Lignin as a Natural Carrier for the Efficient Delivery of Bioactive Compounds: From Waste to Health
Abstract
:1. Introduction
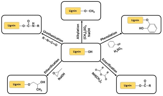
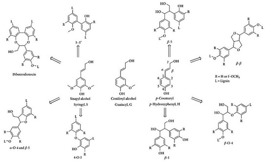
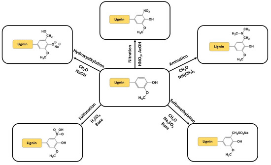
2. Lignin: From Extraction to Chemical Modification for Nanoparticles Synthesis
2.1. Lignin Nanoparticles: Synthetic Methods
2.1.1. Physical Method: Ultrasonication
2.1.2. Chemical Method: Acidic Precipitation
2.1.3. Solvent Shifting
2.1.4. Deep Eutectic Solvents
3. Examples of Lignin-Based Nanoparticles for Drug Delivery
4. Outlook: “How Far Is Lignin from Being a Green Carrier for Bioactive Compounds?”
5. Conclusions
Funding
Institutional Review Board Statement
Informed Consent Statement
Data Availability Statement
Conflicts of Interest
Abbreviations
| ACAL | Acetylated Lignin |
| Ag@QAL | silver-loaded quaternized alkali lignin |
| AgNPs | silver nanoparticles |
| AIKL | acetone insoluble fraction of alkali lignin nanoparticles |
| AIKL-chol | cholesteryl-loaded acetone insoluble fraction of alkali lignin nanoparticles |
| AL/RSV/Fe3O4 NPs | resveratrol-loaded and magnetic alkali lignin nanoparticles |
| AL | alkali lignin |
| AmL | Aminated lignin |
| AmL-HIS/HCPT NPs | 10-hydroxycamptothecin-loaded aminated lignin-histidine conjugate nanoparticles |
| ASKL | acetone soluble fraction of alkali lignin nanoparticles |
| ASKL-chol | cholesteryl-loaded acetone soluble fraction of alkali lignin nanoparticles |
| AVM | avermectin |
| AVM@ACAL | avermectin-loaded acetylated Lignin |
| AVM@BZAL | avermectin-loaded benzoylated Lignin |
| BBD | Box–Behnken experimental design |
| BLNPs | Blank Lignin Nanoparticles |
| BTMAC/FA | Benzyltrimethylammonium chloride/formic acid |
| BZAL | Benzoylated Lignin |
| BZL | Benzazulene |
| BZL-pLNPs | Benzazulene-loaded pure lignin nanoparticles |
| CAP | Capecitabine |
| CCM | Curcumin |
| CCM@Lig/Chi NPs | Curcumin lignin/chitosan nanoparticles |
| CEL | cellulolytic enzyme lignin |
| ChCl | Choline chloride |
| CHMAC | 3-chloro-2-hydroxypropyltrimethylammonium chloride |
| CholCl | cholesteryl chloroformate |
| CNCs | cellulose nanocrystals |
| CTAB | cetrimonium bromide |
| DESs | Deep eutectic solvents |
| DETA | Diethylenetriamine |
| DLC | drug loading capacity |
| DLE | encapsulation efficiency |
| DLS | Dynamic Light Scattering |
| DMF | N, N-Dimethylformamide |
| DMSO | dimethyl sulfoxide |
| DTX | Docetaxel |
| DTX@Lig/Chi NPs | Docetaxel lignin/chitosan nanoparticles |
| EDC·HCl | 1-(3-dimethylaminopropyl)-3-ethylcarbodiimide hydrochloride |
| EMAL | enzymatic mild acidolysis lignin |
| EO | essential oil |
| EO-LNPs | essential oil-loaded lignin nanoparticles |
| ETA | ethanolamine |
| Fe(OiPr)3 | iron (III) isopropoxide |
| Fe3O4-LNPs | Fe3O4-infused lignin nanoparticles |
| Fe-LNPs | Iron (III)-complexed lignin nanoparticles |
| HBA | hydrogen bond acceptor |
| HBD | hydrogen bond donor |
| HCPT | 10-hydroxycamptothecin |
| HIS | histidine |
| ILs | ionic liquids |
| LA | lactic acid |
| LCSN | Lignin Capped Silver Nanoparticles |
| Lig/Chi NPs | lignin/chitosan nanoparticles |
| LNPs | lignin nanoparticles |
| MWL | milled wood lignin |
| NaDES | Natural deep eutectic solvent |
| NHS | N-hydroxysuccinimide |
| pLNPs | pure lignin nanoparticles |
| QAL | quaternized alkali lignin |
| RSV | Resveratrol |
| SFN | Sorafenib |
| SL/CTAB | sodium lignosulfonate cetrimonium bromide system |
| SL | sodium lignosulfonate |
| THF | tetrahydrofuran |
| XNPs | xylan nanoparticles |
References
- Wang, F.; Ouyang, D.; Zhou, Z.; Page, S.J.; Liu, D.; Zhao, X. Lignocellulosic biomass as sustainable feedstock and materials for power generation and energy storage. J. Energy Chem. 2021, 57, 247–280. [Google Scholar] [CrossRef]
- Calcio Gaudino, E.; Cravotto, G.; Manzoli, M.; Tabasso, S. From waste biomass to chemicals and energy: Via microwave-assisted processes. Green Chem. 2019, 21, 1202–1235. [Google Scholar] [CrossRef]
- Valentine, J.; Clifton-Brown, J.; Hastings, A.; Robson, P.; Allison, G.; Smith, P. Food vs. fuel: The use of land for lignocellulosic ‘next generation’ energy crops that minimize competition with primary food production. GCB Bioenergy 2011, 4, 1–19. [Google Scholar] [CrossRef]
- Ma, C.; Kim, T.-H.; Liu, K.; Ma, M.-G.; Choi, S.-E.; Si, C. Multifunctional Lignin-Based Composite Materials for emerging Applications. Front. Bioeng. Biotechnol. 2021, 9, 708976. [Google Scholar] [CrossRef]
- Flores, E.M.M.; Cravotto, G.; Bizzi, C.A.; Santos, D.; Iop, G.D. Ultrasound-assisted biomass valorization to industrial interesting products: State-of-the-art, perspectives and challenges. Ultrason. Sonochem. 2021, 72, 105455. [Google Scholar] [CrossRef]
- Calcio Gaudino, E.; Cravotto, G.; Manzoli, M.; Tabasso, S. Sono- and mechanochemical technologies in the catalytic conversion of biomass. Chem. Soc. Rev. 2021, 50, 1785. [Google Scholar] [CrossRef]
- Liu, R.; Dai, L.; Xu, C.; Wang, K.; Zheng, C.; Si, C. Lignin-based micro- and nanomaterials and their composites in biomedical applications. ChemSusChem 2020, 13, 4266–4283. [Google Scholar] [CrossRef]
- Jain, S.; Tripathi, S.; Tripathi, P.K. Invasomes: Potential vesicular systems for transdermal delivery of drug molecules. J. Drug Deliv. Sci. Technol. 2020, 61, 102166. [Google Scholar] [CrossRef]
- Zorkina, Y.; Abramova, O.; Ushakova, V.; Morozova, A.; Zubkov, E.; Valikhov, M.; Melnikov, P.; Majouga, A.; Chekhonin, V. Nano carrier drug delivery systems for the treatment of neuropsychiatric disorders: Advantages and limitations. Molecules 2020, 25, 5294. [Google Scholar] [CrossRef]
- Guo, Y.; Gou, K.; Yang, B.; Wang, Y.; Pu, X.; Li, S.; Li, H. Enlarged pore size chiral mesoporous silica nanoparticles loaded poorly water-soluble drug perform superior delivery effect. Molecules 2019, 24, 3552. [Google Scholar] [CrossRef] [Green Version]
- Sathishkumar, P.; Li, Z.; Govindan, R.; Jayakumar, R.; Wang, C.; Long Gu, F. Zinc oxide-quercetin nanocomposite as a smart nano-drug delivery system: Molecular-level interaction studies. Appl. Surf. Sci. 2021, 536, 147741. [Google Scholar] [CrossRef]
- Wijaya, C.J.; Ismadji, S.; Gunawan, S. A Review of Lignocellulosic-Derived Nanoparticles for Drug Delivery Applications: Lignin Nanoparticles, Xylan Nanoparticles, and Cellulose Nanocrystals. Molecules 2021, 26, 676. [Google Scholar] [CrossRef] [PubMed]
- Alqahtani, M.S.; Alqahtani, A.; Kazi, M.; Ahmad, M.Z.; Alahmari, A.; Alsenaidy, M.A.; Syed, R. Wound-healing potential of curcumin loaded lignin nanoparticles. J. Drug Deliv. Sci. Technol. 2020, 60, 102020. [Google Scholar] [CrossRef]
- Dai, L.; Liu, R.; Hu, L.Q.; Zou, Z.F.; Si, C.L. Lignin nanoparticle as a novel green carrier for the efficient delivery of resveratrol. ACS Sustain. Chem. Eng. 2017, 5, 8241–8249. [Google Scholar] [CrossRef]
- Sauraj; Kumar, V.; Kumar, B.; Deeba, F.; Bano, S.; Kulshreshtha, A.; Gopinath, P.; Negi, Y.S. Lipophilic 5-fluorouracil prodrug encapsulated xylan-stearic acid conjugates nanoparticles for colon cancer therapy. Int. J. Biol. Macromol. 2019, 128, 204–213. [Google Scholar] [CrossRef]
- Kamelnia, E.; Divsalar, A.; Darroudi, M.; Yaghmaei, P.; Sadri, K. Production of new cellulose nanocrystals from Ferula gummosa and their use in medical applications via investigation of their biodistribution. Ind. Crop. Prod. 2019, 139, 111538. [Google Scholar] [CrossRef]
- Du, H.; Liu, W.; Zhang, M.; Si, C.; Zhang, X.; Li, B. Cellulose nanocrystals and cellulose nanofibrils based hydrogels for biomedical applications. Carbohydr. Polym. 2019, 209, 130–144. [Google Scholar] [CrossRef]
- Liao, J.J.; Latif, N.H.A.; Trache, D.; Brosse, N.; Hussin, M.H. Current advancement on the isolation, characterization and application of lignin. Int. J. Biol. Macromol. 2020, 162, 985–1024. [Google Scholar] [CrossRef]
- Calvo-Flores, F.G.; Dobado, J.A. Lignin as renewable raw material. Chubsucker 2010, 3, 1227–1235. [Google Scholar] [CrossRef]
- Lu, Y.; Lu, Y.-C.; Hu, H.-Q.; Xie, F.-J.; Wei, X.-J.; Fan, X. Structural Characterization of Lignin and Its Degradation Products with Spectroscopic Methods. J. Spectrosc. 2017, 2017, 8951658. [Google Scholar] [CrossRef] [Green Version]
- Li, T.; Takkellapati, S. The current and emerging sources of technical lignins and their applications. Biofuel Bioprod Biorefin. 2018, 12, 756–787. [Google Scholar] [CrossRef] [PubMed]
- Ahvazi, B.; Cloutier, é.; Wojciechowicz, O.; Ngo, T.D. Lignin Profiling: A Guide for Selecting Appropriate Lignins as Precursors in Biomaterials Development. ACS Sustain. Chem. Eng. 2016, 4, 5090–5105. [Google Scholar] [CrossRef]
- Figueiredo, P.; Lintinen, K.; Hirvonen, J.T.; Kostiainen, M.A.; Santos, H.A. Properties and chemical modifications of lignin: Towards lignin-based nanomaterials for biomedical applications. Prog. Mater. Sci. 2018, 93, 233–269. [Google Scholar] [CrossRef]
- Katahira, R.; Elder, T.J.; Beckham, G.T. Chapter 1: A Brief Introduction to Lignin Structure. In Lignin Valorization: Emerging Approaches; CPI Group Ltd.: Croydon, UK, 2018; pp. 1–20. [Google Scholar] [CrossRef] [Green Version]
- Buono, P.; Duval, A.; Verge, P.; Averous, L.; Habibi, Y. New Insights on the Chemical Modification of Lignin: Acetylation versus Silylation. ACS Sustain. Chem. Eng. 2016, 4, 5212–5222. [Google Scholar] [CrossRef]
- Upton, B.M.; Kasko, A.M. Strategies for the conversion of lignin to high-value polymeric materials: Review and perspective. Chem. Rev. 2016, 116, 2275–2306. [Google Scholar] [CrossRef]
- Stewart, D. Lignin as a base material for materials applications: Chemistry, applications and economics. Ind. Crop. Prod. 2008, 27, 27202–27207. [Google Scholar] [CrossRef]
- Verdini, F.; Calcio Gaudino, E.; Grillo, G.; Tabasso, S.; Cravotto, G. Cellulose Recovery from Agri-Food Residues by Effective Cavitational Treatments. Appl. Sci. 2021, 11, 4693. [Google Scholar] [CrossRef]
- Xu, J.; Li, C.; Dai, L.; Xu, C.; Zhong, Y.; Yu, F.; Si, C. Biomass Fractionation and Lignin Fractionation towards Lignin Valorization. ChemSusChem 2020, 13, 4284–4295. [Google Scholar] [CrossRef]
- Romaní, A.; Rocha, C.M.R.; Michelin, M.; Domingues, L.; Teixeira, J.A. Valorization of lignocellulosic-based wastes. In Current Developments in Biotechnology and Bioengineering: Resource Recovery from Wastes; Elsevier: Amsterdam, The Netherlands, 2020; pp. 383–410. [Google Scholar] [CrossRef]
- Lobato-Peralta, D.R.; Duque-Brito, E.; Villafán-Vidales, H.I.; Longoria, A.; Sebastian, P.J.; Ana Karina Cuentas-Gallegos, A.K.; Arancibia-Bulnes, C.A.; Okoye, P.U. A review on trends in lignin extraction and valorization of lignocellulosic biomass for energy applications. J. Clean. Prod. 2021, 293, 126123. [Google Scholar] [CrossRef]
- Grillo, G.; Calcio Gaudino, E.; Rosa, R.; Leonelli, C.; Timonina, A.; Grygiškis, S.; Tabasso, S.; Cravotto, G. Green Deep Eutectic Solvents for Microwave-Assisted Biomass Delignification and Valorisation. Molecules 2021, 26, 798. [Google Scholar] [CrossRef]
- Laurichesse, S.; Avérous, L. Chemical modification of lignins: Towards biobased polymers. Prog. Polym. Sci. 2014, 39, 1266–1290. [Google Scholar] [CrossRef]
- Ragauskas, A.J.; Beckham, G.T.; Biddy, M.J.; Chandra, R.; Chen, F.; Davis, M.F.; Davison, B.H.; Dixon, R.A.; Gilna, P.; Keller, M.; et al. Lignin valorization: Improving lignin processing in the biorefinery. Science 2014, 344, 1246843. [Google Scholar] [CrossRef] [PubMed]
- Duval, A.; Lawoko, M. A review on lignin-based polymeric, micro- and nano-structured materials. React. Funct. Polym. 2014, 85, 78–96. [Google Scholar] [CrossRef]
- Matyjaszewski, K.; Tsarevsky, N.V. Macromolecular engineering by atom transfer radical polymerization. J. Am. Chem. Soc. 2014, 136, 6513–6533. [Google Scholar] [CrossRef]
- Pandey, M.P.; Kim, C.S. Lignin depolymerization and conversion: A review of thermochemical methods. Chem. Eng. Technol. 2011, 34, 29–41. [Google Scholar] [CrossRef]
- Schneider, W.D.H.; Dillon, A.J.P.; Camassola, M. Lignin nanoparticles enter the scene: A promising versatile green tool for multiple applications. Biotechnol. Adv. 2021, 47, 107685. [Google Scholar] [CrossRef]
- Salvachúa, D.; Katahira, R.; Cleveland, N.S.; Khanna, P.; Resch, M.G.; Black, B.A.; Purvine, S.O.; Zink, E.M.; Prieto, A.; Martínez, M.J.; et al. Lignin depolymerization by fungal secretomes and a microbial sink. Green Chem. 2016, 18, 6046–6062. [Google Scholar] [CrossRef] [Green Version]
- Schneider, W.D.H.; Costa, P.C.; Fontana, R.C.; Siqueira, F.G.; Dillon, A.J.P.; Camassola, M. Upscale and characterization of lignin-modifying enzymes from Marasmiellus palmivorus VE111 in a bioreactor under parameter optimization and the effect of inducers. J. Biotechnol. 2019, 295, 1–8. [Google Scholar] [CrossRef]
- Alqahtani, M.S.; Alqahtani, A.; Al-Thabit, A.; Roni, M.; Syed, R. Novel lignin nanoparticles for oral drug delivery. J. Mater. Chem. B 2019, 7, 4461. [Google Scholar] [CrossRef]
- Gilca, I.A.; Popa, V.I.; Crestini, C. Obtaining lignin nanoparticles by sonication. Ultrason. Sonochem. 2015, 23, 369–375. [Google Scholar] [CrossRef] [Green Version]
- Gonzalez, M.N.G.; Levi, M.; Turri, S.; Griffini, G. Lignin nanoparticles by ultrasonication and their incorporation in waterborne polymer nanocomposites. J. Appl. Polym. Sci. 2017, 134, 45318. [Google Scholar] [CrossRef]
- Frangville, C.; Rutkevičius, M.; Richter, A.P.; Velev, O.D.; Stoyanov, S.D.; Paunov, V.N. Fabrication of Environmentally Biodegradable Lignin Nanoparticles. ChemPhysChem 2012, 13, 4235–4243. [Google Scholar] [CrossRef] [PubMed]
- Rahman, O.; Shi, S.; Ding, J.; Wang, D.; Ahmad, S.; Yu, H. Lignin nanoparticles: Synthesis, characterization and corrosion protection performance. New J. Chem. 2018, 42, 3415. [Google Scholar] [CrossRef]
- Pang, Y.; Wang, S.; Qiu, X.; Luo, Y.; Lou, H.; Huang, J. Preparation of Lignin/Sodium Dodecyl Sulfate Composite Nanoparticles and Their Application in Pickering Emulsion Template-Based Microencapsulation. J. Agric. Food Chem. 2017, 65, 11011–11019. [Google Scholar] [CrossRef] [PubMed]
- Beisl, S.; Adamcyk, J.; Friedl, A. Direct Precipitation of Lignin Nanoparticles from Wheat Straw Organosolv Liquors Using a Static Mixer. Molecules 2020, 25, 1388. [Google Scholar] [CrossRef] [PubMed] [Green Version]
- Agustin, M.B.; Penttilä, P.A.; Lahtinen, M.; Mikkonen, K.S. Rapid and Direct Preparation of Lignin Nanoparticles from Alkaline Pulping Liquor by Mild Ultrasonication. ACS Sustain. Chem. Eng. 2019, 7, 19925–19934. [Google Scholar] [CrossRef]
- Ingtipi, K.; Moholkar, V.S. Sonochemically Synthesized Lignin Nanoparticles and its Application in the Development of Nanocomposite Hydrogel. Mater. Today Proc. 2019, 17, 362–370. [Google Scholar] [CrossRef]
- Behboudi, G.; Shayesteh, K.; Yaraki, M.T.; Ebrahimi, H.A.; Moradi, S. Optimized synthesis of lignin sulfonate nanoparticles by solvent shifting method and their application for adsorptive removal of dye pollutant. Chemosphere 2021, 85, 131576. [Google Scholar] [CrossRef]
- Wang, B.; Sun, D.; Wang, H.M.; Yuan, T.Q.; Sun, R.C. Green and Facile Preparation of Regular Lignin Nanoparticles with High Yield and Their Natural Broad-Spectrum Sunscreens. ACS Sustain. Chem. Eng. 2019, 7, 2658–2666. [Google Scholar] [CrossRef]
- Cao, Q.; Wu, Q.; Dai, L.; Li, C.; Zhong, Y.; Yu, F.; Li, R.; Si, C. Size-controlled lignin nanoparticles for tuning the mechanical properties of poly(vinyl alcohol). Ind. Crop. Prod. 2021, 15, 114012. [Google Scholar] [CrossRef]
- Camargos, C.H.M.; Rezende, C.A. Antisolvent versus ultrasonication: Bottom-up and top-down approaches to produce lignin nanoparticles (LNPs) with tailored properties. Int. J. Biol. Macromol. 2021, 15, 647–660. [Google Scholar] [CrossRef] [PubMed]
- Cheng, L.; Shi, Y.; Gao, B.; Zhao, Y.; Jiang, Y.; Zha, Z.; Xue, W.; Gong, L. Lignin Nanoparticles: Green Synthesis in a γ-Valerolactone/Water Binary Solvent and Application to Enhance Antimicrobial Activity of Essential Oils. ACS Sustain. Chem. Eng. 2020, 8, 714–722. [Google Scholar] [CrossRef]
- Bertolo, M.R.V.; Brenelli de Paiva, L.B.; Nascimento, V.M.; Gandin, C.A.; Neto, M.O.; Driemeier, C.E.; Rabelo, S.C. Lignins from sugarcane bagasse: Renewable source of nanoparticles as Pickering emulsions stabilizers for bioactive compounds encapsulation. Ind. Crop. Prod. 2019, 140, 111591. [Google Scholar] [CrossRef]
- Xie, J.; Chen, J.; Cheng, Z.; Zhu, S.; Xu, J. Pretreatment of pine lignocelluloses by recyclable deep eutectic solvent for elevated enzymatic saccharification and lignin nanoparticles extraction. Carbohydr. Polym. 2021, 269, 118321. [Google Scholar] [CrossRef]
- Luo, T.; Wang, C.; Ji, X.; Yang, G.; Chen, J.; Janaswamy, S.; Lyu, G. Preparation and Characterization of Size-Controlled Lignin Nanoparticles with Deep Eutectic Solvents by Nanoprecipitation. Molecules 2021, 26, 218. [Google Scholar] [CrossRef] [PubMed]
- Luo, T.; Wang, C.; Ji, X.; Yang, G.; Chen, J.; Yoo, C.G.; Janaswamy, S.; Lyu, G. Innovative production of lignin nanoparticles using deep eutectic solvents for multifunctional nanocomposites. Int. J. Biol. Macromol. 2021, 183, 781–789. [Google Scholar] [CrossRef] [PubMed]
- Lou, R.; Ma, R.; Lin, K.; Ahamed, A.; Zhang, X. Facile Extraction of Wheat Straw by Deep Eutectic Solvent (DES) to Produce Lignin Nanoparticles. ACS Sustain. Chem. Eng. 2019, 7, 10248–10256. [Google Scholar] [CrossRef]
- Kou, L.; Longfa, K.; Yangzom, B.D.; Qing, Y.; Zhonggui, H.; Jin, S.; Vadivel, G. Transporter- guided delivery of nanoparticles to improve drug permeation across cellular barriers and drug exposure to selective cell types. Front. Pharmacol. 2018, 9, 27. [Google Scholar] [CrossRef] [Green Version]
- Mitragotri, S.; Mitragotri, S.; Lammers, T.; Bae, Y.H.; Schwendeman, S.; De Smedt, S.; Leroux, J.C.; Peer, D.; Kwon, I.C.; Harashima, H.; et al. Drug delivery research for the future: Expanding the nano horizons and beyond. J. Control. Release 2017, 246, 183–184. [Google Scholar] [CrossRef]
- Soppimath, K.S.; Aminabhavi, T.M.; Kulkarni, A.R.; Rudzinski, W.E. Biodegradable polymeric nanoparticles as drug delivery devices. J. Contr. Release 2001, 70, 1–20. [Google Scholar] [CrossRef]
- Tian, D.; Hu, J.; Chandra, R.P.; Saddler, J.N.; Lu, C. Valorizing recalcitrant cellulolytic enzyme lignin via lignin nanoparticles fabrication in an integrated biorefinery. ACS Sustain. Chem. Eng. 2017, 5, 2702–2710. [Google Scholar] [CrossRef]
- Lu, Q.; Zhu, M.; Zu, Y.; Liu, W.; Yang, L.; Zhang, Y.; Zhao, X.; Zhang, X.; Zhang, X.; Li, W. Comparative antioxidant activity of nanoscale lignin prepared by a supercritical antisolvent (SAS) process with non-nanoscale lignin. Food Chem. 2012, 135, 63–67. [Google Scholar] [CrossRef]
- Wang, G.; Xia, Y.; Liang, B.; Sui, W.; Si, C. Successive ethanol-water fractionation of enzymatic hydrolysis lignin to concentrate its antimicrobial activity. J. Chem. Technol. Biotechnol. 2018, 93, 2977–2987. [Google Scholar] [CrossRef]
- Ndaba, B.; Roopnarain, A.; Daramola, M.O.; Adeleke, R. Influence of extraction methods on antimicrobial activities of lignin-based materials: A review. Sustain. Chem. Pharm. 2020, 18, 100342. [Google Scholar] [CrossRef]
- Lee, E.; Song, Y.; Lee, S. Crosslinking of lignin/poly(vinyl alcohol) nanocomposite fiber webs and their antimicrobial and ultraviolet-protective properties. Textil. Res. J. 2017, 89, 3–12. [Google Scholar] [CrossRef]
- Dong, X.; Dong, M.; Lu, Y.; Turley, A.; Jin, T.; Wu, C. Antimicrobial and antioxidant activities of lignin from residue of corn stover to ethanol production. Ind. Crop. Prod. 2011, 34, 1629–1634. [Google Scholar] [CrossRef]
- Wang, G.; Pang, T.; Xia, Y.; Liu, X.; Li, S.; Parvez, A.M.; Kong, F.; Si, C. Subdivision of bamboo kraft lignin by one-step ethanol fractionation to enhance its water-solubility and antibacterial performance. Int. J. Biol. Macromol. 2019, 133, 156–164. [Google Scholar] [CrossRef]
- Klapiszewski, L.; Rzemieniecki, T.; Krawczyk, M.; Malina, D.; Norman, M.; Zdarta, J.; Majchrzak, I.; Dobrowolska, A.; Czaczyk, K.; Jesionowski, T. Kraft lignin/silica- AgNPs as a functional material with antibacterial activity. Coll. Surf B Biointerf. 2015, 134, 220–228. [Google Scholar] [CrossRef]
- Alzagameem, A.; Klein, S.E.; Bergs, M.; Do, X.T.; Korte, I.; Dohlen, S.; Huwe, C.; Kreyenschmidt, J.; Kamm, B.; Larkins, M.; et al. Antimicrobial Activity of Lignin and Lignin-Derived Cellulose and Chitosan Composites against Selected Pathogenic and Spoilage Microorganisms. Polymers 2019, 11, 670. [Google Scholar] [CrossRef] [Green Version]
- Kaur, R.; Uppal, S.K.; Sharma, P. Antioxidant, Antibacterial Activities, Of sugarcane bagasse lignin and chemically modified lignins. Sugar Tech 2017, 19, 675–680. [Google Scholar] [CrossRef]
- Imlimthan, S.; Correia, A.; Figueiredo, P.; Lintinen, K.; Balasubramanian, V.; Airaksinen, A.J.; Kostiainen, M.A.; Santos, H.A.; Sarparanta, M. Systematic in vitro biocompatibility studies of multimodal cellulose nanocrystal and lignin nanoparticles. J. Biomed. Mater. Res. A 2020, 108, 770–783. [Google Scholar] [CrossRef] [PubMed]
- Tortora, M.; Cavalieri, F.; Mosesso, P.; Ciaffardini, F.; Melone, F.; Crestini, C. Ultrasound driven assembly of lignin into microcapsules for storage and delivery of hydrophobic molecules. Biomacromolecules 2014, 15, 1634–1643. [Google Scholar] [CrossRef] [PubMed] [Green Version]
- Rocca, D.M.; Vanegas, J.P.; Fournier, K.; Becerra, M.C.; Scaiano, J.C.; Lanterna, A.E. Biocompatibility and photo-induced antibacterial activity of lignin-stabilized noble metal nanoparticles. RSC Adv. 2018, 8, 40454–40463. [Google Scholar] [CrossRef] [Green Version]
- Pangeni, R.; Sahni, J.K.; Ali, J.; Sharma, S.; Baboota, S. Resveratrol: Review on therapeutic potential and recent advances in drug delivery. Exp. Opin. Drug Del. 2014, 11, 1285–1298. [Google Scholar] [CrossRef] [PubMed]
- Chai, Y.; Wang, Y.; Li, B.; Qi, W.; Su, R.; He, Z. Microfluidic Synthesis of Lignin/Chitosan Nanoparticles for the pH-Responsive Delivery of Anticancer Drugs. Langmuir 2021, 37, 7219–7226. [Google Scholar] [CrossRef] [PubMed]
- Siddiqui, L.; Bag, J.; Mittal, D.; Leekha, A.; Mishra, H.; Mishra, M.; Verma, A.K.; Mishra, P.K.; Ekielski, A.; Iqbal, Z.; et al. Assesing the potential of lignin nanoparticles as drug carrier: Synthesis, Cytotoxicity, and genotoxicity studies. Int. J. Biol. Macromol. 2020, 152, 786–802. [Google Scholar] [CrossRef] [PubMed]
- Mingsong, Z.; Wang, D.; Yang, D.; Qiu, X.; Li, Y. Avermectin loaded nanosphere prepared from acylated Alkali Lignin Showed anti-photolysis property and controlled release performance. Ind. Crop. Prod. 2019, 137, 453–459. [Google Scholar] [CrossRef]
- Peng, R.; Yang, D.; Qiu, X.; Qin, Y.; Zhou, M. Preparation of self-dispersed lignin-based drug loaded material and its application in Avermectin nano-formulation. Int. J. Biol. Macromol. 2020, 151, 421–427. [Google Scholar] [CrossRef]
- Zhaleh, P.; Hasan, S.; Guihua, Y.; Lucian, L. Cholesterol-modified lignin: A new avenue for green nanoparticles, meltable materials and drug delivery. Colloids Surf. B Biointerfaces 2020, 186, 110685. [Google Scholar] [CrossRef]
- Figueiredo, P.; Kalle, L.; Alexandros, K.; Ville, H.; Zehua, L.; Ramos, T.B.; Anti, R.; Alexandra, C.; Kohout, T.; Kauhakuoma, J.Y.; et al. In vitro evaluation of biodegradable lignin-based nanoparticles for drug delivery and enhanced antiproliferation effect in cancer cell. Biomaterials 2017, 121, 97–108. [Google Scholar] [CrossRef]
- Marulasiddeshwara, M.B.; Dakshayani, S.S.; Shartah, K.; Chethana, R.; Raghavendra, P.; Devaraja, S. Facile-one pot-green syntesis, antibacterial, antifungal, antioxidant, and antiplatelet activities of lignin capped silver nanoparticles: A promising therapeutic agent. Mater. Sci. Eng. C 2020, 81, 182–190. [Google Scholar] [CrossRef]
- Zikeli, F.; Vinciguerra, V.; Sennato, S.; Mugnozza, G.S.; Romagnoli, M. Preparation of Lignin Nanoparticles with Entrapped Essential Oil as Bio-Based Biocide Delivery System. ACS Omega 2020, 5, 358–368. [Google Scholar] [CrossRef]
- Wang, M.; Yang, D.; Xu, Q.; Li, P.; Yi, C.; Qian, Y.; Qiu, X. Highly efficient evaporation method to prepare pH-responsive lignin-hollow-nanosphere with controllable size and its application in oral drug delivery. Ind. Crop. Prod. 2021, 162, 113230. [Google Scholar] [CrossRef]
- Zhao, J.; Zheng, D.; Tao, Y.; Li, Y.; Wang, L.; Liu, W.; He, J.; Lei, J. Self-assembled pH-responsive polymeric nanoparticles based on lignin-histidine conjugate with small particle size for efficient delivery of anti-tumor drugs. Biochem. Eng. J. 2020, 156, 107526. [Google Scholar] [CrossRef]
- Li, B.; Xia, X.; Chen, J.; Xia, D.; Xu, R.; Zou, X.; Wang, H.; Liang, C. Paclitaxel-loaded lignin particle encapsulated into electrospun PVA/PVP composite nanofiber for effective cervical cancer cell inhibition. Nanotechnology 2021, 32, 015101. [Google Scholar] [CrossRef] [PubMed]
- Wang, Y.; Li, Z.; Yang, D.; Qiu, X.; Xie, Y.; Zhang, X. Microwave-mediated fabrication of silver nanoparticles incorporated lignin-based composites with enhanced antibacterial activity via electrostatic capture effect. J. Colloid Interface Sci. 2021, 583, 80–88. [Google Scholar] [CrossRef] [PubMed]
- Bajwa, D.S.; Pourhashem, G.; Ullah, A.H.; Bajwa, S.G. A concise review of current lignin production, applications, products and their environment impact. Ind. Crop. Prod. 2019, 139, 111526. [Google Scholar] [CrossRef]
- Dessbesell, L.; Paleologou, M.; Leitch, M.; Pulkki, R.; Xu, C. Global lignin supply overview and kraft lignin potential as an alternative for petroleum-based polymers. Renew. Sustain. Energy Rev. 2020, 123, 109768. [Google Scholar] [CrossRef]
- Suota, M.J.; Kochepka, D.M.; Ganter Moura, M.G.; Pirich, C.L.; Matos, M.; Magalhães, W.L.E.; Ramos, L.P. Lignin functionalization strategies and the potential applications of its derivatives—A Review. BioResources 2021, 16, 6471–6511. [Google Scholar] [CrossRef]











| Carrier Material | Lignin Source | Active Substance | Reference |
|---|---|---|---|
| Magnetic LNPs | Alkali Lignin | Resveratrol (RSV) | [14] |
| Lignin/chitosan NPs | Corncob lignin (formic acid pretreatment) | Curcumin (CCM), Docetaxel (DTX) | [77] |
| Blank LNPs | Kraft Lignin | Irinotecan | [78] |
| Acetylated and Benzoylated LNPs | Pine Alkali Lignin | Avermectin (AVM) | [79] |
| Sodium lignosulfonate-cetrimonium bromide NPs | Alkali Lignin | Avermectin (AVM) | [80] |
| High and Low molecular weight LNPs | Kraft Lignin | Cholesteryl chloroformate (CholCl) | [81] |
| LNPs, Iron (III)-complexed LNPs and Fe3O4-infused LNPs | Softwood Kraft lignin | Benzazulene (BZL), Sorafenib (SFN), Capecitabine(CAP) | [82] |
| High molecular weight LNPs | Alkali Lignin | Silver (Ag+) | [83] |
| LNPs | Acidolysis lignin from beech wood sawdust | Essential Oils | [84] |
| LNPs | Alkali lignin | Ibuprofen (IBU) | [85] |
| Lignin-histidine conjugate NPs | Aminated Lignin | 10-hydroxycamptothecin | [86] |
| Quaternized LNPs | Alkali lignin | Silver nanoparticles (AgNPs) | [87] |
| LNPs into poly (vinyl alcohol)/polyvinyl pyrrolidone nanofibrous membrane | Not available | Paclitaxel | [88] |
| EO-LNPs Carrier | EO (mg/mL) | Lignin (mg/mL) | DLE (%) | DLC (%) |
|---|---|---|---|---|
| Cinnamon bark | 4.7 | 15.0 | 35.5 | 29.6 |
| Common thyme | 9.1 | 14.0 | 70.0 | 60.2 |
| Wild thyme | 7.7 | 14.3 | 60.7 | 43.9 |
| Lignin Type | Source | Application | Characteristics | Solubility | MW (Da) | Aliphatic OH (%) | Phenolic OH (%) | N (%) | S (%) | PDI |
|---|---|---|---|---|---|---|---|---|---|---|
| Soda |
|
|
| Alkali | 1300–10,400 | 2.5–3.1 | 4.4 | 0.17 | 0 | 2.5–3.5 |
| Organosolv |
|
|
| Organic solvents | 4100–10,800 | 3.2–3.5 | 2.7 | 0.02 | 0 | 1.5–2.5 |
| Lignosulfonate |
|
|
| Water | 12,000–60,000 | - | 2.0 | 0.02 | 3.5–8 | 6–8 |
| Kraft |
|
|
|
| 3700–19,800 | 9.8–10.1 | 4.5 | 0.05 | 1–3 | 2.5–3.5 |
Publisher’s Note: MDPI stays neutral with regard to jurisdictional claims in published maps and institutional affiliations. |
© 2022 by the authors. Licensee MDPI, Basel, Switzerland. This article is an open access article distributed under the terms and conditions of the Creative Commons Attribution (CC BY) license (https://creativecommons.org/licenses/by/4.0/).
Share and Cite
Verdini, F.; Gaudino, E.C.; Canova, E.; Tabasso, S.; Behbahani, P.J.; Cravotto, G. Lignin as a Natural Carrier for the Efficient Delivery of Bioactive Compounds: From Waste to Health. Molecules 2022, 27, 3598. https://doi.org/10.3390/molecules27113598
Verdini F, Gaudino EC, Canova E, Tabasso S, Behbahani PJ, Cravotto G. Lignin as a Natural Carrier for the Efficient Delivery of Bioactive Compounds: From Waste to Health. Molecules. 2022; 27(11):3598. https://doi.org/10.3390/molecules27113598
Chicago/Turabian StyleVerdini, Federico, Emanuela Calcio Gaudino, Erica Canova, Silvia Tabasso, Paria Jafari Behbahani, and Giancarlo Cravotto. 2022. "Lignin as a Natural Carrier for the Efficient Delivery of Bioactive Compounds: From Waste to Health" Molecules 27, no. 11: 3598. https://doi.org/10.3390/molecules27113598
APA StyleVerdini, F., Gaudino, E. C., Canova, E., Tabasso, S., Behbahani, P. J., & Cravotto, G. (2022). Lignin as a Natural Carrier for the Efficient Delivery of Bioactive Compounds: From Waste to Health. Molecules, 27(11), 3598. https://doi.org/10.3390/molecules27113598

