Abstract
We investigated how different doses of microwave irradiation (MR) affect seed germination in Sorghum, including the level of remediation against textile and surgical wastewater (WW) by modulating biochemical and morpho-physiological mechanisms under glutamic acid (GA) application. The experiment was conducted to determine the impact of foliar-applied GA on Sorghum under wastewater conditions. Plants were treated with or without microwave irradiation (30 s, 2.45 GHz), GA (5 and 10 mM), and wastewater (0, 25, 50, and 100). Growth and photosynthetic pigments were significantly decreased in plants only treated with various concentrations of WW. GA significantly improved the plant growth characteristics both in MR-treated and -untreated plants compared with respective controls. HMs stress increased electrolyte leakage (EL), hydrogen peroxide (H2O2), and malondialdehyde (MDA) content; however, the GA chelation significantly improved the antioxidant enzymes activities such as ascorbate oxidase (APX), superoxide dismutase (SOD), peroxidase (POD), and catalase (CAT) both in MR-treated and -untreated plants under WW stress compared with respective controls. The results suggested that the MR-treated plants accumulate higher levels of HMs under GA addition in comparison to the WW-only-treated and MR-untreated plants. The maximum increase in Cd accumulation was observed in the range of 14–629% in the roots, 15–2964% in the stems, and 26–4020% in the leaves; the accumulation of Cu was 18–2757% in the roots, 15–4506% in the stems, and 23–4605% in the leaves; and the accumulation of Pb was 13–4122% in the roots, 21–3588% in the stems, and 21–4990% in the leaves under 10 mM GA and MR-treated plants. These findings confirmed that MR-treated sorghum plants had a higher capacity for HMs uptake under GA and could be used as a potential candidate for wastewater treatment.
1. Introduction
Overpopulation, increased industrialization, and urbanization have contributed to the emergence of heavy metals (HMs) concentrations in recent decades [1]. Heavy metals stress is one of the most pertinent abiotic factors that has attained wide acceptance due to its long-term repercussions. Textile industries have significantly contaminated soil and water in various areas of Pakistan, especially central Punjab, including the Sialkot district, and have extensively released prolonged toxins such as HMs [2,3]. The textile and surgical industry in Sialkot is rapidly expanding, contributing to the country’s economy [4,5]. Sialkot’s agricultural land is used for conventional farming, and despite the scarcity of fresh water, agricultural practices explicitly use 70% of the produced industries’ wastewater for irrigation purposes after primary treatment [6]. Hazardous dyes, pigments, oil, surfactants, HMs, sulphates (SO42−), and chlorides (Cl−) have been reported in wastewater of the textile industry. The level of HMs in arable land seems not consistently high, but when treated with wastewater, the HMs content increases. All of these contaminants are potentially damaging to the water quality [7]. Consequently, it has a substantial negative impact on all life forms [8]. Toxins from untreated wastewater are identified as one of the most noticeable polluters of our environment, including water bodies and soils. These toxins are carcinogenic, mutagenic, and genotoxic to all living things [9].
Heavy metals have a significant impact on plant growth. Their toxicity is linked to reactive oxygen species (ROS) generation, which eventually causes redox imbalance [10]. Several environmental factors influence plant growth and development, while heavy metals contamination has become a massive ecological threat [11]. Metals pose a risk to both the environment and biosystems due to their expansion and high conductivity. These elements readily give up their electrons to form cations via ions [12]. Plant and human health are jeopardized due to its transport and sequestration into the food chain from lower to higher trophic levels [13,14]. Heavy metals from the surgical sector can cause environmental problems through multiple mechanisms [15]. The emission of industrial waste from HMs in waterways has devastating effects on the environment’s flora and fauna [16]. Surgical and textile industrial effluents contain nickel (Ni), lead (Pb), cadmium (Cd), copper (Cu), iron (Fe), magnesium (Mn), and chromium (Cr) in various concentrations (Reddy and Osborne, 2020). Some metals (Cu, Ni) are involved in cellular metabolism, while others are not (Cd, Pb). Pb, Cd, and Cu toxicities combine to cause a wide range of oxidative stress [1]. Cd is the most toxic element to humans, animals, and plants due to its high mobility and bioaccumulative capacity and acts as a potential environmental pollutant [17,18]. Cd interferes with several aspects of plant growth, including photosynthesis, nutrient absorption, leaf chlorosis, and assimilation, which causes changes in the structure of chloroplasts, mitochondria, and cell wall components, eventually leading to a reduction in crop yields [19,20]. Even though copper is required for the catalysis of enzymatic biochemical activities in plants, an excess of Cu can inhibit or hinder plant development and promote oxidative stress [21,22]. Lead (Pb) has deleterious morphological, physiological, and biochemical effects on living things. It potentiates plant growth by inhibiting seedling development, root elongation, transpiration, chlorophyll production, cell division, and subsequent plant growth [23,24].
Untreated water is corrosive to the environment and other natural organisms. With these environmental challenges, the toxicity of metals in industrial effluent has attracted the interest of research [25]. All types of wastewater must be treated before dumping into open water to reduce water pollution. Consequently, an environmentally sustainable method of treating textile and surgical wastewater must be developed and implemented. Moreover, phytoremediation is the most acceptable, cost-effective, and environmentally friendly technique [26]. The most appropriate method for treating industrial wastewater is phytoremediation-constructed wetland technology. Plants take up pollutants from water, soil, and air. Eventually, plant species have a spectrum of potential for nutrient and pollutant removal and represent an adequate phytoremediation and stress resistance. Sorghum is among the flowering plants known to remove heavy metals from soil. Sorghum, a member of the Poaceae family, is also known as Great millet and is a valuable tropical and subtropical crop [27,28]. It is also resistant to drought, heat, and salt. Sorghum is extensively cultivated for its high climate versatility, higher yield potential, and improved quality. Even in the presence of heavy metals, sorghum plants were highly resistant to metal pollution and able to produce high biomass [17]. Along with plant applications, numerous eco-friendly wastewater treatment mechanisms, such as plant seeds treated with microwave radiation and amino chelators, are now being used. These strategies and chemical agents have been researched to improve the effectiveness of phytoremediation.
Amino acids (AAs) are imperative for crop development and can be used to mitigate abiotic stress [29]. Within plant cells, amino acids are one of the most influential metabolites. The presence of amino acids influences the physical and chemical properties of plant cells, tissues, and organs. As a result, amino acids associate with remediator plants to boost metal toxicity absorption from polluted environments [30]. Glutamic acid (GA) is an essential amino acid in plant physiology, where it plays pivotal roles in a variety of metabolic processes, including nitrogen assimilation pathways [31]. GA applied at the seedling stage improves plant yield attributes such as biomass, lipids, soluble protein levels, and starch. It also assisted in the plant’s natural process of strengthening [32,33]. Multiple amino acids, primarily glycine, acetic acid, and lysine, have recently been supplemented into nutrient fertilizer formulations in the context of chelate or a simple complex to improve the plant use efficiency of applied fertilizer [34,35]. Exogenous amino acid implementation has proven to endorse agricultural yields in various crops. The foliar application of amino acids has a phenomenal impact under environmental stresses such as salinity or water stress [29,36,37,38].
Another approach is that electromagnetism is considered for biochemical processes and organisms to function. The application of microwave technology to extract plants’ bioactive components is still under-discussed. Moreover, technology is gaining notoriety in industries, primarily the agri-food sector [39]. Electromagnetic waves could have long-term health consequences. Microwave radiation (MR) has been used in a wide range of microbiology and soil science techniques [40]. MR affects plant growth, development, and seed germination. Low-intensity microwaves did not affect plant growth, but increased microwave irradiation has slowed the seed germination rate [41].
However, no research has been conducted on the impact of microwave radiation on the seed of Sorghum plants, using the foliar application of glutamic acid against textile and surgical wastewater. Therefore, the following are the research objectives: (a) to evaluate the effect of microwave irradiation on seed germination; (b) to assess the physiological and biochemical response of Sorghum to wastewater stress; (c) to investigate Sorghum’s phytoremediation potential for heavy metals under glutamic acid and microwave irradiation applications; (d) to study the influence of GA and MR on Sorghum plant resistance to oxidative stress.
2. Results
2.1. Seed Germination Potential under Microwave Radiation
According to the findings, increased frequency over a longer time period inhibited seed germination. The optimum growth in seed germination was observed at a frequency of 2.45 GHz for 30 s, but at the same frequency for the other time scales of 90 s and 120 s, there was a decrease in seed germination. The maximum germination of seeds was observed at 30 s (9.33) followed by 0 s (7.3), 60 s (6.3), 90 s (5), and 120 s (4.3). The intensity of microwave radiation varies with frequency and duration of exposure, and it has a substantial impact on seed germination potential. The accurate results were obtained with MR (30 s) and were used within the research.
2.2. Morphological Characteristics
Different growth parameters of Sorghum were evaluated in the presence of surgical and textile wastewater. Measured growth parameters were plant height, root length, number of leaves, and leaf area. Tested plants were grown in wastewater concentrations (0, 25, 50, 75, and 100%) in the presence and absence of GA. The addition of GA (5 mM and 10 mM) increased growth characteristics, but MR for 30 s led to substantial improvements in the growth characteristics of sorghum plants (Supplementary Figure S1). A reduction was observed in MR-untreated plants due to heavy metals stress as compared with the control of 31.18% and 28.68% for plant height, 55.97% and 40.51% for root length, 29.70% and 27.85% for leaf area, and 60% and 33.33% for the number of leaves per plant, respectively. Adding GA (5 mM and 10 mM) and MR (the 30 s) enhanced the plant height by 5–43%, root length by 6–96%, leaf area by 12–60%, and number of leaves by 10–175% at different levels of wastewater concentration. The fresh and dry biomass of plants decreased with as the wastewater concentration (Supplementary Figure S2). Sorghum is a well-known plant for up taking HMs, but the increased concentration of wastewater affects the biomass and growth parameters of plants. Without MR treatment and GA, compared to the control, there was a reduction in the fresh weight of leaves by 64.75% and 53%, stems by 7.57% and 37.32%, and roots by 74.56% and 58.14%, respectively. The maximum reduction in dry biomass was 73.04% and 54.55% for leaves, 40.20% and 26.76% for stems, and 62.15% and 52.44% for roots, respectively. The combination of GA (5 mM and 10 mM) and MR (30 s) increased the fresh weight of leaves by 8–91%, stems by 5–64%, and roots by 10–174%. Similarly, the increase in dry biomass was 11–168% for leaves, 7–75% for stems, and 9–105% for roots.
2.3. Biochemical Characteristics
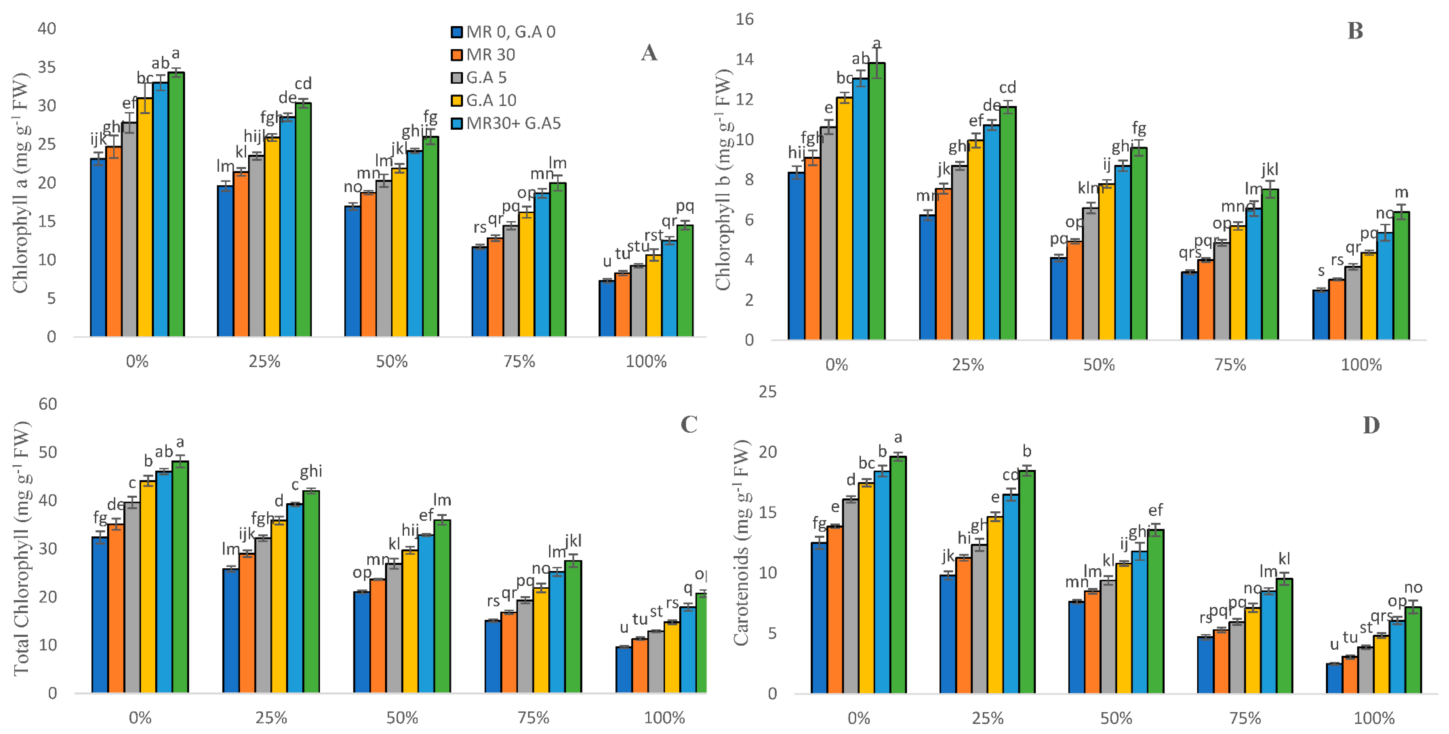
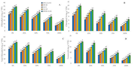
Chlorophyll and carotenoid contents were estimated to assess the photosynthetic reduction caused by the presence of toxins in wastewater. The maximum reduction was observed in MR-untreated plants and the absence of GA in tested plants as compared to the control (Figure 1). Thus, the biochemical characteristics was as follows: chlorophyll a—68.44% and 57.67%, chlorophyll b—70.12% and 53.73%, total chlorophylls—70.24 and 56.96%, and carotenoids—80% and 63.33%, respectively. With GA (5 mM and 10 mM) and MR (30 s) added, it enhanced the content of chlorophyll a by 6–99%, chlorophyll b by 8–156%, total chlorophylls by 8–115%, and carotenoids by 10–188% at different concentrations of WW (0, 25, 50, and 100%).
Figure 1.
Surgical and textile effluent and glutamic acid effect on Chl a (A), Chl b (B), total Chl (C), and carotenoids (D) in Sorghum. Values are demonstrated as means of three replicates along with standard deviation. Different small letters indicate that values are significantly different at p < 0.05.
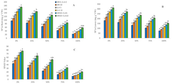
2.4. Soluble Protein and SPAD Value
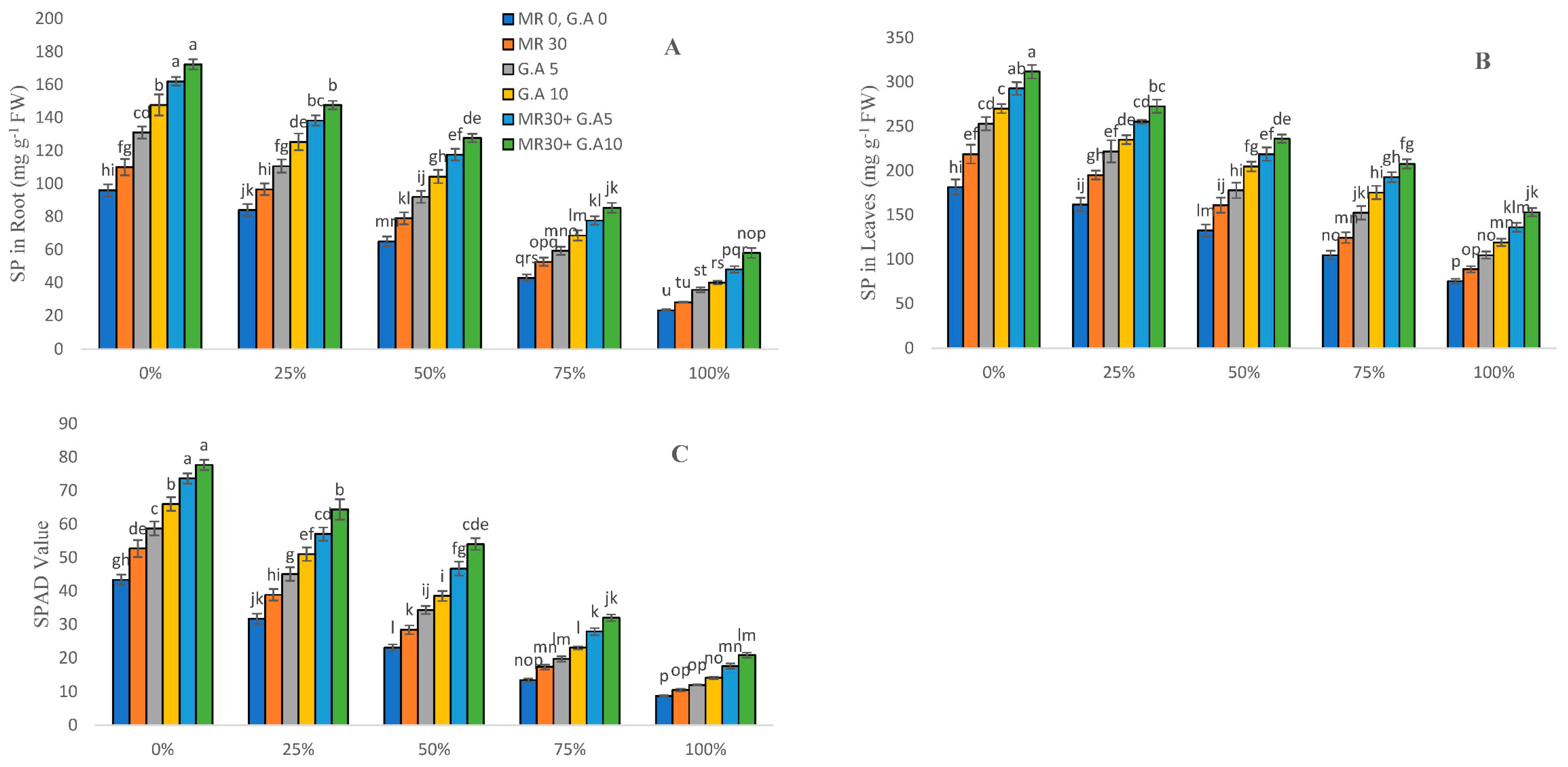
The soluble protein of sorghum plants was reduced with the increase in the concentration of wastewater, as shown in Figure 2. The maximum reduction for soluble protein due to metals stress as compared to the control was 58.46% and 50.91% in leaves, 72.22% and 60.72% in roots, and 79.77% and 73.22% for SPAD, respectively. With the GA (5 mM and 10 mM) and MR (30 s) added, it enhanced the soluble protein values in leaves by 17–103%, in roots by 14–148%, and for SPAD by 19–137% at various concentrations of wastewater.
Figure 2.
Surgical and textile effluent and glutamic acid effect on SP in root (A), SP in leaves (B), and SPAD value (C) in Sorghum L. Values are demonstrated as means of three replicates along with standard deviation. Different small letters indicate that values are significantly different at p < 0.05.
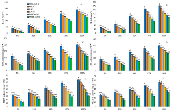
2.5. ROS Content in Sorghum
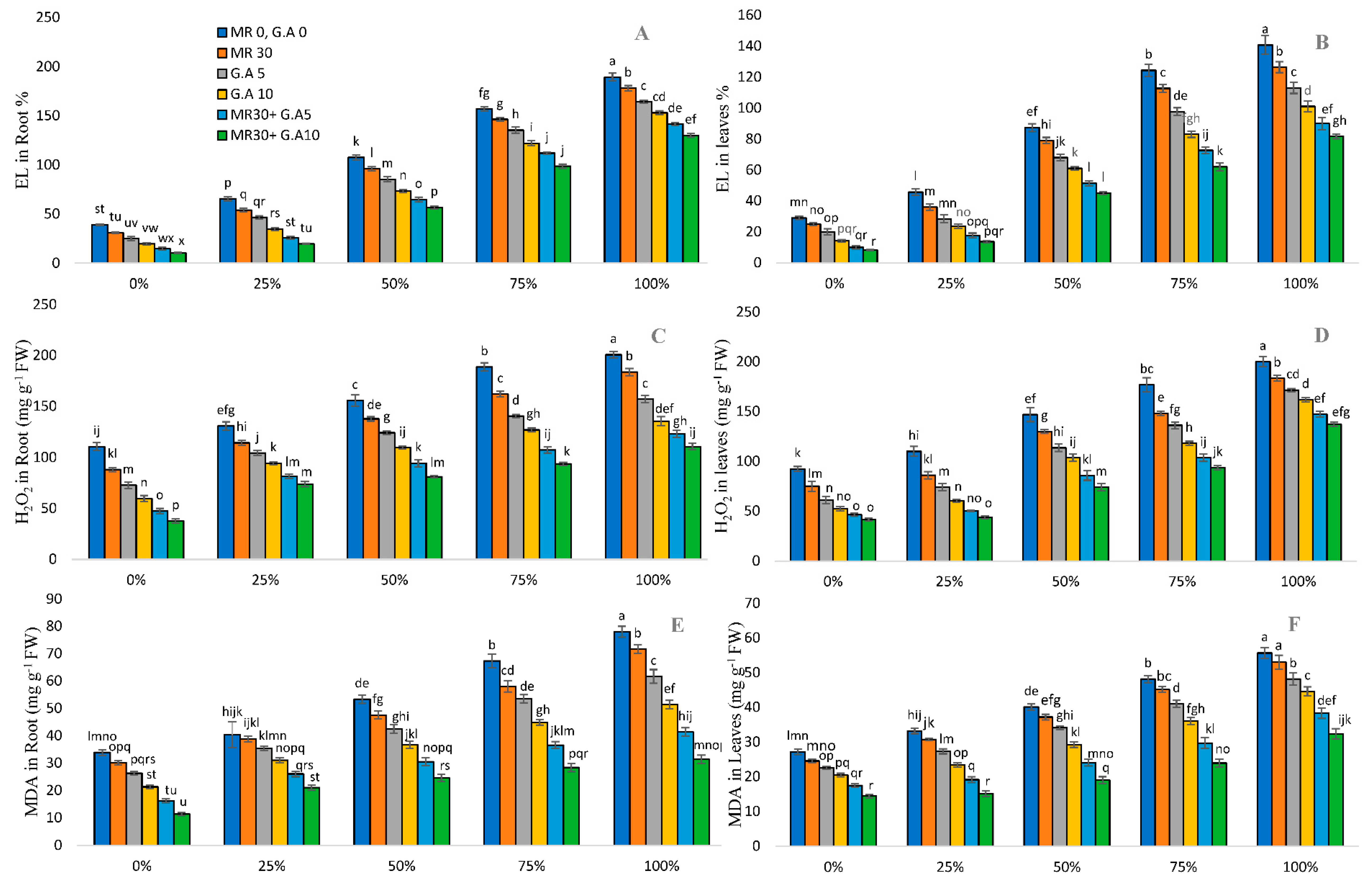
Enhanced oxidative stress and electrolyte leakage were estimated in the leaves and roots of MR-untreated plants with increasing heavy metals concentrations (0, 25, 50, 75, and 100%). Heavy metals stress significantly enhanced the production of electrolyte leakage and oxidative stress, particularly MDA and H2O2 (Figure 3). The maximum increase observed under HMs stress compared to the controls for EL was 385.47% and 1158.06% in roots and 385.06% and 895.93% in leaves; for H2O2, it was 81.33% and 193.81% in roots and 116.61% and 231.45% in leaves; and for MDA, it was 130.54% and 176.47% in roots and 104.91% and 124.54% in leaves, respectively. The use of GA (5 mM and 10 mM) and MR (30 s) with varying concentrations of WW significantly reduced the ROS content in plants. It decreased the EL content in roots by 5–73% and in leaves by 9–71%, H2O2 in roots by 8–65% and in leaves by 8–55%, and MDA in roots by 3–66% and in leaves by 4–46%.
Figure 3.
Surgical and textile effluent and glutamic acid effect on EL in root (A), EL in leaves (B), H2O2 in roots (C), H2O2 in leaves (D), MDA in roots (E), and MDA in leaves (F) in Sorghum L. Values are demonstrated as means of three replicates along with standard deviation. Different small letters indicate that values are significantly different at p < 0.05.
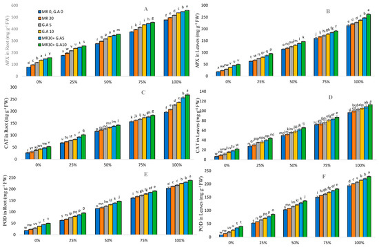
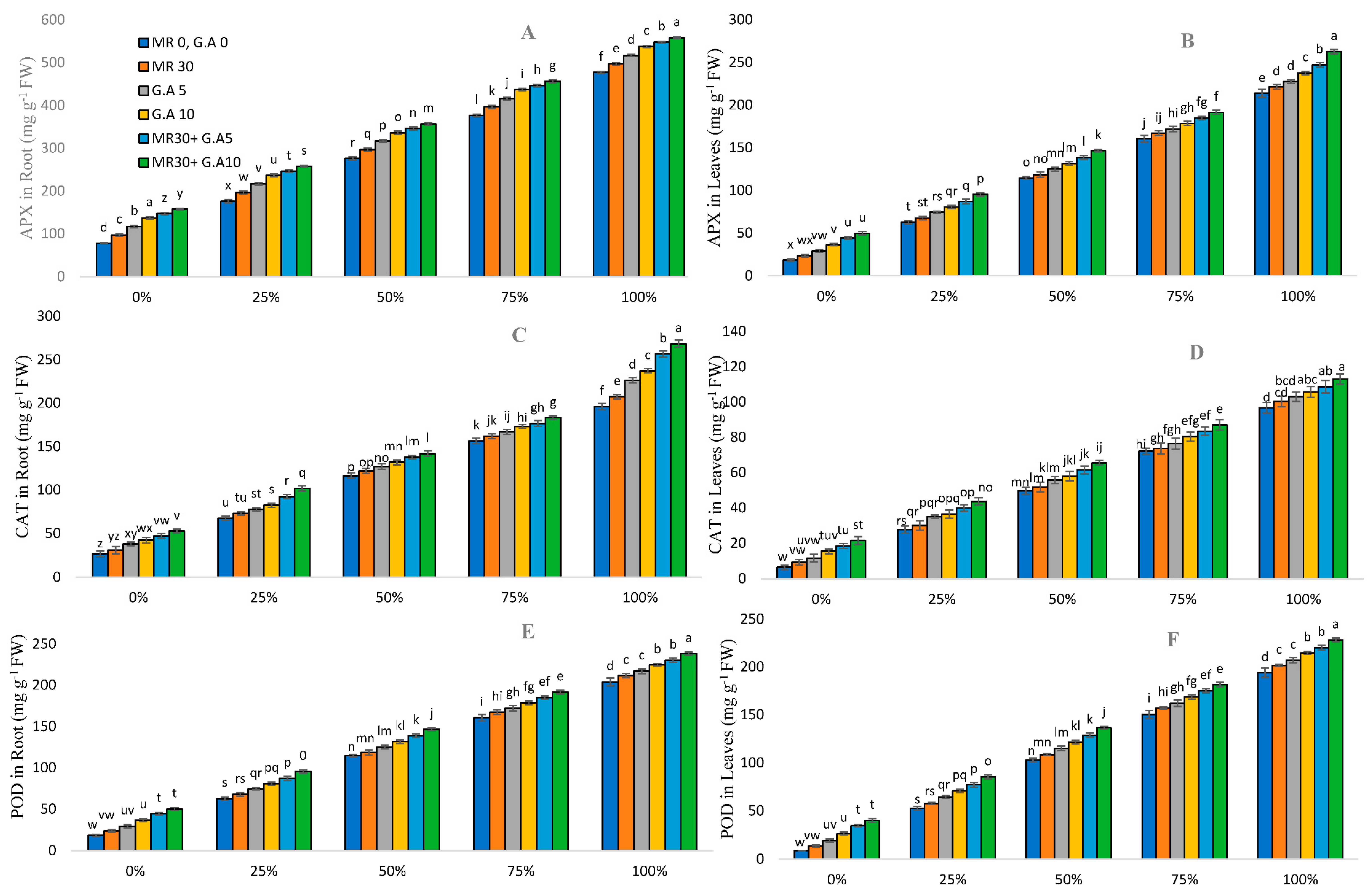
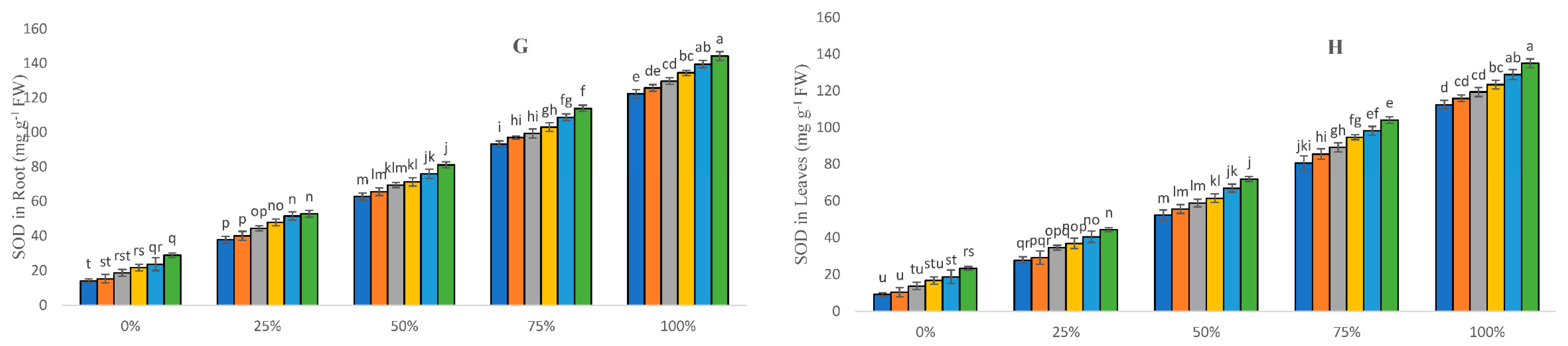
2.6. Response of Antioxidants in Sorghum
To reduce the stress induced by heavy metals in Sorghum plants, the production of antioxidant enzymes SOD, POD, APX, and CAT was measured in the roots and leaves of sorghum plants grown at different levels of WW concentrations (Figure 4). The maximum increase observed under HMs stress compared to the controls for APX was 1059.86% and 427.09% in leaves and 171.16% and 116.44% in roots; for CAT, it was 1394.85% and 424.92% in leaves and 639.25% and 408.53% in roots; for POD, it was 2198.02% and 472.89% in leaves and 1005.61% and 377.79% in roots; and for SOD, it was 1131.75% and 479.97% in leaves and 766.27% and 398.27% in roots, respectively. With the application of GA (5 mM and 10 mM) and MR (30 s), it reduced the content of APX in leaves by 3–170% and in roots by 4–102%, of CAT in leaves by 2–232% and in roots by 3–99%, of POD in leaves by 3–372% and in roots by 3–170%, and of SOD in leaves by 3–155% and in roots by 2–104%.

Figure 4.
Surgical and textile effluent and glutamic acid effect on APX in roots (A), APX in leaves (B), CAT in roots (C), CAT in leaves (D), POD in roots (E), POD in leaves (F), SOD in roots (G), and SOD in leaves (H) in Sorghum L. Values are demonstrated as means of three replicates along with standard deviation. Different small letters indicate that values are significantly different at p < 0.05.
2.7. Heavy Metals Concentration and Accumulation in Sorghum
The concentration of various metals in Sorghum, including Cd, Pb, and Cu, enhanced significantly with an increase in wastewater concentration. The results showed that using GA and MR alone or in combination increased the Cd, Cu, and Pb uptake and accumulation in plants (Table 1, Table 2 and Table 3). The concentration of Cd increased by 599.33% and 241.15% in roots, 755.83% and 214.49% in stems, and 656.52% and 248.49% in leaves. The concentration of Cu increased by 429.19% and 258.09% in roots, 415.45% and 283.14% in stems, and 488.85% and 303.20% in leaves. The concentration of Pb increased by 634.12% and 245.58% in roots, 757.71% and 259.80% in stems, and 384.98% and 271.31% in leaves. The accumulation of Cd increased by 203.11% and 94.57% in roots, 475.80% and 149.26% in stems, and 155.44% and 89.46% in leaves. The accumulation of Cu increased by 129.49% and 103.59% in roots, 246.53% and 203.57% in stems, and 99.47% and 119.25% in leaves. The accumulation of Pb increased by 217.53% and 96.65% in roots, 477.40% and 185.19% in stems, and 64.17% and 101.85% in leaves, respectively. Correspondingly, the application of GA (5 mM and 10 mM) and MR (30 s) under wastewater significantly enhanced the concentration and accumulation in plants as compared to wastewater treated-only plants.
Table 1.
Effect of surgical and textile effluent alone and/or in combination with GA on heavy metals uptake (µg g−1) and accumulation (µg plant−1) in microwave-treated and -untreated sorghum.
Table 2.
Effect of surgical and textile effluent alone and/or in combination with GA on heavy metals uptake (µg g−1) and accumulation (µg plant−1) in microwave-treated and -untreated sorghum.
Table 3.
Effect of surgical and textile effluent alone and/or in combination with GA on heavy metals uptake (µg g−1) and accumulation (µg plant−1) in microwave-treated and -untreated sorghum.
The application of GA (5 mM and 10 mM) and MR (30 s) increased the concentration of Cd by 3–350% in roots, 3–2053% in stems, and 3–2445% in leaves. The concentration of Cu increased by 3–1685% in roots, 3–3150% in stems, and 4–2900% in leaves. The concentration of Pb increased by 2–2445% in roots, 4–2440% in stems, and 4–3150% in leaves. The accumulation of Cd increased by 14–629% in roots, 15–2964% in stems, and 26–4020% in leaves. The accumulation of Cu increased by 18–2757% in roots, 15–4506% in stems, and 23–4605% in leaves. The accumulation of Pb increased by 13–4122% in roots, 21–3588% in stems, and 21–4990% in leaves at different levels of WW, respectively.
3. Discussion
Plants take macro-elements as nutrient content on a minuscule scale. Increased levels of these metals have physiological, morphological, and metabolic effects on organisms, and they may impact human life as they enter the food chain [42]. Cd, Cu, and Pb are toxic compounds with no discernible role in plant metabolism. The excessive use of industrial effluents alters soil properties and has severe implications for food safety. Specific management strategies should be used under these conditions to improve plant growth and productivity [43,44]. Plant resistance to HM stress is dependent on an intricate system of molecular and physiological mechanisms. In the presence of a robust antioxidant defense system, these plant mechanisms make plant species hyper-tolerant to HMs stress [45]. Compared to control values, increasing wastewater concentrations (25, 50, 75, and 100%) significantly reduces plant morphological characteristics (Supplementary Material Figure S1). The findings are similar to those reported by Hassan et al. [46], who found that HMs reduce the physiochemical activities of sorghum. Plant physiological processes suppress, having caused morphological changes. Furthermore, the chelating agent GA markedly increased Brassica napus growth performance when subjected to metal stress [47]. Plants treated with microwave irradiation respond positively to glutamic acid application. Subsequently, MR and GA demonstrate a survival benefit in Sorghum plants against the presence of toxic substances in wastewater. Microwave interactions in germination can be attributed to the microwave’s thermal effects, and thus low humidity content can be likened to the grain’s initial moisture content [48]. Sorghum plants are well-positioned to contribute to resisting HMs when regarded with MR and GA.
Plants that were not subjected to wastewater, treated only with the chelating agents GA (10 mM) and MR (30 s), had the highest chlorophyll content. Microwave irradiation promotes seed germination when used at low levels [49]. As the concentration of wastewater effluents (25, 50, 75, and 100%) increased, so did the plant’s chlorophyll and carotenoid content (Figure 1). Our findings back up previous research by Zhang et al. [50], who observed that Cd and Zn stress reduced the chlorophyll value of tobacco leaves. The utilization of wastewater generally resulted in changes in the physicochemical properties of the soil and, as a result, increased heavy metals uptake by plants [51]. The increase in chlorophyll content is specifically correlated to plant food production. These chlorophyll pigments actively engage in photosynthetic processes [13,52]. Nonetheless, this study reveals that microwave irradiation at the initial phases of seed germination and the exogenous application of glutamic acid on Sorghum plants tend to increase photosynthetic activity, which increases yield production. Following microwave irradiation with low doses, the chlorophyll content of barley increased [41]. The electrons of hydrogen and magnesium atoms absorb the energy of microwave radiation in chlorophyll molecules [53]. The absorbed energy is split and changes the chlorophyll molecule. If microwave radiation accelerates seed potato germination, subsequent plant ontogenesis levels such as vegetation cycle reduction or cropping size will be influenced [54]. Other crop plants use the foliar amino acid application to boost biomass and photosynthetic activity [55,56]. Glutamic acid is also bolstered in the protection and preservation of yield production and also biological characteristics in the environment [7]. Chelating agents such as lysine, glycine, and glutamic acid assist in the retention of plant yield and photosynthetic pigments [29,57,58].
The soluble protein and SPAD value decrease in conjunction with the metal toxins present in surgical and textile effluents, as shown in the results (Figure 2). According to Farid et al. [59], the lowering in SPAD value could be due to heavy metals stress in the plant. Pb, Cd, Cu, and Zn stress diminished plant soluble protein and SPAD changes at different levels of WW (without GA and MR treatment), as seen in Figure 2. Heavy metals stress increases, as does the production of ROS, causing a reduction in soluble protein [60]. As previously discussed, the value of SPAD tends to decrease due to heavy metals stress, which is consistent with the current research findings [61,62]. Soil application of amino acids substantially increased sweet basil growth, including plant height and the leaf SPAD value of plant leaf extract, compared to unfertilized control plants [63]. Because of the reduction in ROS and EL production, the application of organic acid as a chelator raises the SPAD value and even the soluble protein value [64,65].
The antioxidant properties of four enzymes, POD, APX, SOD, and CAT, are crucial for resistance mechanisms against ROS [66]. Multiple levels of WW (without GA and MR) had the lowest antioxidant concentrations. Surprisingly, the exogenous application of 5 mM and 10 mM GA to MR-treated Sorghum-tested plants elevated antioxidant levels (Figure 4). Foliar amino acid supplementation is an advanced way of improving plant growth, yield, and a range of quality attributes, along with antioxidant activities, especially under adverse environmental conditions [67,68]. The elevated levels of SOD, POD, APX, and CAT disrupt the chemical nature of the soil. It may also have an impact on metabolism and growth [69]. POD enzymes convert H2O2 to H2O and O2 in plant cells, SOD and APX catalyze the dissociation of O2 into molecular O2 and H2O2, and CAT acts directly on the removal of H2O2 generated by fatty acid β–oxidation [70]. When plants are stressed, the activity of these enzymes is regularly accelerated, scavenging surplus free radicals and preserving free radicals at physiological dynamic levels to promote resistance mechanisms. Free amino acids perform various functions and have benefits in plant cells, including semi-hormonal effects, osmotic adjustment, and frequently acting as an antioxidant for cell components, including the membrane surface [71,72]. GA application culminated in a relative increase in POD, APX, SOD, and CAT activities in sorghum plants under water stress conditions. Therefore, GA can dramatically improve POD, APX, SOD, and CAT activities under HMs stress, enhancing plants’ ability to scavenge ROS and, inevitably, reducing MDA-induced damage.
Toxins in wastewater accelerated electrolyte leakage and the production of reactive oxygen species. Heavy metals in effluents reduced the ROS content, particularly malondialdehyde (MDA) and H2O2, according to this research, and the findings are consistent with [73,74,75]. However, with disruptions in the flow of the K+ and electron transport chains, the levels of EL, O2−, OH, and H2O2 are rising. It also indicated that increasing the concentration of glutamic acid reduces the oxidative stress caused by MDA under HM stress. In the present research, microwave irradiation-treated plants showed decreased ion leakage, which related to exposure doses having positive effects, consistent with Demidchik et al. [76]. Moreover, the use of amino acids as a chelator assisted the plant in repairing the damage while also enhancing gas exchange and antioxidant properties [77,78]. The antioxidant activities of the leaf samples were reduced when they were applied to multiple concentrations of wastewater effluents. Plant growth suffers the consequences of metal toxicity due to ROS production [79]. The antioxidative mechanism in plants is a natural protective mechanism that intervenes in the disruption induced by oxidative stress. Plants accumulate HMs, which also cause cell damage, a decline in enzymatic activity, and alter plant growth under stress conditions [80,81]. Metal toxicological stress increased MDA content in rape seedlings, indicating plant cytoplasmic membrane peroxidation [82]. HMs stress could severely reduce oxygen utilization, associated with excess ROS such as O2 and H2O2, causing cell membrane damage and influencing crop production. GA, a chelating agent, enhances plant recovery by modifying gas exchange characteristic traits and the antioxidant mechanism. It improves plant growth parameters as well [33].
In the present research, increasing the concentration of wastewater led to substantial metal accumulation in all parts of the plant (Table 1, Table 2 and Table 3). The collection of HMs in plants had toxic effects on plant physiological activities, halting plant growth [83]. In the long term, the heavy metals content of irrigation waters could lead to some accumulations. In this way, soil pH would be a corrosion inhibition precaution against metal risks [84]. The current study was designed to remove as many HMs from wastewater as possible for environmental remediation purposes. The addition of GA improved plant growth against HMs stress, while GA (5 and 10 mM) and MR (the 30 s) collectively enhanced the maximum level of concentration and accumulation. Furthermore, GA strengthens plants’ potential to withstand and tolerate higher levels of HMs [69]. These findings demonstrated that the exogenous application of glutamic acid at moderate concentrations optimizes sorghum growth, specifically leaf greenness and photosynthetic traits, and overcomes oxidative stress. This accomplishment illustrates that the amino acid approach and seeds treated with microwave irradiation accelerated the remediation potential of sorghum, making it the best candidate for phytoremediator. Therefore, chemical fertilizers often neglect several adverse effects on soil physicochemical characteristics. Furthermore, the foliar amino acid application can boost the amino acid content of plant tissues, improving food quality and nutritional value [35]. The study also discussed the effect of microwave irradiation on plants. Because it is a well-known issue, much additional research has been conducted. We theorized that they do impact it, but it was still a challenging issue to explain, so it was noticed that lower doses affected seed germination. Amino acids could even generate multiple complexes with metals and move more freely across the plant [85]. Even so, Sorghum exists naturally and capably in wastewater treatment, but the addition of GA increases the remediation potential.
4. Materials and Methods
4.1. Growth Conditions and Experimental Setup
Sorghum plants grown hydroponically have been studied for their capacity to absorb and tolerate Cd, Pb, and Cu concentrations. The seeds were taken from the Ayub Agriculture Research Institute (AARI) in Faisalabad, whereas textile and surgical wastewater were collected from a textile and surgical industry on Sialkot’s Wazirabad Road. The surface of the seeds was disinfected by spraying them with 3% H2O2 for 5 min and then washing them with deionized water. After drying, they were placed in a microwave oven with a frequency of 2.45 GHz for 0, 30, 60, 90, and 120 s time periods. Furthermore, the 10 seeds treated with microwave radiation for each selected time period were placed in petri dishes containing wet paper and incubated in a thermostat incubator for two weeks to observe the germination rate. Optimum germination was observed at 30 s of exposure to a frequency of 2.45 GHz. The maximum germination (mean of three replicates) of seeds was observed at 30 s (9.33) followed by 0 s (7.3), 60 s (6.3), 90 s (5), and 120 s (4.3). The highest germination time period (30 s) was selected for further experiment along with controls (0 s). The untreated and 30 s treated seeds were planted in the soil for 4 weeks. After that, the juvenile plants were washed with deionized water and shifted to hydroponic conditions. The Hoagland nutrient solution was provided in a hydroponic system composed of 5 L glass containers. Roots were immersed in the liquid solution while the shoots were raised above the culture medium. The plants were kept aerated at all times by air pumps. Two weeks after being transplanted, the plants were subjected to various treatments. Treatments were planned at varying concentrations of glutamic acid (5 and 10 mM), microwave radiation (0 and 30 s), and combined textile and surgical wastewater (WW) (25, 50, 75, and 100%), as given in Supplementary Table S1. Supplementary Table S2 shows the physicochemical properties of wastewater (WW) measured using standard procedures, including biological oxygen demand (BOD), electrical conductivity (EC), chemical oxygen demand (COD), and also pH and HMs of the selected textile and surgical wastewater. The plants were maintained at 25 °C with a 16 h photoperiod in a completely randomized design experiment (CRD). The pH of the nutrient was maintained at 5.8–6.3 throughout the activity by adding 1 M of H2SO4. Controls and treatments were performed in triplicate for analysis.
4.2. Analysis of Morpho-Physiological Response in Plants
After four weeks of treatment, the plants were harvested for further evaluation. An electric weighing balance was used to measure the fresh biomass of the Sorghum plant. Sorghum plant material was dried in an oven at 90 °C for 72 h, and dry biomass was obtained. The measuring ruler was used to measure the length of the tested plants. Leaf area was also calculated by using the equation described by Sarfraz et al. [13]. The chlorophyll a, b, and carotenoid content of fresh leaves (0.2 g) were measured using a spectrophotometer described by Metzner et al. [86].
4.3. Determination of Antioxidant Enzymes, SPAD Value, and Soluble Protein Content
Sorghum plants’ antioxidant enzyme activities were measured by using different protocols. The method proposed by Nakano and Asada [87] and Aebi [88] was used for estimating the concentrations of ascorbate oxidase (APX) and catalase (CAT). Zhang [89] described a method for calculating superoxide dismutase (SOD) and peroxidases (POD). To determine the concentration of soluble proteins in the Sorghum plants, Bradford [90] recommended using Coomassie brilliant blue G-250 as a dye and albumin as a standard. A SPAD-502 (Zhejiang Top Instruments Co., Ltd., Hangzhou, China) meter was used to determine the soil-plant analysis development (SPAD).
4.4. Evaluation of Electrolyte Leakage (EL), Malondialdehyde (MDA), and Hydrogen Peroxide H2O2
Dionisio-Sese and Tobita [91] described the following protocol to measure electrolyte leakage. The leaves were cut into small chunks and placed in the test tube with 8 mL of distilled water. The sample was autoclaved at 121 °C for 20 min after being immersed in water for 2 h to determine the electrical conductivity (EC1) at the initial level. To assess the final electrical conductivity (EC2), we should first cool the sample to 25 °C. The electrolyte leakage was calculated using a conductivity meter (model 720, INCO-LAB Company, Kuwait) or pH, and the formula is as follows:
EL = (EC1/EC2) × 100
The contents of hydrogen peroxide and malondialdehyde in plant roots and leaves were measured using the methods described by Heath and Pascker [92], with some modifications suggested by Dhindsa et al. [93] and Zhang and Kirham [94].
4.5. Assessment of Heavy Metals Concentration
The 0.5 g sorghum plant was harvested and dried in an electric furnace at 650 °C before being ground into powder. To achieve optimal digestion, concentrated sulfuric acid (H2SO4) and hydrochloric acids (HCl) were added to the ash at 250–300 °C, followed by the addition of H2O2 drop by drop. Following digestion, the sample was filtered through (Whatman No. 1) filter paper, and the solution was diluted to 100 mL with distilled water. For further sample analysis, an atomic absorption spectrophotometer (NOVA A400, Analytik Jena, Germany) was used to evaluate the Cu, Pb, and Cd content using the equation proposed by Farid et al. [95].
4.6. Statistical Analysis
The statistical analysis was performed on collected data by using Statistix 10.0 to find out the significant difference in/among applied treatments. The data presented in this study are the average value of three replicates for each treatment. ANOVA followed by Tukey’s post hoc test was accomplished to estimate the significant difference at p > 0.05.
5. Conclusions
The current study focused on the impact of microwave irradiation on the germination of seeds of Sorghum. Although seeds were exposed to microwave radiation (MR) frequencies at different times, the increased germination rate was observed in a relatively short period. Plants responded positively to relatively short microwave irradiation. In addition, it revealed that treated plants were more resistant to heavy metals (HMs) stress than MR-untreated plants were. The maximum accumulation of heavy metals cadmium (Cd), copper (Cu), and lead (Pb) was also observed in MR-treated plants with the addition of glutamic acid (GA, 5 mM, and 10 mM). Chelating agents mixed with microwave irradiation improved maximum growth parameters and photosynthetic characteristics. Plant physiology and biochemical processes were also affected in plants treated only with different levels of wastewater (25, 50, 75, and 100%). The plants treated with 100% wastewater showed the highest reduction in overall growth in all parts of the plant. The chelating agents GA and MR, alone or in combination, increased heavy metals concentrations and accumulation in Sorghum. The combination of GA and MR had the most optimistic implications of a high growth rate and prominent metal accumulation. The research found that controlling doses and minimizing seed exposure time to microwave irradiance have a beneficial influence on plants. Furthermore, it improves the understanding of the GA-dependent role in sorghum plants; however, extensive fieldwork is still necessary to determine the interaction of metals with GA and MR treatment.
Supplementary Materials
The following supporting information can be downloaded at: https://www.mdpi.com/article/10.3390/molecules27134004/s1, Figure S1: Surgical and textile effluents and glutamic acid effects on the plant height (A), root length (B), number of leaves (C), and leaf area (D) of microwave-treated and -untreated Sorghum L; Figure S2: Surgical and textile effluents and glutamic acid effects on the root fresh weight (A), root dry weight (B), stem fresh weight (C), stem dry weight (D), leaf fresh weight (E), and leaf dry weight (F) of microwave-treated and -untreated Sorghum L.; Table S1: Experimental treatments; Table S2: Physicochemical characterization of surgical and textile industry wastewater.
Author Contributions
Conceptualization, M.F., M.A. (Mohsin Abbas), Z.U.Z.A. and A.J.; methodology, M.A. (Mohsin Abbas) and W.S.; validation, S.A., M.A. (Mohsin Abbas) and M.F.; formal analysis, M.B.S., M.A. (Muhammad Abubakar) and W.S.; resources, S.A. and M.F.; writing—original draft preparation, M.A. (Muhammad Abubakar), A.J., M.F. and W.S.; writing—review and editing, Z.U.Z.A., M.A. (Mohsin Abbas), J.I. and M.B.S.; project administration, M.F., A.G.A.-S., O.A.A.-H. and S.R.A.; funding acquisition, M.F., A.G.A.-S. and O.A.A.-H. All authors have read and agreed to the published version of the manuscript.
Funding
This research was funded by the King Khalid University through the Research Center for Advanced Materials Science (RCAMS) under grant No. RCAMS/KKU/007/21.
Institutional Review Board Statement
Not applicable.
Informed Consent Statement
Not applicable.
Data Availability Statement
Not applicable.
Acknowledgments
Authors acknowledge support and funding of King Khalid University through the Research Center for Advanced Materials Science (RCAMS) under grant No. RCAMS/KKU/007/21. The authors also thankful to the Higher Education Commission (HEC) of Pakistan for providing funding through National Research Program for Universities (NRPU) under grant No. 2017/HEC/R&D/NRPU/8996.
Conflicts of Interest
The authors declare no conflict of interest.
Sample Availability
Not applicable.
References
- Ashraf, S.; Afzal, M.; Rehman, K.; Naveed, M.; Zahi, Z.A. Plant endophyte synergism in constructed wetlands enhances the remediation of tannery effluent. Water Sci. Technol. 2018, 77, 1262–1270. [Google Scholar] [CrossRef] [PubMed]
- Dustgeer, M.R.; Asma, S.T.; Jilani, A.; Raza, K.; Hussain, S.Z.; Shakoor, M.B.; Iqbal, J.; Abdel-wahab, M.S.; Darwesh, R. Synthesis and characterization of a novel single-phase sputtered Cu2O thin films: Structural, antibacterial activity and photocatalytic degradation of methylene blue. Inorg. Chem. Commun. 2021, 128, 108606. [Google Scholar] [CrossRef]
- Naeem, N.; Khalid, N.; Sarfraz, W.; Ejaz, U.; Yousaf, A.; Rizvi, Z.F.; Ikram, S. Assessment of Lead and Cadmium Pollution in Soil and Wild Plants at Different Functional Areas of Sialkot. Bull. Environ. Contam. Toxicol. 2021, 107, 336–342. [Google Scholar] [CrossRef]
- Jilani, A.; Hussain, S.Z.; Ansari, M.O.; Kumar, R.; Dustgeer, M.R.; Othman, M.H.D.; Barakat, M.A.; Melaibari, A.A. Facile synthesis of silver decorated reduced graphene oxide@ zinc oxide as ternary nanocomposite: An efficient photocatalyst for the enhanced degradation of organic dye under UV–visible light. J. Mater. Sci. 2021, 56, 7434–7450. [Google Scholar] [CrossRef]
- Khalid, N.; Rizvi, Z.F.; Yousaf, N.; Khan, S.M.; Ali, N.; Aqeel, M.; Latif, K.; Rafique, A. Rising Metals Concentration in the Environment: A Response to Effluents of Leather Industries in Sialkot. Bull. Environ. Contam. Toxicol. 2021, 106, 493–500. [Google Scholar] [CrossRef]
- Kamran, M.; Parveen, A.; Ahmar, S.; Malik, Z.; Hussain, S.; Chatta, M.S.; Saleem, M.H.; Adil, M.; Heidari, P.; Chen, J.T. An overview of hazardous impacts of soil salinity in crops, tolerance mechanisms and amelioration through selenium supplementation. Int. J. Mol. Sci. 2019, 21, 148. [Google Scholar] [CrossRef]
- Ullah, A.; Rahman, L.; Hussain, S.Z.; Abbas, W.; Tawab, A.; Jilani, A.; Bajwa, S.Z.; Khan, W.S.; Riaz, R.; Hussain, I.; et al. Mechanistic insight of dye degradation using TiO2 anchored α-MnO2 nanorods as promising sunlight driven photocatalyst. Mater. Sci. Eng. B 2021, 271, 115257. [Google Scholar] [CrossRef]
- Vareda, J.P.; Valente, A.J.; Duraes, L. Assessment of heavy metal pollution from anthropogenic activities and remediation strategies: A review. J. Environ. Manag. 2019, 246, 101–118. [Google Scholar] [CrossRef]
- Ayadi, I.; Souissi, Y.; Jlassi, I.; Peixoto, F.; Mnif, W. Chemical synonyms, molecular structure and toxicological risk assessment of synthetic textile dyes: A critical review. J. Dev. Drugs 2016, 5, 2. [Google Scholar] [CrossRef]
- Farid, M.; Muntaha, S.; Abubakar, M.; Farid, S.; Sarfraz, W.; Ali, S.; Asam, Z.U.Z.; Zubair, M.; Rizwan, M. Efficacy of Spinach (Spinacia oleracea) for the Phyto-Management of Different Heavy Metals Contaminated Sites Under Chelating Agent Amendments. A Review. In Managing Plant Production Under Changing Environment; Hasanuzzaman, M., Ahammed, G.J., Nahar, K., Eds.; Springer: Singapore, 2022; pp. 293–310. [Google Scholar] [CrossRef]
- Yousaf, A.; Khalid, N.; Aqeel, M.; Noman, A.; Naeem, N.; Sarfraz, W.; Ejaz, U.; Qaiser, Z.; Khalid, A. Nitrogen Dynamics in Wetland Systems and Its Impact on Biodiversity. Nitrogen 2021, 2, 196–217. [Google Scholar] [CrossRef]
- Khlifi, R.; Sternberg, S.P.; Claussen, K. Lead and nickel removal using Microspora and Lemna minor. Bioresour. Technol. 2010, 89, 41–48. [Google Scholar]
- Jilani, A.; Othman, M.H.D.; Ansari, M.O.; Oves, M.; Hussain, S.Z.; Khan, I.U.; Abdel-Wahab, M.S. Structural and optical characteristics, and bacterial decolonization studies on non-reactive RF sputtered Cu–ZnO@ graphene based nanoparticles thin films. J. Mater. Sci. 2019, 54, 6515–6529. [Google Scholar] [CrossRef]
- Farid, M.; Ali, S.; Zubair, M.; Saeed, R.; Rizwan, M.; Sallah-Ud-Din, R.; Azam, A.; Ashraf, R.; Ashraf, W. Glutamic acid assisted phyto-management of silver contaminated soils through sunflower; physiological and biochemical response. Environ. Sci. Pollut. Res. 2018, 25, 25390–25400. [Google Scholar] [CrossRef] [PubMed]
- Sivakumar, D. Role of low cost agro-based adsorbent to treat hospital wastewater. Pollut. Res. 2014, 33, 573–576. [Google Scholar]
- Afshan, S.; Ali, S.; Bharwana, S.A.; Rizwan, M.; Farid, M.; Abbas, F.; Ibrahim, M.; Mehmood, M.A.; Abbasi, G.H. Citric acid enhances the phytoextraction of chromium, plant growth, and photosynthesis by alleviating the oxidative damages in Brassica L. Environ. Sci. Pollut. 2015, 22, 11679–11689. [Google Scholar] [CrossRef]
- Muratova, A.; Lyubun, Y.; German, K.; Turkovskaya, O. Effect of cadmium stress and inoculation with a heavy-metal-resistant bacterium on the growth and enzyme activity of Sorghum bicolor. Environ. Sci. Pollut. Res. 2015, 22, 16098–16109. [Google Scholar] [CrossRef]
- Feng, J.; Jia, W.; Lv, S.; Bao, H.; Miao, F.; Zhang, X.; Wang, J.; Li, J.; Li, D.; Zhu, C.; et al. Comparative transcriptome combined with morpho-physiological analyses revealed key factors for differential cadmium accumulation in two contrasting sweet sorghum genotypes. Plant Biotechnol. J. 2018, 16, 558–571. [Google Scholar] [CrossRef]
- He, S.; Yang, X.; He, Z.; Baligar, V.C. Morphological and physiological responses of plants to cadmium toxicity: A review. Pedosphere 2017, 27, 421–438. [Google Scholar] [CrossRef]
- Meyer, C.L.; Juraniec, M.; Huguet, S.; Chaves-Rodriguez, E.; Salis, P.; Isaure, M.P.; Goormaghtigh, E.; Verbruggen, N. Intraspecific variability of cadmium tolerance and accumulation, and cadmium-induced cell wall modifications in the metal hyperaccumulator Arabidopsis halleri. J. Exp. Bot. 2015, 66, 3215–3227. [Google Scholar] [CrossRef]
- Li, G.; Peng, X.; Xuan, H.; Wei, L.; Yang, Y.; Guo, T.; Kang, G. Proteomic analysis of leaves and roots of common wheat (Triticum aestivum L.) under copper-stress conditions. J. Proteome Res. 2013, 12, 4846–4861. [Google Scholar] [CrossRef]
- Roy, S.K.; Cho, S.W.; Kwon, S.J.; Kamal, A.H.M.; Lee, D.G.; Sarker, K.; Lee, M.S.; Xin, Z.; Woo, S.H. Proteome characterization of copper stress responses in the roots of sorghum. Biometals 2017, 30, 765–785. [Google Scholar] [CrossRef] [PubMed]
- Pourrut, B.; Shahid, M.; Dumat, C.; Winterton, P.; Pinelli, E. Lead uptake, toxicity, and detoxification in plants. Rev. Environ. Contam. Toxicol. 2011, 213, 113–136. [Google Scholar] [PubMed]
- Krzeslowska, M.; Rabeda, I.; Basinska, A.; Lewandowski, M.; Mellerowicz, E.J.; Napieralska, A.; Samardakiewicz, S.; Wozny, A. Pectinous cell wall thickenings formation—A common defense strategy of plants to cope with Pb. Environ. Pollut. 2016, 214, 354–361. [Google Scholar] [CrossRef] [PubMed]
- Farid, M.; Farid, S.; Zubair, M.; Rizwan, M.; Ishaq, H.; Ali, S.; Ashraf, U.; Alhaithloul, H.; Gowayed, S.; Soliman, M. Efficacy of Zea mays L. for the management of marble effluent contaminated soil under Citric acid amendment; morpho-physiological and biochemical response. Chemosphere 2020, 240, 124930. [Google Scholar] [CrossRef] [PubMed]
- Ishaq, H.; Farid, M.; Zubair, M.; Alharby, H.; Asam, Z.U.Z.; Farid, S.; Bamagoos, A.; Alharbi, B.; Shakoor, M.; Ahmad, S.; et al. Efficacy of Lemna minor and Typha latifolia for the treatment of textile industry wastewater in a constructed wetland under citric acid amendment: A lab scale study. Chemosphere 2021, 283, 131107. [Google Scholar] [CrossRef]
- Abou-Elwafa, S.F. Identification of genes associated with drought tolerance in barley. Biol. Plant. 2018, 62, 299–306. [Google Scholar] [CrossRef]
- Abou-Elwafa, S.F.; Shehzad, T. Genetic identification and expression profiling of drought responsive genes in sorghum. Environ. Exp. Bot. 2018, 155, 12–20. [Google Scholar] [CrossRef]
- Zaheer, I.; Ali, S.; Saleem, M.H.; Imran, M.; Alnusairi, G.; Alharbi, B.; Riaz, M.; Abbas, Z.; Rizwan, M.; Soliman, M. Role of iron-lysine on morpho-physiological traits and combating chromium toxicity in rapeseed (Brassica napus L.) plants irrigated with different levels of tannery wastewater. Plant Physiol. Biochem. 2021, 155, 70–84. [Google Scholar] [CrossRef]
- Bashir, A.; Rizwan, M.; Ali, S.; Rehman, M.Z.; Ishaque, W.; Riaz, M.A.; Mabool, A. Effect of foliar-applied iron complexed with lysine on growth and cadmium (Cd) uptake in rice under Cd stress. Environ. Sci. Pollut. Res. 2018, 25, 20691–20699. [Google Scholar] [CrossRef]
- Noroozlo, Y.A.; Souri, M.K.; Delshed, M. Stimulation Effects of Foliar Applied Glycine and Glutamine Amino Acids on Lettuce Growth. Open Agric. 2019, 4, 164–172. [Google Scholar] [CrossRef]
- Guo, D.; Ali, A.; Ren, C.; Li, R.; Lahori, A.H.; Xiao, R.; Zhang, Z.; Zhang, Z. EDTA and organic acids assisted phytoextraction of Cd and Zn from a smelter contaminated soil by potherb mustard (Brassica juncea, Coss) and evaluation of its bioindicators. Ecotoxicol. Environ. Saf. 2019, 167, 396–403. [Google Scholar] [CrossRef] [PubMed]
- Barros-Galvao, T.; Oliveira, D.F.A.; Macedo, C.E.C.; Voigt, E.L. Modulation of reserve mobilization by sucrose, glutamine, and abscisic acid during seedling establishment in sunflower. J. Plant Growth Regul. 2017, 36, 11–21. [Google Scholar] [CrossRef]
- Hussain, A.; Ali, S.; Rizwan, M.; ur Rehman, M.Z.; Hameed, A.; Hafeez, F.; Wijaya, L. Role of zinc–lysine on growth and chromium uptake in rice plants under Cr stress. J. Plant Growth Regul. 2018, 37, 1413–1422. [Google Scholar] [CrossRef]
- Souri, M.K.; Hatamian, M. Aminochelates in plant nutrition: A review. J. Plant Nutr. 2019, 42, 67–78. [Google Scholar] [CrossRef]
- Sadak, M.; Abdoelhamid, M.T.; Schmidhalter, U. Effect of foliar application of amino acids on plant yield and some physiological parameters in bean plants irrigated with sea water. Acta Biol. Colomb. 2015, 20, 141–152. [Google Scholar]
- Souri, M.K.; Naiji, M.; Aslani, M. Effect of Fe-glycine aminochelate on pod quality and iron concentrations of bean (Phaseolus vulgaris L.) under lime soil conditions. Commun. Soil Sci. Plant Anal. 2018, 49, 215–224. [Google Scholar] [CrossRef]
- Rizwan, M.; Ali, S.; Qayyum, M.F.; Ok, Y.S.; Adress, M.; Ibrahim, M.; Zia-ur-Reham, M.; Farid, M.; Abbas, F. Effect of metal and metal oxide nanoparticles on growth and physiology of globally important food crops: A critical review. J. Hazard. Mater. 2017, 322, 2–16. [Google Scholar] [CrossRef]
- Jilani, A.; Ansari, M.O.; Rehman, G.U.; Shakoor, M.B.; Hussain, S.Z.; Othman, M.H.D.; Ahmad, S.R.; Dustgeer, M.R.; Alshahrie, A. Phenol removal and hydrogen production from water: Silver nanoparticles decorated on polyaniline wrapped zinc oxide nanorods. J. Ind. Eng. Chem. 2022, 109, 347–358. [Google Scholar] [CrossRef]
- Abu-Elsaoud, A.M.; Qari, S.H. Influence of Microwave Irradiations on Germination, Seedling Growth and Electrolyte Leakage of Barley (Hordeum vulgare L.). Int. J. Environ. Sci. 2017, 16, 11–24. [Google Scholar] [CrossRef]
- Abbey, L.; Udenigwe, C.; Mohan, A.; Anom, E. Microwave irradiation effects on vermicasts potency, and plant growth and antioxidant activity in seedlings of Chinese cabbage (Brassica rapa subsp. pekinensis). J. Radiat. Res. Appl. Sci. 2017, 10, 110–116. [Google Scholar] [CrossRef]
- Kutrowska, A.; Małecka, A.; Piechalak, A.; Masiakowski, W.; Hanć, A.; Barałkiewicz, D.; Andrzejewska, B.; Zbierska, J.; Tomaszewska, B. Effects of binary metal combinations on zinc, copper, cadmium and lead uptake and distribution in Brassica juncea. J. Trace Elem. Med. Biol. 2017, 44, 32–39. [Google Scholar] [CrossRef] [PubMed]
- Guo, S.; Zhou, Y.; Shen, Q.; Zhang, F. Effect of ammonium and nitrate nutrition on some physiological processes in higher plants-growth, photosynthesis, photorespiration, and water relations. Plant Biol. 2007, 9, 21–29. [Google Scholar] [CrossRef] [PubMed]
- Dalyan, E.; Yüzbaşıoğlu, E.; Akpınar, I. Physiological and Biochemical Changes in Plant Growth and Different Plant Enzymes in Response to Lead Stress. In Lead in Plants and the Environment; Springer: Cham, Switzerland, 2020; pp. 129–147. [Google Scholar]
- Jaiswal, A.; Verma, A.; Jaiswal, P. Detrimental effects of heavy metals in soil, plants, and aquatic ecosystems and in humans. J. Environ. Pathol. Toxicol. Oncol. 2018, 37, 183–197. [Google Scholar] [CrossRef] [PubMed]
- Hassan, M.J.; Raza, M.A.; Ur Rehman, S.; Ansar, M.; Gitari, H.; Khan, I.; Wajid, M.; Ahmed, M.; Shah, G.A.; Peng, Y.; et al. Effect of Cadmium Toxicity on Growth, Oxidative Damage, Antioxidant Defense System and Cadmium Accumulation in Two Sorghum Cultivars. Plants 2020, 9, 1575. [Google Scholar] [CrossRef]
- Xu, Z.; Ma, J.; Lei, P.; Wang, Q.; Feng, X.; Xu, H. Poly-γ-glutamic acid induces system tolerance to drought stress by promoting abscisic acid accumulation in Brassica napus L. Sci. Rep. 2020, 10, 252. [Google Scholar] [CrossRef]
- Manickavasagan, A.; Jayas, D.S.; White, N.D.G. Germination of wheat grains from uneven microwave heating in an industrial microwave dryer. Can. Biosyst. Eng. 2007, 49, 3. [Google Scholar]
- Hodzic, Z.; Pasalic, H.; Memisevic, A.; Scrabovic, M.; Saletovic, M.; Poljakovic, M. The influence of total phenols content on antioxidant capacity in the whole grain extracts. Eur. J. Sci. Res. 2009, 28, 471–477. [Google Scholar]
- Zhang, H.; Xu, Z.; Guo, K.; Huo, Y.; He, G.; Sun, H.; Sun, G. Toxic effects of heavy metal Cd and Zn on chlorophyll, carotenoid metabolism and photosynthetic function in tobacco leaves revealed by physiological and proteomics analysis. Ecotoxicol. Environ. Saf. 2020, 202, 110856. [Google Scholar] [CrossRef]
- Parvin, K.; Hasanuzzaman, M.; Bhuyan, M.H.M.; Mohsin, S.M.; Fujita, M. Quercetin mediated salt tolerance in tomato through the enhancement of plant antioxidant defense and glyoxalase systems. Plants 2019, 8, 247. [Google Scholar] [CrossRef]
- Khan, A.S.; Ahmad, B.; Jaskan, M.J.; Ahmad, R.; Malik, A.U. Foliar application of mixture of amino acids and seaweed (Ascophylum nodosum) extract improve growth and physicochemical properties of grapes. Int. J. Agric. Biol. 2012, 14, 383–388. [Google Scholar]
- Aladjadjiyan, A. Influence of microwave irradiation on some vitality indices and electroconductivity of ornamental perennial crops. J. Cent. Eur. Agric. 2002, 3, 4. [Google Scholar]
- Jakubowski, T. The impact of microwave radiation at different frequencies on weight of seed potato germs and crop of potato tubers. Inżynieria Rol. 2010, 14, 57–64. [Google Scholar]
- Basanth, N.; Mahesh, G. Bioefficacy of Nova Nutri Boost for yield and yield components in paddy (Oryza sativa L.). Int. J. Curr. Microbiol. Appl. Sci. 2018, 7, 2250–2253. [Google Scholar] [CrossRef]
- Souri, M.K.; Yaghoubi Sooraki, F.; Moghadamyar, M. Growth and quality of cucumber, tomato, and green bean plants under foliar and soil applications of an aminochelate fertilizer. Hortic. Environ. Biotechnol. 2017, 58, 530–536. [Google Scholar] [CrossRef]
- Ehsan, S.; Ali, S.; Noureen, S.; Mahmood, K.; Farid, M.; Ishaque, W.; Rizwan, M. Citric acid assisted phytoremediation of cadmium by Brassica napus L. Ecotoxicol. Environ. Saf. 2014, 106, 164–172. [Google Scholar] [CrossRef]
- Rizwan, M.; Ali, S.; Abbas, F.; Adrees, M.; Zia-ur-Rehman, M.; Farid, M.; Ali, B. Role of organic and inorganic amendments in alleviating heavy metal stress in oil seed crops. Oil Seed Crops Yield Adapt. Environ. Stress 2017, 12, 224–235. [Google Scholar]
- Farid, M.; Ali, S.; Rizwan, M.; Ali, Q.; Saeed, R.; Nasir, T.; Ahmad, T. Phyto-management of chromium contaminated soils through sunflower under exogenously applied 5-aminolevulinic acid. Ecotoxicol. Environ. Saf. 2018, 151, 255–265. [Google Scholar] [CrossRef]
- Etesami, H. Bacterial mediated alleviation of heavy metal stress and decreased accumulation of metals in plant tissues: Mechanisms and future prospects. Ecotoxicol. Environ. Saf. 2018, 147, 175–191. [Google Scholar] [CrossRef]
- Jaison, S.; Muthukumar, T. Chromium accumulation in medicinal plants growing naturally on tannery contaminated and non-contaminated soils. Biol. Trace Elem. Res. 2017, 175, 223–235. [Google Scholar] [CrossRef]
- Dordas, C.A.; Sioulas, C. Safflower yield, chlorophyll content, photosynthesis, and water use efficiency response to nitrogen fertilization under rainfed conditions. Ind. Crops Prod. 2008, 27, 75–85. [Google Scholar] [CrossRef]
- Mohammadipour, N.; Souri, M.K. Beneficial effects of glycine on growth and leaf nutrient concentrations of coriander (Coriandrum sativum) plants. J. Plant Nutr. 2019, 42, 1637–1644. [Google Scholar] [CrossRef]
- Farid, M.; Ali, S.; Rizwan, M.; Yasmeen, T.; Arif, M.S.; Riaz, M.; Saqib, M.; Zia urRehman, M.; Ayub, M.A. Combined effects of citric acid and 5-aminolevulinic acid in mitigating chromium toxicity in sunflower (Helianthus annuus L.) grown in Cr spiked soil. Pak. J. Agric. Sci. 2020, 57, 1–11. [Google Scholar]
- Khair, K.U.; Farid, M.; Ashraf, U.; Zubair, M.; Rizwan, M.; Farid, S.; Ali, S. Citric acid enhanced phytoextraction of nickel (Ni) and alleviate Mentha piperita (L.) from Ni-induced physiological and biochemical damages. Environ. Sci. Pollut. Res. 2020, 27, 27010–27022. [Google Scholar] [CrossRef] [PubMed]
- Singh, A.; Lawrence, K.; Pandit, S.; Lawrence, R.S. Oxidative stress in leaves, stems and roots of Withania somnifera on copper exposure. Int. J. Pharm. Sci. Rev. Res. 2015, 30, 239–246. [Google Scholar]
- Souri, M.K. Amino chelate fertilizers: The new approach to the old problem; a review. Open Agric. 2016, 1, 118–123. [Google Scholar] [CrossRef]
- Sadak, M.; Abdelhamid, M. Influence of Amino Acids Mixture Application on Some Biochemical Aspects, Antioxidant Enzymes and Endogenous Polyamines of Vicia faba Plant Grown under Seawater Salinity Stress. Gesunde Pflanz. 2015, 67, 119–129. [Google Scholar] [CrossRef]
- Khalid, N.; Hussain, M.; Young, H.S.; Boyce, B.; Aqeel, M.; Noman, A. Effects of road proximity on heavy metal concentrations in soils and common roadside plants in Southern California. Environ. Sci. Pollut. Res. 2018, 25, 35257–35265. [Google Scholar] [CrossRef]
- Sun, Z.; Liu, Y.; Huang, Y.; Zeng, G.; Wang, Y.; Hu, X.; Zhou, L. Effects of indole-3-acetic, kinetin and spermidine assisted with EDDS on metal accumulation and tolerance mechanisms in ramie (Boehmeria nivea (L.) Gaud.). Ecol. Eng. 2014, 71, 108–112. [Google Scholar] [CrossRef]
- Rai, V.K. Role of amino acids in plant responses to stresses. Biol. Plant. 2002, 45, 481–487. [Google Scholar] [CrossRef]
- Marschner, P. Marschner’s Mineral Nutrition of Higher Plants, 3rd ed.; Elsevier: London, UK, 2011; p. 672. [Google Scholar]
- Stroppa, P.H.F.; Martins, J.S.; Dias, R.C.; Salla, C.A.; Bechtold, I.H.; Legnani, C.; da Silva, A.D. High efficient Light-Emitting Electrochemical Cells based on ionic liquids 1, 2, 3-triazolium. Org. Electron. 2019, 73, 172–181. [Google Scholar] [CrossRef]
- Duman, F.; Urey, E.; Koca, F.D. Temporal variation of heavy metal accumulation and translocation characteristics of narrow-leaved cattail (Typha angustifolia L.). Environ. Sci. Pollut. Res. 2015, 22, 17886–17896. [Google Scholar] [CrossRef] [PubMed]
- Klink, A. A comparison of trace metal bioaccumulation and distribution in Typha latifolia and Phragmites australis: Implication for phytoremediation. Environ. Sci. Pollut. Res. 2017, 24, 3843–3852. [Google Scholar] [CrossRef] [PubMed]
- Demidchik, V.; Straltsova, D.; Medvedev, S.S.; Pozhvanov, G.A.; Sokolik, A.; Yurin, V. Stress-induced electrolyte leakage: The role of K+ permeable channels and involvement in programmed cell death and metabolic adjustment. J. Exp. Bot. 2014, 65, 1259–1270. [Google Scholar] [CrossRef] [PubMed]
- Glick, B.R. Using soil bacteria to facilitate phytoremediation. Biotechnol. Adv. 2010, 28, 367–374. [Google Scholar] [CrossRef] [PubMed]
- Noman, A.; Ali, S.; Naheed, F.; Ali, Q.; Farid, M.; Rizwan, M.; Irshad, M.K. Foliar application of ascorbate enhances the physiological and biochemical attributes of maize (Zea mays L.) cultivars under drought stress. Arch. Agron. Soil Sci. 2015, 61, 1659–1672. [Google Scholar] [CrossRef]
- Das, K.; Roychoudhury, A. Reactive oxygen species (ROS) and response of antioxidants as ROS-scavengers during environmental stress in plants. Front. Environ. Sci. 2014, 2, 53. [Google Scholar] [CrossRef]
- Ali, S.; Bharwana, S.A.; Rizwan, M.; Farid, M.; Kanwal, S.; Ali, Q.; Khan, M.D. Fulvic acid mediates chromium (Cr) tolerance in wheat (Triticum aestivum L.) through lowering of Cr uptake and improved antioxidant defense system. Environ. Sci. Pollut. Res. 2015, 22, 10601–10609. [Google Scholar] [CrossRef]
- Rizwan, M.; Ali, S.; Hussain, A.; Ali, Q.; Shakoor, M.B.; Zia-ur-Rehman, M.; Farid, M.; Asma, M. Effect of zinc-lysine on growth, yield and cadmium uptake in wheat (Triticum aestivum L.) and health risk assessment. Chemosphere 2017, 187, 35–42. [Google Scholar] [CrossRef]
- Sytar, O.; Kumari, P.; Yadav, S.; Brestic, M.; Rastogi, A. Phytohormone priming: Regulator for heavy metal stress in plants. J. Plant Growth Regul. 2019, 38, 739–752. [Google Scholar] [CrossRef]
- Ullah, A.; Heng, S.; Munis, M.F.H.; Fahad, S.; Yang, X. Phytoremediation of heavy metals assisted by plant growth promoting (PGP) bacteria: A review. Environ. Exp. Bot. 2015, 117, 28–40. [Google Scholar] [CrossRef]
- Sarwar, N.; Imran, M.; Shaheen, M.R.; Ishaque, W.; Kamran, M.A.; Matloob, A.; Rehim, A.; Hussain, S. Phytoremediation strategies for soils contaminated with heavy metals: Modifications and future perspectives. Chemosphere 2017, 171, 710–721. [Google Scholar] [CrossRef]
- Zeng, P.; Guo, Z.; Xiao, X.; Peng, C.; Huang, B.; Feng, W. Complementarity of co-planting a hyperaccumulator with three metal (loid)-tolerant species for metal (loid)-contaminated soil remediation. Ecotoxicol. Environ. Saf. 2019, 169, 306–315. [Google Scholar] [CrossRef] [PubMed]
- Metzner, H.; Rau, H.; Senger, H. Untersuchungen zur synchronisierbarkeit einzelner pigmentmangel-mutanten von Chlorella. Planta 1965, 65, 186–194. [Google Scholar] [CrossRef]
- Nakano, Y.; Asada, K. Hydrogen peroxide is scavenged by ascorbate-specific peroxidase in spinach chloroplasts. Plant Cell Physiol. 1981, 22, 867–880. [Google Scholar]
- Aebi, H. Catalase in vitro methods. Enzymol 1984, 105, 121–126. [Google Scholar]
- Zhang, X.Z. (Ed.) The Measurement and Mechanism of Lipid Peroxidation and SOD POD and CAT Activities in Biological System. In Research Methodology of Crop Physiology; Beijing Agric Press: Beijing, China, 1992; pp. 208–211. [Google Scholar]
- Bradford, M.M. A rapid and sensitive method for the quantitation of microgram quantities of protein utilizing the principle of protein-dye binding. Anal. Biochem. 1976, 72, 248–254. [Google Scholar] [CrossRef]
- Dionisio-Sese, M.L.; Tobita, S. Antioxidant responses of rice seedlings to salinity stress. Plant Sci. 1998, 135, 1–9. [Google Scholar] [CrossRef]
- Heath, R.L.; Packer, L. Photoperoxidation in isolated chloroplasts: I. Kinetics and stoichiometry of fatty acid peroxidation. Arch. Biochem. Biophys. 1968, 125, 189–198. [Google Scholar] [CrossRef]
- Dhindsa, R.S.; Plumb-Dhindsa, P.; Thorpe, T.A. Leaf senescence: Correlated with increased levels of membrane permeability and lipid peroxidation, and decreased levels of superoxide dismutase and catalase. J. Exp. Bot. 1981, 32, 93–101. [Google Scholar] [CrossRef]
- Zhang, J.; Kirkham, M.B. Antioxidant responses to drought in sunflower and sorghum seedlings. New Phytol. 1996, 132, 361–373. [Google Scholar] [CrossRef]
- Farid, M.; Ali, S.; Rizwan, M.; Saeed, R.; Tauqeer, H.M.; Sallah-Ud-Din, R.; Azam, A.; Raza, N. Microwave irradiation and citric acid assisted seed germination and phytoextraction of nickel (Ni) by Brassica napus L.: Morpho-physiological and biochemical alterations under Ni stress. Environ. Sci. Pollut. Res. 2017, 24, 21050–21064. [Google Scholar] [CrossRef] [PubMed]
Publisher’s Note: MDPI stays neutral with regard to jurisdictional claims in published maps and institutional affiliations. |
© 2022 by the authors. Licensee MDPI, Basel, Switzerland. This article is an open access article distributed under the terms and conditions of the Creative Commons Attribution (CC BY) license (https://creativecommons.org/licenses/by/4.0/).




