Slow Relaxation of the Magnetization in Anilato-Based Dy(III) 2D Lattices
Abstract
1. Introduction
2. Results
2.1. Synthesis
2.2. X-ray Crystal Structure
2.2.1. Structure of [Dy2(C6O4H2)3(dmso)2(H2O)2]·2dmso·18H2O (1)
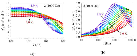
2.2.2. Structure of [Dy2(C6O4Cl2)3(dmso)4]·2dmso·2H2O (2)
3. Discussion
3.1. Structural Comparison of Compounds [Dy2(C6O4H2)3(dmso)2(H2O)2]·2dmso·18H2O (1), [Dy2(C6O4Cl2)3(dmso)4]·2dmso·2H2O (2), [Dy2(C6O4(CN)Cl)3(dmso)6] (3) and [Dy2(C6O4Br2)3(dmso)4]·2dmso·2H2O (4)
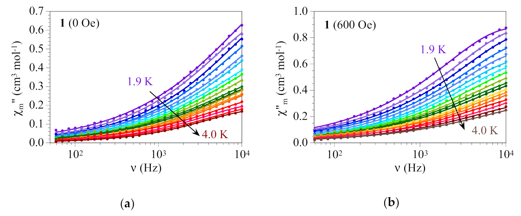
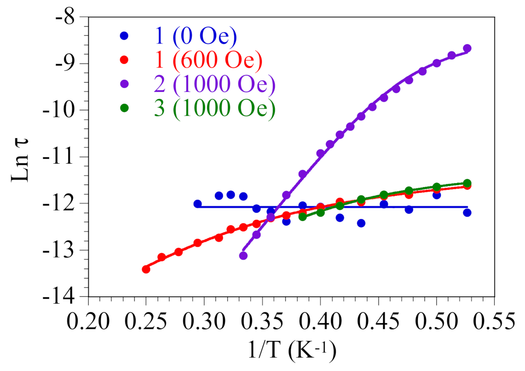
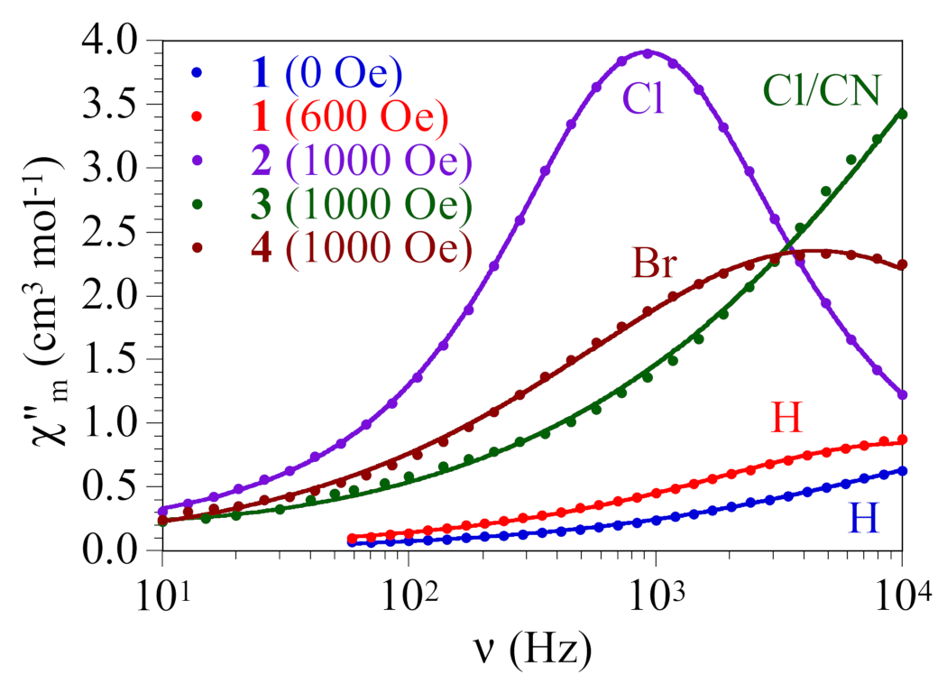
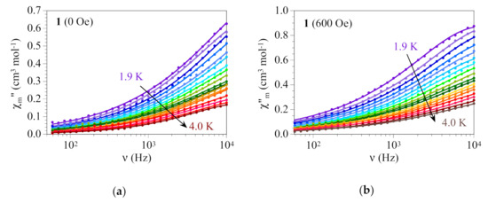
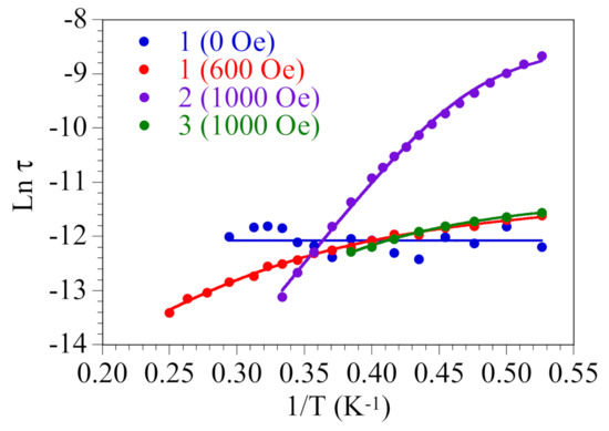
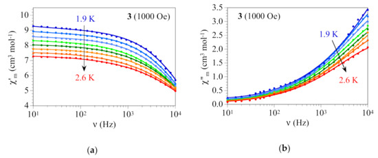
3.2. Magnetic Properties of Compounds 1–4
4. Materials and Methods
4.1. Synthesis of Compounds 1–3
4.1.1. Synthesis of [Dy2(C6O4H2)3(dmso)2(H2O)2]·2dmso·18H2O (1)
4.1.2. Synthesis of [Dy2(C6O4Cl2)3(dmso)4]·2dmso·2H2O (2)
4.1.3. Synthesis of [Dy2(C6O4(CN)Cl2)3(dmso)6] (3)
4.2. X-ray Single Crystal Structure Determination
4.3. X-ray Powder Diffraction
4.4. Magnetic Measurements
4.5. Infrared Spectrospcopy
5. Conclusions
Supplementary Materials
Author Contributions
Funding
Institutional Review Board Statement
Informed Consent Statement
Data Availability Statement
Conflicts of Interest
References
- Sessoli, R.; Gatteschi, D.; Caneschi, A.; Novak, M.A. Magnetic Bistability in a Metal-Ion Cluster. Nature 1993, 365, 141–143. [Google Scholar] [CrossRef]
- Bagai, R.; Christou, G. The Drosophila of Single-Molecule Magnetism: [Mn12O12(O2CR)16(H2O)4]. Chem. Soc. Rev. 2009, 38, 1011–1026. [Google Scholar] [CrossRef]
- Ishikawa, N.; Sugita, M.; Ishikawa, T.; Koshihara, S.Y.; Kaizu, Y. Lanthanide Double-Decker Complexes Functioning as Magnets at the Single-Molecular Level. J. Am. Chem. Soc. 2003, 125, 8694–8695. [Google Scholar] [CrossRef]
- Sessoli, R.; Powell, A.K. Strategies towards Single Molecule Magnets Based on Lanthanide Ions. Coord. Chem. Rev. 2009, 253, 2328–2341. [Google Scholar] [CrossRef]
- Rinehart, J.D.; Long, J.R. Exploiting Single-Ion Anisotropy in the Design of f-Element Single-Molecule Magnets. Chem. Sci. 2011, 2, 2078–2085. [Google Scholar] [CrossRef]
- Liddle, S.T.; van Slageren, J. Improving f-Element Single Molecule Magnets. Chem. Soc. Rev. 2015, 44, 6655–6669. [Google Scholar] [CrossRef] [PubMed]
- Goodwin, C.A.P.; Ortu, F.; Reta, D.; Chilton, N.F.; Mills, D.P. Molecular Magnetic Hysteresis at 60 Kelvin in Dysprosocenium. Nature 2017, 548, 439–442. [Google Scholar] [CrossRef]
- Liu, J.L.; Chen, Y.C.; Tong, M.L. Symmetry Strategies for High Performance Lanthanide-Based Single-Molecule Magnets. Chem. Soc. Rev. 2018, 47, 2431–2453. [Google Scholar] [CrossRef] [PubMed]
- Yoo, J.; Wernsdorfer, W.; Yang, E.C.; Nakano, M.; Rheingold, A.L.; Hendrickson, D.N. One-Dimensional Chain of Tetranuclear Manganese Single-Molecule Magnets. Inorg. Chem. 2005, 44, 3377–3379. [Google Scholar] [CrossRef]
- Lecren, L.; Roubeau, O.; Coulon, C.; Li, Y.G.; Le Goff, X.F.; Wernsdorfer, W.; Miyasaka, H.; Clerac, R. Slow Relaxation in a One-Dimensional Rational Assembly of Antiferromagnetically Coupled [Mn4] Single-Molecule Magnets. J. Am. Chem. Soc. 2005, 127, 17353–17363. [Google Scholar] [CrossRef]
- Lin, P.; Gorelsky, S.; Savard, D.; Burchell, T.J.; Wernsdorfer, W.; Clerac, R.; Murugesu, M. Synthesis, Characterisation and Computational Studies on a Novel One-Dimensional Arrangement of Schiff-Base Mn-3 Single-Molecule Magnet. Dalton Trans. 2010, 39, 7650–7658. [Google Scholar] [CrossRef] [PubMed]
- Haryono, M.; Kalisz, M.; Sibille, R.; Lescouezec, R.; Fave, C.; Trippe-Allard, G.; Li, Y.; Seuleiman, M.; Rousseliere, H.; Balkhy, A.M.; et al. One Dimensional Assembly of Mn6 Single Molecule Magnets Linked by Oligothiophene Bridges. Dalton Trans. 2010, 39, 4751–4756. [Google Scholar] [CrossRef] [PubMed]
- Tsai, H.; Yang, C.; Wernsdorfer, W.; Huang, S.; Jhan, S.; Liu, M.; Lee, G. Mn-4 Single-Molecule-Magnet-Based Polymers of a One-Dimensional Helical Chain and a Three-Dimensional Network: Syntheses, Crystal Structures, and Magnetic Properties. Inorg. Chem. 2012, 51, 13171–13180. [Google Scholar] [CrossRef]
- Dhers, S.; Feltham, H.L.C.; Clerac, R.; Brooker, S. Design of One-Dimensional Coordination Networks from a Macrocyclic {3d-4f} Single-Molecule Magnet Precursor Linked by [W(CN)8]3− Anions. Inorg. Chem. 2013, 52, 13685–13691. [Google Scholar] [CrossRef]
- Ghosh, S.; Ida, Y.; Ishida, T.; Ghosh, A. Linker Stoichiometry-Controlled Stepwise Supramolecular Growth of a Flexible Cu2Tb Single Molecule Magnet from Monomer to Dimer to One-Dimensional Chain. Cryst. Growth Des. 2014, 14, 2588–2598. [Google Scholar] [CrossRef]
- Li, R.; Liu, Q.; Wang, Y.; Liu, C.; Liu, S. Evolution from Linear Tetranuclear Clusters into One-Dimensional Chains of Dy(III) Single-Molecule Magnets with an Enhanced Energy Barrier. Inorg. Chem. Front. 2017, 4, 1149–1156. [Google Scholar] [CrossRef]
- Dey, A.; Das, S.; Kundu, S.; Mondal, A.; Rouzieres, M.; Mathoniere, C.; Clerac, R.; Narayanan, R.S.; Chandrasekhar, V. Heterometallic Heptanuclear [Cu5Ln2] (Ln = Tb, Dy, and Ho) Single-Molecule Magnets Organized in One-Dimensional Coordination Polymeric Network. Inorg. Chem. 2017, 56, 14612–14623. [Google Scholar] [CrossRef]
- Long, Q.; Hu, Z.; Wang, H.; Yin, C.; Chen, Y.; Song, Y.; Zhang, Z.; Xia, B.; Pan, Z. Field-Induced Single Molecule Magnet Behavior of a DyIIINaI One-Dimensional Chain Extended by Acetate Ions. Inorg. Chem. Commun. 2018, 98, 127–131. [Google Scholar] [CrossRef]
- Zhong, L.; Chen, W.; Li, X.; Ouyang, Z.; Yang, M.; Zhang, Y.; Gao, S.; Dong, W. Four Dinuclear and One-Dimensional-Chain Dysprosium and Terbium Complexes Based on 2-Hydroxy-3-Methoxybenzoic Acid: Structures, Fluorescence, Single-Molecule-Magnet, and Ab Initio Investigation. Inorg. Chem. 2020, 59, 4414–4423. [Google Scholar] [CrossRef] [PubMed]
- Peng, G.; Chen, Y.; Li, B. One-Dimensional Lanthanide Coordination Polymers Supported by Pentadentate Schiff-Base and Diphenyl Phosphate Ligands: Single Molecule Magnet Behavior and Photoluminescence. New J. Chem. 2020, 44, 7270–7276. [Google Scholar] [CrossRef]
- Hojorat, M.; Al Sabea, H.; Norel, L.; Bernot, K.; Roisnel, T.; Gendron, F.; Guennic, B.L.; Trzop, E.; Collet, E.; Long, J.R.; et al. Hysteresis Photomodulation Via Single-Crystal-to-Single-Crystal Isomerization of a Photochromic Chain of Dysprosium Single-Molecule Magnets. J. Am. Chem. Soc. 2020, 142, 931–936. [Google Scholar] [CrossRef] [PubMed]
- Miyasaka, H.; Nakata, K.; Lecren, L.; Coulon, C.; Nakazawa, Y.; Fujisaki, T.; Sugiura, K.; Yamashita, M.; Clerac, R. Two-Dimensional Networks Based on Mn-4 Complex Linked by Dicyanamide Anion: From Single-Molecule Magnet to Classical Magnet Behavior. J. Am. Chem. Soc. 2006, 128, 3770–3783. [Google Scholar] [CrossRef]
- Jeon, I.; Ababei, R.; Lecren, L.; Li, Y.; Wernsdorfer, W.; Roubeau, O.; Mathoniere, C.; Clerac, R. Two-Dimensional Assembly of [(Mn2Mn2II)-MnIII] Single-Molecule Magnets and [Cu(Pic)2] Linking Units (Hpic = Picolinic Acid). Dalton Trans. 2010, 39, 4744–4746. [Google Scholar] [CrossRef]
- Kachi-Terajima, C.; Mori, E.; Eiba, T.; Saito, T.; Kanadani, C.; Kitazawa, T.; Miyasaka, H. Mn(III) Salen-Type Single-Molecule Magnet Fixed in a Two-Dimensional Network. Chem. Lett. 2010, 39, 94–95. [Google Scholar] [CrossRef]
- Katsenis, A.D.; Inglis, R.; Prescimone, A.; Brechin, E.K.; Papaefstathiou, G.S. Two-Dimensional Frameworks Built from Single-Molecule Magnets. Crystengcomm 2012, 14, 1216–1218. [Google Scholar] [CrossRef]
- Liu, Y.; Chen, Z.; Ren, J.; Zhao, X.; Cheng, P.; Zhao, B. Two-Dimensional 3d-4f Networks Containing Planar Co4Ln2 Clusters with Single-Molecule-Magnet Behaviors. Inorg. Chem. 2012, 51, 7433–7435. [Google Scholar] [CrossRef] [PubMed]
- Alexandru, M.; Visinescu, D.; Shova, S.; Lloret, F.; Julve, M.; Andruh, M. Two-Dimensional Coordination Polymers Constructed by [NiIILnIII] Nodes and [WIV(Bpy)(CN)6]2− Spacers: A Network of [(NiDyIII)-DyIII] Single Molecule Magnets. Inorg. Chem. 2013, 52, 11627–11637. [Google Scholar] [CrossRef]
- Dey, A.; Das, S.; Palacios, M.A.; Colacio, E.; Chandrasekhar, V. Single-Molecule Magnet and Magnetothermal Properties of Two-Dimensional Polymers Containing Heterometallic [Cu5Ln2] (Ln = GdIII and DyIII) Motifs. Eur. J. Inorg. Chem. 2018, 1645–1654. [Google Scholar] [CrossRef]
- Kachi-Terajima, C.; Eiba, T.; Ishii, R.; Miyasaka, H.; Kodama, Y.; Saito, T. Spin Ice-Like Magnetic Relaxation of a Two-Dimensional Network Based on Manganese(III) Salen-Type Single-Molecule Magnets. Angew. Chem. Inter. Ed. 2020, 59, 22048–22053. [Google Scholar] [CrossRef]
- Chen, Q.; Li, J.; Meng, Y.; Sun, H.; Zhang, Y.; Sun, J.; Gao, S. Tuning Slow Magnetic Relaxation in a Two-Dimensional Dysprosium Layer Compound through Guest Molecules. Inorg. Chem. 2016, 55, 7980–7987. [Google Scholar] [CrossRef]
- Zhang, J.; Man, Y.; Liu, W.; Liu, B.; Dong, Y. A Dy2 Dimer Derived from a Two-Dimensional Network with a High Ueff Value. Dalton Trans. 2019, 48, 2560–2563. [Google Scholar] [CrossRef] [PubMed]
- Huang, L.; Zhang, Y.; Liu, Z.; Wang, X.; Zhao, X.; Yang, E. Two Isostructural Layered Lanthanide(III) Complexes: Syntheses, Structures, Magnetic and Luminescent Properties. Z. Anorg. Allg. Chem. 2020, 646, 282–287. [Google Scholar] [CrossRef]
- Benmansour, S.; Hernández-Paredes, A.; Mondal, A.; López Martínez, G.; Canet-Ferrer, J.; Konar, S.; Gómez-García, C.J. Slow Relaxation of the Magnetization, Reversible Solvent Exchange and Luminescence in 2D Anilato-Based Frameworks. Chem. Commun. 2020, 56, 9862–9865. [Google Scholar] [CrossRef] [PubMed]
- Mondal, A.; Roy, S.; Konar, S. Remarkable Energy Barrier for Magnetization Reversal in 3D and 2D Dysprosium-Chloranilate-Based Coordination Polymers. Chem. Eur. J. 2020, 26, 8774–8783. [Google Scholar] [CrossRef]
- Zakrzewski, J.J.; Chorazy, S.; Nakabayashi, K.; Ohkoshi, S.; Sieklucka, B. Photoluminescent Lanthanide(III) Single-Molecule Magnets in Three-Dimensional Polycyanidocuprate(I)-Based Frameworks. Chem. Eur. J. 2019, 25, 11820–11825. [Google Scholar] [CrossRef]
- She, S.; Gu, X.; Yang, Y. Field-Induced Single Molecule Magnet Behavior of a Three-Dimensional Dy(III)-Based Complex. Inorg. Chem. Commun. 2019, 110, 107584. [Google Scholar] [CrossRef]
- Fordham, S.; Wang, X.; Bosch, M.; Zhou, H. Lanthanide Metal-Organic Frameworks: Syntheses, Properties, and Potential Applications. Struct. Bond. 2015, 163, 1–27. [Google Scholar]
- Wang, C.; Liu, X.; Keser Demir, N.; Chen, J.P.; Li, K. Applications of Water Stable Metal-Organic Frameworks. Chem. Soc. Rev. 2016, 45, 5107–5134. [Google Scholar] [CrossRef]
- Liu, X.; Fu, W.; Bouwman, E. One-Step Growth of Lanthanoid Metal-Organic Framework (MOF) Films Under Solvothermal Conditions for Temperature Sensing. Chem. Commun. 2016, 52, 6926–6929. [Google Scholar] [CrossRef] [PubMed]
- Gómez-Claramunt, P.; Benmansour, S.; Hernández-Paredes, A.; Cerezo-Navarrete, C.; Rodríguez-Fernández, C.; Canet-Ferrer, J.; Cantarero, A.; Gómez-García, C.J. Tuning the Structure and Properties of Lanthanoid Coordination Polymers with an Asymmetric Anilato Ligand. Magnetochemistry 2018, 4, 6. [Google Scholar]
- Artizzu, F.; Atzori, M.; Liu, J.; Mara, D.; Van Hecke, K.; Van Deun, R. Solution-Processable Yb/Er 2D-Layered Metallorganic Frameworks with High NIR-Emission Quantum Yields. J. Mater. Chem. C 2019, 7, 11207–11214. [Google Scholar] [CrossRef]
- Ashoka Sahadevan, S.; Monni, N.; Oggianu, M.; Abhervé, A.; Marongiu, D.; Saba, M.; Mura, A.; Bongiovanni, G.; Mameli, V.; Cannas, C.; et al. Heteroleptic NIR-Emitting YbIII/Anilate-Based Neutral Coordination Polymer Nanosheets for Solvent Sensing. ACS Appl. Nano Mater. 2020, 3, 94–104. [Google Scholar] [CrossRef]
- Ashoka Sahadevan, S.; Monni, N.; Abhervé, A.; Marongiu, D.; Sarritzu, V.; Sestu, N.; Saba, M.; Mura, A.; Bongiovanni, G.; Cannas, C.; et al. Nanosheets of Two-Dimensional Neutral Coordination Polymers Based on Near-Infrared-Emitting Lanthanides and a Chlorocyananilate Ligand. Chem. Mater. 2018, 30, 6575–6586. [Google Scholar] [CrossRef]
- Benmansour, S.; Hernández-Paredes, A.; Gómez-García, C.J. Effect of the Lanthanoid-Size on the Structure of a Series of Lanthanoid-Anilato 2-D Lattices. J. Coord. Chem. 2018, 71, 845–863. [Google Scholar] [CrossRef]
- Hernández-Paredes, A.; Cerezo-Navarrete, C.; Gómez García, C.J.; Benmansour, S. Slow Relaxation in Doped Coordination Polymers and Dimers Based on Lanthanoids and Anilato Ligands. Polyhedron 2019, 170, 476–485. [Google Scholar] [CrossRef]
- Kingsbury, C.J.; Abrahams, B.F.; Auckett, J.E.; Chevreau, H.; Dharma, A.D.; Duyker, S.; He, Q.; Hua, C.; Hudson, T.A.; Murray, K.S.; et al. Square Grid Metal-Chloranilate Networks as Robust Host Systems for Guest Sorption. Chem. Eur. J. 2019, 25, 5222–5234. [Google Scholar] [CrossRef]
- Kitagawa, S.; Kawata, S. Coordination Compounds of 1,4-Dihydroxybenzoquinone and its Homologues. Structures and Properties. Coord. Chem. Rev. 2002, 224, 11–34. [Google Scholar] [CrossRef]
- Benmansour, S.; Vallés-García, C.; Gómez-Claramunt, P.; Mínguez Espallargas, G.; Gómez-García, C.J. 2D and 3D Anilato-Based Heterometallic M(I)M(III) Lattices: The Missing Link. Inorg. Chem. 2015, 54, 5410–5418. [Google Scholar] [CrossRef]
- Atzori, M.; Benmansour, S.; Mínguez Espallargas, G.; Clemente-León, M.; Abhervé, A.; Gómez-Claramunt, P.; Coronado, E.; Artizzu, F.; Sessini, E.; Deplano, P.; et al. A Family of Layered Chiral Porous Magnets Exhibiting Tunable Ordering Temperatures. Inorg. Chem. 2013, 52, 10031–10040. [Google Scholar] [CrossRef]
- Benmansour, S.; Gómez-García, C.J. Heterometallic Anilato-Based Layered Magnets. Gen. Chem. 2020, 6, 190033. [Google Scholar] [CrossRef]
- Atzori, M.; Artizzu, F.; Sessini, E.; Marchio, L.; Loche, D.; Serpe, A.; Deplano, P.; Concas, G.; Pop, F.; Avarvari, N.; et al. Halogen-Bonding in a New Family of Tris(Haloanilato)Metallate(III) Magnetic Molecular Building Blocks. Dalton Trans. 2014, 43, 7006–7019. [Google Scholar] [CrossRef]
- Benmansour, S.; Gómez-Claramunt, P.; Vallés-García, C.; Mínguez Espallargas, G.; Gómez García, C.J. Key Role of the Cation in the Crystallization of Chiral Tris(Anilato)Metalate Magnetic Anions. Cryst. Growth Des. 2016, 16, 518–526. [Google Scholar] [CrossRef]
- Abrahams, B.F.; Grannas, M.J.; Hudson, T.A.; Hughes, S.A.; Pranoto, N.H.; Robson, R. Synthesis, Structure and Host-Guest Properties of (Et4N)2[SnIVCaII(Chloranilate)4], a New Type of Robust Microporous Coordination Polymer with a 2D Square Grid Structure. Dalton Trans. 2011, 40, 12242–12247. [Google Scholar] [CrossRef]
- Benmansour, S.; Gómez-García, C.J. A Heterobimetallic Anionic 3,6-Connected 2D Coordination Polymer Based on Nitranilate as Ligand. Polymers 2016, 8, 89. [Google Scholar] [CrossRef]
- Benmansour, S.; Gómez-García, C.J. Lanthanoid-Anilato Complexes and Lattices. Magnetochemistry 2020, 6, 71. [Google Scholar] [CrossRef]
- Diaz-Torres, R.; Alvarez, S. Coordinating Ability of Anions and Solvents Towards Transition Metals and Lanthanides. Dalton Trans. 2011, 40, 10742–10750. [Google Scholar] [CrossRef]
- Alvarez, S. Coordinating Ability of Anions, Solvents, Amino Acids, and Gases towards Alkaline and Alkaline-Earth Elements, Transition Metals, and Lanthanides. Chem. Eur. J. 2020, 26, 8663. [Google Scholar] [CrossRef]
- Abrahams, B.F.; Coleiro, J.; Ha, K.; Hoskins, B.F.; Orchard, S.D.; Robson, R. Dihydroxybenzoquinone and Chloranilic Acid Derivatives of Rare Earth Metals. J. Chem. Soc. Dalton Trans. 2002, 1586–1594. [Google Scholar] [CrossRef]
- Benmansour, S.; Pérez-Herráez, I.; López-Martínez, G.; Gómez García, C.J. Solvent-Modulated Structures in Anilato-Based 2D Coordination Polymers. Polyhedron 2017, 135, 17–25. [Google Scholar] [CrossRef]
- Benmansour, S.; Pérez-Herráez, I.; Cerezo-Navarrete, C.; López-Martínez, G.; Martínez Hernandez, C.; Gómez-García, C.J. Solvent-Modulation of the Structure and Dimensionality in Lanthanoid-Anilato Coordination Polymers. Dalton Trans. 2018, 47, 6729–6741. [Google Scholar] [CrossRef] [PubMed]
- Sahadevan, S.A.; Monni, N.; Abhervé, A.; Cosquer, G.; Oggianu, M.; Ennas, G.; Yamashita, M.; Avarvari, N.; Mercuri, M.L. Dysprosium Chlorocyanoanilate-Based 2D-Layered Coordination Polymers. Inorg. Chem. 2019, 58, 13988–13998. [Google Scholar] [CrossRef]
- Casanova, D.; Llunell, M.; Alemany, P.; Alvarez, S. The Rich Stereochemistry of Eight-Vertex Polyhedra: A Continuous Shape Measures Study. Chem. Eur. J. 2005, 11, 1479–1494. [Google Scholar] [CrossRef] [PubMed]
- Llunell, M.; Casanova, D.; Cirera, J.; Bofill, J.M.; Alemany, P.; Álvarez, S.; Pinsky, M.; Avnir, D. Shape; Version 2.3; University of Barcelona: Barcelona, Spain; Hebrew University of Jerusalem: Jerusalem, Israel, 2013. [Google Scholar]
- Alvarez, S.; Alemany, P.; Casanova, D.; Cirera, J.; Llunell, M. Shape Maps and Polyhedral Interconversion Paths in Transition Metal Chemistry. Coord. Chem. Rev. 2005, 249, 1693–1708. [Google Scholar] [CrossRef]
- Álvarez, S. Distortion Pathways of Transition Metal Coordination Polyhedra Induced by Chelating Topology. Chem. Rev. 2015, 115, 13447–13483. [Google Scholar] [CrossRef]
- Zucchi, G.; Thuery, P.; Ephritikhine, M. CSD Communication. Unpublished work. 2012. [Google Scholar]
- Kharitonov, A.D.; Trofimova, O.Y.; Meshcheryakova, I.N.; Fukin, G.K.; Khrizanforov, M.N.; Budnikova, Y.H.; Bogomyakov, A.S.; Aysin, R.R.; Kovalenko, K.A.; Piskunov, A.V. 2D-metal–organic Coordination Polymers of Lanthanides (La(III), Pr(III) and Nd(III)) with Redox-Active Dioxolene Bridging Ligands. CrystEngComm 2020, 22, 4675–4679. [Google Scholar] [CrossRef]
- Steiner, T. The Hydrogen Bond in the Solid State. Angew. Chem. Int. Ed. 2002, 41, 48–76. [Google Scholar] [CrossRef]
- Sorace, L.; Gatteschi, D. Electronic Structure and Magnetic Properties of Lanthanide Molecular Complexes; Layfield, R.A., Murugesu, M., Eds.; Wiley: Hoboken, NJ, USA, 2015; Volume 1, pp. 1–25. [Google Scholar]
- Benmansour, S.; López-Martínez, G.; Canet-Ferrer, J.; Gómez-García, C.J. A Family of Lanthanoid Dimers with Nitroanilato Bridges. Magnetochemistry 2016, 2, 32. [Google Scholar] [CrossRef]
- Benmansour, S.; Hernández-Paredes, A.; Gómez-García, C.J. Two Dimensional Magnetic Coordination Polymers Formed by Lanthanoids and Chlorocyananilato. Magnetochemistry 2018, 4, 58. [Google Scholar] [CrossRef]
- Long, J.; Basalov, I.V.; Lyssenko, K.A.; Cherkasov, A.V.; Mamontova, E.; Guari, Y.; Larionova, J.; Trifonov, A.A. Synthesis, Structure, Magnetic and Photoluminescent Properties of Dysprosium(III) Schiff Base Single-Molecule Magnets: Investigation of the Relaxation of the Magnetization. Chem. Asian J. 2020, 15, 2706–2715. [Google Scholar] [CrossRef]
- Long, J.; Selikhov, A.N.; Mamontova, E.; Lyssenko, K.A.; Guari, Y.; Larionova, J.; Trifonov, A.A. Synthesis, Structure, Magnetic and Luminescence Properties of Two Dysprosium Single-Molecule Magnets Based on Phenoxide Dye Ligands. CrystEngComm 2020, 22, 1909–1913. [Google Scholar] [CrossRef]
- Dey, A.; Kalita, P.; Chandrasekhar, V. Lanthanide(III)-Based Single-Ion Magnets. ACS Omega 2018, 3, 9462–9475. [Google Scholar] [CrossRef] [PubMed]
- Demir, S.; Zadrozny, J.M.; Long, J.R. Large Spin-Relaxation Barriers for the Low-Symmetry Organolanthanide Complexes Cp*2Ln(BPh4)] (Cp* = pentamethylcyclopentadienyl; Ln = Tb, Dy). Chem. Eur. J. 2014, 20, 9524–9529. [Google Scholar] [CrossRef]
- Atzori, M.; Artizzu, F.; Marchio, L.; Loche, D.; Caneschi, A.; Serpe, A.; Delano, P.; Avarvari, N.; Mercuri, M.L. Switching-on Luminescence in Anilate-Based Molecular Materials. Dalton Trans. 2015, 44, 15786–15802. [Google Scholar] [CrossRef]
- Sheldrick, G.M. Crystal Structure Refinement with SHELXL. Acta Cryst. C 2015, 71, 3–8. [Google Scholar] [CrossRef] [PubMed]
- Sheldrick, G.M. A Short History of SHELX. Acta Cryst. A 2008, 64, 112–122. [Google Scholar] [CrossRef]
- Dolomanov, O.V.; Bourhis, L.J.; Gildea, R.J.; Howard, J.A.K.; Puschmann, H. OLEX2: A Complete Structure Solution, Refinement and Analysis Program. J. Appl. Cryst. 2009, 42, 339–341. [Google Scholar] [CrossRef]
- Bain, G.A.; Berry, J.F. Diamagnetic Corrections and Pascal’s Constants. J. Chem. Educ. 2008, 85, 532–536. [Google Scholar] [CrossRef]
- Zhang, P.; Perfetti, M.; Kern, M.; Hallmen, P.P.; Ungur, L.; Lenz, S.; Ringenberg, M.R.; Frey, W.; Stoll, H.; Rauhut, G.; et al. Exchange Coupling and Single Molecule Magnetism in Redox-Active Tetraoxolene-Bridged Dilanthanide Complexes. Chem. Sci. 2018, 9, 1221–1230. [Google Scholar] [CrossRef]
- Reed, W.R.; Dunstan, M.A.; Gable, R.W.; Phonsri, W.; Murray, K.S.; Mole, R.A.; Boskovic, C. Tetraoxolene-Bridged Rare-Earth Complexes: A Radical-Bridged Dinuclear Dy Single-Molecule Magnet. Dalton Trans. 2019, 48, 15635–15645. [Google Scholar] [CrossRef]













| Atoms | 1 | 2 |
|---|---|---|
| Dy1-O2 | 2.319(11) | 2.374(5) |
| Dy1-O3 | 2.378(13) | 2.382(6) |
| Dy1-O12 | 2.437(12) | 2.380(6) |
| Dy1-O13 | 2.388(12) | 2.398(6) |
| Dy1-O22 | 2.348(13) | 2.375(5) |
| Dy1-O23 | 2.325(13) | 2.393(6) |
| Dy1-O1D | 2.303(14) | 2.319(6) |
| Dy1-O11W | 2.357(14) | - |
| Dy1-O11D | - | 2.293(6) |
| Dy1-Oanilato 1 | 2.365 | 2.384 |
| Dy1-Osolvent 2 | 2.330 | 2.306 |
| Compound | X | H (Oe) | Mechanisms | τQT (s) | τ0 (s) | Ueff (K) | AH2 (K−1) |
|---|---|---|---|---|---|---|---|
| 1 | H | 0 | QT | 5.7(3) × 10−6 | - | - | - |
| 1 | H | 600 | O + D | - | 3.5(9) × 10−8 | 17.1(9) | 5.8(2) × 104 |
| 2 | Cl | 1000 | O + D | - | 6(1) × 10−11 | 31.5(7) | 2.8(2) × 103 |
| 3 | Cl/CN | 1000 | O + D | - | 4.6(5) × 10−9 | 21(3) | 5.3(2) × 104 |
| 4 | Br | 1000 | O + D + QT | 8.5(4) × 10−7 | 2.0(1) × 10−9 | 22.8(4) | 1.0(3) × 105 |
| Compound | 1 | 2 |
|---|---|---|
| CCDC | 2054147 | 2054148 |
| Formula | C13H12DyO9S2 | C15H14O10DyCl3S3 |
| ρcalc. (g cm−3) | 1.360 | 1.934 |
| μ (mm−1) | 3.026 | 3.648 |
| Formula weight | 538.85 | 719.29 |
| Color | Dark Pink | Pink |
| Shape | Prism | Prism |
| Size | 0.10 × 0.05 × 0.02 | 0.14 × 0.12 × 0.02 |
| T (K) | 119.6(8) | 120(2) |
| Crystal System | monoclinic | Triclinic |
| Space group | C2/c | P-1 |
| a (Å) | 22.339(2) | 9.7197(6) |
| b (Å) | 16.2988(14) | 10.6161(7) |
| c (Å) | 14.5064(14) | 12.7564(7) |
| α (⁰) | 90 | 78.913(5) |
| β (⁰) | 94.662(8) | 73.305(5) |
| γ (⁰) | 90 | 83.920(5) |
| V(Å3) | 5264.3(8) | 1235.46(14) |
| Z | 8 | 2 |
| Wavelength (Å) | 0.71073 | 0.71073 |
| Radiation type | MoKα | MoKα |
| θmin (o) | 6.04 | 3.632 |
| θmax (o) | 50.1 | 24.070 |
| Mesures Refl. | 10245 | 8103 |
| Independent Refl. | 9970 | 4372 |
| Reflections with I > 2σ(I) | 7642 | 3680 |
| Rint | 0.0633 | 0.0413 |
| Parameters | 238 | 301 |
| Restraints | 148 | 6 |
| Largest pick (e− Å−3) | 7.30 | 1.652 |
| Deepest Hole (e− Å−3) | −4.26 | −1.549 |
| R1 a | 0.1184 | 0.0520 |
| R1 (all data) | 0.1396 | 0.0666 |
| wR2b | 0.2946 | 0.1127 |
| wR2 (all data) | 0.3164 | 0.1248 |
| GooF c | 1.040 | 1.116 |
Publisher’s Note: MDPI stays neutral with regard to jurisdictional claims in published maps and institutional affiliations. |
© 2021 by the authors. Licensee MDPI, Basel, Switzerland. This article is an open access article distributed under the terms and conditions of the Creative Commons Attribution (CC BY) license (http://creativecommons.org/licenses/by/4.0/).
Share and Cite
Benmansour, S.; Hernández-Paredes, A.; Bayona-Andrés, M.; Gómez-García, C.J. Slow Relaxation of the Magnetization in Anilato-Based Dy(III) 2D Lattices. Molecules 2021, 26, 1190. https://doi.org/10.3390/molecules26041190
Benmansour S, Hernández-Paredes A, Bayona-Andrés M, Gómez-García CJ. Slow Relaxation of the Magnetization in Anilato-Based Dy(III) 2D Lattices. Molecules. 2021; 26(4):1190. https://doi.org/10.3390/molecules26041190
Chicago/Turabian StyleBenmansour, Samia, Antonio Hernández-Paredes, María Bayona-Andrés, and Carlos J. Gómez-García. 2021. "Slow Relaxation of the Magnetization in Anilato-Based Dy(III) 2D Lattices" Molecules 26, no. 4: 1190. https://doi.org/10.3390/molecules26041190
APA StyleBenmansour, S., Hernández-Paredes, A., Bayona-Andrés, M., & Gómez-García, C. J. (2021). Slow Relaxation of the Magnetization in Anilato-Based Dy(III) 2D Lattices. Molecules, 26(4), 1190. https://doi.org/10.3390/molecules26041190

