Insights on Molecular Characteristics of Hydrochars by 13C-NMR and Off-Line TMAH-GC/MS and Assessment of Their Potential Use as Plant Growth Promoters
Abstract
1. Introduction
2. Results and Discussion
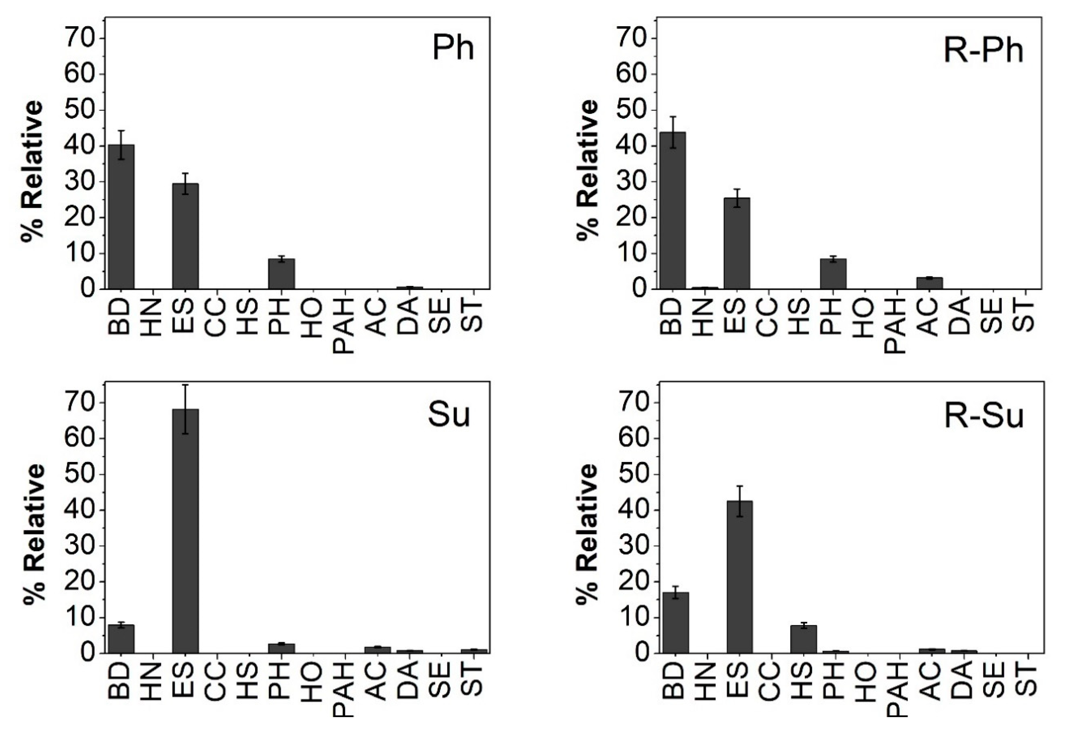
2.1. Hydrochar Characterization
2.2. Bioassay
3. Materials and Methods
3.1. Hydrothermal Carbonization Process
3.2. Hydrochars Nutrients Content
3.3. Off-Line TMAH-Thermochemolysis Coupled with Gas Chromatography and Mass Spectrometry (GC-MS)
GC/MS Parameters
3.4. Solid-state 13C Nuclear Magnetic Resonance
3.5. Germination Assay
3.6. Statistical Analysis
4. Conclusions
Supplementary Materials
Author Contributions
Funding
Data Availability Statement
Acknowledgments
Conflicts of Interest
Sample Availability
References
- Kambo, H.S.; Dutta, A. A comparative review of biochar and hydrochar in terms of production, physico-chemical properties and applications. Renew. Sustain. Energy Rev. 2015, 45, 359–378. [Google Scholar] [CrossRef]
- Fang, J.; Zhan, L.; Ok, Y.S.; Gao, B. Minireview of potential applications of hydrochar derived from hydrothermal carbonization of biomass. J. Ind. Eng. Chem. 2018, 57, 15–21. [Google Scholar] [CrossRef]
- Tripathi, M.; Sahu, J.; Ganesan, P. Effect of process parameters on production of biochar from biomass waste through pyrolysis: A review. Renew. Sustain. Energy Rev. 2016, 55, 467–481. [Google Scholar] [CrossRef]
- Fregolente, L.G.; Miguel, T.B.A.R.; Miguel, E.D.C.; Melo, C.D.A.; Moreira, A.B.; Ferreira, O.P.; Bisinoti, M.C. Toxicity evaluation of process water from hydrothermal carbonization of sugarcane industry by-products. Environ. Sci. Pollut. Res. 2019, 26, 27579–27589. [Google Scholar] [CrossRef]
- Stemann, J.; Putschew, A.; Ziegler, F. Hydrothermal carbonization: Process water characterization and effects of water recirculation. Bioresour. Technol. 2013, 143, 139–146. [Google Scholar] [CrossRef] [PubMed]
- Kabadayi Catalkopru, A.; Kantarli, I.C.; Yanik, J. Effects of spent liquor recirculation in hydrothermal carbonization. Bioresour. Technol. 2017, 226, 89–93. [Google Scholar] [CrossRef] [PubMed]
- Weiner, B.; Poerschmann, J.; Wedwitschka, H.; Koehler, R.; Kopinke, F.D. Influence of Process Water Reuse on Hydrothermal Carbonization of Paper. Sustain. Chem. Eng. 2014, 2, 2165–2171. [Google Scholar] [CrossRef]
- Liu, Z.G.; Balasubramanian, R. Hydrothermal carbonization of waste biomass for energy generation. Proc. Environ. Sci. 2012, 16, 159–166. [Google Scholar] [CrossRef]
- Li, L.; Diederick, R.; Flora, J.R.V.; Berge, N.D. Hydrothermal carbonization of food waste and associated packaging materials for energy source generation. Waste Manag. 2013, 33, 2478–2492. [Google Scholar] [CrossRef]
- Vieira, L.H.S.V.; Sabino, C.M.S.; Júnior, F.H.S.; Rocha, J.S.; Castro, M.O.; Alencar, R.S.; da Costa, L.S.; Viana, B.C.; de Paula, A.J.; Soares, J.M.; et al. Strategic design of magnetic carbonaceous nanocomposites and its application as multifunctional adsorbent. Carbon 2020, 161, 758–771. [Google Scholar] [CrossRef]
- Chen, Y.; Ai, X.; Huang, B.; Huang, M.; Huang, Y.; Lu, Y. Consecutive preparation of hydrochar catalyst functionalized in situ with sulfonic groups for efficient cellulose hydrolysis. Cellulose 2017, 2743–2752. [Google Scholar] [CrossRef]
- Ren, M.; Jia, Z.; Tian, Z.; Lopez, D.; Cai, J. High Performance N-Doped Carbon Electrodes Obtained via Hydrothermal Carbonization of Macroalgae for Supercapacitor Applications. Chemlectrochem 2018, 2686–2693. [Google Scholar] [CrossRef]
- Kumar, M.; Oyedun, A.O.; Kumar, A. A review on the current status of various hydrothermal technologies on biomass feedstock. Renew. Sustain. Energy Rev. 2018, 81, 1742–1770. [Google Scholar] [CrossRef]
- Melo, T.M.; Bottlinger, M.; Schulz, E.; Leandro, W.M.; Menezes de Aguiar Filho, A.; Wang, H.; Ok, Y.S.; Rinklebe, J. Plant and soil responses to hydrothermally converted sewage sludge (sewchar). Chemosphere 2018, 206, 338–348. [Google Scholar] [CrossRef]
- Egamberdieva, D.; Wirth, S.; Behrendt, U.; Abd-Allah, E.F.; Berg, G. Biochar treatment resulted in a combined effect on soybean growth promotion and a shift in plant growth promoting rhizobacteria. Front. Microbiol. 2016, 7, 1–11. [Google Scholar] [CrossRef] [PubMed]
- Paneque, M.; Knicker, H.; Kern, J.; De la Rosa, J.M. Hydrothermal carbonization and pyrolysis of sewage sludge: Effects on Lolium perenne Germination and Growth. Agronomy 2019, 9, 363. [Google Scholar] [CrossRef]
- Reibe, K.; Roß, C.-L.; Ellmer, F. Hydro-/Biochar application to sandy soils: Impact on yield components and nutrients of spring wheat in pots. Arch. Agron. Soil Sci. 2015, 61, 1055–1060. [Google Scholar] [CrossRef]
- Oliveira, I.; Blöhse, D.; Ramke, H.G. Hydrothermal carbonization of agricultural residues. Bioresour. Technol. 2013, 142, 138–146. [Google Scholar] [CrossRef]
- Abel, S.; Peters, A.; Trinks, S.; Schonsky, H.; Facklam, M.; Wessolek, G. Impact of biochar and hydrochar addition on water retention and water repellency of sandy soil. Geoderma 2013, 202–203, 183–191. [Google Scholar] [CrossRef]
- Mau, V.; Arye, G.; Gross, A. Poultry litter hydrochar as an amendment for sandy soils. J. Environ. Manag. 2020, 271, 110959. [Google Scholar] [CrossRef] [PubMed]
- Nizamuddin, S.; Ahmed, H.; Gri, G.J.; Mubarak, N.M.; Bhutto, W.; Abro, R.; Ali, S.; Si, B. An overview of effect of process parameters on hydrothermal carbonization of biomass. Renew. Sustain. Energy Rev. 2017, 73, 1289–1299. [Google Scholar] [CrossRef]
- Savy, D.; Cozzolino, V.; Nebbioso, A.; Drosos, M.; Nuzzo, A.; Mazzei, P.; Piccolo, A. Humic-like bioactivity on emergence and early growth of maize (Zea mays L.) of water-soluble lignins isolated from biomass for energy. Plant Soil. 2016, 402, 221–233. [Google Scholar] [CrossRef]
- Spaccini, R.; Cozzolino, V.; Di Meo, V.; Savy, D.; Drosos, M.; Piccolo, A. Bioactivity of humic substances and water extracts from compost made by ligno-cellulose wastes from biorefinery. Sci. Total Environ. 2019, 646, 792–800. [Google Scholar] [CrossRef]
- Monda, H.; Cozzolino, V.; Vinci, G.; Drosos, M.; Savy, D.; Piccolo, A. Molecular composition of the Humeome extracted from different green composts and their biostimulation on early growth of maize. Plant Soil. 2018, 429, 407–424. [Google Scholar] [CrossRef]
- Ojeda, G.; Mattana, S.; Àvila, A.; Alcañiz, J.M.; Volkmann, M.; Bachmann, J. Are soil–water functions affected by biochar application? Geoderma 2015, 249–250, 1–11. [Google Scholar] [CrossRef]
- Soares da Silva, L.; Constantino, I.C.; Bento, L.R.; Tadini, A.M.; Bisinoti, M.C.; Boscolo, M.; Ferreira, O.P.; Mounier, S.; Piccolo, A.; Spaccini, R.; et al. Humic extracts from hydrochar and Amazonian Anthrosol: Molecular features and metal binding properties using EEM-PARAFAC and 2D FTIR correlation analyses. Chemosphere 2020, 256. [Google Scholar] [CrossRef] [PubMed]
- Bento, L.R.; Melo, C.A.; Ferreira, O.P.; Moreira, A.B.; Mounier, S.; Piccolo, A.; Spaccini, R.; Bisinoti, M.C. Humic extracts of hydrochar and Amazonian Dark Earth: Molecular characteristics and effects on maize seed germination. Sci. Total Environ. 2020, 708, 135000. [Google Scholar] [CrossRef]
- Huang, W.K.; Ji, H.L.; Gheysen, G.; Debode, J.; Kyndt, T. Biochar-amended potting medium reduces the susceptibility of rice to root-knot nematode infections. BMC Plant Biol. 2015, 15, 1–15. [Google Scholar] [CrossRef] [PubMed]
- Harel, Y.M.; Elad, Y.; Rav-David, D.; Borenstein, M.; Shulchani, R.; Lew, B.; Graber, E.R. Biochar mediates systemic response of strawberry to foliar fungal pathogens. Plant Soil. 2012, 357, 245–257. [Google Scholar] [CrossRef]
- Yang, E.; Meng, J.; Hu, H.; Cheng, D.; Zhu, C.; Chen, W. Effects of organic molecules from biochar-extracted liquor on the growth of rice seedlings. Ecotoxicol. Environ. Saf. 2019, 170, 338–345. [Google Scholar]
- Andert, J.; Mumme, J. Impact of pyrolysis and hydrothermal biochar on gas-emitting activity of soil microorganisms and bacterial and archaeal community composition. Appl. Soil Ecol. 2015, 96, 225–239. [Google Scholar] [CrossRef]
- Busch, D.; Stark, A.; Kammann, C.I.; Glaser, B. Genotoxic and phytotoxic risk assessment of fresh and treated hydrochar from hydrothermal carbonization compared to biochar from pyrolysis. Ecotoxicol. Environ. Saf. 2013, 97, 59–66. [Google Scholar] [CrossRef]
- Bargmann, I.; Rillig, M.C.; Buss, W.; Kruse, A.; Kuecke, M. Hydrochar and biochar effects on germination of spring barley. J. Agron. Crop Sci. 2013, 199, 360–373. [Google Scholar] [CrossRef]
- Wang, T.; Zhai, Y.; Zhu, Y.; Li, C.; Zeng, G. A review of the hydrothermal carbonization of biomass waste for hydrochar formation: Process conditions, fundamentals, and physicochemical properties. Renew. Sustain. Energy Rev. 2018, 90, 223–247. [Google Scholar] [CrossRef]
- Fregolente, L.G.; de Castro, A.J.R.; Moreira, A.B.; Ferreira, O.P.; Bisinoti, M.C. New Proposal for Sugarcane Vinasse Treatment by Hydrothermal Carbonization: An Evaluation of Solid and Liquid Products. J. Braz. Chem. Soc. 2019, 31, 1–11. [Google Scholar] [CrossRef]
- Melo, C.A.; Junior, F.H.S.; Bisinoti, M.C.; Moreira, A.B.; Ferreira, O.P. Transforming Sugarcane Bagasse and Vinasse Wastes into Hydrochar in the Presence of Phosphoric Acid: An Evaluation of Nutrient Contents and Structural Properties. Waste Biomass Valori. 2017, 8, 1139–1151. [Google Scholar] [CrossRef]
- Silva, C.C.; Melo, C.A.; Soares Junior, F.H.; Moreira, A.B.; Ferreira, O.P.; Bisinoti, M.C. Effect of the reaction medium on the immobilization of nutrients in hydrochars obtained using sugarcane industry residues. Bioresour. Technol. 2017, 237, 213–221. [Google Scholar] [CrossRef]
- Yao, Z.; Ma, X. Characteristics of co-hydrothermal carbonization on polyvinyl chloride wastes with bamboo. Bioresour. Technol. 2018, 247, 302–309. [Google Scholar] [CrossRef]
- He, E.; Lü, C.; He, J.; Zhao, B.; Wang, J.; Zhang, R.; Ding, T. Binding characteristics of Cu2+ to natural humic acid fractions sequentially extracted from the lake sediments. Environ. Sci. Pollut. Res. 2016, 23, 22667–22677. [Google Scholar] [CrossRef]
- He, C.; Zhao, J.; Yang, Y.; Wang, J.Y. Multiscale characteristics dynamics of hydrochar from hydrothermal conversion of sewage sludge under sub- and near-critical water. Bioresour. Technol. 2016, 211, 486–493. [Google Scholar] [CrossRef] [PubMed]
- Cao, X.; Ro, K.S.; Chappell, M.; Li, Y.; Mao, J. Chemical structures of swine-manure chars produced under different carbonization conditions investigated by advanced solid-state 13C nuclear magnetic resonance (NMR) spectroscopy. Energy Fuels. 2011, 25, 388–397. [Google Scholar] [CrossRef]
- McBeath, A.V.; Smernik, R.J.; Krull, E.S.; Lehmann, J. The influence of feedstock and production temperature on biochar carbon chemistry: A solid-state 13C NMR study. Biomass Bioenergy. 2014, 60, 121–129. [Google Scholar] [CrossRef]
- Jindo, K.; Mizumoto, H.; Sawada, Y.; Sanchez-Monedero, M.A.; Sonoki, T. Physical and chemical characterization of biochars derived from different agricultural residues. Biogeosciences 2014, 11, 6613–6621. [Google Scholar] [CrossRef]
- Sun, J.; Drosos, M.; Mazzei, P.; Savy, D.; Todisco, D.; Vinci, G.; Pan, G.; Piccolo, A. The molecular properties of biochar carbon released in dilute acidic solution and its effects on maize seed germination. Sci. Total Environ. 2017, 576, 858–867. [Google Scholar] [CrossRef] [PubMed]
- De Aquino, A.M.; Canellas, L.P.; da Silva, A.P.S.; Canellas, N.O.; da S Lima, L.; Olivares, F.L.; Piccolo, A.; Spaccini, R. Evaluation of molecular properties of humic acids from vermicompost by 13 C-CPMAS-NMR spectroscopy and thermochemolysis–GC–MS. J. Anal. Appl. Pyrolysis. 2019, 141, 104634. [Google Scholar] [CrossRef]
- Savy, D.; Canellas, L.; Vinci, G.; Cozzolino, V.; Piccolo, A. Humic-Like Water-Soluble Lignins from Giant Reed (Arundo donax L.) Display Hormone-Like Activity on Plant Growth. J. Plant Growth Regul. 2017, 36, 995–1001. [Google Scholar] [CrossRef]
- Olaetxea, M.; De Hita, D.; Garcia, C.A.; Fuentes, M.; Baigorri, R.; Mora, V.; Garnica, M.; Urrutia, O.; Erro, J.; Zamarreño, A.M.; et al. Hypothetical framework integrating the main mechanisms involved in the promoting action of rhizospheric humic substances on plant root- and shoot- growth. Appl. Soil Ecol. 2018, 123, 521–537. [Google Scholar] [CrossRef]
- Verrillo, M.; Salzano, M.; Cozzolino, V.; Spaccini, R.; Piccolo, A. Bioactivity and antimicrobial properties of chemically characterized compost teas from different green composts. Waste Manag. 2021, 120, 98–107. [Google Scholar] [CrossRef]
- Olivares, F.L.; Busato, J.G.; de Paula, A.M.; da Silva Lima, L.; Aguiar, N.O.; Canellas, L.P. Plant growth promoting bacteria and humic substances: Crop promotion and mechanisms of action. Chem. Biol. Technol. Agric. 2017, 4, 1–13. [Google Scholar] [CrossRef]
- Aguiar, N.O.; Medici, L.O.; Olivares, F.L.; Dobbss, L.B.; Torres-Netto, A.; Silva, S.F.; Novotny, E.H.; Canellas, L.P. Metabolic profile and antioxidant responses during drought stress recovery in sugarcane treated with humic acids and endophytic diazotrophic bacteria. Ann. Appl. Biol. 2016, 168, 203–213. [Google Scholar] [CrossRef]
- García, A.C.; Olaetxea, M.; Santos, L.A.; Mora, V.; Baigorri, R.; Fuentes, M.; Zamarreño, A.M.; Berbara, R.L.L.; Garcia-Mina, J.M. Involvement of Hormone-and ROS-Signaling Pathways in the Beneficial Action of Humic Substances on Plants Growing under Normal and Stressing Conditions. Biomed. Res. Int. 2016, 2016. [Google Scholar] [CrossRef] [PubMed]
- Jafarzadeh, A.A.; Aliasgharzad, N. Salinity and salt composition effects on seed germination and root length of four sugar beet cultivars. Biologia 2007, 62, 562–564. [Google Scholar] [CrossRef]
- Lyu, J.; Park, J.; Kumar, L.; Choi, S.; Lee, H.; De Saeger, J. Testing the toxicity of metals, phenol, effluents, and receiving waters by root elongation in Lactuca sativa L. Ecotoxicology and Environmental Safety Testing the toxicity of metals, phenol, effluents, and receiving waters by root elongation in Lac. Ecotoxicol. Environ. Saf. 2018, 149, 225–232. [Google Scholar] [CrossRef]
- Santana, A.; Bisinoti, M.; Melo, C.; Ferreira, O.; Moreira, A. Disponibilidade De Nutrientes E Carbono Orgânico Em Solos Contendo Carvão Hidrotérmico Lavado E Não Lavado E Comparação Com Solos Antropogênicos. Quim. Nova 2019, 42, 262–272. [Google Scholar] [CrossRef]
- Dos Santos, J.V.; Fregolente, L.G.; Moreira, A.B.; Ferreira, O.P.; Mounier, S.; Viguier, B.; Hajjoul, H.; Bisinoti, M.C. Humic-like acids from hydrochars: Study of the metal complexation properties compared with humic acids from anthropogenic soils using PARAFAC and time-resolved fluorescence. Sci. Total Environ. 2020, 722, 137815. [Google Scholar] [CrossRef] [PubMed]
- Bento, L.R.; Castro, A.J.R.; Moreira, A.B.; Ferreira, O.P.; Bisinoti, M.C.; Melo, C.A. Release of nutrients and organic carbon in different soil types from hydrochar obtained using sugarcane bagasse and vinasse. Geoderma 2019, 334, 24–32. [Google Scholar] [CrossRef]
- US EPA Acid Digestion of Sediments, Sludges, and Soils. In Test Methods for Evaluating Solid Waste, Phiysical/Chemical Methods (SW-846). 1996; pp. 1–12. Available online: https://www.epa.gov/sites/production/files/2015-06/documents/epa-3050b.pdf (accessed on 14 February 2020).
- Oh, T.K.; Shinogi, Y.; Chikushi, J.; Lee, Y.-H.; Choi, B. Effect of aqueous extract of biochar on germination and seedling growth of lettuce (Lactuca sativa L.). J. Fac. Agric. 2012, 57, 55–60. [Google Scholar]
- Maguire, J.D. Speed of germination—Aid in selection and evaluation for seedling emergence and vigor. Croop Sci. 1962, 2, 176–177. [Google Scholar] [CrossRef]
- Silva, P.; Matos, M. Assessment of the impact of Aluminum on germination, early growth and free proline content in Lactuca sativa L. Ecotoxicol. Environ. Saf. 2016, 131, 151–156. [Google Scholar] [CrossRef]





| 13C-NMR Region (ppm) | |||||||
|---|---|---|---|---|---|---|---|
| SAMPLE | 0–43 Alkyl C | 43–60 OCH3/NCH | 60–90 O-alkyl-C | 90–110 O-C-O Anomeric | 110–145 Aromatic C-C/C-H | 145–160 Aromatic C-O | 160–190 COO/N-C=O |
| Ph | 37.7 | 9.1 | 4.9 | 5.3 | 29.4 | 8.3 | 5.3 |
| R-Ph | 32.1 | 10.3 | 5.8 | 6.1 | 32.4 | 9.3 | 4.2 |
| Su | 42.9 | 7.3 | 4.3 | 4.7 | 28.3 | 7.3 | 5.2 |
| R-Su | 27.1 | 5.4 | 6.5 | 8.7 | 45.5 | 4.1 | 2.7 |
| Structural Index | |||||||
| SAMPLE | HB/HI | A/AO | ARM | LR | |||
| Ph | 3.1 | 3.7 | 0.8 | 1.1 | |||
| R-Ph | 2.8 | 2.7 | 1.0 | 1.1 | |||
| Su | 3.7 | 4.8 | 0.7 | 1.0 | |||
| R-Su | 3.3 | 1.8 | 1.2 | 1.3 | |||
| Sample | Ph | Su | R-Ph | R-Su |
|---|---|---|---|---|
| (Reaction) | (1) | (2) | (3) | (4) |
| Biomass | Bagasse | Bagasse | Bagasse | Bagasse |
| Liquid | Vinasse | Vinasse | Process Water from reaction 1 | Process Water from reaction 2 |
| Biomass/Liquid ratio | 1:20 | 1:20 | 1:20 | 1:20 |
| Temperature | 230 °C | 230 °C | 230 °C | 230 °C |
| Reaction time | 13 h | 13 h | 13 h | 13 h |
| Additive | Phosphoric acid (4% v/v) | Sulfuric acid (4% v/v) | Phosphoric acid (4% v/v) | Sulfuric acid (4% v/v) |
Publisher’s Note: MDPI stays neutral with regard to jurisdictional claims in published maps and institutional affiliations. |
© 2021 by the authors. Licensee MDPI, Basel, Switzerland. This article is an open access article distributed under the terms and conditions of the Creative Commons Attribution (CC BY) license (http://creativecommons.org/licenses/by/4.0/).
Share and Cite
Fregolente, L.G.; dos Santos, J.V.; Vinci, G.; Piccolo, A.; Moreira, A.B.; Ferreira, O.P.; Bisinoti, M.C.; Spaccini, R. Insights on Molecular Characteristics of Hydrochars by 13C-NMR and Off-Line TMAH-GC/MS and Assessment of Their Potential Use as Plant Growth Promoters. Molecules 2021, 26, 1026. https://doi.org/10.3390/molecules26041026
Fregolente LG, dos Santos JV, Vinci G, Piccolo A, Moreira AB, Ferreira OP, Bisinoti MC, Spaccini R. Insights on Molecular Characteristics of Hydrochars by 13C-NMR and Off-Line TMAH-GC/MS and Assessment of Their Potential Use as Plant Growth Promoters. Molecules. 2021; 26(4):1026. https://doi.org/10.3390/molecules26041026
Chicago/Turabian StyleFregolente, Laís G., João Vitor dos Santos, Giovanni Vinci, Alessandro Piccolo, Altair B. Moreira, Odair P. Ferreira, Márcia C. Bisinoti, and Riccardo Spaccini. 2021. "Insights on Molecular Characteristics of Hydrochars by 13C-NMR and Off-Line TMAH-GC/MS and Assessment of Their Potential Use as Plant Growth Promoters" Molecules 26, no. 4: 1026. https://doi.org/10.3390/molecules26041026
APA StyleFregolente, L. G., dos Santos, J. V., Vinci, G., Piccolo, A., Moreira, A. B., Ferreira, O. P., Bisinoti, M. C., & Spaccini, R. (2021). Insights on Molecular Characteristics of Hydrochars by 13C-NMR and Off-Line TMAH-GC/MS and Assessment of Their Potential Use as Plant Growth Promoters. Molecules, 26(4), 1026. https://doi.org/10.3390/molecules26041026

