub-inhibitory amounts, which interact with the mutated protein, favoring its proper conformation, improving its stability in the endoplasmic reticulum, preventing its aggregation and premature degradation, thus resulting in the rescue of enzymatic activity [,,,,]. In the past twenty years, several glycomimetic small molecules have been investigated as PCs for GM1 gangliosidosis, such as 1-deoxygalactonojirimycin (DGJ (1); Figure 1) [,]. This compound was later approved for Fabry Disease, another LSD, under the trade name of GalafoldTM [].
Figure 1.
Structures of some imino- and azasugars inhibitors and chaperones of β-Gal.
The ability of 1 to rescue the activity of mutant β-Gal up to 7-fold in human fibroblasts from patients with GM1 gangliosidosis was demonstrated in 2001 []. Since then, great synthetic efforts have identified more potent PCs towards GM1 gangliosidosis (Figure 1) []. Several N-alkylated DGJ derivatives were synthesized with enhanced specificity and affinity to galactosidases, such as N-butyl-DGJ (NB-DGJ (2); Figure 1) and N-nonyl-DGJ (NN-DGJ (3); Figure 1) [,]. The bicyclic sp2-iminosugar isothiourea derivative 6S-NBI-DGJ (5N,6S-[N′-butyliminomethylidene)-6-thio-1-deoxygalactonojirimycin (4); Figure 1) resulted in a sixfold β-Gal activity enhancement in the fibroblasts from patients homozygous for the juvenile GM1 mutation p.Arg201Cys [,,] and showed promising properties as PC in a GM1 gangliosidosis mouse model []. A significant contribution was also provided by the Graz group, starting with the compound coined as DLHEX-DGJ (5), which showed significant activity enhancement (18-fold) with chaperone-sensitive p.Arg201Cys and p.Arg201His cell lines at 500 µM []. In addition, several C-alkylated azasugars (C-pentyl-4-epi-isofagomine 6 and its nonyl analogous 7, Figure 1) were found to be potent and selective inhibitors of human lysosomal β-Gal able to the half-maximal recovery of β-Gal activity. However, compound 7 also strongly inhibited lysosomal β-glucosidase, which may cause undesirable side effects [,]. Moreover, the “all-cis” trihydroxypiperidines 8 and 9 (Figure 1) were suitable inhibitors of lysosomal β-Gal and were able to increase β-Gal activity in GM1 gangliosidosis patient fibroblasts up to two–sixfold (at <100 µM concentration) [].
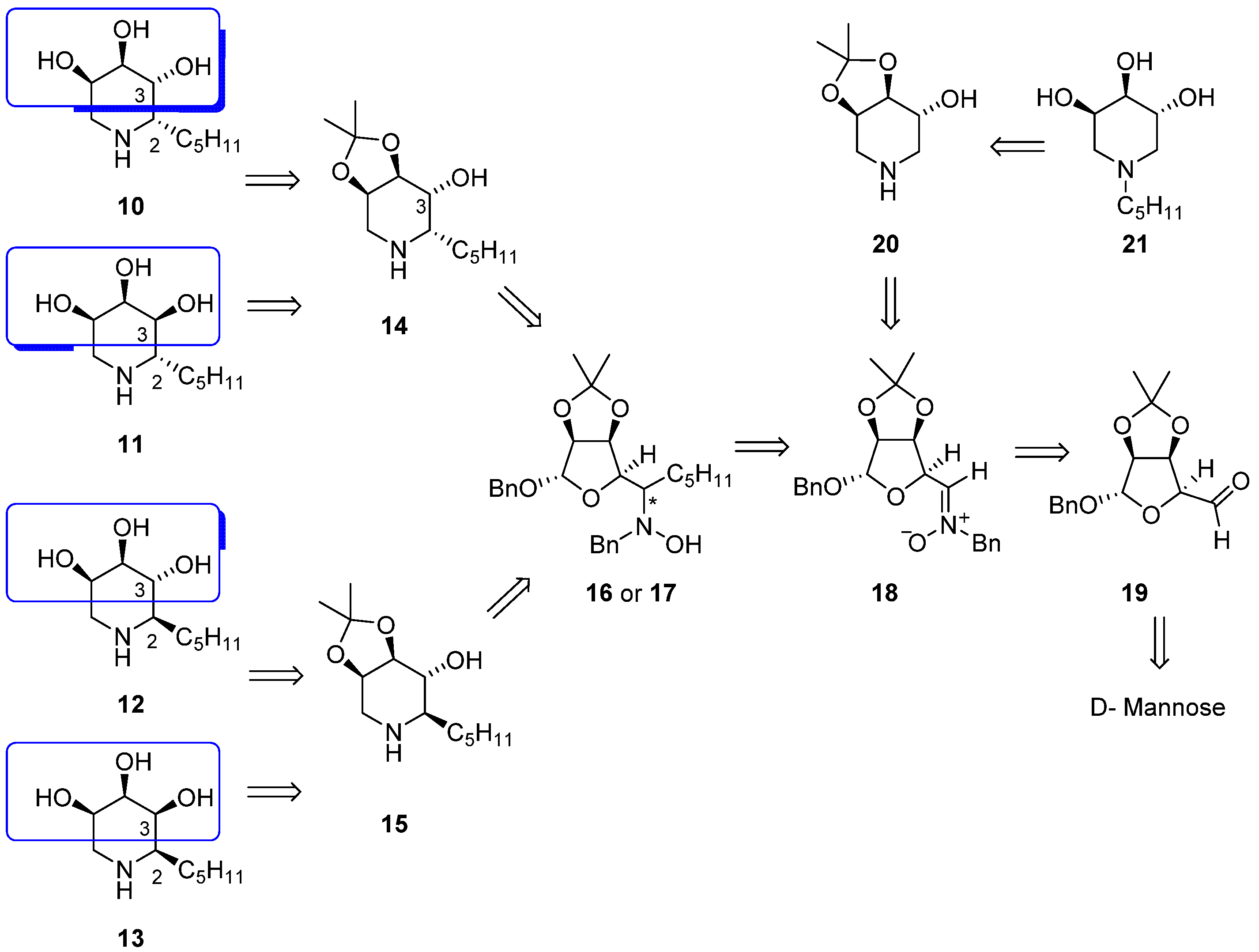
Based on the observation that the configuration of the carbon atoms bearing the hydroxy groups and the position of the alkyl chain play a subtle role in the biological activity of β-Gal, the straightforward stereoselective synthesis of four novel C-2 pentyl trihydroxypiperidines 10, 11, 12 and 13 (Scheme 1) was undertaken. The new compounds are C-2 alkylated trihydroxypiperidines with two different stereochemical patterns at the hydroxy groups and the opposite absolute configuration at C-2. The choice of a pentyl alkyl chain (instead of a longer one) was made to avoid undesirable side effects due to lysosomal β-glucosidase inhibition [,].
Scheme 1.
Retrosynthetic stereodivergent strategy to yield C-2 pentyl trihydroxypiperidines 10, 11, 12 and 13, starting from the two common intermediates 14 and 15, in turn, obtained from d-mannose-derived nitrone 18.
The target compounds were obtained starting from two common intermediates 14 and 15, which could afford, respectively, both the trihydroxypiperidines 10 and 12 through simple O- and N-deprotection, and the “all-cis” trihydroxypiperidines 11 and 13, epimeric at C-3, through an oxidation-reduction sequence after temporary nitrogen protection. The piperidine intermediates 14 and 15 could be obtained via intramolecular reductive amination (RA) [] of hydroxylamines 16 and 17 with an S or R absolute configuration at the newly formed stereocenter, in turn, derived from Grignard reagent additions onto nitrone 18 in the presence or absence of a suitable Lewis Acid (Scheme 1). Nitrone 18 was readily accessed from 19 with an 85% yield by reaction with N-benzyl hydroxylamine in dry CH2Cl2 []. Aldehyde 19 was synthesized in four steps from d-mannose on a gram scale []. To confirm the role of the chain position on activity, compound 21 was synthesized starting from the piperidine intermediate 20 through N-Alkylation. The piperidine intermediate 20 was obtained from 18 by RA [].
In this work, the synthesis of the target compounds 10–13 and 21 is described, together with the biological evaluation of their effect on the human lysosomal β-Gal enzyme and an in vitro study on fibroblast cell lines bearing the p.Ile51Asn/p.Arg201His and the p.Arg201His/Tyr83LeufsX8 mutations from juvenile GM1 gangliosidosis patients.
2. Results and Discussion
2.1. Chemistry: Synthesis and Structural Assignment
The addition of pentylmagnesium bromide to nitrone 18 in dry THF at −78 °C for 3 h afforded a good yield (70%, entry 1, Table 1) of the corresponding hydroxylamines 16 and 17 in a 3.5:1 ratio in favor of the hydroxylamine 16 with the (S) absolute configuration at the newly formed stereocenter. The addition of the same Grignard reagent in the presence of BF3·Et2O (1.0 equiv.) resulted in a reversal of stereoselectivity, and the hydroxylamine 17 with an (R) absolute configuration at the newly formed stereocenter was formed with a dr = 5.0:1 (entry 2, Table 1). In keeping with the findings of previous experiments with different Grignard reagents, the two hydroxylamines 16 and 17, which were readily separable by flash column chromatography, were not stable in air and spontaneously partially oxidized to the corresponding nitrones 22 and 23 (Scheme 2) [,]. Their formation was attested by 1H-NMR and MS analyses immediately after purification by column chromatography; complete characterization was carried out after oxidation of the hydroxylamines 16 and 17 to nitrones 22 and 23 with the hypervalent iodine reagent IBX in dry CH2Cl2 (Scheme 2) [].
Table 1.
Addition of pentyl magnesium bromide to nitrone 18.
Scheme 2.
Oxidation of hydroxylamines 16 and 17 with IBX: synthesis of nitrones 22 and 23.
The hydroxylamine/nitrone mixtures were employed in the ring-closure RA step with H2 as a reducing agent (balloon), Pd/C as a catalyst and two equivalents of acetic acid in MeOH, affording the piperidines 14 and 15, (S)- and (R)-configured at C-2, respectively, in 2 days and excellent yields after treatment with a strongly basic anion exchange resin (Scheme 3).
Scheme 3.
The ring-closure reductive amination sequence.
Careful analysis of the 1H-NMR, 2D-NMR and 1D-NOESY spectra carried out on piperidines 14 and 15 confirmed the stereochemical outcome of the Grignard addition. The 1H-NMR signals of the azasugar portion for piperidines 14 and 15, together with their coupling constants, are shown in Figure 2. For compound 14, 1D-NOESY spectra did not help to elucidate the structural assignment. However, its 1H-NMR spectra showed small couplings constants for 3J2–3, 3J3–4 and 3J4–5 (2.0 Hz, 3.2 Hz and 5.2 Hz, respectively). This pattern is in agreement with an (S) absolute configuration at C-2, with the piperidine displaying a preferred 1C4 conformation (slightly distorted due to the fused dioxolane ring) in which the bulky chain lies in the equatorial position and H-3 and H-4 are in an equatorial orientation (Figure 2). In the 1D-NOESY spectra of compound 15, strong NOE correlation peaks were observed between H-2 and H-4, H-4 and Hb-6, and H-2 and Hb-6, which testify to their mutual 1,3-diaxial position and allow to confirm the (R) configuration at C-2 (see Supplementary Materials). Indeed, the axial orientation of H-2 derives from a preferred 4C1 conformation, which accommodates the bulky chain again in an equatorial position (Figure 2).
Figure 2.
The two possible chair conformations of piperidines 14 and 15. Dihedral angles between bonds analysed for the determination of the preferred conformation are shown in blue. Red double-ended arrows show the observed diagnostic NOE correlation peaks in the 1D-NOESY NMR spectra. 1H-NMR chemical shifts of selected signals are reported, with the corresponding coupling constants in parenthesis (in Hz).
Final removal of the acetonide protecting groups under acidic conditions (aqueous HCl in MeOH) followed by basic treatment afforded the target trihydroxypiperidines 10 and 12 as free amines in good yields (Scheme 4).
Scheme 4.
The final deprotection step.
The inversion of configuration at C-3 in compounds 11 and 13 was achieved through an oxidation–reduction sequence carried out on temporarily N-protected piperidines (Scheme 5 and Scheme 6).
Scheme 5.
Protection–oxidation sequence.
Scheme 6.
Reduction-deprotection sequence.
The protection of piperidines 14 and 15 with the tert-butyloxycarbonyl group to obtain compounds 24 and 25, followed by oxidation with Dess Martin periodinane, provided the key ketone intermediates 26 and 27 in good yields over two steps (Scheme 5). Both ketones underwent sodium borohydride reduction in good yields and high selectivity, showing the same preference for an attack on the Re face, which produced the all-cis relative configuration in the resulting trihydroxypiperidines (Scheme 6). The high stereoselectivity observed in the reduction of 26 and 27 to 28 and 29, respectively, can be ascribed to a strongly favoured axial attack of hydride at the C-3 carbonyl in the 1C4 chair conformation in both cases. Indeed, this conformation allows a kinetically favoured approach of hydride anti to the vicinal C-O bond, thus enjoying TS stabilization by the low-lying energy σ* of C-O bond according to the Felkin–Anh model (Figure 3) [,].
Figure 3.
Favored axial attack of hydride to C=O bond.
Final removal of the acetonide protecting groups of 28 and 29 under acidic conditions (aqueous HCl in MeOH), followed by basic treatment afforded the target trihydroxypiperidines 11 and 13 as free amines in excellent yields (92% and 98%, Scheme 6).
The occurred inversion of configuration at C-3 in compounds 11 and 13 and their preferred conformation were established on the basis of careful analysis of their 1H-NMR and 1D-NOESY spectra. In particular, for compound 11, a strong NOE correlation peak between H-3 and H-5 was observed (Figure 4). Together with the high coupling constants observed for the signal of H-3, this finding confirmed an axial orientation of this proton with an ax-ax relationship with H-2 (J = 8.0 Hz) and a 1,3-diaxial interaction with H-5. This pattern agrees with an (S) absolute configuration at C-3, with the piperidine displaying a preferred 1C4 conformation in which the bulky chain lies in the equatorial position. 1D-NOESY studies for compound 13 showed strong NOE peaks correlating protons H-2, Hb-6 and H-4 (Figure 4) (see Supplementary Materials). Moreover, the 1H-NMR spectrum showed broad singlets for protons H-3 and H-5, consistent with their equatorial position. These evidences confirm the (S) configuration at C-3 and a 4C1 conformation in which the bulky chain is equatorial.
Figure 4.
The two possible chair conformations of piperidines 11 and 13. Dihedral angles between bonds analysed for the determination of the preferred conformation are shown in blue. Red double-ended arrows show the observed diagnostic NOE correlation peaks in the 1D-NOESY NMR spectra. 1H-NMR chemical shifts of selected signals are reported, with the corresponding coupling constants in parenthesis (in Hz).
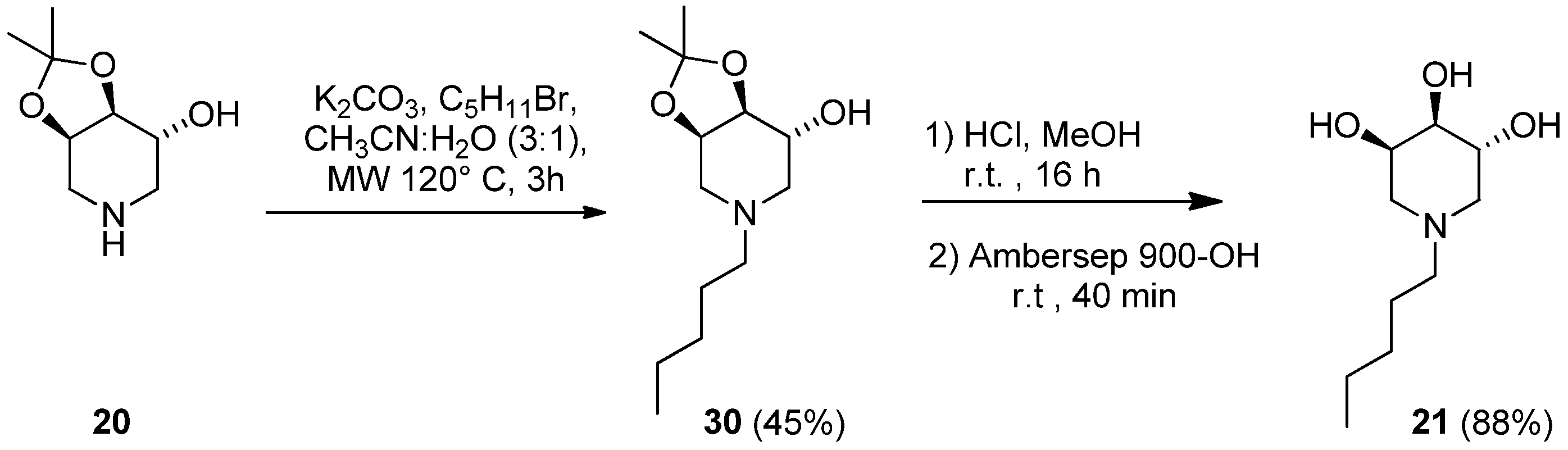
To investigate the role played by the position of the alkyl chain on the biological activity, the trihydroxypiperidine 21 alkylated at nitrogen with a pentyl chain was also synthesized. This aim was achieved by alkylation of piperidine 20 followed by deprotection of the acetonide group of 30 (40% yield over two steps, Scheme 7).
Scheme 7.
Alkylation and deprotection to afford compound 21.
2.2. Preliminary Biological Screening towards Human β-Galactosidase and β-Glucosidase
It is known that 3,4,5-trihydroxipiperidine display its biological properties in its fully deprotected form []. Therefore, the target compounds 10–13 and 21 were first evaluated as human lysosomal β-Gal inhibitors at 1 mM in human leukocyte homogenates, and as human lysosomal β-Glu (β-glucosidase) inhibitors at 1 mM in order to evaluate the selectivity of the new compounds. The results are shown in Table 2. Only compounds 10 and 12 showed a good selectivity and considerable 90% and 42% inhibitory activity towards β-Gal, with a moderate IC50 (400 ± 15 µM and 1.15 ± 0.1 mM, respectively). The trihydroxypiperidine 10 with the (S) configuration at C-2 (Table 2, Entry 1) was more active than the corresponding epimeric trihydroxypiperidine 12 with the (R) configuration (Table 2, Entry 2). The presence of a pentyl chain in trihydroxypiperidines 10 and 12 appears to benefit the inhibitory activity, in agreement with previous results [,].
Table 2.
β-Gal and GCase (β-Glu) inhibition in human leukocytes from healthy donors.
Conversely, the opposite configuration at C-3 as in compounds 11 and 13 resulted in a dramatic decrease of β-Gal inhibition (down to 36% and 35%, respectively, regardless of the configuration at C-2) (Table 2, entries 3 and 4 vs. entries 1 and 2) in line with our previous results on alkylated azasugars with a relative “all-cis” configuration at the hydroxy/amine-substituted stereocenters []. These results confuted our expectations that inhibition of β-Gal might benefit from the “all-cis” configuration of the three hydroxy groups. Moreover, the “all-cis” configuration made compounds 11 and 13 better inhibitors of β-Glu, eroding any selectivity in inhibition of the two enzymes. N-Alkylation in compound 21 was also deleterious for inhibition against β-Gal (Table 2, Entry 5). None of the newly synthesized compounds showed a significant inhibition towards β-glucosidase at 1 mM (from 1% to 45%). Once again, the results highlight that the presence of a longer alkyl chain is essential for providing affinity towards β-glucosidase [,,,,,].
Since literature data show that potent PCs for β-Gal can also be found among moderate and relatively good inhibitors [], the ability of compounds 10 and 12 to rescue the enzymatic activity of β-Gal on cell lines bearing selected mutations was tested.
Kinetic analyses were also performed to determine the mechanism of action of 12 (see Supplementary Materials), which showed chaperoning properties (see Section 2.3). The results indicate that it acts as a noncompetitive β-Gal inhibitor, with a Ki value of 1.4 ± 0.7 mM.
2.3. Pharmacological Chaperoning Activity
In this experiment, the inhibitors of β-Gal 10 and 12 were incubated for four days with fibroblasts from two juvenile GM1 gangliosidosis patients bearing p.Ile51Asn/p.Arg201His and p.Arg201His/Tyr83LeufsX8 mutations, respectively, followed by assays of cell lysates for lysosomal β-Gal activity (see Supplementary Materials). The experiments showed that all compounds are non-toxic at high concentrations in both cell lines. Compound 12 showed a β-Gal activity rescue of 1.40-fold at 600 µM on GM1 patient fibroblasts bearing the p.Ile51Asn/p.Arg201His mutations.
The results obtained suggest that only the p.Ile51Asn/p.Arg201His mutations are responsive to our compound. Interestingly, the stronger inhibitor 10 did not show any enzyme activity rescue.
To the best of our knowledge, compound 12 represents the first example of a non-competitive β-Gal inhibitor acting as a pharmacological chaperone on GM1 patients’ cells. A chaperoning behaviour for other noncompetitive inhibitors of lysosomal enzymes has been previously observed, in particular for gene mutations leading to Gaucher, Fabry, Pompe, and Tay–Sachs diseases [].
3. Materials and Methods
3.1. General Experimental Procedures for the Syntheses
Commercial reagents were used as received. All reactions were carried out under magnetic stirring and monitored by TLC on 0.25 mm silica gel plates (Merck F254). Column chromatographies were carried out on Silica Gel 60 (32–63 µm) or on silica gel (230–400 mesh, Merck, Darmstadt, Germany). Yields refer to spectroscopically and analytically pure compounds unless otherwise stated. 1H-NMR spectra were recorded on a Varian Gemini 200 MHz, a Varian Mercury 400 MHz, or on a Varian INOVA 400 MHz instrument at 25 °C. 13C-NMR spectra were recorded at 50 MHz or at 100 MHz. Chemical shifts are reported relative to CDCl3 (1H: δ = 7.27 ppm, 13C: δ = 77.0 ppm). Integrals are in accordance with assignments; coupling constants are given in Hz. For detailed peak assignments, 2D spectra were measured (g-COSY, g-HSQC) and 1D-NOESY. Small-scale microwave-assisted syntheses were carried out in a microwave apparatus for synthesis (CEM Discover) with an open reaction vessel and external surface sensor. The following abbreviations were used to designate multiplicities: s = singlet, d = doublet, t = triplet, q = quartet, m = multiplet, br s = broad singlet, and dd = double-doublet. IR spectra were recorded with an IRAffinity-1S Shimadzu spectrophotometer. ESI-MS spectra were recorded with a Thermo Scientific LCQ fleet ion trap mass spectrometer. Elemental analyses were performed with a Thermo Finnigan FLASH EA 1112 CHN/S analyzer. Optical rotation measurements were performed on a JASCO DIP-370 polarimeter.
3.1.1. Synthesis of Benzyl-2,3-O-(1-methylethylidene)-β-l-gulofuranoside-5-(pentyl)-5-(N-benzyl-hydroxylamine) (16) and Benzyl-2,3-O-(1-methylethylidene)-α-d-mannofuranoside-5-(pentyl)-5-(N-benzyl-hydroxylamine) (17)
Method A: General Procedure without Lewis Acid
A solution of nitrone 18 (452 mg, 1.2 mmol) in dry THF (25 mL) was stirred at −78 °C under a nitrogen atmosphere, and pentylMgBr (1.8 mL, 2.2 mmol) was slowly added. The reaction mixture was stirred for 3 h until a TLC control (PEt/EtOAc 1:1) attested to the disappearance of the starting material. A 1M NaOH solution (10 mL) and Et2O (10 mL) were added to the mixture at 0 °C and left stirring for 20 min. The two layers were separated, and the aqueous layer was extracted with Et2O (2 × 10 mL). The combined organic layers were washed with brine (2 × 30 mL), dried with Na2SO4, and concentrated under reduced pressure to give a mixture of hydroxylamines 16 and 17 (16:17 ratio 3.5:1; the 16:17 ratio was determined by integration of 1H-NMR signals of the crude reaction mixtures). The crude mixture was purified by silica gel column chromatography (gradient eluent from PEt/EtOAc 13:1 to 10:1) to give 16 (337 mg, 0.74 mmol, Rf = 0.35, PEt/EtOAc 10:1) and 17 (46 mg, 0.10 mmol, Rf = 0.25, PEt/EtOAc 10:1) corresponding to 70% total yield.
The secondary hydroxylamines 16 and 17 spontaneously oxidize to the corresponding nitrones 22 and 23, so only 1H-NMR and MS-ESI spectra were performed immediately after their purification by column chromatography.
16: colourless oil. 1H-NMR (400 MHz, CDCl3) δ = 7.43–7.26 (m, 10H, Ar), 5.17 (s, 1H, H-1), 4.79 (d, J = 11.6 Hz, 1H, OCH2Ar), 4.71–4.70 (m, 1H, H-3), 4.63 (d, J = 5.6 Hz, 1H, H-2), 4.58 (d, J = 11.6 Hz, 1H, OCH2Ar), 4.43 (d, J = 9.2 Hz, 1H, H-4), 4.27 (d, J = 14.0 Hz, 1H, NCH2Ar), 4.04 (d, J = 14.0 Hz, 1H, NCH2Ar), 3.30–3.26 (m, 1H, H-5), 1.54–1.51 (m, 4H, H-1′ and H-2′) 1.45 (s, 3H, C(CH3)2), 1.36–1.26 (m, 7H, C(CH3)2), H-3′–H-4′), 0.91 (t, J = 6.2 Hz, 3H, H-5′) ppm. C27H37NO5: mass required m/z = 455.27; mass found—MS (ESI) m/z (%) = 478.21 (100) [M + Na]+, 456.15 (35) [M + H]+.
17: colourless oil. 1H-NMR (400 MHz, CDCl3) δ = 7.37–7.24 (m, 10H, Ar), 5.07 (s, 1H, H-1), 4.98 (br s, OH), 4.82–4.80 (m, 1H, H-3), 4.66 (d, J = 11.6 Hz, 1H, OCH2Ar), 4.63 (d, J = 5.6 Hz, 1H, H-2), 4.50 (d, J = 11.6 Hz, 1H, OCH2Ar), 4.33–4.31 (m, 1H, H-4), 3.91 (s, 2H, NCH2Ar), 3.31 (q, J = 5.9 Hz, 1H, H-5), 1.78–1.72 (m, 2H, H-1′), 1.59–1.52 (m, 2H, H-2′), 1.43 (s, 3H, C(CH3)2), 1.35–1.26 (m, 7H, H-3′–H-4′ and C(CH3)2), 0.93 (t, J = 6.0 Hz, 3H, H-5′) ppm. C27H37NO5: mass required m/z = 455.27; mass found—MS (ESI) m/z (%) = 478.19 (100) [M + Na]+,456.15 (31) [M + H]+.
Method B: General Procedure with Lewis Acid
To a stirred solution of nitrone 18 (368 mg, 0.96 mmol) in dry THF (20 mL) at room temperature, boron trifluoride diethyl etherate (118 µL, 0.96 mmol) as Lewis acid was added, and the resulting mixture was stirred at room temperature under nitrogen atmosphere for 15 min. The reaction mixture was cooled at −30 °C and pentylMgBr (1.5 mL, 1.73 mmol) was slowly added. The reaction mixture was stirred at −30 °C for 2 h until a TLC control (PEt/EtOAc 1:1) attested to the disappearance of the starting material. A 1 M NaOH solution (10 mL) and Et2O (10 mL) were added to the mixture at 0 °C and left stirring for 20 min. The two layers were separated, and the aqueous layer was extracted with Et2O (2 × 10 mL). The combined organic layers were washed with brine (2 × 30 mL) and dried with Na2SO4, and concentrated under reduced pressure to give a mixture of hydroxylamines 16 and 17 (16:17 ratio 1:5; the 16:17 ratio was determined by integration of 1H-NMR signals of the crude reaction mixtures). The crude mixture was purified by silica gel column chromatography (gradient eluent from PEt/EtOAc 13:1 to 10:1) to give 16 (50 mg, 0.11 mmol, Rf = 0.35, PEt/EtOAc 10:1) and 17 (280 mg, 0.61 mmol, Rf = 0.25, PEt/EtOAc 10:1) corresponding to 75% total yield.
The secondary hydroxylamines 16 and 17 spontaneously oxidize to the corresponding nitrones 22 and 23, so only 1H-NMR and MS-ESI spectra were performed immediately after their purification by column chromatography.
3.1.2. Synthesis of Benzyl-2,3-O-(1-methylethylidene)-β-l-gulofuranoside-5-(pentyl)-5-(phenylmethanimine oxide) (22)
To a stirred solution of hydroxylamine 16 (19.5 mg, 0.04 mmol) in dry CH2Cl2 (2 mL), IBX (2-Iodoxybenzoic acid contains stabilizer (45 wt. %) (40 mg, 0.06 mmol) was added, and the resulting mixture was stirred under nitrogen atmosphere at room temperature for 3 h when a TLC control (PEt/EtOAc 10:1) attested the disappearance of the starting material. A saturated solution of NaHCO3 (4 mL) was added, and the two layers were separated and the aqueous layer was extracted with CH2Cl2 (3 × 5 mL). The combined organic layers were washed with brine (2 × 6 mL) and concentrated after drying with Na2SO4. The residue was purified by silica gel flash column chromatography (PEt/EtOAc from 10:1) to give nitrone 22 (17.7 mg, 0.039 mmol, 98%, Rf = 0.25) as a straw-yellow oil.
22: straw yellow oil. = +44.9 (c = 1.00, CHCl3). 1H-NMR (400 MHz, CDCl3) δ = 8.34–8.32 (m, 2H, HC = N and Ar), 7.46–7.43 (m, 4H, Ar), 7.30–7.23 (m, 5H, Ar), 5.01 (s, 1H, H-1), 4.77–4.74 (m, 1H, H-3), 4.67 (dd, J = 2.6, 5.8 Hz, 1H, H-2), 4.61–4.58 (m, 2H, OCH2Ar and H-4), 4.33 (d, J = 11.6 Hz, 1H, OCH2Ar), 4.08–4.03 (m, 1H, H-5), 2.17–2.11 (m, 1H, Ha-1′), 1.69–1.64 (m, 1H, Hb-1′), 1.50 (s, 3H, C(CH3)2), 1.33–1.26 (m, 9H, C(CH3)2 and H-2′-H-4′), 0.88–0.86 (m, 3H, H-5′) ppm. 13C-NMR (50 MHz, CDCl3) δ = 137.2 (1C, Ar), 134.4 (1C, Ar), 130.8 (1C, Ar), 130.2–127.9 (10C, Ar and HC = N), 112.6 (C(CH3)2), 104.5 (C-1), 85.4 (C-2), 79.7 (C-3), 79.1 (C-4), 76.7 (C-5), 68.8 (OCH2Ar), 31.5, 27.7, 26.2, 25.5, 24.8, 22.6 (6C, C-1′–C-4′, and C(CH3)2), 14.2 (C-5′) ppm. MS (ESI): m/z (%) = 928.62 (100) [2M + Na]+, 476.16 (33) [M + Na]+. IR (CDCl3): = 974, 1080, 1107, 1209, 1456, 1582, 2243, 2858, 2932, 3032, 3065 cm−1. C27H35NO5 (453.58): calcd. C, 71.50; H, 7.78; N, 3.09; found C, 71.81; H, 7.53; N, 2.97.
3.1.3. Synthesis of Benzyl-2,3-O-(1-methylethylidene)-α-d-mannofuranoside-5-(pentyl)-5-(phenylmethanimine oxide) (23)
To a stirred solution of hydroxylamine 17 (22.2 mg, 0.05 mmol) in dry CH2Cl2 (2 mL), IBX (2-Iodoxybenzoic acid contains stabilizer (45 wt. %) (50 mg, 0.08 mmol) was added and the resulting mixture was stirred under nitrogen atmosphere at room temperature for 3 h when a TLC control (PEt/EtOAc 10:1) attested the disappearance of the starting material. A saturated solution of NaHCO3 (4 mL) was added and the two layers were separated and the aqueous layer was extracted with CH2Cl2 (3 × 5 mL). The combined organic layers were washed with brine (2 × 6 mL) and concentrated after drying with Na2SO4. The residue was purified by silica gel flash column chromatography (PEt/EtOAc from 10:1.2) to give nitrone 23 (22.2 mg, 0.049 mmol, 98%, Rf = 0.25) as a straw-yellow oil.
23: straw yellow oil. = +79.8 (c = 0.80, CHCl3). 1H-NMR (400 MHz, CDCl3) δ = 8.27–8.25 (m, 2H, HC = N and Ar), 7.43–7.41 (m, 4H, Ar), 7.38–7.24 (m, 5H, Ar), 5.06 (s, 1H, H-1), 4.70–4.68 (m, 1H, H-3), 4.67 (d, J = 11.6 Hz, 1H, OCH2Ar), 4.60 (d, J = 5.6 Hz, 1H, H-2), 4.49 (d, J = 11.6 Hz, 1H, OCH2Ar), 4.47–4.46 (m, 1H, H-4), 4.18–4.13 (m, 1H, H-5), 2.15–2.11 (m, 1H, Ha-1′), 1.84–1.78 (m, 1H, Hb-1′), 1.47 (s, 3H, C(CH3)2), 1.42–1.24 (m, 6H, H-2′–H-4′), 1.21 (s, 3H, C(CH3)2), 0.85 (t, J = 6.0 Hz, 3H, H-5′) ppm. 13C-NMR (100 MHz, CDCl3) δ = 137.5 (1C, Ar), 136.2 (1C, Ar), 130.6 (1C, Ar), 130.5–127.9 (10C, Ar and HC = N), 112.6 (C(CH3)2), 105.5 (C-1), 85.3 (C-2), 80.1 (C-4), 79.4 (C-3), 74.7 (C-5), 69.2 (OCH2Ar), 31.7, 29.7, 26.3, 25.7, 24.9, 22.7 (6C, C-1′–C-4′ and C(CH3)2), 14.2 (C-5′) ppm. MS (ESI): m/z (%) = 928.62 (100) [2M + Na]+, 476.18 (20) [M + Na]+. IR (CDCl3): = 974, 1080, 1107, 1209, 1456, 1582, 2243, 2860, 2932, 3032, 3065 cm−1. C27H35NO5 (453.58): calcd. C, 71.50; H, 7.78; N, 3.09; found C, 71.73; H, 7.58; N, 3.00.
3.1.4. Synthesis of (2S,3R,4S,5R)-3-Hydroxy-4,5-O-(1-methylethylidene)-2-pentylpiperidine (14)
To a mixture of hydroxylamine 16 (314 mg, 0.69 mmol in the presence of nitrone 22) in MeOH (35 mL), acid acetic (80 µL, 1.38 mmol) and Pd/C (160 mg) were added under a nitrogen atmosphere. The mixture was stirred at room temperature under a hydrogen atmosphere (balloon) for two days until a control by 1H-NMR spectroscopy attested the presence of acetate salt of 3-hydroxy-4,5-O-(1-methylethylidene)-2-pentylpiperidine piperidine 14. The mixture was filtered through Celite®, and the solvent was removed under reduced pressure. The corresponding free amine was obtained by dissolving the residue in MeOH, then the strongly basic resin Ambersep 900-OH was added, and the mixture was stirred for 40 min. The resin was removed by filtration and the crude product was purified on silica gel by flash column chromatography (CH2Cl2/MeOH/NH4OH (6%) 15:1:0.1) to afford 151 mg (0.62 mmol, 90% Rf = 0.30) of 14 as a white solid.
14: white solid m.p. 120–122 °C. = +36.05 (c = 2.00, CHCl3). 1H-NMR (400 MHz, CD3OD) δ = 4.19 (q, J = 6.3 Hz, 1H, H-5), 4.14 (dd, J = 5.2, 3.2 Hz, 1H, H-4), 3.80 (t, J = 2.6 Hz, 1H, H-3), 3.05 (dd, J = 5.6, 13.2, Hz, 1H, Hb-6), 2.73 (td, J = 2.0, 7.0 Hz, 1H, H-2), 2.66 (dd, J = 7.6, 13.2 Hz, 1H, Ha-6), 1.56–1.51 (m, 1H, Ha-1′), 1.47 (s, 3H, C(CH3)2), 1.43–1.33 (m, 10H, Hb-1′, C(CH3)2 and H-2′–H-4′), 0.92 (t, J = 7.0 Hz, 3H, H-5′) ppm. 13C-NMR (50 MHz, CD3OD) = 109.9 (C(CH3)2), 77.9 (C-4), 72.1 (C-5), 68.4 (C-3), 55.4 (C-2), 47.2 (C-6), 33.2, 31.3, 28.5, 26.9, 26.3, 23.7 (6C, C-1′–C-4′ and C(CH3)2), 14.4 (q, C-5′) ppm. MS (ESI): m/z (%) = 244.02 (100) [M + H]+. IR (CD3OD): = 1153, 1171, 1219, 1246, 1287, 1379, 1462, 2247, 2301, 2641, 2859, 2931, 3341 cm−1. C13H25NO3 (243.35): calcd. C, 64.16; H, 10.36; N, 5.76; found C, 64.14; H, 10.56; N, 5.60.
3.1.5. Synthesis of (2R,3R,4S,5R)-3-Hydroxy-4,5-O-(1-methylethylidene)-2-pentylpiperidine (15)
To a mixture of hydroxylamine 17 (150 mg, 0.33 mmol in the presence of nitrone 23) in MeOH (20 mL), acid acetic (38 µL, 0.66 mmol) and Pd/C (75 mg) were added under a nitrogen atmosphere. The mixture was stirred at room temperature under a hydrogen atmosphere (balloon) for two days, until a control by 1H-NMR spectroscopy attested the presence of acetate salt of 3-hydroxy-4,5-O-(1-methylethylidene)-2-pentylpiperidine piperidine 15. The mixture was filtered through Celite® and the solvent was removed under reduced pressure. The corresponding free amine was obtained by dissolving the residue in MeOH, then the strongly basic resin Ambersep 900-OH was added, and the mixture was stirred for 40 min. The resin was removed by filtration and the crude product was purified on silica gel by flash column chromatography (CH2Cl2/MeOH/NH4OH (6%) 15:1:0.1) to afford 72 mg (0.30 mmol, 91%, Rf = 0.30) of 15 as a colourless oil.
15: colourless oil. = −32.3 (c = 1.00, CHCl3). 1H-NMR (400 MHz, CD3OD) δ = 4.21–4.19 (m, 1H, H-5), 3.84 (t, J = 6.2 Hz, 1H, H-4), 3.32–3.24 (m, 2H, Ha-6 and H-3), 2.93 (d, J = 13.2 Hz, 1H, Hb-6), 2.27–2.21 (m, 1H, H-2), 1.83–1.78 (m, 1H, Ha-1′), 1.50 (s, 3H, C(CH3)2), 1.37 (s, 3H, C(CH3)2), 1.35–1.30 (m, 7H, Hb-1′and H-2′–H-4′), 0.92 (t, J = 6.0 Hz, 3H, H-5′) ppm. 13C-NMR (100 MHz, CD3OD) = 110.1 (C(CH3)2), 81.8 (C-4), 75.8 (C-3), 75.3 (C-5), 60.2 (C-2), 46.7 (C-6), 33.3–23.6 (6C, C-1′–C-4′and C(CH3)2), 14.4 (C-5′) ppm. 1D-NOESY: Irradiation of 2-H gave a NOE at H-4 and Hb-6, and irradiation of H-4 gave a NOE at H-2 and Hb-6. MS (ESI): m/z (%) = 244.03 (100) [M + H]+. IR (CD3OD): = 1161, 1220, 1244, 1381, 2247, 2642, 2858, 2930, 3334 cm−1. C13H25NO3 (243.35): calcd. C, 64.16; H, 10.36; N, 5.76; found C, 64.24; H, 10.26; N, 5.42.
3.1.6. Synthesis of (2S,3R,4R,5R)-2-Pentylpiperidine-3,4,5-triol (10)
A solution of 14 (30 mg, 0.12 mmol) in MeOH (4 mL) was left stirring with 12 M HCl (20 µL) at room temperature for 16 h. The crude mixture was concentrated to yield the hydrochloride salt of 14. The corresponding free amine was obtained by dissolving the residue in MeOH, then the strongly basic resin Ambersep 900-OH was added, and the mixture was stirred for 40 min. The resin was removed by filtration, and the crude product was purified on silica gel by flash column chromatography (CH2Cl2/MeOH/NH4OH (6%) 2:1:0.05) to afford 22 mg (0.11 mmol, 92%, Rf = 0.40) of 10 as the free base as a white solid.
10: white solid m.p. 125–127 °C. = +15.1 (c = 1.00, CH3OH). 1H-NMR (400 MHz, CD3OD) δ = 3.88–3.85 (m, 1H, H-3), 3.83 (dd, J = 2.8, 8.0 Hz, 1H, H-5), 3.69–3.68 (m, 1H, H-4), 2.80–2.79 (m, 1H, H-2), 2.75 (d, J = 8.0 Hz, 2H, H-6), 1.48–1.33 (m, 8H, H-1′–H-4′), 0.91 (t, J = 6.0 Hz, 3H, H-5′) ppm. 13C-NMR (100 MHz, CD3OD) = 72.5 (C-3), 71.6 (C-4), 67.1 (C-5), 54.1 (C-2), 46.9 (C-6), 33.1, 31.6, 27.0, 23.7 (4C, C-1′–C-4′), 14.4 (C-5′) ppm. MS (ESI): m/z (%) = 204.07 (100) [M + H]+. C10H21NO3 (203.28): calcd. C, 59.09; H, 10.41; N, 6.89; found C, 59.00; H, 10.30; N, 6.80.
3.1.7. Synthesis of (2R,3R,4R,5R)-2-Pentylpiperidine-3,4,5-triol (12)
A solution of 15 (30 mg, 0.12 mmol) in MeOH (4 mL) was left stirring with 12 M HCl (20 µL) at room temperature for 16 h. The crude mixture was concentrated to yield the hydrochloride salt of 15. The corresponding free amine was obtained by dissolving the residue in MeOH, then the strongly basic resin Ambersep 900-OH was added, and the mixture was stirred for 40 min. The resin was removed by filtration and the crude product was purified on silica gel by flash column chromatography (CH2Cl2/MeOH/NH4OH (6%) 2:1:0.05) to afford 20 mg (0.10 mmol, 83%, Rf = 0.40) of 12 as the free base, as a white solid.
12: white solid m.p. 74–76 °C. = −16.8 (c = 0.50, CH3OH). 1H-NMR (400 MHz, CD3OD) δ = 3.85 (br s, 1H, H-5), 3.36–3.29 (m, 2H, H-4 and H-3), 2.95 (d, J = 14.0 Hz, 1H, Ha-6), 2.67 (d, J = 14.0 Hz, 1H, Hb-6), 2.30–2.28 (m, 1H, H-2), 1.87–1.82 (m, 1H, Ha-1′), 1.56–1.52 (m, 1H, Ha-2′), 1.34–1.33 (m, 6H, Hb-1′, Hb-2′, H-3′–H-4′), 0.92 (t, J = 6.0 Hz, 3H, H-5′) ppm. 13C-NMR (50 MHz, CD3OD) = 76.7 (C-4), 73.9 (C-3), 70.7 (C-5), 61.7 (C-2), 50.8 (C-6), 33.4, 32.9, 26.3, 23.6 (4C, C-1′–C-4′), 14.4 (C-5′) ppm. MS (ESI): m/z (%) = 204.06 (100) [M + H]+. C10H21NO3 (203.28): calcd. C, 59.09; H, 10.41; N, 6.89; found C, 59.11; H, 10.21; N, 6.79.
3.1.8. Synthesis of (2S,3R,4S,5R)-3-Hydroxy-4,5-O-(1-methylethylidene)-N-Boc-2-pentylpiperidine (24)
To a stirred solution of 14 (90 mg, 0.37 mmol) and NaHCO3 (47 mg, 0.56 mmol) in H2O (2.5 mL), MeOH (2.5 mL), and Boc2O (121 mg, 0.56 mmol) were added. The mixture was stirred at room temperature for 48 h until a TLC control (CH2Cl2/MeOH/NH4OH (6%) 10:1:0.1) attested to the disappearance of the starting material. The mixture was concentrated and extracted with EtOAc (3 × 20 mL). The combined organic layers were washed with brine, dried over Na2SO4 and concentrated to give 24 (117 mg, 0.34 mmol, 92%) as a white solid.
24: white solid m.p. 86–88 °C. = +8.05 (c = 2.00, CHCl3). 1H-NMR (400 MHz, CDCl3) δ = 4.19 (br s, 1H, H-5), 4.15–4.08 (m, 3H, H-4, H-2 and Ha-6), 3.92 (t, J = 6.0 Hz, 1H, H-3), 3.14 (d, J = 14.4 Hz, 1H, Hb-6), 2.81 (br s, 1H, OH), 1.70–1.65 (m, 1H, Ha-1′), 1.43 (s, 9H, C(CH3)3), 1.41 (s, 3H, C(CH3)2), 1.30 (s, 3H, C(CH3)2), 1.29–1.25 (m, 7H, Hb-1′, H-2′–H-4′), 0.85 (t, J = 6.0 Hz, 3H, H-5′) ppm. 13C-NMR (100 MHz, CDCl3) δ = 155.9 (NCOO), 109.1 (C(CH3)2), 79.9 (C(CH3)3), 76.2 (C-4), 73.2 (C-5), 69.1 (C-3), 53.6 (C-2), 40.2, 39.7 (C-6, two rotamers), 28.1 (3C, C(CH3)3), 31.8, 27.6, 26.1, 25.6, 25.5, 22.7 (6C, C-1′–C-4′ and C(CH3)2), 14.1 (C-5′) ppm. MS (ESI): m/z (%) = 708.84 (100) [2M + Na]+, 366.09 (56) [M + Na]+. IR (CDCl3): = 950, 1124, 1454, 1685, 2922, 3604 cm−1. C18H33NO5 (343.46): calcd. C, 62.95; H, 9.68; N, 4.08; found C, 62.80; H, 10.00; N, 4.03.
3.1.9. Synthesis of (2R,3R,4S,5R)-3-Hydroxy-4,5-O-(1-methylethylidene)-N-Boc-2-pentylpiperidine (25)
To a stirred solution of 15 (190 mg, 0.78 mmol) and NaHCO3 (98 mg, 1.17 mmol) in H2O (3 mL), MeOH (3 mL), and Boc2O (252 mg, 1.17 mmol) were added. The mixture was stirred at room temperature for 48 h until a TLC control (CH2Cl2/MeOH/NH4OH (6%) 10:1:0.1) attested to the disappearance of the starting material. The mixture was concentrated and extracted with EtOAc (3 × 20 mL). The combined organic layers were washed with brine, dried over Na2SO4, and the crude product was purified on silica gel by flash column chromatography (CH2Cl2/MeOH/NH4OH (6%) 15:1:0.1) to afford 237 mg (0.69 mmol, 88%, Rf = 0.34) of 25 as a white solid.
25: white solid m.p. 73–75 °C. = −19.1 (c = 0.55, CHCl3). 1H-NMR (400 MHz, CDCl3) δ = 4.38–4.28 (m, 1H, H-5), 4.02–3.94 (m, 2H, H-4 and Ha-6), 3.78–3.68 (m, 2H, H-2 and H-3), 2.91 (br s, 1H, OH), 2.68 (br s, 1H, Hb-6), 1.66 (br s, 2H, H-1′), 1.45 (s, 3H, C(CH3)2), 1.41 (s, 9H, C(CH3)3), 1.31 (s, 3H, C(CH3)2), 1.26–1.22 (m, 6H, H-2′–H-4′), 0.84–0.83 (m, 3H, H-5′) ppm. 13C-NMR (50 MHz, CDCl3) δ = 155.4 (NCOO), 109.9 (C(CH3)2), 80.2 (C(CH3)3), 78.3 (C-4), 72.3 (C-3), 70.8 (C-5), 56.4, 55.8 (C-2 two rotamers), 41.3, 40.6 (C-6, two rotamers), 28.4 (3C, C(CH3)3), 31.9, 31.2, 29.8, 27.6, 25.2, 22.6 (6C, C-1′–C-4′ and C(CH3)2), 14.0 (C-5′) ppm. MS (ESI): m/z (%) = 366.09 (100) [M + Na]+, 708.84 (39) [2M + Na]+. IR (CDCl3): = 947, 1161, 1456, 1684, 2928, 3595 cm−1. C18H33NO5 (343.46): calcd. C, 62.95; H, 9.68; N, 4.08; found C, 62.88; H, 9.55; N, 4.00.
3.1.10. Synthesis of (2S,4S,5R)-3-Oxo-4,5-O-(1-methylethylidene)-N-Boc-2-pentylpiperidine (26)
Dess-Martin periodinane (216 mg, 0.51 mmol) was added to a solution of 24 (116 mg, 0.34 mmol) in dry CH2Cl2 (11 mL) at room temperature. The reaction mixture was stirred for 3 h until a TLC control (CH2Cl2/MeOH/NH4OH (6%) 15:1:0.1) attested the disappearance of the starting material. The mixture was extracted with NaHCO3 saturated solution, dried over Na2SO4 and concentrated. The residue was purified by silica gel flash chromatography (Hex/EtOAc 5:1) to give 26 (93 mg, 0.27 mmol, 79%, Rf = 0.41) as a white solid.
26: white solid m.p. 104–106 °C. = +32.1 (c = 1.00, CHCl3). 1H-NMR (400 MHz, CDCl3) δ = 4.75–4.64 (m, 1H, H-2), 4.49–4.47 (m, 1H, H-5), 4.39 (br s, 1H, H-4), 4.29 (d, J = 6.4 Hz, 1H, Ha-6), 2.95 (br s, 1H, Hb-6), 1.78–1.71 (m, 1H, Ha-1′), 1.59–1.51 (m, 1H, Hb-1′), 1.44 (s, 9H, C(CH3)3), 1.41 (s, 3H, C(CH3)2), 1.30 (s, 3H, C(CH3)2), 1.27–1.25 (m, 6H, H-2′–H-4′), 0.83 (t, J = 6.0 Hz, 3H, H-5′) ppm. 13C-NMR (100 MHz, CDCl3) δ = 205.6 (C = O), 155.2 (NCOO), 111.6 (C(CH3)2), 80.6 (C(CH3)3), 76.7 (C-4 or C-5), 76.6 (C-4 or C-5), 61.7, 60.6 (C-2, two rotamers), 42.8, 41.5 (C-6, two rotamers), 28.4 (3C, C(CH3)3), 31.6, 29.3, 26.5, 25.2, 25.0, 22.6 (6C, C-1′–C-4′ and C(CH3)2 ), 14.0 (q, C-5′) ppm. MS (ESI): m/z (%) = 364.00 (100) [M + Na]+. IR (CDCl3): = 1159, 1217, 1256, 1370, 1410, 1456, 1692, 1744, 2927 cm−1. C18H31NO5 (341.45): calcd. C, 63.32; H, 9.15; N, 4.10; found C, 63.00; H, 9.25; N, 3.99.
3.1.11. Synthesis of (2R,4S,5R)-3-Oxo-4,5-O-(1-methylethylidene)-N-Boc-2-pentylpiperidine (27)
Dess-Martin periodinane (218 mg, 0.75 mmol) was added to a solution of 25 (171 mg, 0.50 mmol) in dry CH2Cl2 (15 mL) at room temperature. The reaction mixture was stirred for 3 h until a TLC control (CH2Cl2/MeOH/NH4OH (6%) 15:1:0.1) attested the disappearance of the starting material. The mixture was extracted with NaHCO3 saturated solution, dried over Na2SO4 and concentrated. The residue was purified by silica gel flash chromatography (Hex/EtOAc 4:1) to give 27 (137 mg, 0.40 mmol, 80%, Rf = 0.23) as a colourless oil.
27: colourless oil. = +41.0 (c = 0.30, CHCl3). 1H-NMR (400 MHz, CDCl3) δ = 4.88–4.79 (m, 1H, H-5), 4.63–4.53 (m, 2H, H-4 and Ha-6), 4.46–4.32 (m, 1H, H-2), 2.66–2.64 (m, 1H, Hb-6), 1.99 (br s, 1H, Ha-1′), 1.61–1.4 (m, 13H, Hb-1′, C(CH3)3 and C(CH3)2), 1.38 (s, 3H, C(CH3)2), 1.32–1.26 (m, 6H, H-2′–H-4′), 0.89–0.88 (m, 3H, H-5′) ppm. 13C-NMR (100 MHz, CDCl3) δ = 206.6 (C = O), 154.8 (NCOO), 112.3 (C(CH3)2), 81.3 (C(CH3)3), 79.2 (C-4), 74.3 (C-5), 63.0, 62.2 (C-2, two rotamers), 45.0, 43.5 (C-6, two rotamers), 28.4 (3C, C(CH3)3), 31.8, 28.8, 27.2, 25.7, 25.5, 22.7 (6C, C-1′–C-4′ and C(CH3)2), 14.1 (q, C-5′) ppm. MS (ESI): m/z (%) = 364.08 (100) [M + Na]+. IR (CDCl3): = 1159, 1217, 1256, 1369, 1410, 1456, 1692, 1744, 2928 cm−1. C18H31NO5 (341.45): calcd. C, 63.32; H, 9.15; N, 4.10; found C, 63.13; H, 9.10; N, 3.97.
3.1.12. Synthesis of (2S,3S,4S,5R)-3-Hydroxy-4,5-O-(1-methylethylidene)-N-Boc-2-pentylpiperidine (28)
A solution of 26 (60 mg, 0.18 mmol) in EtOH (1.4 mL) was cooled to 0 °C and NaBH4 (17 mg, 0.45 mmol) was added. The reaction mixture was allowed to warm to room temperature and stirred for 18 h until a TLC control (Hex/EtOAc 4:1) attested to the disappearance of the starting material. Then, water (0.3 mL) and MeOH (0.8 mL) were added, and the mixture was stirred for 10 h at room temperature and concentrated under reduced pressure. The crude product was purified by silica gel flash chromatography (CH2Cl2/MeOH 10:1) to give 28 (45 mg, 0.13 mmol, 72%, Rf = 0.50) as a white solid.
28: white solid m.p. 104–106 °C. = +6.5 (c = 1.00, CHCl3). 1H-NMR (400 MHz, CDCl3) δ = 4.43–4.40 (m, 1H, H-5), 4.27 (br s, 1H, H-3), 4.16–4.09 (m, 1H, Ha-6), 3.92–3.78 (m, 1H, H-2), 3.57 (t, J = 7.4 Hz, 1H, H-4), 2.74–2.70 (m, 1H, Hb-6), 2.40–2.33 (m, 1H, OH), 1.72–1.67 (m, 1H, Ha-1′), 1.58–1.50 (m, 1H, Hb-1′), 1.43 (s, 9H, C(CH3)3), 1.40 (s, 3H, C(CH3)2), 1.32 (s, 3H, C(CH3)2), 1.37–1.26 (m, 6H, H-2′–H-4′), 0.84 (t, J = 6.6 Hz, 3H, H-5′) ppm. 13C-NMR (100 MHz, CDCl3) δ = 155.8 (NCOO), 109.5 (C(CH3)2), 79.8 (C(CH3)3), 74.5 (C-5), 73.6 (C-3), 69.3 (C-4), 54.5, 53.6 (C-2 two rotamers), 42.7, 41.6 (C-6, two rotamers), 28.5 (3C, C(CH3)3), 32.2–26.2, 25.5, 24.7, 24.5, 22.7 (6C, C-1′–C-4′and C(CH3)2), 14.1 (C-5′) ppm. MS (ESI): m/z (%) = 366.09 (100) [M + Na]+, 708.83 (30) [2M + Na]+. IR (CDCl3): = 955, 1157, 1416, 1684, 2918, 3620 cm−1. C18H33NO5 (343.46): calcd. C, 62.95; H, 9.68; N, 4.08; found C, 62.88; H, 9.55; N, 4.00.
3.1.13. Synthesis of (2R,3S,4S,5R)-3-Hydroxy-4,5-O-(1-methylethylidene)-N-Boc-2-pentylpiperidine (29)
A solution of 27 (70 mg, 0.21 mmol) in EtOH (1.4 mL) was cooled to 0 °C and NaBH4 (20 mg, 0.53 mmol) was added. The reaction mixture was allowed to warm to room temperature and stirred for 18 h until a TLC control (Hex/EtOAc 4:1) attested to the disappearance of the starting material. Then, water (0.3 mL) and MeOH (0.8 mL) were added, and the mixture was stirred for 10 h at room temperature and concentrated under reduced pressure. The crude product was purified by silica gel flash chromatography (CH2Cl2/MeOH 10:1) to give 29 (55 mg, 0.16 mmol, 76%, Rf = 0.50) as a white solid.
29: white solid m.p. 71–73 °C. = −20.3 (c = 0.65, CHCl3). 1H-NMR (400 MHz, CDCl3) δ = 4.27–4.13 (m, 2H, Ha-6 and H-5), 4.14–4.12 (m, 1H, H-4), 4.06 (br s, 1H, H-3), 3.86–3.81 (m, 1H, H-2), 3.08–2.97 (m, 1H, Hb-6), 2.45 (br s, 1H, OH), 1.77–1.75 (m, 1H, H-1′), 1.51 (s, 3H, C(CH3)2), 1.43 (s, 9H, C(CH3)3), 1.35 (s, 3H, C(CH3)2), 1.28–1.23 (m, 6H, H-2′–H-4′), 0.86–0.87 (m, 3H, H-5′) ppm. 13C-NMR (100 MHz, CDCl3) δ = 154.9 (NCOO), 109.5 (C(CH3)2), 80.1 (C(CH3)3), 75.4 (C-4), 71.6 (C-5), 66.5 (C-3), 53.9 (C-2), 41.3, 40.2 (C-6, two rotamers), 28.0 (3C, C(CH3)3), 31.9, 28.0, 27.0, 25.6, 24.8, 22.8 (6C, C-1′–C-4′and C(CH3)2), 14.1 (C-5′) ppm. MS (ESI): m/z (%) = 366.00 (100) [M + Na]+, 708.84 (40) [2M + Na]+. IR (CDCl3): = 954, 1157, 1416, 1684, 2918, 3620 cm−1. C18H33NO5 (343.46): calcd. C, 62.95; H, 9.68; N, 4.08; found C, 62.90; H, 9.65; N, 4.16.
3.1.14. Synthesis of (2S,3S,4R,5R)-2-Pentylpiperidine-3,4,5-triol (11)
A solution of 28 (45 mg, 0.13 mmol) in MeOH (6 mL) was left stirring with 12 M HCl (30 µL) at room temperature for 16 h. The crude mixture was concentrated to yield the hydrochloride salt of 28. The corresponding free amine was obtained by dissolving the residue in MeOH, then the strongly basic resin Ambersep 900-OH was added, and the mixture was stirred for 40 min. The resin was removed by filtration to afford 24 mg (0.12 mmol, 92%) of 11 as the free base as a white solid.
11: white solid m.p. 130–132 °C. = + 41.4 (c = 0.80, CH3OH). 1H-NMR (400 MHz, CD3OD) δ = 3.95 (br s, 1H, H-4), 3.56 (t, J = 6.6 Hz, 1H, H-5), 3.12 (d, J = 8.0 Hz, 1H, H-3), 2.74 (d, J = 7.6 Hz, 2H, H-6), 2.64 (t, J = 8.8 Hz, 1H, H-2), 1.83–1.77 (1H, Ha-1′), 1.51–1.49 (m, 1H, Ha-2′), 1.34–1.22 (m, 6H, Hb-1′, Hb-2′ and H-3′–H-4′), 0.92 (t, J = 6.6 Hz, 3H, H-5′) ppm. 13C-NMR (100 MHz, CD3OD) = 74.2 (C-3), 73.2 (C-4), 70.3 (C-5), 55.4 (C-2), 46.5 (C-6), 33.4, 32.8, 26.4, 23.7 (4C, C-1′–C-4′), 14.4 (C-5′) ppm. 1D-NOESY: Irradiation of H-5 gave a NOE at H-3, and irradiation of H-3 gave a NOE at H-5. MS (ESI): m/z (%) = 226.10 (100) [M + H]+. C10H21NO3 (203.28): calcd. C, 59.09; H, 10.41; N, 6.89; found C, 59.12; H, 10.23; N, 6.51.
3.1.15. Synthesis of (2R,3S,4R,5R)-2-Pentylpiperidine-3,4,5-triol (13)
A solution of 29 (24 mg, 0.07 mmol) in MeOH (3 mL) was left stirring with 12 M HCl (15 µL) at room temperature for 16 h. The crude mixture was concentrated to yield the hydrochloride salt of 29. The corresponding free amine was obtained by dissolving the residue in MeOH, then the strongly basic resin Ambersep 900-OH was added, and the mixture was stirred for 40 min. The resin was removed by filtration to afford 14 mg (0.069 mmol, 98%) of 13 as free base, as a pale-yellow oil.
13: pale yellow oil. = −40.4 (c = 0.50, CH3OH). 1H-NMR (400 MHz, CD3OD) δ = 3.79 (br s, 1H, H-5), 3.73 (br s, 1H, H-3), 3.46 (br s, 1H, H-4), 3.02 (d, J = 15.0 Hz, 1H, Ha-6), 2.69 (d, J = 14.0 Hz, 1H, Hb-6), 2.44 (t, J = 6.8 Hz, 1H, H-2), 1.58–1.53 (m, 1H, Ha-1′), 1.51–1.44 (m, 1H, Ha-2′), 1.43–1.29 (m, 6H, Hb-1′, Hb-2′, H-3′–H-4′), 0.92 (t, J = 6.0 Hz, 3H, H-5′) ppm. 13C-NMR (100 MHz, CD3OD) = 72.6 (C-3), 71.3 (C-4), 71.7 (C-5), 60.0 (C-2), 51.6 (C-6), 33.2, 32.7, 26.7, 23.7 (4C, C-1′–C-4′), 14.4 (C-5′) ppm. 1D-NOESY: Irradiation of H-2 gave a NOE at H-4 and Hb-6, and irradiation of H-4 gave a NOE at H-2 and Hb-6. MS (ESI): m/z (%) = 204.12 (100) [M + H]+. C10H21NO3 (203.28): calcd. C, 59.09; H, 10.41; N, 6.89; found C, 59.17; H, 10.11; N, 6.70.
3.1.16. Synthesis of (3R,4S,5R)-1-Pentyl-5-hydroxy-3,4-O-(1-methylethylidene)-piperidine (30)
To a solution of compound 20 (96 mg, 0.55 mmol) in acetonitrile (2 mL) and Milli-Q water (0.6 mL), pentylbromide (87 µL, 0.83 mmol) and potassium carbonate (115 mg, 0.83 mmol) were added. The mixture was stirred under microwave irradiation at 120 °C for 3 h, until a TLC control attested to the disappearance of the starting material (CH2Cl2/MeOH/NH4OH (6%) 15:1:0.1). The mixture was filtered through Celite®, and the solvent was removed under reduced pressure. The crude reaction was purified by silica gel flash column chromatography (eluent CH2Cl2/MeOH/NH4OH (6%) 15:1:0.1) obtaining compound 30 (62 mg, 0.25 mmol, 45%, Rf = 0.34) as a waxy solid.
30: waxy solid. = +15.0 (c = 0.50, CHCl3). 1H-NMR (400 MHz, CDCl3) δ = 4.27 (q, J = 6.0 Hz, 1H, H-3), 4.03 (t, J = 4.6 Hz, 1H, H-4), 3.93–3.92 (m, 1H, H-5), 2.87 (br s, 1H, OH), 2.72 (dd, J = 6.0, 12.0 Hz, 1H, Ha-2), 2.55 (d, J = 12.0 Hz, 1H, Ha-6), 2.46 (dd, J = 5.2, 11.6 Hz, 1H, Hb-6), 2.40–2.33 (m, 3H, Hb-2 and H-1′), 1.49 (s, 3H, C(CH3)2), 1.47–1.41 (m, 2H, H-2′), 1.34 (s, 3H, C(CH3)2), 1.31–1.20 (m, 4H, H-3′–H-4′), 0.87 (t, J = 7.0 Hz, 1H, H-5′) ppm. 13C-NMR (100 MHz, CDCl3) δ = 109.4 (C(CH3)2), 77.0 (C-4), 72.2 (C-3), 67.7 (C-5), 57.9 (C-1′), 56.0 (C-2 or C-6), 55.6 (C-2 or C-6), 29.7, 28.4, 26.6, 26.5, 22.7 (5C, C-2′–C-4′and C(CH3)2), 14.1 (C-5′) ppm. MS (ESI): m/z (%) = 244.20 (100) [M + H]+. IR (CDCl3): = 1059, 1381, 1468, 2247, 2826, 2862, 2935, 2989, 3478 cm−1. C13H25NO3 (243.35): calcd. C, 64.16; H, 10.36; N, 5.76; found C, 64.34; H, 10.11; N, 5.70.
3.1.17. Synthesis of (3R,5R)-1-Pentyl-3,4,5-trihydroxy-piperidine (21)
A solution of 30 (42 mg, 0.17 mmol) in MeOH (5 mL) was left stirring with 12 M HCl (25 µL) at room temperature for 16 h. The crude mixture was concentrated to yield the hydrochloride salt of 21. The corresponding free amine was obtained by dissolving the residue in MeOH, then the strongly basic resin Ambersep 900-OH was added, and the mixture was stirred for 40 min. The resin was removed by filtration to afford 30 mg (0.15 mmol, 88%) of 21 [] as the free base, as a white solid.
21: white solid m.p. 63–66 °C. = −39.7 (c = 0.61, CH3OH). 1H-NMR (400 MHz, CD3OD) δ = 3.91–3.90 (m, 1H, H-3), 3.83–3.78 (m, 1H, H-5), 3.42 (br s, 1H, H-4), 2.84–2.81 (m, 2H, Ha-2 and Ha-6), 2.43- 2.36 (m, 2H, H-1′), 2.34–2.30 (m, 1H, Hb-6), 2.14 (br s, 1H, Hb-2), 1.56–1.51 (m, 2H, H-2′), 1.39–1.26 (m, 4H, H-3′–H-4′), 0.92 (t, J = 6.0 Hz, 3H, H-5′) ppm. 13C-NMR (100 MHz, CD3OD) = 75.1 (C-4), 69.4 (C-5), 69.0 (C-3), 59.3 (C-1′), 58.1 (C-2 or C-6), 57.4 (C-2 or C-6), 30.8, 27.1, 23.6, (3C, C-2′–C-4′), 14.4 (C-5′) ppm. MS (ESI): m/z (%) = 204.08 (100) [M + H]+. C10H21NO3 (203.15): calcd. C, 59.09; H, 10.41; N, 6.89; found C, 59.22; H, 10.33; N, 6.81.
3.2. Biological Screening towards Human Lysosomal β-Galactosidase (β-Gal) and β-Glucosidase (GCase)
All experiments on biological materials were performed in accordance with the ethical standards of the institutional research committee and with the 1964 Helsinki Declaration and its later amendments. In keeping with ethical guidelines, all blood and cell samples were obtained for storage and analysed only after written informed consent of the patients (and/or their family members) was obtained, using a form approved by the local Ethics Committee (Codice Protocollo: Lysolate “Late onset Lysosomal Storage Disorders (LSDs) in the differential diagnosis of neurodegenerative diseases: development of new diagnostic procedures and focus on potential pharmacological chaperones (PCs). Project ID code: 16774_bio, 5 May 2020, Comitato Etico Regionale per la Sperimentazione Clinica della Regione Toscana, Area Vasta Centro, Florence, Italy).
Controls and patients’ samples were anonymized and used only for research purposes.
The new compounds were screened at 1 mM concentration towards β-Galactosidase (β-Gal) and β-Glucosidase (GCase) in leukocytes isolated from healthy donors (controls).
Isolated leukocytes were disrupted by sonication, and a Micro BCA Protein Assay Kit (Sigma–Aldrich, St. Louis, MO, USA) was used to determine the total protein amount for the enzymatic assay, according to the manufacturer’s instructions.
3.2.1. Human Lysosomal β-Galactosidase (β-Gal) Activity
β-Gal activity was measured in a flat-bottomed 96-well plate. Compounds 10–13 and 21 solution (3 μL), 4.29 μg/μL leukocytes homogenate 1:10 (7 μL), and substrate 4-methylumbelliferyl β-d-galactopyranoside (1.47 mM, 20 μL, Sigma–Aldrich) in acetate buffer (0.1 M, pH 4.3) containing NaCl (0.1 M) and sodium azide (0.02%) were incubated at 37 °C for 1 h. The reaction was stopped by the addition of sodium carbonate (200 μL; 0.5 M, pH 10.7) containing Triton X-100 (0.0025%), and the fluorescence 4-methylumbelliferone released by β-galactosidase activity was measured in SpectraMax M2 microplate reader (λex = 365 nm, λem = 435 nm; Molecular Devices). Inhibition is given with respect to the control (without compound). Percentage β-Gal inhibition is given with respect to the control (without compound). Data are mean SD (n = 3). For compounds showing β-Gal inhibitory activity higher than 40% at 1 mM concentration, the IC50 values were determined by measuring the initial hydrolysis rate with 4-methylumbelliferyl β-d-galactopyranoside (1.47 mM). Data obtained were fitted by using the appropriate equation (for more details, see the Supplementary Materials).
3.2.2. Human Lysosomal β-Glucosidase (GCase) Activity
GCase activity was measured in a flat-bottomed 96-well plate. Compound solution (3 µL), 4.29 µg/µL leukocytes homogenate (7 µL), and substrate 4-methylumbelliferyl-β-d-glucoside (3.33 mM, 20 µL, Sigma–Aldrich) in citrate/phosphate buffer (0.1:0.2, M/M, pH 5.8) containing sodium taurocholate (0.3%) and Triton X-100 (0.15%) at 37 °C were incubated for 1 h. The reaction was stopped by the addition of sodium carbonate (200 µL; 0.5 M, pH 10.7) containing Triton X-100 (0.0025%), and the fluorescence of 4-methylumbelliferone released by β-glucosidase activity was measured in SpectraMax M2 microplate reader (λex = 365 nm, λem = 435 nm; Molecular Devices). A percentage GCase inhibition is given with respect to the control (without compound). Data are mean SD (n = 3).
3.3. Kinetic Analysis for Compound 12 vs. β-Gal
The action mechanism of compound 12 was determined studying the dependence of the main kinetic parameters (Km and Vmax) on the inhibitor concentration. Kinetic data were analysed using the Lineweaver-Burk plot (for more details, see Supplementary Materials).
3.4. Pharmacological Chaperoning Activity
Fibroblasts with the p.Ile51Asn/p.Arg201His and the p.Arg201His/Tyr83LeufsX8 mutations from Juvenile GM1 patients were obtained from Meyer Children’s Hospital (50139 Firenze, Italy).
Fibroblast cells (15.0 × 104) were seeded in T25 flasks with DMEM supplemented with fetal bovine serum (10%), penicillin/streptomycin (1%), and glutamine (1%) and incubated at 37 °C with 5% CO2 for 24 h. The medium was removed, and fresh medium containing the compounds was added to the cells and incubated for four days. The medium was removed, and the cells were washed with PBS and detached with trypsin to obtain cell pellets, which were washed four times with PBS, frozen, and lysed by sonication in water. Enzyme activity was measured as reported above. Reported data are mean S.D. (n = 2).
4. Conclusions
Four new trihydroxypiperidines with a C-2 pentyl chain with both configurations were synthesized, together with their “all-cis” hydroxy epimers, with the aim of finding new human lysosomal β-Gal inhibitors and potential PCs for GM1-gangliosidosis.
The synthesis exploited the addition of pentylmagnesium bromide to nitrone 18, derived from aldehyde 19, in the presence or absence of Lewis acid followed by RA, to yield the two 2-pentyl 3,4,5-trihydroxypiperidines. The inversion of configuration at C-3 was achieved through an oxidation–reduction sequence. To investigate the role of the chain position on the activity, compound 21 was synthesized for comparison, starting from the piperidine intermediate 20 via N-alkylation.
Biologic tests of the new compounds showed that 10 and 12 are β-Gal inhibitors with a moderate IC50 (400 ± 15 µM and 1.15 ± 0.1 mM). Kinetic analyses revealed a noncompetitive mode of inhibition for 12, which also showed chaperoning properties, with Ki value of 1.4 ± 0.7 mM. Moreover, good selectivity towards β-Gal with respect to β-Glu was observed. The poor β-Glu inhibitory activity of all compounds confirmed that the presence of a longer linear alkyl chain (at least eight carbon atoms) is essential to impart strong β-Glu inhibitory activity.
Testing compounds 10 and 12 as potential PCs in fibroblasts from juvenile GM1 gangliosidosis patients bearing the p.Ile51Asn/p.Arg201His and the p.Arg201His/Tyr83LeufsX8 mutations highlighted that only 12 allows an activity rescue of β-Gal (40% at 600 µM) on GM1 patients bearing the p.Ile51Asn/p.Arg201His mutations, thus representing, to the best of our knowledge, a unique example of a non-competitive inhibitor with chaperoning ability for GM1 gangliosidosis. The here reported fibroblasts, which derive from juvenile GM1 gangliosidosis patients, share the p.Arg201His mutation in one allele. Thus, the rescue of the in vitro system bearing the bi-allelic composition p.Ile51Asn/Arg201His can be ascribed to the chaperone activity of compound 12 on the p.Ile51Asn mutation-bearing allele.
It has been previously reported that the p.Ile51Asn mutation, replacing a nonpolar residue in a hydrophobic pocket into a polar residue, is likely to adversely affect the fold of the β-Gal protein []. This biochemical characteristic makes the p.Ile51Asn mutation particularly prone to an enzymatic stabilisation and a rescue of β-Gal activity induced by a chaperone, as demonstrated by the use of compound 12.
Supplementary Materials
The following supporting information can be downloaded at: https://www.mdpi.com/article/10.3390/molecules27134008/s1: 1H-NMR, 13C-NMR and selected 1D NOESY spectra of new compounds (Figures S1–S40); enzymatic screening and kinetic analysis (Figures S41–S48); in vitro assays on cell lines (Figures S49 and S50).
Author Contributions
F.C. (Francesca Clemente), C.M., A.G. and F.C. (Francesca Cardona) planned the synthetic strategy. F.C. (Francesca Clemente) performed the syntheses. F.C. (Francesca Clemente), S.F. and M.M.-B. performed the biological experiments. A.C., P.P. and A.M. supervised the biological experiments. All authors have read and agreed to the published version of the manuscript.
Funding
The research was funded by Regione Toscana (Bando Salute 2018) for the project: “Late onset Lysosomal Storage Disorders (LSDs) in the differential diagnosis of neurodegenerative diseases: development of new diagnostic procedures and focus on potential pharmacological chaperones (PCs), Acronym: Lysolate) and by Università di Firenze and Fondazione CR Firenze (“Bando congiunto per il finanziamento di progetti competitivi sulle malattie neurodegenerative 2018”. Project: A multidisciplinary approach to target Parkinson’s disease in Gaucher-related population, Acronym: MuTaParGa).
Institutional Review Board Statement
This study was conducted in accordance with the ethical standards of the institutional research committee and with the 1964 Helsinki Declaration and its later amendments. and approved by the Comitato Etico Regionale per la Sperimentazione Clinica della Regione Toscana, Area Vasta Centro, Florence, Italy (Codice Protocollo: Lysolate “Late onset Lysosomal Storage Disorders (LSDs) in the differential diagnosis of neurodegenerative diseases: development of new diagnostic procedures and focus on potential pharmacological chaperones (PCs). Project ID code: 16774_bio, 5 May 2020).
Informed Consent Statement
Informed consent was obtained from all subjects involved in the study. Data were anonymized.
Data Availability Statement
The authors confirm that the data supporting the findings of this study are available within the article and/or its Supporting Information file.
Acknowledgments
We thank MIUR-Italy (“Progetto Dipartimenti di Eccellenza 2018−2022”) allocated to the Department of Chemistry “Ugo Schiff”, Università di Firenze and the AMMeC (Associazione Malattie Metaboliche e Congenite, Italia).
Conflicts of Interest
The authors declare no conflict of interest.
Sample Availability
Samples of the compounds reported in the manuscript are not available from the authors.
References
- Suzuki, Y.; Oshima, A.; Namba, E. β-Galactosidase deficiency (β-galactosidosis) GM1 gangliosidosis and Morquio B disease. In The Metabolic and Molecular Bases of Inherited Disease; Scriver, C.R., Beaudet, A.L., Sly, W.S., Valle, D., Eds.; McGraw-Hill: New York, NY, USA, 2001; pp. 3775–3809. [Google Scholar]
- Brunetti-Pierri, N.; Scaglia, F. GM1 gangliosidosis: Review of clinical, molecular, and therapeutic aspects. Mol. Genet. Metab. 2008, 94, 391–396. [Google Scholar] [CrossRef] [PubMed]
- Caciotti, A.; Garman, S.C.; Rivera-Colòn, Y.; Procopio, E.; Catarzi, S.; Ferri, L.; Guido, C.; Martelli, P.; Parini, R.; Antuzzi, D.; et al. GM1 gangliosidosis and Morquio B disease: An update on genetic alterations and clinical findings. Biochim. Biophys. Acta 2011, 1812, 782–790. [Google Scholar] [CrossRef] [PubMed]
- Lenicker, H.M.; Agius, P.V.; Young, E.P.; Montalto, S.P.A. Infantile generalized GM1 gangliosidosis: High incidence in the Maltese Islands. J. Inherited Metab. Dis. 1997, 20, 723–724. [Google Scholar] [CrossRef] [PubMed]
- Pereira, D.M.; Valentão, P.; Andrade, P.B. Tuning protein folding in lysosomal storage diseases: The chemistry behind pharmacological chaperones. Chem. Sci. 2018, 9, 1740–1752. [Google Scholar] [CrossRef]
- Convertino, M.; Das, J.; Dokholyan, N.V. Pharmacological Chaperones: Design and Development of New Therapeutic Strategies for the Treatment of Conformational Diseases. ACS Chem. Biol. 2016, 11, 1471–1489. [Google Scholar] [CrossRef]
- Parenti, G.; Andria, G.; Valenzano, K.J. Pharmacological Chaperone Therapy: Preclinical Development, Clinical Translation, and Prospects for the Treatment of Lysosomal Storage Disorders. Mol. Ther. 2015, 23, 1138–1148. [Google Scholar] [CrossRef]
- Boyd, R.E.; Lee, G.; Rybczynski, P.; Benjamin, E.R.; Khanna, R.; Wustman, B.A.; Valenzano, K.J. Pharmacological Chaperones as Therapeutics for Lysosomal Storage Diseases. J. Med. Chem. 2013, 56, 2705–2725. [Google Scholar] [CrossRef]
- Aguilar-Moncayo, M.; Takai, T.; Higaki, K.; Mena-Barragán, T.; Hirano, Y.; Yura, K.; Li, L.; Yu, Y.; Ninomiya, H.; Garcıa-Moreno, M.I.; et al. Tuning glycosidase inhibition through aglycone interactions: Pharmacological chaperones for Fabry disease and GM1 gangliosidosis. Chem. Commun. 2012, 48, 6514–6516. [Google Scholar] [CrossRef]
- Sanchez-Fernandez, E.M.; Garcia Fernàndez, J.M.; Ortiz Mellet, C. Glycomimetic-based pharmacological chaperones for lysosomal storage disorders: Lessons from Gaucher, GM1-gangliosidosis and Fabry diseases. Chem. Commun. 2016, 52, 5497–5515. [Google Scholar] [CrossRef]
- Stütz, A.E.; Thonhofer, M.; Weber, P.; Wolfsgruber, A.; Wrodnigg, T.M. Pharmacological Chaperones for β-Galactosidase Related to GM1 -Gangliosidosis and Morquio B. Recent Adv. Chem. Rec. 2021, 21, 2980–2989. [Google Scholar] [CrossRef]
- McCafferty, E.H.; Scott, L.J. Migalastat: A Review in Fabry Disease. Drugs 2019, 79, 543–554. [Google Scholar] [CrossRef]
- Tominaga, L.; Ogawa, Y.; Taniguchi, M.; Ohno, K.; Matuda, J.; Oshima, A.; Suzuki, Y.; Nanba, E. Galactonojirimycin derivatives restore mutant human β-galactosidase activities expressed in fibroblasts from enzyme-deficient knockout mouse. Brain Dev. 2001, 23, 284–287. [Google Scholar] [CrossRef]
- Rigat, B.A.; Tropak, M.B.; Buttner, J.; Crushell, E.; Benedict, D.; Callahan, J.W.; Martin, D.R.; Mahuran, D.J. Evaluation of N-nonyl-deoxygalactonojirimycin as a pharmacological chaperone for human GM1 gangliosidosis leads to identification of a feline model suitable for testing enzyme enhancement therapy. Mol. Genet. Metab. 2012, 107, 203–212. [Google Scholar] [CrossRef][Green Version]
- Matsuda, J.; Suzuki, O.; Oshima, A.; Yamamoto, Y.; Noguchi, A.; Takimoto, K.; Itoh, M.; Matsuzaki, Y.; Yasuda, Y.; Ogawa, S.; et al. Chemical chaperone therapy for brain pathology in GM1-gangliosidosis. Proc. Natl. Acad. Sci. USA 2003, 100, 15912–15917. [Google Scholar] [CrossRef]
- Ogawa, S.; Matsunagaa, Y.K.; Suzuki, Y. Chemical modification of the beta-glucocerebrosidase inhibitor N-octyl-beta-valienamine: Synthesis and biological evaluation of 4-epimeric and 4-O-(beta-d-galactopyranosyl) derivatives. Bioorg. Med. Chem. 2002, 10, 1967–1972. [Google Scholar] [CrossRef]
- Takai, T.; Higaki, K.; Aguilar-Moncayo, M.; Mena-Barragán, T.; Hirano, Y.; Yura, K.; Yu, L.; Ninomiya, H.; García-Moreno, M.I.; Sakakibara, Y.; et al. A bicyclic 1-deoxygalactonojirimycin derivative as a novel pharmacological chaperone for GM1 gangliosidosis. Mol. Ther. 2013, 21, 526–532. [Google Scholar] [CrossRef]
- Fantur, K.; Hofer, D.; Schitter, G.; Steiner, A.J.; Pabst, B.M.; Wrodnigg, T.M.; Stütz, A.E.; Paschke., E. DLHex-DGJ, a novel derivative of 1-deoxygalactonojirimycin with pharmacological chaperone activity in human G(M1)-gangliosidosis fibroblasts. Gen. Metab. 2010, 100, 262–268. [Google Scholar] [CrossRef]
- Front, S.; Biela-Banas, A.; Burda, P.; Ballhausen, D.; Higaki, K.; Caciotti, A.; Morrone, A.; Charollais-Thoenig, J.; Gallienne, E.; Demotz, S.; et al. (5aR)-5a-C-Pentyl-4-epi-isofagomine: A powerful inhibitor of lysosomal β-galactosidase and a remarkable chaperone for mutations associated with GM1-gangliosidosis and Morquio disease type B. Eur. J. Med. Chem. 2017, 126, 160–170. [Google Scholar] [CrossRef]
- Front, S.; Almeida, S.; Zoete, V.; Charollais-Thoenig, J.; Gallienne, E.; Marmy, C.; Pilloud, V.; Marti, R.; Wood, T.; Martin, O.R.; et al. 4-epi-Isofagomine derivatives as pharmacological chaperones for the treatment of lysosomal diseases linked to β-galactosidase mutations: Improved synthesis and biological investigations. Bioorg. Med. Chem. 2018, 26, 5462–5469. [Google Scholar] [CrossRef]
- Siriwardena, A.; Sonawane, D.P.; Bande, O.P.; Markad, P.R.; Yonekawa, S.; Tropak, M.B.; Ghosh, S.; Chopade, B.A.; Mahuran, N.J.; Dhavale, D.D. Synthesis of 1,5-Dideoxy-1,5-iminoribitol C-Glycosides through a Nitrone–Olefin Cycloaddition Domino Strategy: Identification of Pharmacological Chaperones of Mutant Human Lysosomal β-Galactosidase. J. Org. Chem. 2014, 79, 4398–4404. [Google Scholar] [CrossRef]
- Clemente, F.; Matassini, C.; Goti, A.; Morrone, A.; Paoli, P.; Cardona, F. Stereoselective Synthesis of C-2 Alkylated Trihydroxypiperidines: Novel Pharmacological Chaperones for Gaucher Disease. ACS Med. Chem. Lett. 2019, 10, 621–626. [Google Scholar] [CrossRef] [PubMed]
- Clemente, F.; Matassini, C.; Faggi, C.; Giachetti, S.; Cresti, C.; Morrone, A.; Paoli, P.; Goti, A.; Martínez-Bailén, M.; Cardona, F. Glucocerebrosidase (GCase) activity modulation by 2-alkyltrihydroxypiperidines: Inhibition and pharmacological chaperoning. Bioorg. Chem. 2020, 98, 103740–103763. [Google Scholar] [CrossRef] [PubMed]
- Clemente, F.; Matassini, C.; Cardona, F. Reductive Amination Routes in the Synthesis of Piperidine IminoSugars. Eur. J. Org. Chem. 2020, 2020, 4447–4462. [Google Scholar] [CrossRef]
- Mirabella, S.; Fibbi, G.; Matassini, C.; Faggi, C.; Goti, A.; Cardona, F. Accessing 2-substituted piperidine iminosugars by organometallic addition/intramolecular reductive amination: Aldehyde vs. nitrone route. Org. Biomol. Chem. 2017, 15, 9121–9126. [Google Scholar] [CrossRef]
- Matassini, C.; Mirabella, S.; Goti, A.; Cardona, F. Double Reductive Amination and Selective Strecker Reaction of a d-Lyxaric Aldehyde: Synthesis of Diversely Functionalized 3,4,5-Trihydroxypiperidines. Eur. J. Org. Chem. 2012, 2012, 3920–3924. [Google Scholar] [CrossRef]
- Parmeggiani, C.; Matassini, C.; Cardona, F.; Goti, A. On the Oxidation of Hydroxylamines with o-Iodobenzoic acid (IBX). Synthesis 2017, 49, 2890–2900. [Google Scholar]
- Anh, N.T.; Eisenstein, O. Theoretical interpretation of 1–2 asymmetric induction: The importance of antiperiplanarity. Nouv. J. Chim. 1977, 1, 61–70. [Google Scholar]
- Battioni, J.-P.; Chodkiewicz, W. Cheminform abstract: Reaction of organometallics with 2-methoxycyclohexanone and cis- and trans-2-methoxy-4-tert-butylcyclohexanones. Chem. Inf. 1978, 9, 320–328. [Google Scholar] [CrossRef]
- Prichard, K.; Campkin, D.; O’Brien, N.; Kato, A.; Fleet, G.W.J.; Simone, M.I. Biological activities of 3,4,5-trihydroxypiperidines and their N-and O-derivatives. Chem. Biol. Drug Des. 2018, 92, 1171–1197. [Google Scholar] [CrossRef]
- Davighi, M.G.; Clemente, F.; Matassini, C.; Morrone, A.; Goti, A.; Martínez-Bailén, M.; Cardona, F. Synthesis of “All-Cis” Trihydroxypiperidines from a Carbohydrate-Derived Ketone: Hints for the Design of New β-Gal and GCase Inhibitors. Molecules 2020, 25, 4526–4549. [Google Scholar] [CrossRef]
- Parmeggiani, C.; Catarzi, S.; Matassini, C.; D’Adamio, G.; Morrone, A.; Goti, A.; Paoli, P.; Cardona, F. Human Acid β-Glucosidase Inhibition by Carbohydrate Derived Iminosugars: Towards New Pharmacological Chaperones for Gaucher Disease. ChemBioChem 2015, 16, 2054–2064. [Google Scholar] [CrossRef]
- Zhu, X.; Sheth, K.A.; Li, S.; Chang, H.-H.; Fan, J.-Q. Rational Design and Synthesis of Highly Potent β-Glucocerebrosidase Inhibitors. Angew. Chem. 2005, 117, 7616–7619. [Google Scholar] [CrossRef]
- Compain, P.; Martin, O.R.; Boucheron, C.; Godin, G.; Yu, L.; Ikeda, K.; Asano, N. Design and synthesis of highly potent and selective pharmacological chaperones for the treatment of Gaucher’s disease. ChemBioChem 2006, 7, 1356–1359. [Google Scholar] [CrossRef]
- Castellan, T.; Garcia, V.; Rodrigues, F.; Fabing, I.; Shchukin, Y.; Tran, M.L.; Ballerau, S.; Levade, T.; Génisson, Y.; Dehoux, C. Concise asymmetric synthesis of new enantiomeric C-alkyl pyrrolidines acting as pharmacological chaperones against Gaucher disease. Org. Biomol. Chem. 2020, 18, 7852–7861. [Google Scholar] [CrossRef]
- McCaig, A.E.; Chomier, B.; Wightman, R.H. Hydroxylated Piperidines: Synthesis of 1,5-Alkylimino-1,5-Dideoxy Derivatives of Xylitol, d- and l-Arabinitol, and Ribitol. J. Carbohydr. Chem. 1994, 13, 397–407. [Google Scholar] [CrossRef]
Publisher’s Note: MDPI stays neutral with regard to jurisdictional claims in published maps and institutional affiliations. |
© 2022 by the authors. Licensee MDPI, Basel, Switzerland. This article is an open access article distributed under the terms and conditions of the Creative Commons Attribution (CC BY) license (https://creativecommons.org/licenses/by/4.0/).
