Bio-Potency and Molecular Docking Studies of Isolated Compounds from Grewia optiva J.R. Drumm. ex Burret
Abstract
1. Introduction
2. Results
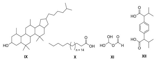
2.1. Spectroscopic Analysis of Isolated Compounds
2.2. Antioxidant Potential of Isolated Compounds
2.3. Inhibition of Cholinesterases
2.4. Effect of Isolated Compounds on the Activity of α-Glucosidase and α-Amylase
2.5. Molecular Docking Studies
3. Discussion
4. Materials and Methods
4.1. Plant Collection and Identification
4.2. Extraction and Fractionation
4.3. Determination of Free Radical Scavenging Activities
4.4. Determination of Anticholinesterase Activities
4.5. Effect on the Activity of α-Glucosidase
4.6. Effect on the Activity of α-Amylase
4.7. Molecular Docking Simulations
5. Conclusions
Supplementary Materials
Author Contributions
Funding
Institutional Review Board Statement
Informed Consent Statement
Data Availability Statement
Acknowledgments
Conflicts of Interest
Sample Availability
References
- Uddin, G.; Ullah, W.; Siddiqui, B.S.; Shah, S.Q. Grewialin and optivanin new constituents from the stem bark of Grewia optiva Drummond ex Burret (Tiliaceae). Nat. Prod. Res. 2013, 27, 215–220. [Google Scholar] [CrossRef] [PubMed]
- Anwar, J. Antioxidant activity and phytochemical screening of stem bark extracts of Grewia optiva Drummond ex Burret. J. Pharm. Phytochem. 2015, 3, 179–182. [Google Scholar]
- Ahamed, M.B.K.; Krishna, V.; Dandin, C.J.; Krishna, V.; Dandin, C.J. In vitro antioxidant and in vivo prophylactic effects of two lactones isolated from Grewia tiliaefolia against hepatotoxicity in carbon tetrachloride intoxicated rats. European J. Pharmacol. 2010, 31, 42–52. [Google Scholar] [CrossRef] [PubMed]
- Joshi, A.; Bhobe, M.; Sattarkar, A. Phytochemical investigation of the roots of Grewia microcosLinn. J. Chem. Pharm. Res. 2013, 5, 80–87. [Google Scholar]
- Abirami, N.; Natarajan, B. Isolation and Characterization of (4Z, 12Z) Cyclopentadeca-4, 12-Dienone from Indian Medicinal Plant Grewia hirsuta and its Hyperglycemic Effect on 3T3 and L6 Cell Lines. Int. J. Pharm. Phyto. Res. 2014, 6, 393–398. [Google Scholar]
- Ali, H.A.; Salih, S.A.; Ahmed, O.E.; Hamza, A.A. Biological activity and phytochemical profiling of Gewia tenax stem bark extracts. IJBPAS 2017, 6, 1181–1194. [Google Scholar]
- Bari, W.U.; Zahoor, M.; Zeb, A.; Khan, I.; Nazir, Y.; Khan, A.; Rehman, N.U.; Ullah, R.; Shahat, A.A.; Mahmood, H.M. Anticholinesterase, antioxidant potentials, and molecular docking studies of isolated bioactive compounds from Grewia optiva. Int. J. Food Prop. 2019, 22, 1386–1396. [Google Scholar] [CrossRef]
- Bari, W.; Zahoor, M.; Zeb, A.; Khyam, S.U.; Ullah, R.; Shahat, A.A.; Mahmood, H.M.; Khan, I. Isolation, pharmacological evaluation and molecular docking studies of bioactive compounds from Grewia optiva. Drug Des. Devel. Ther. 2019, 13, 3029–3036. [Google Scholar] [CrossRef]
- Zahoor, M.; Bari, W.U.; Zeb, A.; Khan, I. Toxicological, anticholinesterase, antilipidemic, antidiabetic and antioxidant potentials of Grewia optiva Drummond ex Burret extracts. J. Basic Clin. Physiol. Pharmacol. 2020, 31. [Google Scholar] [CrossRef]
- Qi, L.W.; Liu, E.H.; Chu, C.; Peng, Y.B.; Cai, H.X.; Li, P. Anti–diabetic agents fromnatural products—An update from 2004 to 2009. Curr. Top. Med. Chem. 2010, 10, 434–457. [Google Scholar] [CrossRef]
- Rehman, N.U.; Khan, A.; Al-Harrasi, A.; Hussain, H.; Wadood, A.; Riaz, M.; Al-Abri, Z. New α-glucosidase inhibitors from the resins of Boswellia species with structure–glucosidase activity and molecular docking studies. Bioorg. Chem. 2018, 79, 27–33. [Google Scholar] [CrossRef]
- Ur Rehman, N.; Halim, S.A.; Al-Azri, M.; Khan, M.; Khan, A.; Rafiq, K.; Al-Rawahi, A.; Csuk, R.; Al-Harrasi, A. Triterpenic Acids as Non-Competitive α-Glucosidase Inhibitors from Boswellia elongata with Structure-Activity Relationship: In Vitro and In Silico Studies. Biomolecules 2020, 10, 751. [Google Scholar] [CrossRef] [PubMed]
- Al-Hosni, S.; Rizvi, T.S.; Khan, A.; Ali, L.; Rehman, N.U.; Rashid, U.; Hussian, J.; Khan, A.L.; Al-Harrasi, A. Diketopeprazin and Methyl-5-docosenoate from endophytic fungi Aureobasidium pollulan BSS6 with α-Glucosidase inhibition and its validation through molecular docking. S. Afr. J. Bot. 2020, 134, 322–328. [Google Scholar]
- Rizvi, T.S.; Hussain, I.; Ali, L.; Mabood, F.; Khan, A.L.; Shujah, S.; Rehman, N.U.; Al-Harrasi, A.; Hussain, J.; Khan, A.; et al. New gorgonane sesquiterpenoid from Teucrium mascatense Boiss, as α-glucosidase inhibitor. S. Afr. J. Bot. 2019, 124, 218–222. [Google Scholar] [CrossRef]
- Ur Rehman, N.; Rafiq, K.; Khan, A.; Ahsan Halim, S.; Ali, L.; Al-Saady, N.; Hilal Al-Balushi, A.; Al-Busaidi, H.K.; Al-Harrasi, A. α-Glucosidase inhibition and molecular docking studies of natural brominated metabolites from marine macro brown alga Dictyopteris hoytii. Mar. Drugs. 2019, 17, 666. [Google Scholar] [CrossRef]
- Franco, R.; Navarro, G.; Martínez-Pinilla, E. Antioxidants versus food antioxidant additives and food preservatives. Antioxidants 2019, 8, 542. [Google Scholar] [CrossRef] [PubMed]
- Hamid, A. Acetylcholinesterase inhibition and in vitro and in vivo antioxidant activities of Ganoderma lucidum grown on germinated brown rice. Afr. J. Pure Appl. Chem. 2010, 16, 6663–6678. [Google Scholar]
- Pieme, C.A.; Penlap, V.N.; Ngogang, J.; Costache, M. In vitro cytotoxicity and antioxidant activities of five medicinal plants of Malvaceae family from Cameroon. Environ. Toxicol. Pharmacol. 2010, 29, 223–228. [Google Scholar] [CrossRef]
- Sawadogo, W.R.; Maciuk, A.; Banzouzi, J.T.; Champy, P.; Figadere, B.; Guissou, I.P.; Nacoulma, O.G. Mutagenic effect, antioxidant and anticancer activities of six medicinal plants from Burkina Faso. Nat. Prod. Res. 2012, 26, 575–579. [Google Scholar] [CrossRef]
- Zhang, L. Antioxidant and anti-inflammatory activities of selected medicinal plants containing phenolic and flavonoid compounds. J. Agric. Food Chem. 2011, 59, 12361–12367. [Google Scholar] [CrossRef]
- Suryanti, V.; Marliyana, S.D.; Putri, H.E. Effect of germination on antioxidant activity, total phenolics, β -carotene, ascorbic acid and α -tocopherol contents of lead tree sprouts. Int. Food Res. J 2016, 23, 167–172. [Google Scholar]
- Ahmad, W.; Ijaz, B.; Shabbiri, K.; Ahmed, F.; Rehman, S. Oxidative toxicity in diabetes and Alzheimer’s disease: Mechanisms behind ROS/RNS generation. J. Biomed. Sci. 2017, 24, 76. [Google Scholar] [CrossRef] [PubMed]
- Ovais, M. HPLC-DAD finger printing, antioxidant, cholinesterase, and α-glucosidase in- hibitory potentials of a novel plant Olax nana. BMC Complement. Altern. Med. 2018, 18, 1. [Google Scholar] [CrossRef]
- Pintus, F. New insights into highly potent tyrosinase inhibitors based on 3- heteroarylcoumarins: Anti-melanogenesis and antioxidant activities, and computational molecular modeling studies. Bioorg. Med. Chem. 2017, 25, 1687–1695. [Google Scholar] [CrossRef] [PubMed]


| Compounds | Concentrations (μg/mL) | DPPH Percent Inhibition(Mean ± S.E.M) | DPPH IC50 (μg/mL) | ABTS Percent Inhibition(Mean ± S.E.M) | ABTS IC50 (μg/mL) |
|---|---|---|---|---|---|
| IX | 1000 | 80.21 ± 040 ns | 76 | 79.23 ± 1.01 ** | 76 |
| 500 | 72.19 ± 2.17 ** | 71.29 ± 1.11 ** | |||
| 250 | 64.11 ± 2.91 ** | 62.24 ± 2.30 *** | |||
| 125 | 57.29. ± 2.10 *** | 57.19 ± 2.01 ** | |||
| 62.5 | 47.85 ± 2.61 *** | 47.83 ± 2.26 ** | |||
| X | 1000 | 78.81 ± 2.10 ** | 95 | 78.03 ± 1.51 ** | 95 |
| 500 | 69.19 ± 2.27 ** | 68.99 ± 1.88 ** | |||
| 250 | 60.61 ± 0.71 ** | 60.11 ± 1.90 *** | |||
| 125 | 54.29. ± 2.32 *** | 54.13 ± 0.31 ** | |||
| 62.5 | 46.17 ± 3.01 *** | 46.01 ± 1.06 ** | |||
| XI | 1000 | 80.41 ± 2.16 *** | 95 | 79.17 ± 0.53 *** | 95 |
| 500 | 71.17 ± 2.14 ** | 70.15 ± 1.16 *** | |||
| 250 | 62.13 ± 1.08 *** | 61.04 ± 2.38 *** | |||
| 125 | 54.15 ± 1.28 *** | 54.30 ± 1.15 ** | |||
| 62.5 | 46.22 ± 0.60 *** | 46.23 ± 1.49 *** | |||
| XII | 1000 | 86.54 ±2.16 *** | 60 | 86.07 ± 1.43 *** | 62 |
| 500 | 78.17 ± 1.04 ** | 77.15 ± 1.06 *** | |||
| 250 | 71.13 ± 1.31 *** | 71.44 ± 2.11 *** | |||
| 125 | 61.75 ± 1.78 *** | 60.20 ± 3.05 *** | |||
| 62.5 | 51.02 ± 1.30 *** | 50.51 ± 1.19 ** | |||
| Ascorbic Acid | 1000 | 94.14 ± 1.76 | 35 | 93.07 ± 0.53 | 35 |
| 500 | 87.87 ± 1.64 | 83.45 ± 2.26 | |||
| 250 | 78.63 ± 1.48 | 75.14 ± 3.16 | |||
| 125 | 65.35 ± 1.08 | 63.30 ± 2.75 | |||
| 62.5 | 55.12 ± 1.30 | 55.41 ± 1.39 |
| Compounds | Concentrations (μg/mL) | Percent AChE (Mean ± SEM) | AChE IC50 (μg/mL) | Percent BChE (Mean ± SEM) | BChE IC50 (μg/mL) |
|---|---|---|---|---|---|
| IX | 1000 | 78.11 ± 0.61 ** | 90 | 78.03 ± 2.62 ** | 90 |
| 500 | 71.29 ± 1.37 ns | 70.19 ± 0.71 ** | |||
| 250 | 63.14 ± 1.51 ns | 62.97 ± 1.45 *** | |||
| 125 | 56.19. ±1.11 *** | 55.39 ± 1.01 ** | |||
| 62.5 | 45.95 ± 1.71 *** | 45.93 ± 1.26 ** | |||
| X | 1000 | 70.11 ± 1.40 ** | 130 | 69.13 ± 2.01 ** | 130 |
| 500 | 62.49 ± 1.37 ** | 61.97 ± 0.78 ** | |||
| 250 | 56.11 ± 1.51 ** | 55.51 ± 0.80 *** | |||
| 125 | 49.29 ± 2.32 *** | 49.13 ± 0.31 ** | |||
| 62.5 | 43.17 ± 3.01 *** | 43.01 ± 1.06 ** | |||
| XI | 1000 | 81.41 ± 2.51 ** | 75 | 81.31 ± 1.41 ** | 75 |
| 500 | 71.19 ± 2.42 ** | 71.23 ± 1.31 ** | |||
| 250 | 64.51 ± 3.04 ** | 63.73 ± 2.24 *** | |||
| 125 | 58.71. ± 2.00 *** | 57.15 ± 1.31 ** | |||
| 62.5 | 48.20 ± 3.34 *** | 48.02 ± 2.06 ** | |||
| XII | 1000 | 84.41 ± 1.36 *** | 55 | 93.89 ± 0.81 *** | 60 |
| 500 | 76.16 ± 1.01 *** | 85.14 ± 2.06 *** | |||
| 250 | 69.33 ± 1.38 *** | 77.08 ± 2.26 *** | |||
| 125 | 61.25 ± 1.71 *** | 64.42 ± 1.85 *** | |||
| 62.5 | 52.45 ± 1.47 *** | 50.43 ± 1.11 *** | |||
| Galanthamine | 1000 | 94.11 ± 1.56 | 40 | 93.89 ± 0.81 | 40 |
| 500 | 86.17 ± 1.50 | 85.14 ± 2.06 | |||
| 250 | 77.13 ± 1.08 | 77.08 ± 2.26 | |||
| 125 | 64.15 ± 2.70 | 64.42 ± 1.85 | |||
| 62.5 | 94.11 ± 1.56 | 93.89 ± 0.81 |
| Compounds | Concentrations (μg/mL) | Percent Inhibition of α-Glucosidase (Mean ± S.E.M) | IC50 (μg/mL) | Percent Inhibition of α-Amylase (Mean ± S.E.M) | IC50 (μg/mL) |
|---|---|---|---|---|---|
| IX | 1000 | 71.11 ± 1.41 *** | 120 | 70.21 ± 1.91 *** | 122 |
| 500 | 66.19 ± 1.21 *** | 65.13 ± 1.43 *** | |||
| 250 | 60.11 ± 3.23 *** | 59.14 ± 0.82 *** | |||
| 125 | 51.71 ± 1.91 *** | 50.61 ± 1.52 *** | |||
| 62.5 | 41.75 ± 1.61 ns | 40.13 ± 1.27 ** | |||
| X | 1000 | 70.29 ± 1.13 *** | 125 | 70.29 ± 1.13 *** | 125 |
| 500 | 65.19 ± 1.28 *** | 65.19 ± 1.28 *** | |||
| 250 | 59.11 ± 2.13 **** | 59.11 ± 2.13 *** | |||
| 125 | 50.11 ± 1.31 *** | 50.11 ± 1.31 *** | |||
| 62.5 | 40.70 ± 1.01 *** | 40.01 ± 2.06 ns | |||
| XI | 1000 | 82.29 ± 1.13 *** | 100 | 81.90 ± 0.73 *** | 98 |
| 500 | 72.21 ± 1.21 *** | 70.91 ± 2.11 *** | |||
| 250 | 60.11 ± 1.82 *** | 63.21 ± 1.69 *** | |||
| 125 | 53.73 ± 1.31 *** | 54.13 ± 2.17 *** | |||
| 62.5 | 42.12 ± 1.63 *** | 46.98 ± 2.49 *** | |||
| XII | 1000 | 81.14 ± 1.06 *** | 90 | 79.07 ± 1.43 *** | 92 |
| 500 | 75.11 ± 2.04 *** | 74.25 ± 1.06 *** | |||
| 250 | 69.13 ± 2.01 *** | 66.94 ± 1.11 *** | |||
| 125 | 58.05 ± 1.78 *** | 56.10 ± 2.05 *** | |||
| 62.5 | 46.02 ± 1.30 *** | 47.51 ± 1.19 *** | |||
| Acarbose | 1000 | 93.72 ± 1.03 | 70 | 92.12 ± 0.83 | 75 |
| 500 | 78.61 ± 1.10 | 77.11 ± 1.41 | |||
| 250 | 67.16 ± 1.58 | 66.37 ± 1.18 | |||
| 125 | 58.73 ± 1.09 | 57.03 ± 1.19 | |||
| 62.5 | 48.76 ± 2.20 | 48.13 ± 2.09 |
Publisher’s Note: MDPI stays neutral with regard to jurisdictional claims in published maps and institutional affiliations. |
© 2021 by the authors. Licensee MDPI, Basel, Switzerland. This article is an open access article distributed under the terms and conditions of the Creative Commons Attribution (CC BY) license (https://creativecommons.org/licenses/by/4.0/).
Share and Cite
Ul Bari, W.; Ur Rehman, N.; Khan, A.; Ahsan Halim, S.; Yuan, Y.; Blaskovich, M.A.T.; Ziora, Z.M.; Zahoor, M.; Naz, S.; Ullah, R.; et al. Bio-Potency and Molecular Docking Studies of Isolated Compounds from Grewia optiva J.R. Drumm. ex Burret. Molecules 2021, 26, 2019. https://doi.org/10.3390/molecules26072019
Ul Bari W, Ur Rehman N, Khan A, Ahsan Halim S, Yuan Y, Blaskovich MAT, Ziora ZM, Zahoor M, Naz S, Ullah R, et al. Bio-Potency and Molecular Docking Studies of Isolated Compounds from Grewia optiva J.R. Drumm. ex Burret. Molecules. 2021; 26(7):2019. https://doi.org/10.3390/molecules26072019
Chicago/Turabian StyleUl Bari, Wasim, Najeeb Ur Rehman, Ajmal Khan, Sobia Ahsan Halim, Ye Yuan, Mark A.T. Blaskovich, Zyta M. Ziora, Muhammad Zahoor, Sumaira Naz, Riaz Ullah, and et al. 2021. "Bio-Potency and Molecular Docking Studies of Isolated Compounds from Grewia optiva J.R. Drumm. ex Burret" Molecules 26, no. 7: 2019. https://doi.org/10.3390/molecules26072019
APA StyleUl Bari, W., Ur Rehman, N., Khan, A., Ahsan Halim, S., Yuan, Y., Blaskovich, M. A. T., Ziora, Z. M., Zahoor, M., Naz, S., Ullah, R., Alotaibi, A., & Al-Harrasi, A. (2021). Bio-Potency and Molecular Docking Studies of Isolated Compounds from Grewia optiva J.R. Drumm. ex Burret. Molecules, 26(7), 2019. https://doi.org/10.3390/molecules26072019

