New Terpenoids from Potentilla freyniana Bornm. and Their Cytotoxic Activities
Abstract
:1. Introduction
2. Results
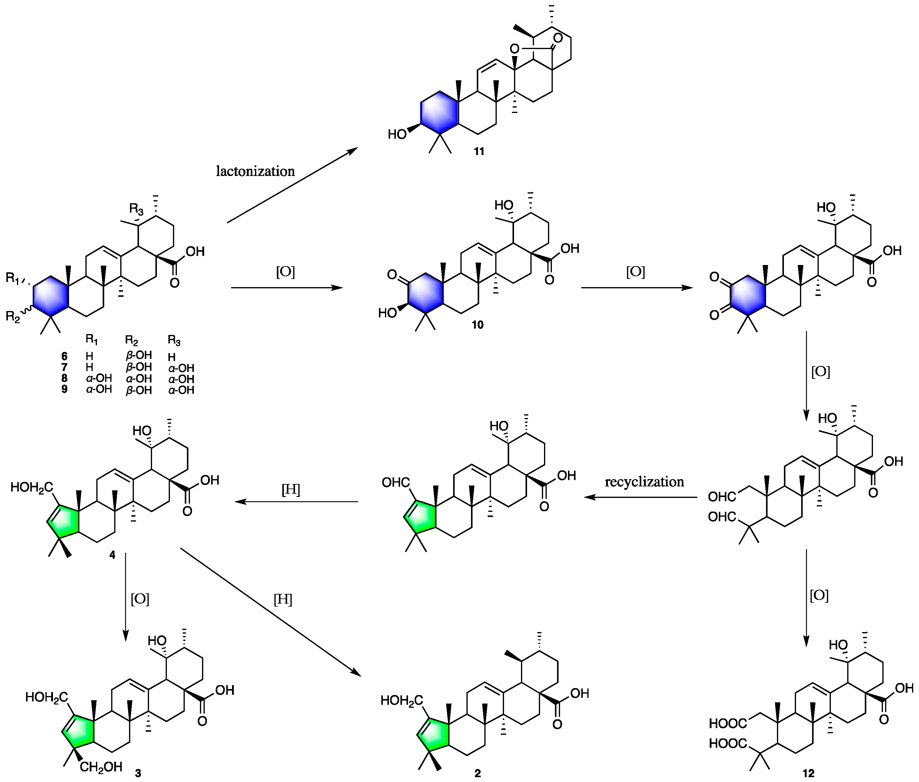
2.1. Structural Elucidation
2.2. Biological Activities
3. Materials and Methods
3.1. General Information
3.2. Plant Material
3.3. Extraction and Isolation
3.4. Characterization
3.5. Cell Culture
3.6. Cytotoxicity Assessment
4. Conclusions
Supplementary Materials
Author Contributions
Funding
Institutional Review Board Statement
Informed Consent Statement
Data Availability Statement
Conflicts of Interest
Sample Availability
References
- Augustynowicz, D.; Latté, K.P.; Tomczyk, M. Recent phytochemical and pharmacological advances in the genus Potentilla L. sensu lato—An update covering the period from 2009 to 2020. J. Ethnopharmacol. 2021, 266, 113412. [Google Scholar] [CrossRef]
- Wu, J.; Zhang, Z.-Q.; Yu, H.-H.; Huang, F.-B.; Chen, Z.-L.; Chu, L.-L.; Li, B.; Wang, W. Research progress on chemical constituents and pharmacological activities of Potentilla. China J. Chin. Mater. Med. 2022, 47, 1509–1538. [Google Scholar]
- Huang, F.-B.; Wu, J.; Sheng, W.-B.; Peng, C.-Y.; Wang, W.; Zhang, Z.-Q.; Li, B.; Chen, S.-H. Research Progress on Chemical Constituents and Pharmacological Activities of Potentilla freyniana Bornm. J. Hunan Univ. Chin. Med. 2020, 40, 1039–1044. [Google Scholar]
- Wang, F.; Li, X.-M.; Liu, J.-K. New terpenoids from Isodon sculponeata. Chem. Pharm. Bull. 2009, 57, 525–527. [Google Scholar] [CrossRef] [Green Version]
- Wu, Y.-C.; Hung, Y.-C.; Chang, F.-R.; Cosentino, M.; Wang, H.-K.; Lee, K.-H. Identification of ent-16β, 17-dihydroxykauran-19-oic acid as an anti-HIV principle and isolation of the new diterpenoids annosquamosins A and B from Annona squamosa. J. Nat. Prod. 1996, 59, 635–637. [Google Scholar] [CrossRef]
- Yeo, H.; Park, S.-Y.; Kim, J. A-ring contracted triterpenoid from Rosa multiflora. Phytochemistry 1998, 48, 1399–1401. [Google Scholar] [CrossRef]
- Seebacher, W.; Simic, N.; Weis, R.; Saf, R.; Kunert, O. Complete assignments of 1H and 13C NMR resonances of oleanolic acid, 18α-oleanolic acid, ursolic acid and their 11-oxo derivatives. Magn. Reson. Chem. 2003, 41, 636–638. [Google Scholar] [CrossRef]
- Liu, W.-J.; Hou, X.-Q.; Chen, H.; Liang, J.-Y.; Sun, J.-B. Chemical constituents from Agrimonia pilosa Ledeb. and their chemotaxonomic significance. Nat. Prod. Res. 2016, 30, 2495–2499. [Google Scholar] [CrossRef]
- Zheng, G.; Piao, H. Study on chemical constituents from Potentilla supina. Zhong Cao Yao 2012, 43, 1285–1288. [Google Scholar]
- Reher, G.; Buděšínský, M. Triterpenoids from plants of the Sanguisorbeae. Phytochemistry 1992, 31, 3909–3914. [Google Scholar] [CrossRef]
- Song, N.-Y.; Cho, J.-G.; Im, D.; Lee, D.-Y.; Wu, Q.; Seo, W.-D.; Kang, H.C.; Lee, Y.-H.; Baek, N.-I. Triterpenoids from Fragaria ananassa calyx and their inhibitory effects on melanogenesis in B16-F10 mouse melanoma cells. Nat. Prod. Res. 2013, 27, 2219–2223. [Google Scholar] [CrossRef] [PubMed]
- Al Musayeib, N.M.; Mothana, R.A.; Gamal, A.A.E.; Al-Massarani, S.M.; Maes, L. In vitro antiprotozoal activity of triterpenoid constituents of Kleinia odora growing in Saudi Arabia. Molecules 2013, 18, 9207–9218. [Google Scholar] [CrossRef] [PubMed] [Green Version]
- Huang, X.-Y.; Ma, G.-X.; Zhong, X.-Q.; Zhou, Y.-L.; Dai, H.-N.; Wu, H.-F.; Zhu, Y.-D.; Yang, J.-S.; Yuan, J.-Q.; Xu, X.-D. Triterpene constituents from Rosa cymosa Tratt. China J. Chin. Mater. Med. 2014, 39, 4637–4641. [Google Scholar]
- Morikawa, T.; Ninomiya, K.; Imura, K.; Yamaguchi, T.; Akagi, Y.; Yoshikawa, M.; Hayakawa, T.; Muraoka, O. Hepatoprotective triterpenes from traditional Tibetan medicine Potentilla anserina. Phytochemistry 2014, 102, 169–181. [Google Scholar] [CrossRef]
- LI, Y.-L. A new triterpenic acid from roots of Rosa multiflora var. cathayensis. Chin. Tradit. Herb. Drugs. 2017, 48, 4208–4214. [Google Scholar]
- Li, W.; Fu, H.; Bai, H.; Sasaki, T.; Kato, H.; Koike, K. Triterpenoid saponins from Rubus ellipticus var. obcordatus. J. Nat. Prod. 2009, 72, 1755–1760. [Google Scholar] [CrossRef] [PubMed]
- Zeng, N.; Shen, Y.; Li, L.-Z.; Jiao, W.-H.; Gao, P.-Y.; Song, S.-J.; Chen, W.-S.; Lin, H.-W. Anti-inflammatory triterpenes from the leaves of Rosa laevigata. J. Nat. Prod. 2011, 74, 732–738. [Google Scholar] [CrossRef] [PubMed]
- Begum, S.; Farhat, a.; Siddiqui, B.S. Triterpenoids from the leaves of Eucalyptus camaldulensis var. obtusa. J. Nat. Prod. 1997, 60, 20–23. [Google Scholar] [CrossRef]
- Wiedemann, B.; Lerche, H.; Lotter, H.; Neszmelyi, A.; Wagner, H.; Müller, A.A. Two novel triterpenoids from the stemwood of Herrania cuatrecasana. Phytochemistry 1999, 52, 333–337. [Google Scholar] [CrossRef]
- Tabopda, T.K.; Ngoupayo, J.; Tanoli, S.A.K.; Mitaine-Offer, A.-C.; Ngadjui, B.T.; Ali, M.S.; Luu, B.; Lacaille-Dubois, M.-A. Antimicrobial pentacyclic triterpenoids from Terminalia superba. Planta Med. 2009, 75, 522–527. [Google Scholar] [CrossRef]
- Dai, H.-N.; Ma, G.-X.; Zhou, J.-M.; Zhong, X.-Q.; Zhou, Y.-L.; Lv, G.-R.; Wang, Y.-Q.; Yuan, J.-Q.; Xu, X.-D. Triterpenoids from roots of Rosa laevigata. China J. Chin. Mater. Med. 2016, 41, 2267–2272. [Google Scholar]
- Ren, Y.; Anaya-Eugenio, G.D.; Czarnecki, A.A.; Ninh, T.N.; Yuan, C.; Chai, H.-B.; Soejarto, D.D.; Burdette, J.E.; de Blanco, E.J.C.; Kinghorn, A.D. Cytotoxic and NF-κB and mitochondrial transmembrane potential inhibitory pentacyclic triterpenoids from Syzygium corticosum and their semi-synthetic derivatives. Bioorg. Med. Chem. 2018, 26, 4452–4460. [Google Scholar] [CrossRef] [PubMed]
- Zhang, G.; Shimokawa, S.; Mochizuki, M.; Kumamoto, T.; Nakanishi, W.; Watanabe, T.; Ishikawa, T.; Matsumoto, K.; Tashima, K.; Horie, S. Chemical constituents of Aristolochia constricta: Antispasmodic effects of its constituents in guinea-pig ileum and isolation of a diterpeno−lignan hybrid. J. Nat. Prod. 2008, 71, 1167–1172. [Google Scholar] [CrossRef] [PubMed]
- Grishko, V.; Tolmacheva, I.; Pereslavtseva, A. Triterpenoids with a five-membered A-ring: Distribution in nature, transformations, synthesis, and biological activity. Chem. Nat. Compd. 2015, 51, 1–21. [Google Scholar] [CrossRef]
- Rao, K.R.; Rao, L.; Rao, N.P. An A-ring contracted triterpenoid from Hyptis suaveolens. Phytochemistry 1990, 29, 1326–1329. [Google Scholar]
- Shen, B.; Chen, S.; Zhou, Q.; Jian, Y.; Daniyal, M.; Sheng, W.; Gong, L.; Luo, D.; Liu, B.; Xu, G. Flavonoid glycosides from the rhizomes of Pronephrium penangianum. Phytochemistry 2020, 179, 112500. [Google Scholar] [CrossRef]
- Sun, Q.; He, M.; Zhang, M.; Zeng, S.; Chen, L.; Zhou, L.; Xu, H. Ursolic acid: A systematic review of its pharmacology, toxicity and rethink on its pharmacokinetics based on PK-PD model. Fitoterapia 2020, 147, 104735. [Google Scholar] [CrossRef]
- Sybyl Software, Version X 2.0; Tripos Associates Inc.: St. Louis, MO, USA, 2013.
- Neese, F. The ORCA program system, Wiley Interdiscip. Rev. Comput. Mol. Sci. 2012, 2, 73–78. [Google Scholar] [CrossRef]
- Stephens, P.J.; Harada, N. ECD cotton effect approximated by the Gaussian curve and other methods. Chirality 2010, 22, 229–233. [Google Scholar] [CrossRef]








| Position | 1 | 2 | ||
|---|---|---|---|---|
| δC | δH | δC | δH | |
| 1 | 61.4 | 4.16, dd (14.5, 1.8) 4.09, dd (14.5, 1.7) | 61.4 | 4.16, dd (14.5, 1.8) 4.08, dd (14.5, 1.7) |
| 2 | 156.0 | - | 156.1 | - |
| 3 | 135.4 | 5.40, s | 135.5 | 5.39, s |
| 4 | 43.3 | - | 43.3 | - |
| 5 | 64.5 | 1.44, m | 64.4 | 1.41, m |
| 6 | 18.2 | 1.52, m | 18.2 | 1.49, m |
| 7 | 34.9 | a 1.56, m b 1.38, m | 35.4 | a 1.58, m b 1.39, m |
| 8 | 42.1 | - | 42.3 | - |
| 9 | 44.9 | 2.15, m | 44.8 | 2.09, m |
| 10 | 51.8 | - | 51.7 | - |
| 11 | 27.5 | b 2.19, m a 2.03, m | 27.4 | b 2.18, m a 2.07, m |
| 12 | 123.6 | 5.25, t (3.5) | 126.8 | 5.22, t (3.5) |
| 13 | 145.7 | - | 140.1 | - |
| 14 | 43.2 | - | 43.5 | - |
| 15 | 29.1 | b 1.83, dt (13.8, 4.3) a 1.09, dt (13.7, 3.4) | 29.5 | b 1.95, td (13.6, 4.5) a 1.08, ddd (13.7, 4.3, 2.4) |
| 16 | 24.0 | a 2.05, m b 1.61, ddt (13.6, 4.2, 2.2) | 25.3 | a 2.05, m b b 1.65, m a |
| 17 | 47.7 | - | (48.6) * | - |
| 18 | 43.0 | 2.85, dd (13.9, 4.6) | 54.5 | 2.20, m |
| 19 | 47.0 | a 1.72, m | 40.2 | 1.38.m |
| 20 | 31.6 | - | 40.4 | 0.97, overlapped |
| 21 | 35.1 | a 1.42, m b 1.23, m | 31.7 | 1.51, m 1.36, m |
| 22 | 33.8 | b 1.77, m a 1.55, m | 38.1 | 1.68, m 1.63, m |
| 23 | 30.3 | 1.04, s | 30.3 | 1.03, s |
| 24 | 21.8 | 0.96, s | 21.8 | 0.95, s |
| 25 | 19.3 | 1.16, s | 19.3 | 1.16, s |
| 26 | 19.2 | 0.87, s | 19.3 | 0.90, s |
| 27 | 26.8 | 1.20, s | 24.3 | 1.15, s |
| 28 | 181.9 | - | 181.7 | - |
| 29 | 33.6 | 0.91, s | 17.7 | 0.90, d (6.6) |
| 30 | 24.0 | 0.95, s | 21.6 | 0.96, d (4.8) |
| Position | 22 | Position | 22 | ||
|---|---|---|---|---|---|
| δC | δH | δC | δH | ||
| 1 | 42.2 | 1.91, m 0.86, m | 15 | 46.2 | 1.67, overlapped 1.08, m |
| 2 | 20.4 | 1.92, m 1.30, m | 16 | 41.2 | 2.26, m |
| 3 | 39.3 | 2.13, overlapped 1.01, m | 17 | 69.9 | 4.09, d (1.7) 4.08, d (1.7) |
| 4 | 44.8 | - | 18 | 29.6 | 1.19, s |
| 5 | 58.3 | 1.07, overlapped | 19 | 182.4 | - |
| 6 | 23.7 | 1.87, m | 20 | 16.3 | 0.99, s |
| 7 | 42.9 | 1.50, m | 1′ | 122.8 | - |
| 8 | 46.2 | - | 2′ | 113.5 | 7.54, d (2.0) |
| 9 | 56.8 | 1.07, overlapped | 3′ | 148.8 | - |
| 10 | 40.8 | - | 4′ | 152.9 | - |
| 11 | 19.8 | 1.69, overlapped | 5′ | 116.0 | 6.85, d (8.8) |
| 12 | 32.5 | 1.60, m 1.48, m | 6′ | 125.0 | 7.55, dd (2.0 8.7) |
| 13 | 40.2 | 2.16, m | 7′ | 168.4 | - |
| 14 | 38.3 | 1.95, m 1.16, m | -OCH3 | 56.4 | 3.90, s |
| Compound | IC50 (μM) a | ||||
|---|---|---|---|---|---|
| Anti-RA-FLS Activity | Anti-Tumor Activity | ||||
| RA-FLS | Hep-G2 | HCT-116 | BGC-823 | MCF-7 | |
| 2 | >30 b | >30 | >30 | 24.76 ± 0.94 | >30 |
| 4 | >30 | 25.16 ± 2.55 | >30 | >30 | >30 |
| 6 | 24.63 ± 1.96 | >30 | >30 | >30 | >30 |
| 7 | 25.12 ± 1.97 | >30 | >30 | >30 | >30 |
| 16 | >30 | >30 | 13.25 ± 1.65 | 26.83 ± 2.52 | >30 |
| 19 | >30 | 17.66 ± 1.82 | >30 | >30 | >30 |
| 21 | >30 | >30 | 21.62 ± 0.33 | >30 | >30 |
| Methotrexate c | 5.09 ± 0.60 | - | - | - | - |
| Taxol (nM) c | - | 13.82 ± 0.78 | 15.79 ± 0.91 | 9.12 ± 1.23 | - |
Publisher’s Note: MDPI stays neutral with regard to jurisdictional claims in published maps and institutional affiliations. |
© 2022 by the authors. Licensee MDPI, Basel, Switzerland. This article is an open access article distributed under the terms and conditions of the Creative Commons Attribution (CC BY) license (https://creativecommons.org/licenses/by/4.0/).
Share and Cite
Wu, J.; Zhang, Z.-Q.; Zhou, X.-D.; Yao, Q.-Y.; Chen, Z.-L.; Chu, L.-L.; Yu, H.-H.; Yang, Y.-P.; Li, B.; Wang, W. New Terpenoids from Potentilla freyniana Bornm. and Their Cytotoxic Activities. Molecules 2022, 27, 3665. https://doi.org/10.3390/molecules27123665
Wu J, Zhang Z-Q, Zhou X-D, Yao Q-Y, Chen Z-L, Chu L-L, Yu H-H, Yang Y-P, Li B, Wang W. New Terpenoids from Potentilla freyniana Bornm. and Their Cytotoxic Activities. Molecules. 2022; 27(12):3665. https://doi.org/10.3390/molecules27123665
Chicago/Turabian StyleWu, Jia, Zai-Qi Zhang, Xu-Dong Zhou, Qing-Ying Yao, Zhu-Liang Chen, Ling-Ling Chu, Huang-He Yu, Yu-Pei Yang, Bin Li, and Wei Wang. 2022. "New Terpenoids from Potentilla freyniana Bornm. and Their Cytotoxic Activities" Molecules 27, no. 12: 3665. https://doi.org/10.3390/molecules27123665
APA StyleWu, J., Zhang, Z.-Q., Zhou, X.-D., Yao, Q.-Y., Chen, Z.-L., Chu, L.-L., Yu, H.-H., Yang, Y.-P., Li, B., & Wang, W. (2022). New Terpenoids from Potentilla freyniana Bornm. and Their Cytotoxic Activities. Molecules, 27(12), 3665. https://doi.org/10.3390/molecules27123665

