Abstract
We synthesized five novel tryptamine derivatives characterized by the presence of an azelayl chain or of a 1,1,1-trichloroethyl group, in turn connected to another heterocyclic scaffold. The combination of tryptamin-, 1,1,1-trichloroethyl- and 2-aminopyrimidinyl- moieties produced compound 9 identified as the most active compound in hematological cancer cell lines (IC50 = 0.57–65.32 μM). Moreover, keeping constant the presence of the tryptaminic scaffold and binding it to the azelayl moiety, the compounds maintain biological activity. Compound 13 is still active against hematological cancer cell lines and shows a selective effect only on HT29 cells (IC50 = 0.006 µM) among solid tumor models. Compound 14 loses activity on all leukemic lines, while showing a high level of toxicity on all solid tumor lines tested (IC50 0.0015–0.469 µM).
1. Introduction
The indole nucleus (1) belongs to many natural heterocyclic compounds and is of interest in many applied fields, such as industrial, agricultural and medicinal chemistry [1]. In many natural molecules and synthetic or semi-synthetic drugs this scaffold represents a pharmacophoric group fundamental for the interaction with receptors. Among the plethora of indole derivatives present in the animal and vegetal realm, a great importance has been recognized to tryptamine (2). The tryptamine is a biosynthetic precursor of many natural alkaloids [2,3] and is frequently used as chemical building block in the total synthesis of biologically active and pharmaceutically important compounds [4,5]. In Figure 1 are shown some examples of natural tryptamine derivatives with important biological roles such as l-tryptophan, serotonin, melatonin, besides the tryptane drugs sumatripan, rizatripan and the anticancer agents vincristine, vinblastine and panobinostat.
Figure 1.
Natural products and pharmaceuticals containing tryptamine subunit.
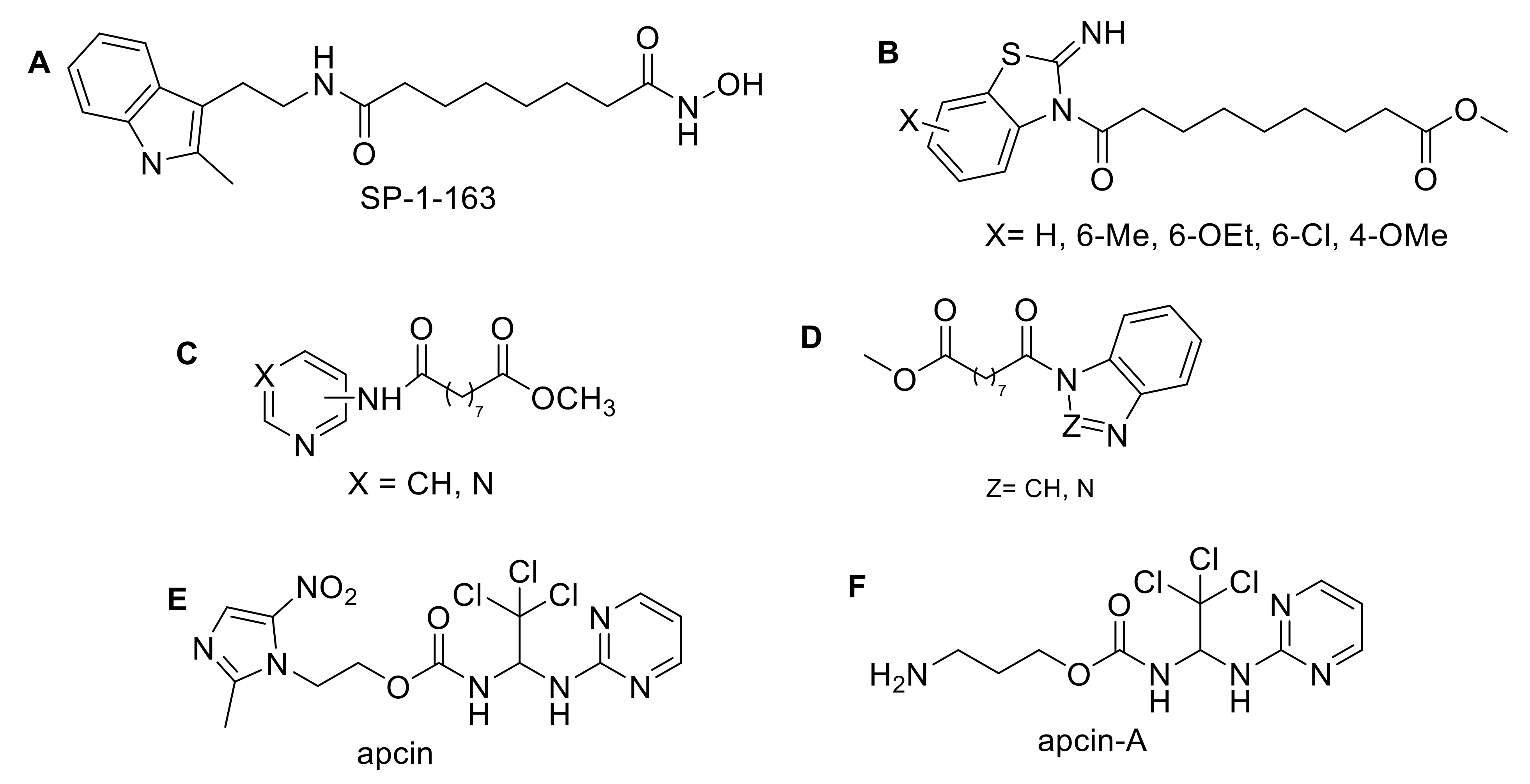
The latter is active against multiple myeloma with a mechanism involving inhibition of histone deacetylase (HDAC-6) [6], as well as recently patented [7] structures containing an aliphatic chain ending with a hydroxamic acid and an amide group involving a tryptamine subunit (compound SP-1-163, Figure 2A).
Figure 2.
Biologically active compounds bearing (A) indole-, (B) thiazole-, (D) triazole-, (C) pyridinyl- and (E,F) pyrimidinyl-scaffolds.
Recently, we synthesized a series of compounds with structural analogy with compound SP-1-163 (Figure 2A). We prepared structural hybrids between azelaic acid methyl ester and several amino-aza-heterocycles (Figure 2B,D). The azelayl moiety recalls part of 9-hydroxystearic acid, a cellular lipid showing antiproliferative activity toward cancer cells with HDAC as the molecular target [8,9,10,11,12,13,14,15,16]. Actually, we found that some derivatives belonging to series in Figure 2B–D behave as selective histone deacetylase inhibitors (HDACi): benzothiazole-based series (Figure 2B) is active against HT29 human colon cancer cells line [17] whereas, among the series containing pyridinyl (or piperidinyl, benzimidazolyl, benzotriazolyl) groups (Figure 2C,D), two aminopyrimidinyl and the benzimidazolyl derivatives showed specific activity on osteosarcoma cells [18]. The two latter moieties, aminopyrimidyl- and imidazolyl- one are also present in Apcin, (Figure 2E) a small molecule that blocks the interaction between APC/C and Cdc20 [19]. A recently published patent reported the synthesis and biological tests of many derivatives of Apcin-A (Figure 2F) [20]. However, in none of the above cited articles, the tryptamine moiety is present.
Due to the importance of both, trichloromethyl and aminopyrimidyl group, in influencing the biological activity of some above cited compounds, we centred our attention towards the synthesis of novel tryptamine derivatives bearing both these structural motifs and structural hybrids connecting one tryptamine moiety an azelayl one. Herein we report the synthesis and the results obtained on the biological activity of the novel compounds towards a panel of solid and hematological cancer cell lines.
2. Results and Discussion
2.1. Chemistry
2.1.1. Synthesis of Ureido Derivatives 4 and 5, Bearing Tryptamine and Trichloromethyl Moieties
First, we synthesized compounds 4 and 5, bearing both tryptamine and trichloromethyl moieties. The reaction of tryptamine with potassium cyanate gave the ureido derivative 2 that, by reaction with chloral hydrate under different experimental conditions, produced compound 4 or compound 5 bearing, respectively, one and two tryptamine moieties (Scheme 1). Compounds 4 and 5 have been obtained, after purification by column chromatography on silica gel, in 93% and 50% yield, respectively and have been fully characterized.
Scheme 1.
Synthetic pathway to obtain compounds 4 and 5.
2.1.2. Synthesis of N-(2-(1H-indol-3-yl)ethyl)-2,2,2-trichloro-N′-(pyrimidin-2yl)etan-1,1-diamine (9)
Compound 9, contemporarily bearing tryptamine, pyrimidine and trichloromethyl moieties, was obtained through the multistep procedure shown in Scheme 2.
Scheme 2.
Synthetic route to compound 9.
2-Aminopyrimidine (6) was reacted with chloral hydrate (3) in THF under microwaves irradiation giving the hemiaminal (7) in 84% yield. The latter was subjected to chlorination by treatment with SOCl2 at room temperature in anhydrous THF and under nitrogen flow, in order to remove hydrochloric acid produced during the reaction. Intermediate compound 8 was then reacted without purification with tryptamine (1) and the reaction course was monitored by 1H NMR of a sample of concentrated crude reaction mixture until to reveal a conversion of about 80%. Compound 9 was recovered, after chromatography on neutral alumina, with purity > 99% even if in only 23% yield; the reason of the low yield might be due to the decomposition of the product during the purification step. We tried also the reaction between compounds 8 and 2 but no product was detected, probably because of the low nucleophilicity of the nitrogen amide atom of compound 2. Compound 9 was subjected to biological essays, as well as compound 7, chosen with the aim to compare their activities.
2.1.3. Synthesis of Hybrids Containing Tryptamine and Azelaoyl Moieties
Based on literature reports on the biological activity of compounds bearing different heterocyclic moieties bound to an azelayl chain through an amide bond [17,18], we planned to synthesize compounds 13 and 14, bearing a tryptamine group.
The synthetic approach, shown in Scheme 3, is based on the formation of the amide (13) under Schotten-Bauman like conditions. Thus, we first prepared the acyl chloride derivative (12) by reaction between the commercially available azelaic acid monomethyl ester (10) and oxalyl chloride (11). Then, we reacted this activated azelaoyl moiety with tryptamine. The ester bond of compound 13 was further selectively and almost quantitatively hydrolysed to free acid (14) in order to check the biological activity of both, the acid and the ester. The novel compounds have been purified and fully characterized.
Scheme 3.
Synthesis of compounds 13 and 14.
2.2. Biological Activity
Effect of Compounds on Cells Viability
To investigate whether the compounds have an antitumor activity, we performed in vitro preclinical assays. In vitro growth inhibitory concentration was determined by incubating the cells with increasing concentrations (0.01–250 μM) of the compounds for 24 h. Data obtained from cell growth assays were elaborated to assess the concentration of each compound required for 50% inhibition of cell viability (IC50) and the results are shown in Table 1. All the newly synthesized compounds showed a biological activity. However, we observed striking differences in the models response.
Table 1.
IC50 (μM) values of the new compounds in the analyzed tumor cell lines a.
Compound 9, that is characterized by 2-aminopyrimidyl- and trichloroethyl- moieties, similarly to those in Apcin, was active against 3 out of 4 hematological models (MV-4-11, REH and, in particular, the T-cell acute lymphoblastic leukemia cell line Jurkat 6). However, this compound showed poor biological activity when tested in solid tumor models. Indeed, it was able to reduce cell growth only in the osteosarcoma U2OS cell line at high doses (IC50 = 235 µM).
Apcin interferes with the biological activity of Cdc20, that functions as an oncogenic factor in tumorigenesis: it is upregulated across several cancer types, including ovarian/uterine, colon and colorectal cancer, oral squamous cell carcinoma [21] and in aneuploid compared with euploid acute myeloid leukemia [22]. Moreover, its overexpression is associated with poor prognosis in colorectal cancer [23], oral squamous cell carcinoma [24] and serous epithelial ovarian cancer [25], among the tumor types analyzed in the present manuscript. The binding site of Apcin on Cdc20 has been identified [19] and a study on SAR has revealed that the pyrimidine ring and aminal nitrogens, together with the hydrophobic trichloromethyl group, are important structural motifs; in contrast, the elimination of the nitro-imidazole moiety produces little effect. Apcin showed preclinical activity against multiple myeloma [26], prostate cancer [27], glioblastoma [28] and osteosarcoma [29] cells. Very recently, during the current investigation, the synthesis and the in vitro evaluation in a panel of solid tumor cells [MCF-7, A375, A549, HepG2, Hela, Ovcar-3 and Caov-3) of a series of 2,2,2-trichloro-1-aryl carbamate derivatives in which Apcin was modified by changing the pyrimidinyl or the 1-(2-methoxyethyl)-2-methyl-5-nitro-1H-imidazolyl moiety, has been reported [30]. Few studies are currently available on acute leukemias [31]. Withaferin A, a compound inducing degradation of the Mad2-Cdc20 complex was shown to reduce cell viability in acute myeloid and lymphoblastic models [32,33,34].
Since compound 9 showed a selective activity against leukemic cell lines, we then investigated whether the tryptaminic and 2-aminopyrimidyl moieties of compound 9 were effective against solid tumor models, when tested separately. We observed that the trichloro-1-(pyrimidin-2-ylamino)ethyl group (compound 7) maintained some activity against Jurkat 6 cells and was more active against U2OS cells, while solely the presence of tryptaminyl and trichloroethyl groups (connected through an ureido moiety) (as in compound 4), produced the total loss of activity against hematological models, while being effective against U2OS and the colon cancer cell line HT29. Moreover, the dimeric form of compound 4, with symmetry with respect to the trichloroethyl group, (compound 5) showed a further activity reduction, being able to reduce cell growth in a single cell line and at very high doses that hamper any preclinical development. Overall, these data suggest that both the triptaminyl and the pyrimidinyl moieties connected through the trichloroehtyl group (compound 9) are relevant to the compound effectiveness against acute leukemia models, while showing a modest and selective activity in solid cancers.
Therefore, we sought to identify novel compounds able to target solid tumors. Keeping constant the presence of the tryptaminic scaffold and binding it to the azelayl moiety (compound 13), we maintained a biological activity against acute myeloid and B-cell acute lymphoblastic leukemia cell lines and observed a selective effect in HT29 cells, against solid cancer models. Conversely, solid tumor models displayed a specific vulnerability towards compound 14 (the acid free form of the ester of compound 13), that was not effective against hematological cell lines. Of note, compounds 13 and 14 were both active against HT29 cells, in line with previous observations on similar compounds [17]. Moreover, these compounds recall the structure of HDAC inhibitors, that showed modest efficacy as single agent in acute leukemias [35,36].
3. Materials and Methods
3.1. Chemical Syntheses
The reagents used, unless stated otherwise, were purchased from Sigma-Aldrich (Milan, Italy). CH2Cl2 was dried by distillation over P2O5. Anhydrous THF was freshy distilled over sodium benzophenone ketyl. Chromatographic purifications (FC) were carried out on glass columns packed with silica gel Geduran Si 60, 0.063–0.200 mm, (Sigma-Aldrich, Milan, Italy) or neutral alumina (Brockmann Grade 58 angstroms, Alfa Aesar, Kandel Germany) at medium pressure. Thin-layer chromatography (TLC) was performed on silica gel 60 F254-coated aluminum foils (Fluka, Buchs, Switzerland) or neutral alumina coated plates (Polygram Alox N/UV254, Macherey-Nagel, Oensingen, Switzerland).
The nuclear magnetic resonance spectra were recorded at 25 °C on Varian spectrometers Mercury 400 or Inova 600 (Varian, Palo Alto, CA, USA) operating at 400 or 600 MHz (for 1H-NMR) and 100.56 or 150.80 MHz (for 13C-NMR), respectively. Signal multiplicities were established by DEPT-135 experiments. Chemical shifts were measured in δ (ppm) with reference to the solvent (DMSO-d6: δ = 2.50 ppm for 1H-NMR and δ = 39.5 for 13C NMR; CD3CN: δ = 1.96 ppm for 1H NMR and δ = 118.26 ppm for 13C-NMR; CDCl3: δ = 7.26 ppm for 1H-NMR and δ = 77.0 ppm for 13C-NMR). J-values are given in Hz. Electrospray ionization (ESI)-MS spectra and ESI high-resolution HRMS spectra were recorded using Waters ZQ 4000 and Xevo instrument, respectively (Waters Corporation, Milford, MA, USA). IR spectra were recorded using a Fourier transform spectrophotometer PerkinElmer FT-IR spectrometer Spectrum Two in the 4000−400 cm−1 wavelength range, using an Universal ATR accessory (Perkin Elmer, Waltham, MA, USA). Melting points (m.p.) were measured on a Büchi 535 apparatus (Büchi, Flawil, Switzerland) and are uncorrected. Methyl 9-Chloro-9-oxononanoate (12) was prepared as previously described [17,18]. GC-MS analyses were recorded with a Agilent 6890 Series (Agilent, Santa Clara, CA, USA) gas chromatograph interfaced with a Agilent 5973 Network quadrupole mass selective detector (injection temperature: 250 °C; oven temperature was programmed as follows: 60 °C for 2 min, increased up to 260 °C at the rate of 20°/min, followed by 260 °C for 20 min; the carrier gas was helium, used at a flow rate of 1 mL/min; the transfer line temperature was 280 °C; the ionization was obtained by electron impact (EI); the acquisition range was 50–500 m/z). Bulb to bulb distillation was carried out using a Buchi GKR-50 apparatus (Büchi Flawil, Switzerland). Reactions under microwave irradiation were carried out using a Milestone Start Synth (Milestone Inc, Shelton, CT, USA) apparatus at 300 W. Copies of 1H-NMR, 13C-NMR and ESI-Ms spectra of compounds 4, 5, 7, 8, 9, 13, and 14 are reported in Supplementary Materials.
3.1.1. 1-(2-(1H-Indol-3-yl)ethyl)urea (Compound 2)
Tryptamine (compound 1, 2 g, 0.0125 mol) was introduced in a round bottom flask immersed in a water/ice bath. After 5 min, 37% aq. HCl (1.24 mL, 0.015 mol) was added and the mixture was magnetically stirred for 10 min. Ethanol (10 mL) was added and the system was immersed in an oil bath and heated at reflux for 5 min. To the solution, allowed to stand until to reach the room temperature, a solution of KOCN (1,21 g, 0.015 mol) in H2O (10 mL) was added. The resulting mixture was stirred at room temperature overnight then concentrated in vacuo. The residue was purified by flash column chromatography on silica gel (eluent: 8/2 DCM/MeOH) to afford compound 2 (70% yield) as a pale yellow solid whose chemico physical data are in agreement with those reported in the literature. Ref. [37] m.p.: 140.5–142.0 °C (Lit. [37]: 140–142 °C). Below we report the 1H-NMR spectrum, never published in CD3OD: (400 MHz, CD3OD, 25 °C) δ, ppm = 7.56 (dt, J = 8.0 Hz, J= 1.0 Hz, 1 H), 7.32 (dt, J= 8.0 Hz, J= 0.9 Hz, 1 H), 7.08 (ddd, J = 8.0 Hz, J = 7.1 Hz J= 1.3 Hz 1 H), 7.07 (br.s., 1 H), 6.9 (ddd, J= 8.0 Hz, J= 7.1 Hz, J = 1.1 Hz 1 H), 3.41 (t, J = 7.25 Hz, 2 H, NCH2), 2.92 (t, J = 7.25 Hz, 2 H, CH2).
3.1.2. 1-(2-(Indolin-3-yl)ethyl)-3-(2,2,2-trichloro-1-hydroxyethyl)urea (Compound 4)
A solution of compound 2 (0.5 g, 2.46 mmol) in THF (20 mL) was introduced in a vessel for MW experiments equipped with a heating plate and a magnetic bar. Chloral hydrate (compound 3, 0.85 g, 5.14 mmol) was added to the solution and the mixture was heated at 90 °C for 2 h under MW irradiation (300 W).
After cooling and removal of the solvent in vacuo, the crude residue was subjected to FC on silica gel (eluent: ethyl acetate) to afford compound 4 (0.80 g, 93% yield) as ocker solid: m.p.: 138–140 °C; 1H-NMR (600 MHz, DMSO-d6, 25 °C) δ, ppm = 10.82 (s, 1 H, NH indole), 7.55 (d, J = 7.8 Hz, 1H), 7.35 (d, J = 7.3 Hz, 1H), 7.14 (d, J = 1.7 Hz, 1H), 7.07 (t, J = 7.8 Hz, 1H), 6.98 (t, J = 7.3 Hz, 1H), 6.78 (d, J = 9.6 Hz, 1H), 6.35 (t, J = 5.6 Hz, 1H), 5.63 (t, J = 9.6 Hz, 1H), 3.37 (m, 2H), 2.83 (m, 2H), (A very broad signal is overlapped to that at 7.35 ppm); 13C-NMR (150 MHz, CD3OD, 25 °C) δ, ppm = 156.3 (C), 136.3 (C), 127.2 (C), 122.8 (CH), 120.9 (CH), 118.4 (CH), 118.2 (CH), 111.7 (C), 111.3 (CH), 103.3 (C), 81.9 (CH), 39.8 (CH2), 25.8 (CH2); ATR-IR: (cm−1): 3401, 1658, 1558, 1074, 737; ESI-MS+ (m/z): 350 [M + H]+, 372 [M + Na]+; ESI-HRMS+ (m/z): for C13H14Cl3N3NaO2+ Calc. 372,00493, found 372.0049.
3.1.3. 1-(2-(1H-Indol-3-yl)ethyl)-3-(2,2,2-trichloro-1-(3-(2-(3a,7a-dihydro-1H-indol-3-yl)ethyl)ureido)ethyl)urea (Compound 5).
In a three necked round bottomed flask, partially immersed in an oil bath and equipped with a reflux condenser and a magnetic bar, chloral hydrate (3, 0.17 g, 1.03 mmol) was introduced under argon atmosphere. The system was heated at 100 °C until melting of compound 3, then compound 2 (0.200 g, 0.984 mmol) and after 1 h anhydrous toluene (2 mL) was added and the reaction was stirred at 100 °C overnight and then allowed to cool to room temperature. After adding 10 mL of ethyl acetate the mixture was filtered under vacuum and the obtained solid was washed with methanol to obtain compound 5 as a grey solid. (132 mg, 0.246 mmol, 50%) m.p.: 208–210 °C; 1H-NMR (400 MHz, DMSO-d6, 25 °C) δ, ppm = 10.81 (s, 2 H, NH indole), 7.55 (d, J = 7.8 Hz, 2 H), 7.33 (d, J = 8.1 Hz, 2 H), 7.14 (d, J = 2.4 Hz, 2 H, CHNH), 7.06 (ddd, J = 8.1 Hz, J = 7.0 Hz, J = 1.2 Hz, 2 H), 6.97 (ddd, J = 7.8 Hz, J = 7.0 Hz, J = 1.0 Hz 2 H), 6.78 (d, J = 9.5 Hz, 2 H, NHCHCCl3), 6.33 (t, J = 9.5 Hz, 1 H, CHCCl3), 6.25 (t, J = 5.6 Hz, 2 H, NHCH2), 2.81 (td J1 = 6.9 Hz, J2 = 2.71 Hz, 4 H, CH2CH2N), (a signal is overlapped to that of water); 13C-NMR (100 MHz, DMSO-d6, 25 °C) δ, ppm = 155.9, 136.3, 127.2, 122.7 (CH), 120.9 (CH), 118.4 (CH), 118.2 (CH), 111.7, 111.3 (CH), 103.8, 67.6 (CH), 40.2 (CH2), 25.8 (CH2); ATR-IR: (cm−1): 3386, 3329, 3286, 1637, 1558, 740; ESI-MS+ (m/z): 535 [M + H]+ 557 [M + Na]+, 575 [M + K]+; ESI-HRMS+ (m/z): for C24H25Cl3N6NaO2+ Calc. 557.10023, found 557.1002.
3.1.4. 2,2,2-Trichloro-1-(pyrimidin-2-ylamino)ethan-1-ol (Compound 7)
A solution of 2-aminopyrimidine (compound 6, 0.285 g, 3.0 mmol) and chloral hydrate (3, 496.5 mg, 3.0 mmol) in THF (20 mL) was introduced in a wessel for MW experiments equipped with a heating plate and a magnetic bar. The mixture was heated at 90 °C for 3 h under MW irradiation (300 W) then allowed to stand at room temperature. The solvent was removed in vacuo and the residue was subjected to bulb-to-bulb distillation (80 °C, 0.01 mmHg, 2 h). Pure compound 7 was recovered as white solid in the initial bulb (0.611 g, 2.52 mmol, 84% yield). m.p.:166.5–168.0 °C (Lit: [38] 167–169 °C); 1H-NMR (600 MHz, DMSO-d6, 25 °C) δ, ppm = 8.40 (d, J = 4.8 Hz, 2 H), 7.50 (m, 2 H, NH+OH), 6.79 (t, J = 4.8 Hz, 1 H), 6.20 (dd J1 = 9.7 Hz, J2 = 5.9 Hz, 1 H, CHCCl3); 13C-NMR (150 MHz, DMSO-d6, 25 °C) δ, ppm = 160.9, 158.1 (CH), 112.4 (CH), 103.1, 82.5 (CH); ATR-IR: (cm-1): 3300, 1576, 1074, 794; ESI-MS+ (m/z): 242 [M + H]+, 264 [M + Na]+; ESI-HRMS+ (m/z): for C6H7Cl3N3O+ Calc. 241.96547, found 241.9655.
3.1.5. N-(1,2,2,2-tetrachloroethyl)pyrimidin-2-amine (Compound 8)
In a flame-dried apparatus, equipped with a reflux condenser, dropping funnel and kept under inert atmosphere, a solution of compound 7 (241 mg, 1 mmol) in anhydrous THF (20 mL) was added. A solution of SOCl2 (73 μL, 1 mmol) in anhydrous THF (2 mL) was put in the dropping funnel and slowly added (dropwise in 20 min.). During and after the addition of SOCl2 nitrogen was bubbled into the solution in order to remove the gaseous by-products. The reaction course was monitored through 1H-NMR spectroscopy. When the conversion resulted quantitative, the solvent was removed and the white solid obtained was characterized and used without further purification. m.p.: 116.3–118.8 °C; 1H-NMR (300 MHz, DMSO-d6, 25 °C) δ, ppm = 8.45 (d, J = 4.6 Hz, 2 H), 7.74 (d, J = 9.5 Hz, 1 H, NH), 6.84 (t, J = 4.6 Hz, 1 H), 6.21 (d, J = 9.5 Hz, 1 H, CHCCl3); 13C-NMR (150 MHz, DMSO-d6, 25 °C) δ, ppm = 160.2, 158.0 (CH), 112.4 (CH), 102.9, 82.4 (CH); GC-MS (m/z): 189 (18, M-70), 154 (100, M-105), 119 (10, M-140), 79 (20); ESI-MS+ (m/z): 224 [M − Cl]+.
3.1.6. 2,2,2-Trichloro-N-(2-(3a,7a-dihydro-1H-indol-3-yl)ethyl)-N′-(pyrimidin-2-yl)ethane-1,1-diamine (Compound 9)
Tryptamine (compound 1, 0.200 g, 1.25 mmol) in anhydrous THF (5 mL) was added to a solution of compound 8 (0.120 mg, 0.5 mmol) in anhydrous THF (5 mL). The reaction mixture was heated at 50 °C overnight. After removal of the solvent, the crude was subjected to FC on neutral alumina (changing gradient eluent from n-hexane/ethyl acetate 1/1 until pure ethyl acetate) and 44.2 mg (0.115 mmol, 23% yield) of pure compound 9, as waxy brown solid was obtained. m.p.: 132.5–134.5 °C; 1H-NMR (400 MHz, DMSO-d6, 25 °C) δ, ppm = 10.76 (br. s, 1 H, NH indole), 8.37 (d, J =4.7 Hz, 2 H), 7.56 (d, J = 9.1 Hz, 1 H), 7.39 (d, J = 7.8 Hz, 1 H), 7.30 (dt, J1 = 8.0, J2 = 0.8 Hz, 1 H), 7.11 (d, J = 2.3 Hz, 1 H), 7.03 (ddd, J = 8.0 Hz, J = 7.0 Hz, J = 1.2 Hz, 1 H), 6.91 (ddd, J = 7.8 Hz, J = 7.0 Hz, J = 1.0 Hz, 1 H), 6.73 (t, J = 4.7 Hz, 1 H), 5.70 (dd, J1 = 10.8, J2 = 9.1 Hz, 1 H, CHCCl3), 3.04–2.76 (m, 4 H); 13C-NMR (100 MHz, DMSO-d6, 25 °C) δ, ppm = 162.0, 158.1 (CH), 157.9, 136.1, 127.1 (CH), 122.6 (CH), 120.8 (CH), 118.1 (CH), 111.9, 111.8 (CH), 111.3 (CH), 103.8, 76.3 (CH), 47.3 (CH2), 25.5 (CH2); ATR-IR: (cm−1): 3411, 3221, 1584, 1444, 1415, 798, 784, 740; ESI-MS+ (m/z): 384 [M + H]+, 406 [M+Na]+, 424 [M + K]+; ESI-HRMS+ (m/z): for C16H16Cl3N5Na+ Calc. 406.03690, found 406.0369.
3.1.7. Methyl 9-((2-(1H-indol-3-yl)ethyl)amino)-9-oxononanoate (Compound 13)
Tryptamine (compound 1, 320.5 mg, 2 mmol) was added to a magnetically stirred solution of crude freshly prepared compound 12 (1 mmol) [17,18]. After 3 h at room temperature, 1H-NMR analysis of a sample revealed disappearance of the signals belonging to 12. After removal of the solvent in vacuo and purification through FC (eluent: DCM/MeOH 9.5/0.5) 199.5 mg (0.58 mmol, 58%) of pure 13 was obtained as a light brown solid: m.p.:56.5–58.0 °C; 1H-NMR (300 MHz, CDCl3, 25 °C) δ, ppm = 8.60 (s, 1 H, NH), 7.59 (d, J = 7.8 Hz, 1 H), 7.37 (d, J = 8.1 Hz, 1 H), 7.19 (t, J = 7.0 Hz, 1 H), 7.11 (t, J = 7.2 Hz, 1 H), 7.00 (s, 1 H), 5.65 (br.s, 1 H, NH), 3.67 (s, 3 H), 3.59 (q, J = 6.4 Hz, 2 H, CH2CH2NH), 2.97 (t, J = 6.4 Hz, 2 H), 2.29 (t, J = 7.3 Hz, 2 H, CH2COOCH3), 2.08 (t, J = 7.3 Hz, 2 H), 1.65–1.50 (m, 4 H), 1.26 (br.s, 6 H); 13C-NMR (100 MHz, CDCl3, 25 °C) δ, ppm = 174.4, 173.5, 136.4, 127.3, 122.1 (CH), 122.0 (CH), 119.3 (CH), 118.5 (CH), 112.6, 111.3 (CH), 51.5 (CH3), 39.7 (CH2), 36.5 (CH2), 34.0 (CH2), 28.9 (CH2, 2 signals overlapped), 28.8 (CH2), 25.6 (CH2), 25.2 (CH2), 24.7 (CH2); ATR-IR: (cm−1): 3390, 3272, 1730, 1633, 737; ESI-MS+ (m/z): 345 [M + H]+, 367 [M + Na]+, 383 [M + K]+; ESI-HRMS+ (m/z): for C20H28N2NaO3+ Calc. 367.19976, found 367.1998.
3.1.8. 9-((2-(1H-Indol-3-yl)ethyl)amino)-9-oxononanoic Acid (Compound 14)
LiOH·H2O (25 mg, 0.6 mmol) was added to a solution of compound 13 (0.172 g, 0.5 mmol) in 25 mL of a 20% v/v solution of THF in H2O and the mixture was stirred at room temperature for 3 h. After acidification with 10% aq. HCl, EtOAc and H2O were added to the mixture. The extracted organic layer was dried over anhydrous MgSO4 and concentrated and pure compound 14 was recovered in 86% yield (142 mg, 0.41 mmol) as pale grey solid: m.p.: 88.0–91.4 °C; 1H-NMR (300 MHz, CDCl3, 25 °C) δ, ppm = 8.42 (br.s, 1 H, NH), 7.58 (d, J = 7.8 Hz, 1 H), 7.37 (d, J = 7.8 Hz, 1 H), 7.19 (dt, J1 = 7.8 Hz, J2 = 1.2 Hz 1 H), 7.11 (dt, J1 = 7.8 Hz, J2 = 1.2 Hz 1 H), 7.01 (d, J = 1.9 Hz, 1 H), 5.63 (br.s, 1 H, NH), 3.60 (q, J = 6.2 Hz, 2 H), 2.96 (t, J = 7.0 Hz, 2 H), 2.38–2.28 (m, 4 H), 2.09 (t, J = 6.2, 2H) 1.69–1.48 (m, 6 H), 1.39–1.29 (br.s, 2 H); 13C NMR (75 MHz, CDCl3, 25 °C) δ, ppm = 179.0, 173.5, 173.4, 127.3, 122.2 (CH), 122.1 (CH), 119.4 (CH), 118.6 (CH), 112.7, 111.3 (CH), 39.6 (CH2), 36.7 (CH2), 33.9 (CH2), 30.3 (CH2), 28.8 (CH2), 28.7 (CH2), 25.5 (CH2), 25.2 (CH2), 24.6 (CH2); 1H-NMR (600 MHz, CD3CN, 25 °C) δ, ppm = 9.17 (br.s, 1 H, NH), 7.59 (d, J = 8.0 Hz, 1 H), 7.40 (d, J = 8.2 Hz, 1 H), 7.14 (t, J = 8.2 Hz, 1 H), 7.09 (d, J = 1.6 Hz, 1 H), 7.06 (t, J = 8.0 Hz, 1 H), 6.53 (br.s, 1 H, NH), 3.46 (q, J = 7.0 Hz, 2 H), 2.91 (t, J = 7.2 Hz, 2 H), 2.27 (t, J = 7.6, 2H), 2.09 (t, J = 7.7 hZ, 2H), 1.60–1.48 (m, 4 H) 1.34–1.20 (m, 6 H); 13C-NMR (150 MHz, CD3CN, 25 °C) δ, ppm = 175.4, 174.1, 137.5, 128.5, 123.5 (CH), 122.3 (CH), 119.7 (CH), 119.4 (CH), 113.4, 112.2 (CH), 40.5 (CH2), 36.8 (CH2), 34.2 (CH2), 29.60 (CH2), 29.58 (CH2), 29.54 (CH2), 26.4 (CH2), 26.0 (CH2), 25.5 (CH2); ATR-IR: (cm−1): 3388, 3269, 1710, 1631; ESI-MS+ (m/z): 331 [M + H]+, 353 [M + Na]+, 369 [M + K]+; ESI-HRMS+ (m/z): for C19H26N2NaO3+ Calc. 353.18411, found 353.1841.
3.2. Cell Culture and Treatments
3.2.1. Cell Culture
The squamous carcinoma (A431), human colon cancer (HT29), human bone osteosarcoma (U2OS), a human T-cell acute lymphoblastic leukemia (Jurkat 6) and acute myeloid leukemia (MV-4-11) cell lines were purchased from American Type Culture Collection (ATCC, Manassas, VA). Two additional human cell lines, a B-cell acute lymphoblastic leukemia (REH) and an acute myeloid leukemia (KG-1) model were obtained from Leibniz-Institut DSMZ-Deutsche Sammlung von Mikroorganismen und Zellkulturen GmbH (Germany) and the human ovarian cancer cell line (IGROV1) has been kindly provided by Istituto Nazionale Tumori (IRCCS, Milan, Italy). Cells were cultured in RPMI 1640 medium (Labtek Eurobio, Milan, Italy), supplemented with 10% heat-inactivated fetal bovine serum (Thermo Fisher Scientific, Waltham, MA, USA) or fetal calf serum (Euroclone, Milan, Italy), 100 U/mL penicillin, 100 μg/mL streptomycin (GE Healthcare, Chicago, IL, USA) and 2mM l-glutamine (Sigma-Aldrich, Milan, Italy), at 37 °C and 5% CO2 atmosphere. The compounds were dissolved in DMSO (Sigma-Aldrich, Milan, Italy) in a stock solution.
3.2.2. Cell Viability Assays
To evaluate the compounds activity, the cells were treated for 24 h with vehicle (DMSO, as control) or with the test samples at concentrations between 0.01 µM and 250 µM. Cell growth was assessed by the luminescence-based RealTime-Glo MT Cell Viability Assay (Promega, Madison, WI, USA) or the colorimetric 3-(4,5-dimethylthiazolyl-2)-2,5-diphenyltetrazolium bromide assay (MTT, Sigma-Aldrich, Milan, Italy). RealTime-Glo MT Cell Viability Assay was performed according to manufacturer instructions and luminescence was quantified by using GloMax 96 Microplate Luminometer (Promega, Madison, WI, USA). As for MTT assays, the culture medium was removed and cells incubated with 0.1 mL of MTT dissolved in PBS at the concentration of 0.2 mg/mL following Micheletti et.al. [16]. The absorbance at 570 nm was measured using a multiwell plate reader (Tecan, Männedorf, Switzerland). The IC50 was determined from the dose-response curve by using Graph Pad software v.6.0.
4. Conclusions
We synthesized five novel derivatives characterized by the tryptamine nucleus as the common structural motif. This heterocycle was bound to an azelayl chain through an amide bond or to a 1,1,1-trichloroethyl group, in turn connected to another heterocyclic scaffold. In particular, ureido derivatives 4 and 5 bearing one and two tryptamine groups, respectively, were prepared by reaction of 1-(2-(1H-indol-3-yl)ethyl)urea with chloral hydrate. Reaction of 2-aminopyrimidine with chloral hydrate gave compound 7 that, after treatment with thionyl chloride and subsequent nucleophilic attack by tryptamine, produced compound 9. The combination of tryptamine and azelaoyl scaffolds under Schotten-Baumann like conditions produced structural hybrids compounds 13 and 14, a methyl ester and its free acid form, respectively, whose structures recall those of compounds behaving as HDAC inhibitors.
Additionally, the biological activity of these compounds was investigated on a panel of solid and hematological cancer cell lines and the data reported suggest that their cellular toxicity could be related to different mechanisms involved in different biological targets.
Compound 9 shows a marked cytotoxicity on leukemic cell lines tested, with IC50 values comprised from 28.5 µM for MV-4-11 to 0.570 µM for Jurkat 6; was inactive only in KG-1. In all solid tumor lines tested it is inactive, except for the U2OS cell line where it induces cytotoxic effect at high concentrations (IC50 = 235 µM).
The binuclear compound 5 loses activity in leukemic and solid tumor cell lines, acting only in HT29 at high concentrations (IC50 = 212 µM).
Compound 4 loses activity in all leukemic lines, while in solid tumors shows a cytotoxic effect only in HT29 (IC50 = 0.0115 µM) and in U2OS (IC50 = 22.54 µM).
These data confirm that both the triptaminyl and the pyrimidinyl moieties connected through the trichloroehtyl group (compound 9) are relevant to the compound effectiveness against acute leukemia models, while showing a modest and selective activity in solid cancers.
Interestingly, keeping constant the presence of the tryptaminic scaffold and binding it to the azelayl moiety, the compounds maintain a biological activity.
Compound 13 is active against KG-1 (IC50 = 32.44 µM), MV-4-11 (IC50 = 102.50 µM), REH (IC50 = 29.32 µM) and a selective effect only against HT29 cells (IC50 = 0.006 µM), among solid tumor models.
Compound 14 loses activity on all leukemic lines, while showing a marked cytotoxicity on all solid tumor lines tested, with IC50 values of 0.0072 µM for A431, 0.096 µM for HT29, 0.0015 for IGROV1 and 0.469 for U2OS.
Studies addressing the clarification and/or identification of additional biological targets as well as the deepen investigation of structure–activity relationships are currently ongoing in our laboratories.
Supplementary Materials
The following are available online, Figures S1–S31: 1H-, 13C-NMR and ESI-Ms spectra.
Author Contributions
Conceptualization, G.S., C.B. and N.C.; methodology, A.G.L.d.R., S.B., N.C., J.D., G.M. (Gabriele Micheletti), F.M.; data analysis, A.G.L.d.R., G.S., N.C., C.B.; investigation, J.D., D.T., G.M. (Giovanni Martinelli), N.C., P.C.; writing—original draft preparation, G.S., C.B. and N.C.; writing—review and editing, A.G.L.d.R., G.M. (Giovanni Martinelli), C.B., N.C. All authors have read and agreed to the published version of the manuscript.
Funding
This research was funded by University of Bologna, Alma Idea Junior Research Grant (to G.S.) and RFO (ex60%) funds (N.C. and C.B.).
Data Availability Statement
Not applicable.
Acknowledgments
We are grateful to Lanfranco Masotti for the helpful discussion. The authors thank Luca Zuppiroli for running the mass spectra.
Conflicts of Interest
The authors declare no conflict of interest.
Sample Availability
Samples of compounds 7 and 13 are available from the authors.
References
- Gribble, G.W. Heterocyclic Scaffolds II: Reactions and Applications of Indoles in Topics in Heterocyclic Chemistry; Springer: Berlin/Heidelberg, Germany, 2010; Volume 26. [Google Scholar]
- O’Connor, S.E. Comprehensive Natural Products II; Mander, L., Liu,, H.-W., Eds.; Elsevier: Amsterdam, The Netherlands, 2010; Volume 1, p. 977. [Google Scholar]
- Aniszewski, T. Alkaloids Chemistry, Biology, Ecology and Applications, 2nd ed.; Elsevier: Amsterdam, The Netherlands, 2015. [Google Scholar]
- Han, S.; Movassaghi, M.J. Concise total synthesis and stereochemical revision of all (−)-Trigonoliimines. Am. Chem. Soc. 2011, 133, 10768–10771. [Google Scholar] [CrossRef]
- Jones, S.B.; Simmons, B.; Mastracchio, A.; MacMillan, D.W.C. Collective synthesis of natural products by means of organocascade catalysis. Nature 2011, 475, 183–188. [Google Scholar] [CrossRef]
- Eleutherakis-Papaiakovou, E.; Kanellias, N.; Kastritis, E.; Gavriatopoulou, M.; Terpos, E.; Dimopoulos, M.A. Efficacy of Panobinostat for the Treatment of Multiple Myeloma. J. Oncol. 2020, 2020, 1–11. [Google Scholar] [CrossRef]
- Grindrod, S.; Jung, M.; Brown, M.; Dritschilo, A. Dual Function Molecules for hIstone Deacetylase Inhibition and Ataxia Telangiectasia Mutated Activation and Methods of Use Thereof; US 2016/0257649 Al; Shuttle Pharmaceuticals, LLC.: Rockville, MD, USA, 2016. [Google Scholar]
- Bertucci, C.; Hudaib, M.; Boga, C.; Calonghi, N.; Cappadone, C.; Masotti, L. Gas chromatography/mass apectrometry assay of endogenous cellular lipid peroxidation products: Quantitative analysis of 9- and 10-hydroxystearic acids. Rapid Commun. Mass Spectrom. 2002, 16, 859–864. [Google Scholar] [CrossRef]
- Calonghi, N.; Cappadone, C.; Pagnotta, E.; Farruggia, G.; Buontempo, F.; Boga, C.; Brusa, G.; Santucci, M.; Masotti, L. 9-Hydroxystearic acid upregulates p21WAF1 in HT29 cancer cells. Biochem. Biophys. Res. Commun. 2004, 314, 138–142. [Google Scholar] [CrossRef]
- Calonghi, N.; Cappadone, C.; Pagnotta, E.; Boga, C.; Bertucci, C.; Fiori, J.; Tasco, G.; Casadio, R.; Masotti, L. Histone deacetylase 1: a target of 9-hydroxystearic acid in the inhibition of cell growth in human colon cancer. J. Lipid Res. 2005, 46, 1596–1603. [Google Scholar] [CrossRef]
- Calonghi, N.; Pagnotta, E.; Parolin, C.; Tognoli, C.; Boga, C.; Masotti, L. 9-Hydroxystearic acid interferes with EGF signalling in a human colon adenocarcinoma. Biochem. Biophys. Res. Commun. 2006, 342, 585–588. [Google Scholar] [CrossRef]
- Calonghi, N.; Pagnotta, E.; Parolin, C.; Molinari, C.; Boga, C.; Piaz, F.D.; Brusa, G.; Santucci, M.; Masotti, L. Modulation of apoptotic signalling by 9-hydroxystearic acid in osteosarcoma cells. Biochim. et Biophys. Acta (BBA) Mol. Cell Biol. Lipids 2007, 1771, 139–146. [Google Scholar] [CrossRef]
- Parolin, C.; Calonghi, N.; Presta, E.; Boga, C.; Caruana, P.; Naldi, M.; Andrisano, V.; Masotti, L.; Sartor, G. Mechanism and stereoselectivity of HDAC I inhibition by (R)-9-hydroxystearic acid in colon cancer. Biochim. Biophys. Acta (BBA) Mol. Cell Biol. Lipids 2012, 1821, 1334–1340. [Google Scholar] [CrossRef]
- Boanini, E.; Torricelli, P.; Boga, C.; Micheletti, G.; Cassani, M.C.; Fini, M.; Bigi, A. (9R)-9-Hydroxystearate-Functionalized Hydroxyapatite as Anti-Proliferative and Cytotoxic Agent towards Osteosarcoma Cells. Langmuir 2016, 32, 188–194. [Google Scholar] [CrossRef]
- Busi, A.; Aluigi, A.; Guerrini, A.; Boga, C.; Sartor, G.; Calonghi, N.; Sotgiu, G.; Posati, T.; Corticelli, F.; Fiori, J.; et al. Unprecedented Behavior of (9R)-9-Hydroxystearic Acid-Loaded Keratin Nanoparticles on Cancer Cell Cycle. Mol. Pharm. 2019, 16, 931–942. [Google Scholar] [CrossRef] [PubMed]
- Calonghi, N.; Boga, C.; Telese, D.; Bordoni, S.; Sartor, G.; Torsello, C.; Micheletti, G. Synthesis of 9-Hydroxystearic Acid Derivatives and Their Antiproliferative Activity on HT 29 Cancer Cells. Molecules 2019, 24, 3714. [Google Scholar] [CrossRef]
- Boga, C.; Micheletti, G.; Orlando, I.; Strocchi, E.; Vitali, B.; Verardi, L.; Sartor, G.; Calonghi, N. New Hybrids with 2-aminobenzothiazole and Azelayl Scaffolds: Synthesis, Molecular Docking and Biological Evaluation. Curr. Org. Chem. 2018, 22, 1649–1660. [Google Scholar] [CrossRef]
- Micheletti, G.; Calonghi, N.; Farruggia, G.; Strocchi, E.; Palmacci, V.; Telese, D.; Bordoni, S.; Frisco, G.; Boga, C. Synthesis of Novel Structural Hybrids between Aza-Heterocycles and Azelaic Acid Moiety with a Specific Activity on Osteosarcoma Cells. Molecules 2020, 25, 404. [Google Scholar] [CrossRef] [PubMed]
- Sackton, K.L.; Dimova, N.; Zeng, X.; Tian, W.; Zhang, M.; Sackton, T.B.; Meaders, J.L.; Pfaff, K.L.; Sigoillot, F.D.; Yu, H.; et al. Synergistic blockade of mitotic exit by two chemical inhibitors of the APC/C. Nat. Cell Biol. 2014, 514, 646–649. [Google Scholar] [CrossRef] [PubMed]
- Wan, Y.; Zhou, Z.; Chi, J.; Schiltz, G. Bifunctional Compounds Comprising Apcin-a and Their Use in the Treatment of Cancer; WO 2020/214555 A1; Northwestern University: Evanston, IL, USA, 2020. [Google Scholar]
- Simonetti, G.; Bruno, S.; Padella, A.; Tenti, E.; Martinelli, G. Aneuploidy: Cancer strength or vulnerability? Int. J. Cancer 2019, 144, 8–25. [Google Scholar] [CrossRef]
- Simonetti, G.; Padella, A.; Valle, I.F.D.; Fontana, M.C.; Fonzi, E.; Bruno, S.; Baldazzi, C.; Guadagnuolo, V.; Manfrini, M.; Ferrari, A.; et al. Aneuploid acute myeloid leukemia exhibits a signature of genomic alterations in the cell cycle and protein degradation machinery. Cancer 2018, 125, 712–725. [Google Scholar] [CrossRef]
- Wu, W.-J.; Hu, K.-S.; Wang, D.-S.; Zeng, Z.-L.; Zhang, D.; Chen, D.-L.; Bai, L.; Xu, R. CDC20 overexpression predicts a poor prognosis for patients with colorectal cancer. J. Transl. Med. 2013, 11, 142. [Google Scholar] [CrossRef]
- Moura, I.M.B.; Delgado, M.L.; Silva, P.M.A.; Lopes, C.A.; Amaral, J.B.D.; Monteiro, L.S.; Bousbaa, H. High CDC20 expression is associated with poor prognosis in oral squamous cell carcinoma. J. Oral Pathol. Med. 2013, 43, 225–231. [Google Scholar] [CrossRef]
- Ouellet, V.; Guyot, M.-C.; Le Page, C.; Filali-Mouhim, A.; Lussier, C.; Tonin, P.N.; Provencher, D.; Mes-Masson, A.-M. Tissue array analysis of expression microarray candidates identifies markers associated with tumor grade and outcome in serous epithelial ovarian cancer. Int. J. Cancer 2006, 119, 599–607. [Google Scholar] [CrossRef]
- Lub, S.; Maes, A.; Maes, K.; De Veirman, K.; De Bruyne, E.; Menu, E.; Fostier, K.; Kassambara, A.; Moreaux, J.; Hose, D.; et al. Inhibiting the anaphase promoting complex/cyclosome induces a metaphase arrest and cell death in multiple myeloma cells. Oncotarget 2015, 7, 4062–4076. [Google Scholar] [CrossRef] [PubMed]
- Wu, F.; Dai, X.; Gan, W.; Wan, L.; Li, M.; Mitsiades, N.; Wei, W.; Ding, Q.; Zhang, J. Prostate cancer-associated mutation in SPOP impairs its ability to target Cdc20 for poly-ubiquitination and degradation. Cancer Lett. 2017, 385, 207–214. [Google Scholar] [CrossRef] [PubMed]
- De, K.; Grubb, T.M.; Zalenski, A.A.; Pfaff, K.E.; Pal, D.; Majumder, S.; Summers, M.K.; Venere, M. Hyperphosphorylation of CDH1 in Glioblastoma Cancer Stem Cells Attenuates APC/CCDH1 Activity and Pharmacologic Inhibition of APC/CCDH1/CDC20 Compromises Viability. Mol. Cancer Res. 2019, 17, 1519–1530. [Google Scholar] [CrossRef] [PubMed]
- Gao, Y.; Zhang, B.; Wang, Y.; Shang, G. Cdc20 inhibitor apcin inhibits the growth and invasion of osteosarcoma cells. Oncol. Rep. 2018, 40, 841–848. [Google Scholar] [CrossRef] [PubMed]
- Huang, P.; Le, X.; Huang, F.; Yang, J.; Yang, H.; Ma, J.; Hu, G.; Li, Q.; Chen, Z. Discovery of a Dual Tubulin Polymerization and Cell Division Cycle 20 Homologue Inhibitor via Structural Modification on Apcin. J. Med. Chem. 2020, 63, 4685–4700. [Google Scholar] [CrossRef]
- Di Rorà, A.G.L.; Martinelli, G.; Simonetti, G. The balance between mitotic death and mitotic slippage in acute leukemia: a new therapeutic window? J. Hematol. Oncol. 2019, 12, 1–16. [Google Scholar] [CrossRef]
- Oh, J.H.; Lee, T.-J.; Kim, S.H.; Choi, Y.H.; Lee, S.-H.; Lee, J.M.; Kim, Y.-H.; Park, J.-W.; Kwon, T.K. Induction of apoptosis by withaferin A in human leukemia U937 cells through down-regulation of Akt phosphorylation. Apoptosis 2008, 13, 1494–1504. [Google Scholar] [CrossRef]
- Okamoto, S.; Tsujioka, T.; Suemori, S.; Kida, J.; Kondo, T.; Tohyama, Y.; Tohyama, K. Withaferin A suppresses the growth of myelodysplasia and leukemia cell lines by inhibiting cell cycle progression. Cancer Sci. 2016, 107, 1302–1314. [Google Scholar] [CrossRef]
- Sanchez-Martin, M.; Ambesi-Impiombato, A.; Qin, Y.; Herranz, D.; Bansal, M.; Girardi, T.; Paietta, E.; Tallman, M.S.; Rowe, J.M.; De Keersmaecker, K.; et al. Synergistic antileukemic therapies inNOTCH1-induced T-ALL. Proc. Natl. Acad. Sci. USA 2017, 114, 2006–2011. [Google Scholar] [CrossRef]
- Garcia-Manero, G.; Yang, H.; Bueso-Ramos, C.; Ferrajoli, A.; Cortes, J.; Wierda, W.G.; Faderl, S.; Koller, C.; Morris, G.; Rosner, G.; et al. Phase 1 study of the histone deacetylase inhibitor vorinostat (suberoylanilide hydroxamic acid [SAHA]) in patients with advanced leukemias and myelodysplastic syndromes. Blood 2008, 111, 1060–1066. [Google Scholar] [CrossRef]
- Abaza, Y.; Kadia, T.; Jabbour, E.J.; Konopleva, M.Y.; Borthakur, G.; Ferrajoli, A.; Estrov, Z.; Wierda, W.G.; Alfonso, A.; Chong, T.H.; et al. Phase 1 dose escalation multicenter trial of pracinostat alone and in combination with azacitidine in patients with advanced hematologic malignancies. Cancer 2017, 123, 4851–4859. [Google Scholar] [CrossRef] [PubMed]
- Aillaud, I.; Barber, D.M.; Thompson, A.L.; Dixon, D.J. Enantioselective Michael Addition/Iminium Ion Cyclization Cascades of Tryptamine-Derived Ureas. Org. Lett. 2013, 15, 2946–2949. [Google Scholar] [CrossRef] [PubMed]
- Nelson, W.J.; Edwards, L.D.; Christian, E.J.; Jenkins, G.L. The Study, Testing and Synthesis of Certain Organic Compounds for Rodenticidal Activity. J. Am. Pharm. Assoc. 1947, 36, 349–352. [Google Scholar] [CrossRef] [PubMed]
Publisher’s Note: MDPI stays neutral with regard to jurisdictional claims in published maps and institutional affiliations. |
© 2021 by the authors. Licensee MDPI, Basel, Switzerland. This article is an open access article distributed under the terms and conditions of the Creative Commons Attribution (CC BY) license (http://creativecommons.org/licenses/by/4.0/).










