Optimization of Ultrasound-Assisted Extraction of Polyphenols from Ilex latifolia Using Response Surface Methodology and Evaluation of Their Antioxidant Activity
Abstract
:1. Introduction
2. Results
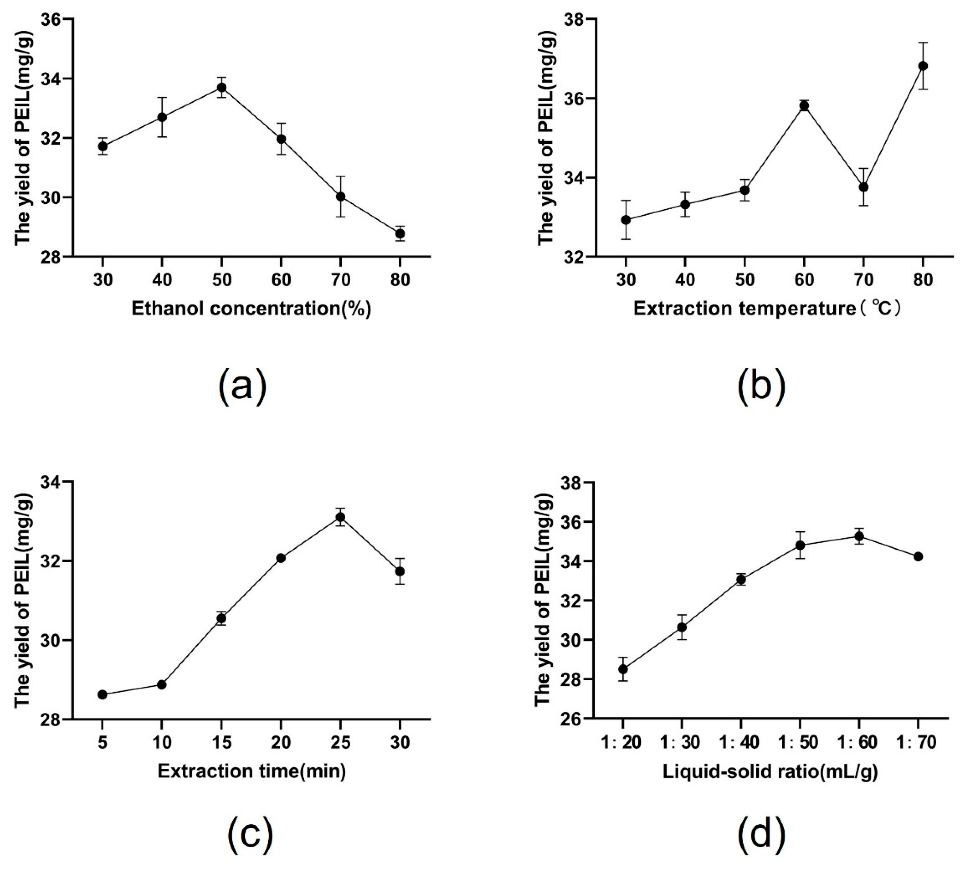
2.1. Single-Factor Experimental Analysis
2.2. Model Fitting
2.3. Analysis of Response Surface
2.4. PEIL Antioxidant Activity
2.4.1. In Vitro Assessment of Antioxidant Activity
DPPH Radical Scavenging Activity
ABTS Radical Scavenging Activity
Hydroxyl Radical Scavenging Activity
2.4.2. Antioxidant Activity In Vivo
PEIL Effects on Serum SOD and GSH-Px Activities and MDA Content, in Mice
Effects of PEIL on Liver SOD and GSH-Px Activities and MDA Content, in Mice
3. Discussion
4. Materials and Methods
4.1. Materials
4.2. PEIL Extraction
4.3. Determination of Polyphenol Content
4.4. Response Surface Methodology
4.4.1. Variables Selection
4.4.2. BBD for Extraction Optimization
4.5. Antioxidant Activity In Vitro
4.5.1. DPPH Radical Scavenging Activity
4.5.2. ABTS Radical Scavenging Activity
4.5.3. Hydroxyl Radical Scavenging Assay
4.6. In Vivo Evaluation of the Antioxidant Activity
4.6.1. Animals
4.6.2. Experimental Design
4.6.3. Biochemical Assay
4.7. Statistical Analysis
5. Conclusions
Author Contributions
Funding
Institutional Review Board Statement
Informed Consent Statement
Data Availability Statement
Conflicts of Interest
References
- Sies, H. Oxidative stress: A concept in redox biology and medicine. Redox Biol. 2015, 4, 180–183. [Google Scholar] [CrossRef] [PubMed] [Green Version]
- Finkel, T.; Holbrook, N.J. Oxidants, oxidative stress and the biology of ageing. Nature 2000, 408, 239–247. [Google Scholar] [CrossRef] [PubMed]
- Valko, M.; Leibfritz, D.; Moncol, J.; Cronin, M.T.; Mazur, M.; Telser, J. Free radicals and antioxidants in normal physiological functions and human disease. Int. J. Biochem. Cell Biol. 2007, 39, 44–84. [Google Scholar] [CrossRef] [PubMed]
- Hegazy, A.M.; El-Sayed, E.M.; Ibrahim, K.S.; Abdel-Azeem, A.S. Dietary antioxidant for disease prevention corroborated by the Nrf2 pathway. J. Complement. Integr. Med. 2019, 16, 1–11. [Google Scholar] [CrossRef] [PubMed]
- Hęś, M.; Dziedzic, K.; Górecka, D.; Jędrusek-Golińska, A.; Gujska, E. Aloe vera (L.) Webb.: Natural Sources of Antioxidants—A Review. Plant Foods Hum. Nutr. 2019, 74, 255–265. [Google Scholar] [CrossRef] [PubMed] [Green Version]
- Sroka, Z.; Gamian, A.; Cisowski, W. Low-molecular antioxidant compounds of natural origin. Postepy Hig. Med. Dosw. 2005, 59, 34–41. [Google Scholar]
- Wang, C.Q.; Chen, Y.; Wang, L.; Cui, Q.Y.; Duan, M.Y.; Chen, G.J. Determination of 10 polyphenol components by HPLC and antioxidant activity in the leaves of Ilex latifolia. Nat. Prod. Res. Dev. 2019, 31, 557–565. [Google Scholar]
- Fraga, C.G. Plant polyphenols: How to translate their in vitro antioxidant actions to in vivo conditions. IUBMB Life 2007, 59, 308–315. [Google Scholar] [CrossRef]
- Wang, C.Q.; Zhang, Y.H. Research Progress on chemical constituents and pharmacological activities of Ilex latifolia. China Pharm. 2014, 25, 1052–1054. [Google Scholar]
- Jiangsu College of New Medicine. Dictionary of Traditional Chinese and Herbal Medicine: Volume 1; Shanghai Science and Technology Press: Shanghai, China, 1977; p. 1288. [Google Scholar]
- Wang, C.Q.; Li, M.M.; Zhang, W.; Wang, L.; Fan, C.L.; Feng, R.B.; Zhang, X.Q.; Ye, W.C. Four new triterpenes and triterpene glycosides from the leaves of Ilex latifolia, and their inhibitory activity on triglyceride accumulation. Fitoterapia 2015, 106, 141–146. [Google Scholar] [CrossRef]
- Hu, T.; He, X.W.; Jiang, J.G.; Xu, X.L. Efficacy evaluation of a Chinese bitter tea (Ilex latifolia Thunb.) via analyses of its main components. Food Funct. 2014, 5, 876–881. [Google Scholar] [CrossRef] [PubMed]
- Santana-Gálvez, J.; Cisneros-Zevallos, L.; Jacobo-Velázquez, D.A. Chlorogenic Acid: Recent Advances on Its Dual Role as a Food Additive and a Nutraceutical against Metabolic Syndrome. Molecules 2017, 22, 358. [Google Scholar] [CrossRef] [PubMed] [Green Version]
- Ru, W.; Pang, Y.; Gan, Y.; Liu, Q.; Bao, J. Phenolic Compounds and Antioxidant Activities of Potato Cultivars with White, Yellow, Red and Purple Flesh. Antioxidants 2019, 8, 419. [Google Scholar] [CrossRef] [PubMed] [Green Version]
- Liu, H.; Zhu, S.; Liu, Q.; Zhang, Y. Spectrum-effect relationship study between HPLC fingerprints and antioxidant of honeysuckle extract. Biomed. Chromatogr. 2019, 33, e4583. [Google Scholar] [CrossRef]
- Enogieru, A.B.; Haylett, W.; Hiss, D.C.; Bardien, S.; Ekpo, O.E. Rutin as a Potent Antioxidant: Implications for Neurodegenerative Disorders. Oxid. Med. Cell. Longev. 2018, 2018, 6241017. [Google Scholar] [CrossRef]
- Zhao, X.L.; Yu, L.; Zhang, S.D.; Ping, K.; Ni, H.Y.; Qin, X.Y.; Zhao, C.J.; Wang, W.; Efferth, T.; Fu, Y.J. Cryptochlorogenic acid attenuates LPS-induced inflammatory response and oxidative stress via upregulation of the Nrf2/HO-1 signaling pathway in RAW 264.7 macrophages. Int. Immunopharmacol. 2020, 83, 106436. [Google Scholar] [CrossRef]
- Raza, A.; Li, F.; Xu, X.; Tang, J. Optimization of ultrasonic-assisted extraction of antioxidant polysaccharides from the stem of Trapa quadrispinosa using response surface methodology. Int. J. Biol. Macromol. 2017, 94, 335–344. [Google Scholar] [CrossRef]
- Miao, J.; Shi, W.; Zhang, J.; Zhang, X.; Zhang, H.; Wang, Z.; Qiu, J. Response surface methodology for the fermentation of polysaccharides from Auricularia auricula using Trichoderma viride and their antioxidant activities. Int. J. Biol. Macromol. 2020, 155, 393–402. [Google Scholar] [CrossRef]
- Pei, F.; Tao, H.L.; Cai, L.J.; Wei, C.C.; Yuan, Y.M.; Yang, W.J.; Hu, Q.H. Optimization of Polyphenols from Moringa oleifera Lam. Leaves by Ultrasound-assisted Extraction Using Response Surface Methodology and Their Antioxidant Activities. Food Sci. 2016, 37, 24–30. [Google Scholar]
- Fan, Z.; Li, L.; Bai, X.; Zhang, H.; Liu, Q.; Zhang, H.; Fu, Y.; Moyo, R. Extraction optimization, antioxidant activity, and tyrosinase inhibitory capacity of polyphenols from Lonicera japonica. Food Sci. Nutr. 2019, 7, 1786–1794. [Google Scholar] [CrossRef] [Green Version]
- Ma, J.S.; Wei, S.Z.; Wang, X.Z.; Chen, Y.Y.; Liu, H. Extraction and Antioxidation of Polyphenols from Pouteria campechiana. Food Res. Dev. 2021, 42, 137–144. [Google Scholar]
- Zhu, S. Optimization of Extraction of Polyphenol from Panax quinquefolius L. Using Central Composite Design/Response Surface Methodology. Starch-Stärke 2021, 73, 7–8. [Google Scholar] [CrossRef]
- Zheng, X.N.; Mu, J.L.; Chen, Y.H.; Hao, Y.B. Study on ultrasonic assisted separation extraction of polyphenols from walnut kernel pellicleseed coat. Cereals Oils 2021, 34, 64–68. [Google Scholar]
- Xiao, C.L.; Ren, Y.; Ding, H.L. Study on Extraction of Polyphenols from Black Soybeans and Antioxidant Activity. Appl. Mech. Mater. 2014, 675–677, 1629–1633. [Google Scholar] [CrossRef]
- Szydłowska-Czerniak, A.; Dianoczki, C.; Recseg, K.; Karlovits, G.; Szłyk, E. Determination of antioxidant capacities of vegetable oils by ferric-ion spectrophotometric methods. Talanta 2008, 76, 899–905. [Google Scholar] [CrossRef]
- Kadam, S.U.; Tiwari, B.K.; Smyth, T.J.; O’Donnell, C.P. Optimization of ultrasound assisted extraction of bioactive components from brown seaweed Ascophyllum nodosum using response surface methodology. Ultrason Sonochem. 2015, 23, 308–316. [Google Scholar] [CrossRef]
- Li, B.; Lei, Y.; Meng, X.J.; Jiao, X.Y.; Gao, N.X.; Zhao, Y.; Zhang, J.C. Optimization of Ultrasonic-Assisted Extraction of Polyphenols from Haskap berries (Lonicera caerulea L.) Using Response Surface Methodology and Their Antioxidant Capacity. Food Sci. 2015, 36, 33–39. [Google Scholar]
- Huang, Y.Y. The Separation, Isolation and Identification of Polyphenol Structures in Korean pine (Pinus koraiensis) Bark and Evaluation of Its Antioxidant and Anticancer Activity. Doctoral Thesis, Northeast Forestry University, Harbin, China, 2014. [Google Scholar]
- Baeza, G.; Sarriá, B.; Bravo, L.; Mateos, R. Polyphenol content, in vitro bioaccessibility and antioxidant capacity of widely consumed beverages. J. Sci. Food Agric. 2018, 98, 1397–1406. [Google Scholar] [CrossRef] [Green Version]
- Cheng, F.C.; Jen, J.F.; Tsai, T.H. Hydroxyl radical in living systems and its separation methods. J. Chromatogr. B Anal. Technol. Biomed. Life Sci. 2002, 781, 481–496. [Google Scholar] [CrossRef]
- Kozakiewicz, M.; Kornatowski, M.; Krzywińska, O.; Kędziora-Kornatowska, K. Changes in the blood antioxidant defense of advanced age people. Clin. Interv. Aging 2019, 14, 763–771. [Google Scholar] [CrossRef] [Green Version]
- Toto, A.; Wild, P.; Graille, M.; Turcu, V.; Crézé, C.; Hemmendinger, M.; Sauvain, J.J.; Bergamaschi, E.; Guseva Canu, I.; Hopf, N.B. Urinary Malondialdehyde (MDA) Concentrations in the General Population—A Systematic Literature Review and Meta-Analysis. Toxics 2022, 10, 160. [Google Scholar] [CrossRef] [PubMed]
- Yin, M.Y.; Liu, S.X.; Zhang, T.J.; Chen, C.Q. Overview of extracting technique of compound Chinese materia medica. Chin. Tradit. Herb. Drugs 2015, 46, 3279–3283. [Google Scholar]
- Sillero, L.; Prado, R.; Labidi, J. Simultaneous Microwave-Ultrasound Assisted Extraction of Bioactive Compounds from Bark. Chem. Eng. Processing 2020, 156, 108100. [Google Scholar] [CrossRef]
- Yu, M.; Wang, B.; Qi, Z.; Xin, G.; Li, W. Response surface method was used to optimize the ultrasonic assisted extraction of flavonoids from Crinum. Asiat. Saudi J. Biol. Sci. 2019, 26, 2079–2084. [Google Scholar] [CrossRef]
- Yu, J.; Liu, J.S.; Wang, G.; Wang, Z.; Cai, B.X.; Wang, G.K. Optimization of extraction process of Malan polysaccharide by Response Surface Methodology. Chin. Tradit. Pat. Med. 2015, 37, 222–225. [Google Scholar]
- Tamminga, G.G.; Paulitsch-Fuchs, A.H.; Jansen, G.J.; Euverink, G.W. Development and validation of an alternative parameter for quantification of signals emitted by fluorescently labelled bacteria in microscopic images. J. Microbiol. Methods 2019, 166, 105717. [Google Scholar] [CrossRef]
- Guan, K.K.; Wang, L.; Li, C.C.; Chen, C.X. Optimization of extraction process for total flavonoids and total phenolic acids from Spenceria ramalana and their anti-oxidant, anti-bacterial activities. Chin. Tradit. Pat. Med. 2022, 44, 6–12. [Google Scholar]
- Neha, K.; Haider, M.R.; Pathak, A.; Yar, M.S. Medicinal prospects of antioxidants: A review. Eur. J. Med. Chem. 2019, 178, 687–704. [Google Scholar] [CrossRef]
- Grabovskiy, S.A.; Grabovskaya, Y.S.; Antipin, A.V.; Kabal’nova, N.N. 6-Amino-5-hydroxy-2,3-dimethylpyrimidin-4(3H)-one as an efficient inhibitor of free radical oxidation. Mendeleev. Commun. 2019, 29, 414–416. [Google Scholar] [CrossRef]
- Malik, V.S.; Willett, W.C.; Hu, F.B. Global obesity: Trends, risk factors and policy implications. Nat. Rev. Endocrinol. 2013, 9, 13–27. [Google Scholar] [CrossRef]
- Codoñer-Franch, P.; Valls-Bellés, V.; Arilla-Codoñer, A.; Alonso-Iglesias, E. Oxidant mechanisms in childhood obesity: The link between inflammation and oxidative stress. Transl. Res. 2011, 158, 369–384. [Google Scholar] [CrossRef]
- Cai, C.; Ma, J.; Han, C.; Jin, Y.; Zhao, G.; He, X. Extraction and antioxidant activity of total triterpenoids in the mycelium of a medicinal fungus, Sanghuangporus sanghuang. Sci. Rep. 2019, 9, 7418. [Google Scholar] [CrossRef] [PubMed]
- He, A.N.; She, C.W.; Zeng, J.Y.; Peng, S.X. Comparison study on in vitro and in vivo antioxidant activities of Inula nervosa Wall. extracts from different parts. Chin. Pharmacol. Bull. 2016, 32, 79–83. [Google Scholar]
- Wu, F.; Liu, R.; Shen, X.; Xu, H.; Sheng, L. Study on the interaction and antioxidant activity of theophylline and theobromine with SOD by spectra and calculation. Spectrochim. Acta A Mol. Biomol. Spectrosc. 2019, 215, 354–362. [Google Scholar] [CrossRef] [PubMed]
- Yu, X.C.; Li, Z.; Liu, X.R.; Hu, J.N.; Liu, R.; Zhu, N.; Li, Y. The Antioxidant Effects of Whey Protein Peptide on Learning and Memory Improvement in Aging Mice Models. Nutrients 2021, 13, 2100. [Google Scholar] [CrossRef]
- An, F.; Yang, G.; Tian, J.; Wang, S. Antioxidant effects of the orientin and vitexin in Trollius chinensis Bunge in D-galactose-aged mice. Neural Regen. Res. 2012, 7, 2565–2575. [Google Scholar]
- Xie, J.H.; Liu, H.M.; Liu, M.H.; Zheng, M.Z.; Xu, Q.; Liu, J.S. Optimization of extraction process of polyphenols from red bean peel and analysis of antioxidant activity. J. Chin. Inst. Food Sci. Technol. 2020, 20, 147–157. [Google Scholar]
- Xu, B.G.; Feng, M.; Tiliwa, E.S.; Yan, W.Q.; Wei, B.X.; Zhou, C.S.; Ma, H.L.; Wang, B.; Chang, L. Multi-frequency power ultrasound green extraction of polyphenols from Pingyin rose: Optimization using the response surface methodology and exploration of the underlying mechanism. LWT 2022, 156, 113037. [Google Scholar] [CrossRef]
- Jovanović, M.; Mudrić, J.; Drinić, Z.; Matejić, J.; Kitić, D.; Bigović, D.; Šavikin, K. Optimization of ultrasound-assisted extraction of bitter compounds and polyphenols from willow gentian underground parts. Sep. Purif. Technol. 2022, 281, 119868. [Google Scholar] [CrossRef]
- Fang, X.; Gu, S.; Jin, Z.; Hao, M.; Yin, Z.; Wang, J. Optimization of Ultrasonic-Assisted Simultaneous Extraction of Three Active Compounds from the Fruits of Forsythia suspensa and Comparison with Conventional Extraction Methods. Molecules 2018, 23, 2115. [Google Scholar] [CrossRef] [Green Version]
- Bilgin, M.; Elhussein, E.A.A.; Özyürek, M.; Güçlü, K.; Şahin, S. Optimizing the extraction of polyphenols from Sideritis montana L. using response surface methodology. J. Pharm. Biomed. Anal. 2018, 158, 137–143. [Google Scholar] [CrossRef] [PubMed]
- Wu, Y.M.; Xu, L.Q.; Liu, X.Y.; Faridul Hasan, K.M.; Li, H.X.; Zhou, S.Q.; Zhang, Q.H.; Zhou, Y. Effect of thermosonication treatment on blueberry juice quality: Total phenolics, flavonoids, anthocyanin, and antioxidant activity. LWT 2021, 150, 112021. [Google Scholar] [CrossRef]
- Cui, T.; Li, X.Y.; Wang, R.F.; An, X.N.; Cui, C.; Gao, Z. Determination of Methanol Content in Hawthorn Wine and Its DPPH & ABTS Free Radicals Scavenging Activities. Liquor-Mak. Sci. Technol. 2015, 7, 17–20. [Google Scholar]
- Li, Q.Y.; Zhu, Q.F.; Liu, C.L.; Wei, X.; Zhu, R.R. Isolation and purification of Codonopsis pilosula polysaccharide and its anti-oxidant activity. Chin. Tradit. Herb. Drugs 2017, 48, 907–912. [Google Scholar]




| Source of Variance | Sum of Squares | df | Mean Square | F-Value | p-Value | Signature |
|---|---|---|---|---|---|---|
| Model | 43.89 | 14 | 3.13 | 17.49 | <0.0001 | ** |
| A | 3.09 | 1 | 3.09 | 17.24 | 0.0010 | ** |
| B | 0.90 | 1 | 0.90 | 5.00 | 0.0421 | * |
| C | 0.11 | 1 | 0.11 | 0.59 | 0.4538 | |
| D | 0.72 | 1 | 0.72 | 4.02 | 0.0647 | |
| AB | 2.22 | 1 | 2.22 | 12.39 | 0.0034 | ** |
| AC | 0.031 | 1 | 0.031 | 0.17 | 0.6856 | |
| AD | 0.032 | 1 | 0.032 | 0.18 | 0.6772 | |
| BC | 0.013 | 1 | 0.013 | 0.074 | 0.7899 | |
| BD | 7.225 × 10−3 | 1 | 7.225 × 10−3 | 0.040 | 0.8438 | |
| CD | 0.18 | 1 | 0.18 | 1.01 | 0.3325 | |
| A2 | 4.87 | 1 | 4.87 | 27.17 | 0.0001 | ** |
| B2 | 34.77 | 1 | 34.77 | 193.99 | <0.0001 | ** |
| C2 | 0.33 | 1 | 0.33 | 1.86 | 0.1947 | |
| D2 | 1.95 | 1 | 1.95 | 10.86 | 0.0053 | ** |
| Residual | 2.51 | 14 | 0.18 | |||
| Lack of fit | 2.28 | 10 | 0.23 | 4.0 | 0.0970 | |
| Pure error | 0.23 | 4 | 0.057 | |||
| Cor total | 46.39 | 28 |
| Group | SOD/(U·mg−1) | GSH-Px/(U·mg−1) | MDA/(nmol·mg−1) |
|---|---|---|---|
| Normal control (Group I) | 268.25 ± 5.22 ** | 175.00 ± 29.65 ** | 8.19 ± 0.523 ** |
| Model control (Group II) | 254.05 ± 5.26 | 137.01 ± 22.97 | 10.76 ± 0.5 |
| Positive control (Group III) | 277.38 ± 4.62 ** | 169.92 ± 23.85 ** | 9.25 ± 0.40 ** |
| PEIL-L (Group IV) | 259.18 ± 10.29 | 166.45 ± 13.25 ** | 9.76 ± 2.12 |
| PEIL-M (Group V) | 274.55 ± 3.92 ** | 171.20 ± 12.10 ** | 7.86 ± 0.63 ** |
| PEIL-H (Group VI) | 282.59 ± 1.27 ** | 183.96 ± 10.59 ** | 8.13 ± 1.03 ** |
| Group | SOD/(U/mg) | GSH-Px/(U/mg) | MDA/(nmol/mg) |
|---|---|---|---|
| Normal control (Group I) | 84.33 ± 2.59 ** | 198.27 ± 24.54 ** | 1.51 ± 0.06 ** |
| Model control (Group II) | 76.02 ± 1.65 | 151.21 ± 8.5 | 1.95 ± 0.08 |
| Positive control (Group III) | 83.60 ± 4.55 * | 222.53 ± 28.38 * | 1.26 ± 0.13 ** |
| PEIL-L (Group IV) | 83.77 ± 2.57 ** | 175.70 ± 36.26 | 1.47 ± 0.02 ** |
| PEIL-M (Group V) | 93.80 ± 4.87 ** | 182.28 ± 25.18 * | 1.50 ± 0.13 ** |
| PEIL-H (Group VI) | 87.69 ± 1.75 ** | 213.46 ± 22.76 ** | 1.46 ± 0.11 ** |
| Factor | Code | Level | ||
|---|---|---|---|---|
| −1 | 0 | 1 | ||
| Ethanol concentration/% | A | 40 | 50 | 60 |
| Extraction temperature/°C | B | 50 | 60 | 70 |
| Extraction time/min | C | 20 | 25 | 30 |
| Liquid–solid ratio/(mL/g) | D | 50 | 60 | 70 |
| Run | A | B | C | D | The Yield of PEIL (mg GAE/g) | |
|---|---|---|---|---|---|---|
| Actual Value | Predicted Value | |||||
| 1 | −1 | −1 | 0 | 0 | 30.97 | 31.03 |
| 2 | 1 | −1 | 0 | 0 | 34.2 | 33.55 |
| 3 | −1 | 1 | 0 | 0 | 32.6 | 33.07 |
| 4 | 1 | 1 | 0 | 0 | 32.85 | 32.59 |
| 5 | 0 | 0 | −1 | −1 | 34.56 | 34.906 |
| 6 | 0 | 0 | 1 | −1 | 35.4 | 35.514 |
| 7 | 0 | 0 | −1 | 1 | 35.15 | 34.846 |
| 8 | 0 | 0 | 1 | 1 | 35.14 | 34.614 |
| 9 | −1 | 0 | 0 | −1 | 34.39 | 34.15 |
| 10 | 1 | 0 | 0 | −1 | 34.87 | 34.99 |
| 11 | −1 | 0 | 0 | 1 | 33.25 | 33.49 |
| 12 | 1 | 0 | 0 | 1 | 34.09 | 34.69 |
| 13 | 0 | −1 | −1 | 0 | 32.58 | 32.893 |
| 14 | 0 | 1 | −1 | 0 | 33.22 | 33.319 |
| 15 | 0 | −1 | 1 | 0 | 32.71 | 32.967 |
| 16 | 0 | 1 | 1 | 0 | 33.58 | 33.621 |
| 17 | −1 | 0 | −1 | 0 | 34.4 | 33.959 |
| 18 | 1 | 0 | −1 | 0 | 35.22 | 35.153 |
| 19 | −1 | 0 | 1 | 0 | 34.48 | 34.321 |
| 20 | 1 | 0 | 1 | 0 | 34.95 | 35.167 |
| 21 | 0 | −1 | 0 | −1 | 33 | 32.893 |
| 22 | 0 | 1 | 0 | −1 | 33.66 | 33.347 |
| 23 | 0 | −1 | 0 | 1 | 32.24 | 32.327 |
| 24 | 0 | 1 | 0 | 1 | 33.07 | 32.953 |
| 25 | 0 | 0 | 0 | 0 | 35.73 | 35.75 |
| 26 | 0 | 0 | 0 | 0 | 36.1 | 35.75 |
| 27 | 0 | 0 | 0 | 0 | 35.6 | 35.75 |
| 28 | 0 | 0 | 0 | 0 | 35.48 | 35.75 |
| 29 | 0 | 0 | 0 | 0 | 35.85 | 35.75 |
Publisher’s Note: MDPI stays neutral with regard to jurisdictional claims in published maps and institutional affiliations. |
© 2022 by the authors. Licensee MDPI, Basel, Switzerland. This article is an open access article distributed under the terms and conditions of the Creative Commons Attribution (CC BY) license (https://creativecommons.org/licenses/by/4.0/).
Share and Cite
Chen, Y.; Sun, X.; Fang, L.; Jiang, X.; Zhang, X.; Ge, Z.; Wang, R.; Wang, C. Optimization of Ultrasound-Assisted Extraction of Polyphenols from Ilex latifolia Using Response Surface Methodology and Evaluation of Their Antioxidant Activity. Molecules 2022, 27, 3999. https://doi.org/10.3390/molecules27133999
Chen Y, Sun X, Fang L, Jiang X, Zhang X, Ge Z, Wang R, Wang C. Optimization of Ultrasound-Assisted Extraction of Polyphenols from Ilex latifolia Using Response Surface Methodology and Evaluation of Their Antioxidant Activity. Molecules. 2022; 27(13):3999. https://doi.org/10.3390/molecules27133999
Chicago/Turabian StyleChen, Ying, Xuqiang Sun, Lanting Fang, Xinxiu Jiang, Xuena Zhang, Zijun Ge, Rongbin Wang, and Cunqin Wang. 2022. "Optimization of Ultrasound-Assisted Extraction of Polyphenols from Ilex latifolia Using Response Surface Methodology and Evaluation of Their Antioxidant Activity" Molecules 27, no. 13: 3999. https://doi.org/10.3390/molecules27133999
APA StyleChen, Y., Sun, X., Fang, L., Jiang, X., Zhang, X., Ge, Z., Wang, R., & Wang, C. (2022). Optimization of Ultrasound-Assisted Extraction of Polyphenols from Ilex latifolia Using Response Surface Methodology and Evaluation of Their Antioxidant Activity. Molecules, 27(13), 3999. https://doi.org/10.3390/molecules27133999
