Effect of Intrahippocampal Administration of α7 Subtype Nicotinic Receptor Agonist PNU-282987 and Its Solvent Dimethyl Sulfoxide on the Efficiency of Hypoxic Preconditioning in Rats
Abstract
1. Introduction
2. Results
2.1. Postmortem Brain Analysis of Rats Given iHippo Injections
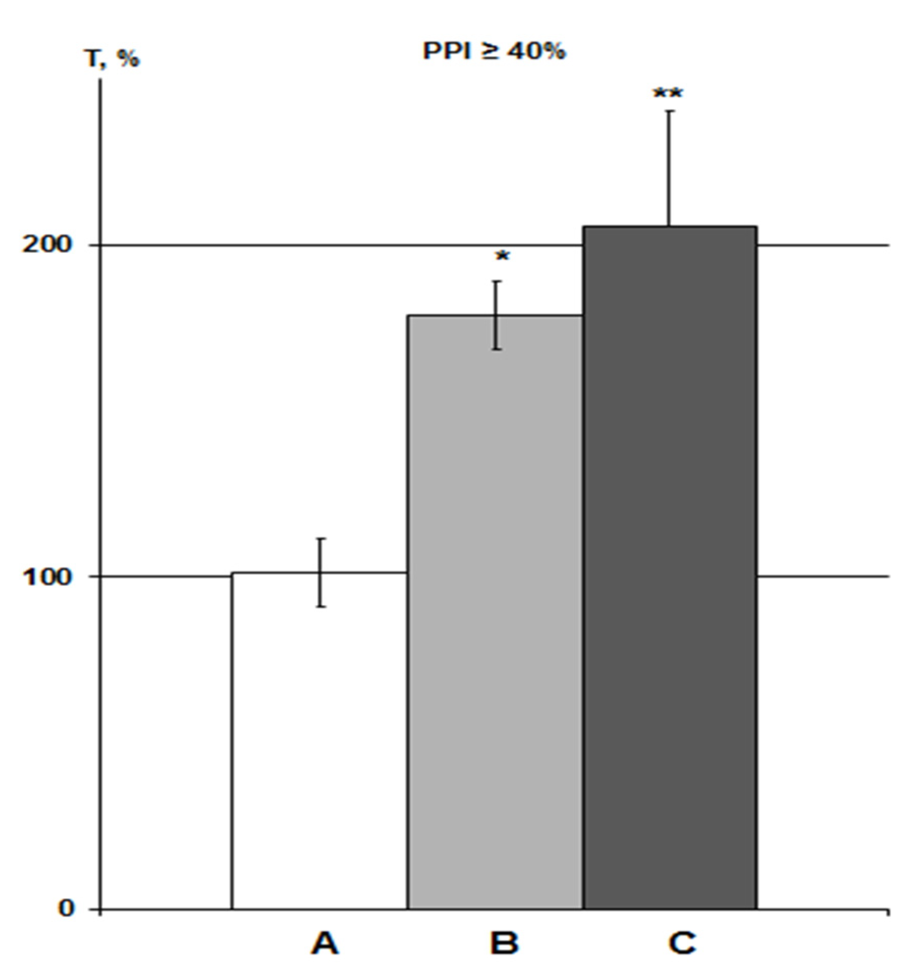
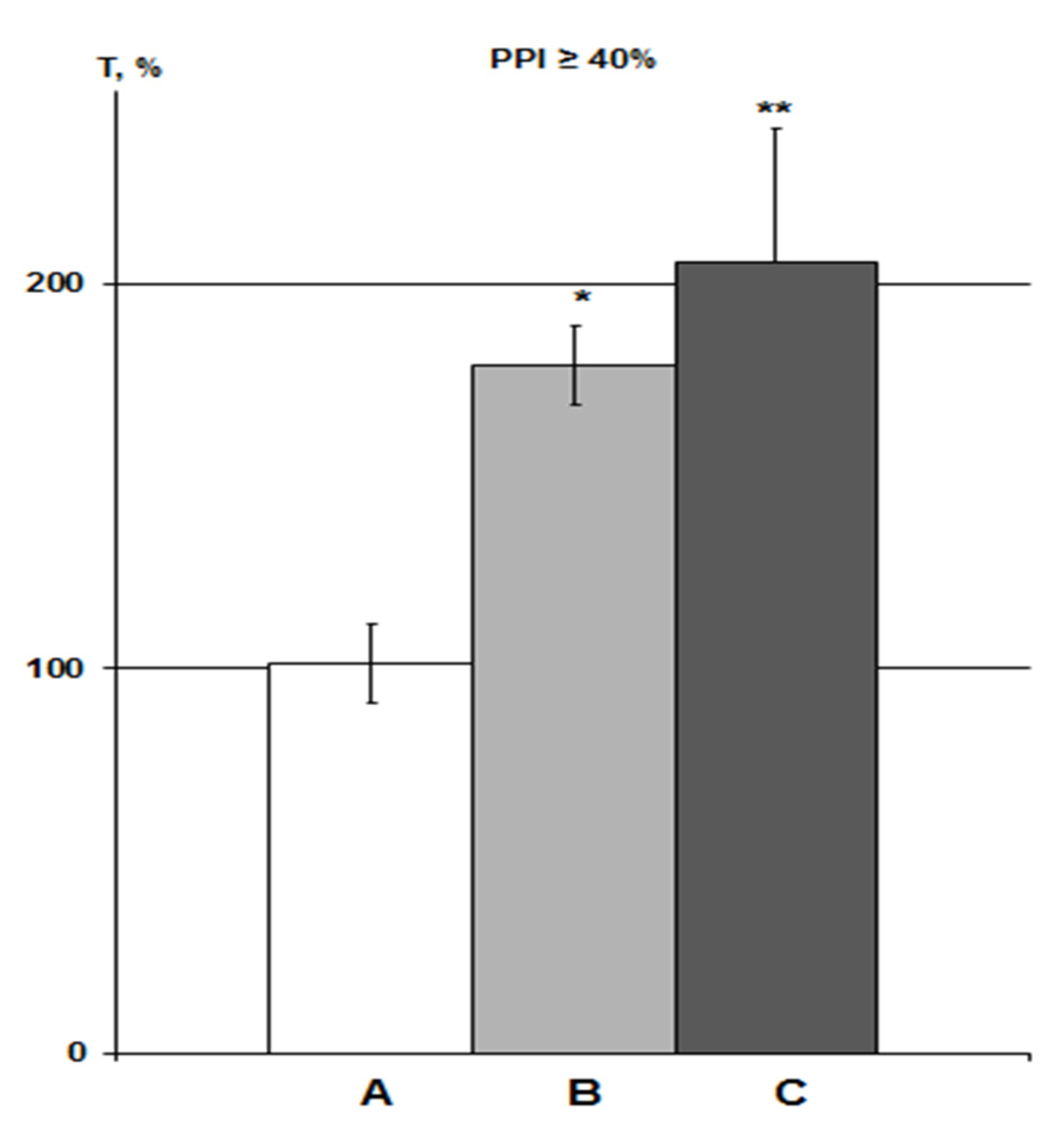
2.2. Pharmacological Data Analysis
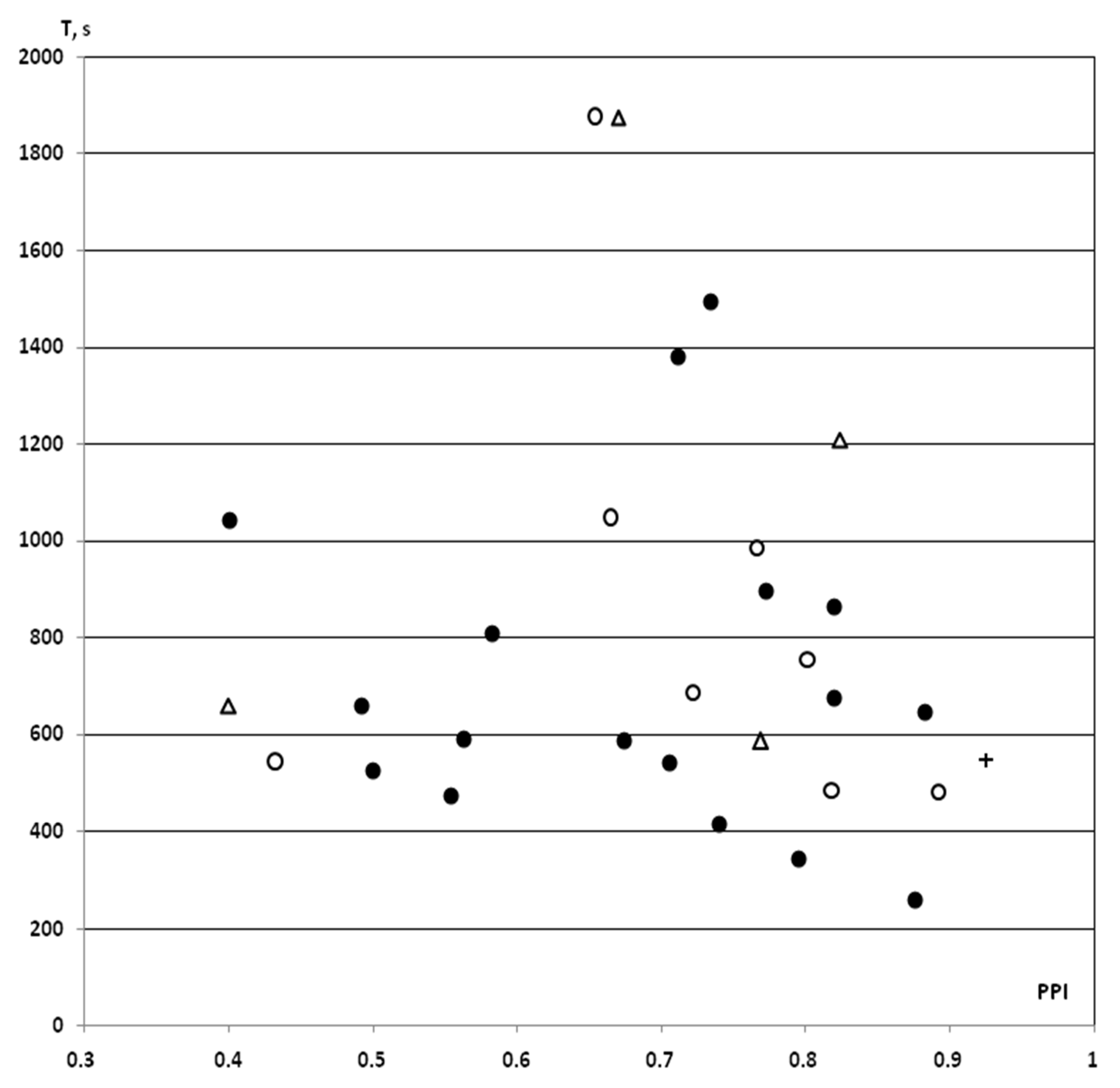
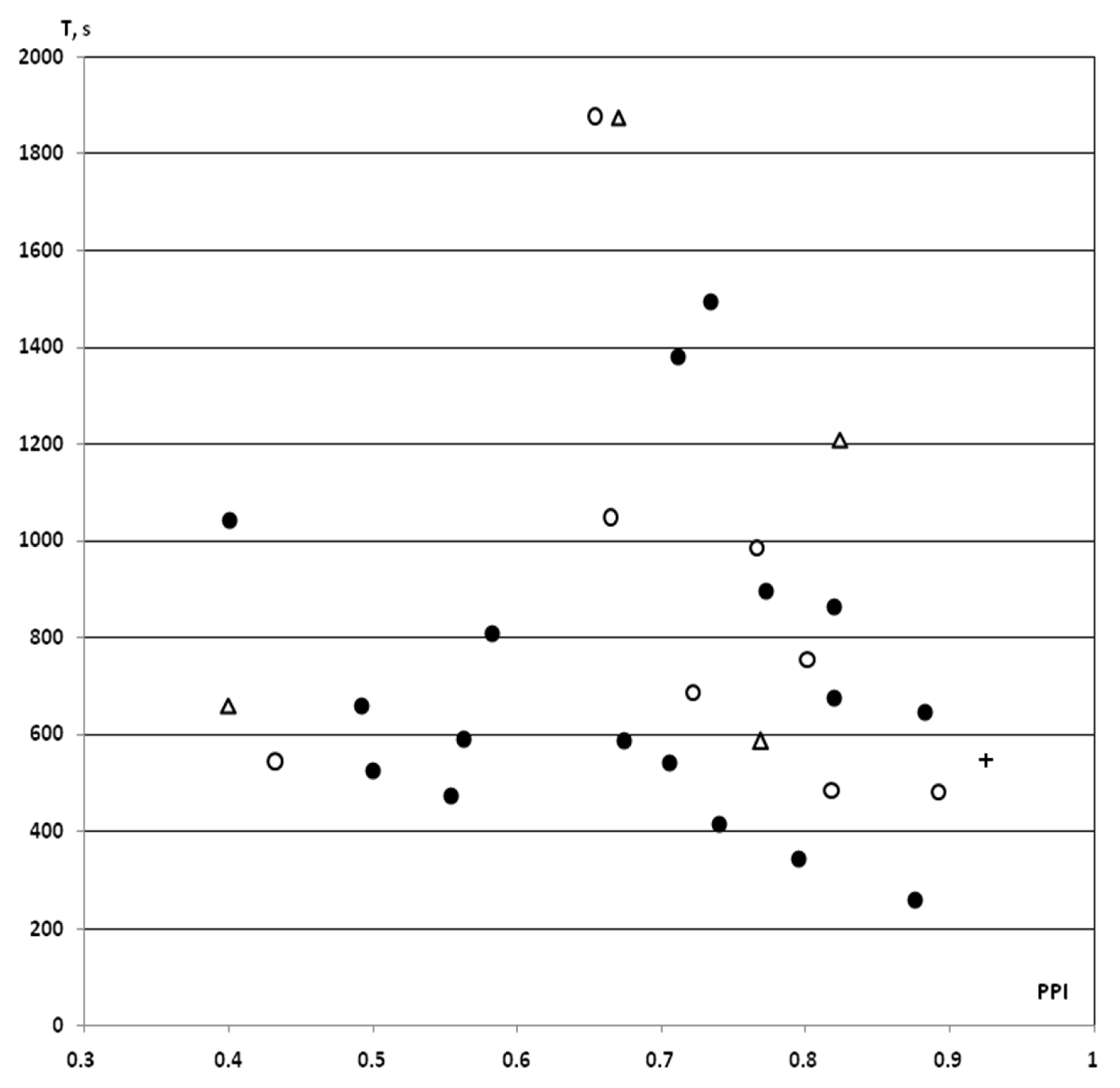
2.2.1. Control Group
2.2.2. DMSO Groups
2.2.3. PNU iHippo Group
3. Discussion
3.1. The Hippocampus Is A Key Structure in the Mechanism of the Preconditioning Action of HBH
3.2. Comparison of PNU Effects upon iHippo and IP Administration; α7nAChR Activation Is Not Involved in the Cholinergic Activation of Hypoxic Preconditioning
3.3. Under HBH Conditions, α7nAChRs May Be Involved in the Mechanisms of Filtering Cognitive Stimuli
3.4. Probable Mechanism of the Potentiation of Hypoxic Preconditioning by DMSO: A Potential Intersection Point with PNU and HBH
3.5. Are α7nAChRs Not Involved in Hypoxic Preconditioning?
4. Materials and Methods
4.1. Animals and Ethical Approval
4.2. Acoustic Startle Reaction Model
4.3. Surgical Procedures
4.4. Drug Administration
4.4.1. IP Drug Administration
4.4.2. iHippo Drug Administration
4.5. Hypoxic Models
4.6. Postmortem Brain Analysis
4.7. Experimental Protocol
4.8. Drugs
4.9. Data Analysis
5. Conclusions
Author Contributions
Funding
Institutional Review Board Statement
Informed Consent Statement
Data Availability Statement
Acknowledgments
Conflicts of Interest
Sample Availability
References
- Dani, J.A. Neuronal Nicotinic Acetylcholine Receptor Structure and Function and Response to Nicotine. Int. Rev. Neurobiol. 2015, 124, 3–19. [Google Scholar] [CrossRef] [PubMed]
- Levin, E.D. Nicotinic receptor subtypes and cognitive function. J. Neurobiol. 2002, 53, 633–640. [Google Scholar] [CrossRef] [PubMed]
- Hajos, M.; Hurst, R.S.; Hoffmann, W.E.; Krause, M.; Wall, T.M.; Higdon, N.R.; Groppi, V.E. The Selective α7 Nicotinic Acetylcholine Receptor Agonist PNU-282987 [N-[(3R)-1-Azabicyclo[2.2.2]oct-3-yl]-4-chlorobenzamide Hydrochloride] Enhances GABAergic Synaptic Activity in Brain Slices and Restores Auditory Gating Deficits in Anesthetized Rats. J. Pharmacol. Exp. Ther. 2004, 312, 1213–1222. [Google Scholar] [CrossRef] [PubMed]
- Cincotta, S.L.; Yorek, M.S.; Moschak, T.M.; Lewis, S.R.; Rodefer, J.S. Selective nicotinic acetylcholine receptor agonists: Potential therapies for neuropsychiatric disorders with cognitive dysfunction. Curr. Opin. Investig. Drugs 2008, 9, 47–56. [Google Scholar]
- Kroker, K.S.; Moreth, J.; Kussmaul, L.; Rast, G.; Rosenbrock, H. Restoring long-term potentiation impaired by amyloid-beta oligomers: Comparison of an acetylcholinesterase inhibitior and selective neuronal nicotinic receptor agonists. Brain Res. Bull. 2013, 96, 28–38. [Google Scholar] [CrossRef] [PubMed]
- Suzuki, S.; Kawamata, J.; Matsushita, T.; Matsumura, A.; Hisahara, S.; Takata, K.; Kitamura, Y.; Kem, W.; Shimohama, S. 3-[(2,4-dimethoxy)benzylidene]-anabaseine dihydrochloride protects against 6-hydroxydopamine-induced parkinsonian neurodegeneration through α7 nicotinic acetylcholine receptor stimulation in rats. J. Neurosci. Res. 2013, 91, 462–471. [Google Scholar] [CrossRef]
- Deutsch, S.I.; Burket, J.A.; Urbano, M.R.; Benson, A.D. The α7 nicotinic acetylcholine receptor: A mediator of pathogenesis and therapeutic target in autism spectrum disorders and Down syndrome. Biochem. Pharmacol. 2015, 97, 363–377. [Google Scholar] [CrossRef]
- Stoiljkovic, M.; Kelley, C.; Nagy, D.; Leventhal, L.; Hajós, M. Selective activation of α7 nicotinic acetylcholine receptors augments hippocampal oscillations. Neuropharmacology 2016, 110, 102–108. [Google Scholar] [CrossRef] [PubMed]
- Wallace, T.L.; Porter, R.H. Targeting the nicotinic alpha7 acetylcholine receptor to enhance cognition in disease. Biochem. Pharmacol. 2011, 82, 891–903. [Google Scholar] [CrossRef]
- Alkondon, M.; Albuquerque, E.X. Diversity of nicotinic acetylcholine receptors in rat hippocampal neurons. I. Pharmacological and functional evidence for distinct structural subtypes. J. Pharmacol. Exp. Ther. 1993, 265, 1455–1473. [Google Scholar]
- Fabian-Fine, R.; Skehel, P.; Errington, M.L.; Davies, H.A.; Sher, E.; Stewart, M.G.; Fine, A. Ultrastructural Distribution of the α7 Nicotinic Acetylcholine Receptor Subunit in Rat Hippocampus. J. Neurosci. 2001, 21, 7993–8003. [Google Scholar] [CrossRef] [PubMed]
- Baddick, C.G.; Marks, M.J. An autoradiographic survey of mouse brain nicotinic acetylcholine receptors defined by null mutants. Biochem. Pharmacol. 2011, 82, 828–841. [Google Scholar] [CrossRef]
- Shimohama, S.; Greenwald, D.; Shafron, D.; Akaika, A.; Maeda, T.; Kaneko, S.; Kimura, J.; Simpkins, C.; Day, A.; Meyer, E. Nicotinic α7 receptors protect against glutamate neurotoxicity and neuronal ischemic damage. Brain Res. 1998, 779, 359–363. [Google Scholar] [CrossRef]
- Kalappa, B.I.; Sun, F.; Johnson, S.R.; Jin, K.; Uteshev, V.V. A positive allosteric modulator of α7 nAChRs augments neuroprotective effects of endogenous nicotinic agonists in cerebral ischaemia. Br. J. Pharmacol. 2013, 169, 1862–1878. [Google Scholar] [CrossRef]
- Hawaleshka, A.; Jacobsohn, E. Ischaemic preconditioning: Mechanisms and potential clinical applications. Can. J. Anaesth. 1998, 45, 670–682. [Google Scholar] [CrossRef] [PubMed]
- Speer, R.; Ratan, R.R. Hypoxic Adaptation in the Nervous System: Promise for Novel Therapeutics for Acute and Chronic Neurodegeneration. Adv. Exp. Med. Biol. 2016, 903, 221–243. [Google Scholar] [CrossRef]
- Sprick, J.D.; Mallet, R.T.; Przyklenk, K.; Rickards, C.A. Ischaemic and hypoxic conditioning: Potential for protection of vital organs. Exp. Physiol. 2019, 104, 278–294. [Google Scholar] [CrossRef] [PubMed]
- Van Rensburg, R.; Errington, D.; Ennaceur, A.; Lees, G.; Obrenovitch, T.; Chazot, P. A new model for the study of high-K+-induced preconditioning in cultured neurones: Role of N-methyl-d-aspartate and α7-nicotinic acetylcholine receptors. J. Neurosci. Methods 2009, 177, 311–316. [Google Scholar] [CrossRef]
- Ma, Z.; Zhang, Z.; Bai, F.; Jiang, T.; Yan, C.; Wang, Q. Electroacupuncture Pretreatment Alleviates Cerebral Ischemic Injury Through α7 Nicotinic Acetylcholine Receptor-Mediated Phenotypic Conversion of Microglia. Front. Cell. Neurosci. 2019, 13, 537. [Google Scholar] [CrossRef]
- Das, M.; Das, D.K. Molecular mechanism of preconditioning. IUBMB Life 2008, 60, 199–203. [Google Scholar] [CrossRef] [PubMed]
- Lukyanova, L.D.; Germanova, E.L.; Tsibina, T.A.; Kopaladze, R.A.; Dudchenko, A.M. Efficiency and mechanism for different regimens of hypoxic training: The possibility of optimization of hypoxic therapy. Pathogenesis 2008, 6, 32–36. (In Russian) [Google Scholar]
- Dudchenko, A.M.; Zakharova, E.I.; Storozheva, Z.I. Method for Predicting the Limit of Resistance of Animals to Severe Hypoxia after Hypoxic Preconditioning. RU Patent 2571603, 4 July 2014. [Google Scholar]
- Zakharova, E.I.; Storozheva, Z.I.; Proshin, A.T.; Monakov, M.Y.; Dudchenko, A.M. The Acoustic Sensorimotor Gating Predicts the Efficiency of Hypoxic Preconditioning. Participation of the Cholinergic System in This Phenomenon. J. Biomed. Sci. Eng. 2018, 11, 10–25. [Google Scholar] [CrossRef][Green Version]
- Bodnar, A.L.; Cortes-Burgos, L.A.; Cook, K.K.; Dinh, D.M.; Groppi, V.E.; Hajos, M.; Higdon, N.R.; Hoffmann, W.E.; Hurst, R.S.; Myers, J.K.; et al. Discovery and Structure−Activity Relationship of Quinuclidine Benzamides as Agonists of α7 Nicotinic Acetylcholine Receptors. J. Med. Chem. 2005, 48, 905–908. [Google Scholar] [CrossRef]
- Zakharova, E.I.; Storozheva, Z.I.; Proshin, A.T.; Monakov, M.Y.; Dudchenko, A.M. Opposite Pathways of Cholinergic Mechanisms of Hypoxic Preconditioning in the Hippocampus: Participation of Nicotinic α7 Receptors and Their Association with the Baseline Level of Startle Prepulse Inhibition. Brain Sci. 2021, 11, 12. [Google Scholar] [CrossRef] [PubMed]
- Sams, W.M.; Carroll, N.V. Cholinesterase Inhibitory Property of Dimethyl Sulphoxide. Nat. Cell Biol. 1966, 212, 405. [Google Scholar] [CrossRef]
- Sawada, M.; Sato, M. The effect of dimethyl sulfoxide on the neuronal excitability and cholinergic transmission in Aplysia ganglion cells. Ann. N. Y. Acad. Sci. 1975, 243, 337–357. [Google Scholar] [CrossRef]
- Albuquerque, E.X.; Pereira, E.F.R.; Alkondon, M.; Rogers, S.W. Mammalian Nicotinic Acetylcholine Receptors: From Structure to Function. Physiol. Rev. 2009, 89, 73–120. [Google Scholar] [CrossRef]
- Swerdlow, N.R.; Weber, M.; Qu, Y.; Light, G.A.; Braff, D.L. Realistic expectations of prepulse inhibition in translational models for schizophrenia research. Psychopharmacology 2008, 199, 331–388. [Google Scholar] [CrossRef]
- Kirenskaya, A.V.; Storozheva, Z.I.; Kolobov, V.V.; Sherstnev, V.V. The acoustic startle response and polymorphism of the gene for catechol-O-methyltransferase in the norm and in schizophrenia. Neurochem. J. 2015, 9, 76–83. [Google Scholar] [CrossRef]
- Alkondon, M.; Pereira, E.F.R.; Eisenberg, H.M.; Albuquerque, E.X. Choline and Selective Antagonists Identify Two Subtypes of Nicotinic Acetylcholine Receptors that Modulate GABA Release from CA1 Interneurons in Rat Hippocampal Slices. J. Neurosci. 1999, 19, 2693–2705. [Google Scholar] [CrossRef]
- Cheng, Q.; Yakel, J.L. The effect of α7 nicotinic receptor activation on glutamatergic transmission in the hippocampus. Biochem. Pharmacol. 2015, 97, 439–444. [Google Scholar] [CrossRef]
- Townsend, M.; Whyment, A.; Walczak, J.-S.; Jeggo, R.; Top, M.V.D.; Flood, R.G.; Leventhal, L.; Patzke, H.; Koenig, G. α7-nAChR agonist enhances neural plasticity in the hippocampus via a GABAergic circuit. J. Neurophysiol. 2016, 116, 2663–2675. [Google Scholar] [CrossRef] [PubMed]
- Ajayi, I.E.; McGovern, A.E.; Driessen, A.K.; Kerr, N.F.; Mills, P.C.; Mazzone, S.B. Hippocampal modulation of cardiorespiratory function. Respir. Physiol. Neurobiol. 2018, 252–253, 18–27. [Google Scholar] [CrossRef]
- Vinogradova, O. Hippocampus as comparator: Role of the two input and two output systems of the hippocampus in selection and registration of information. Hippocampus 2001, 11, 578–598. [Google Scholar] [CrossRef]
- Vandecasteele, M.; Varga, V.; Berényi, A.; Papp, E.; Barthó, P.; Venance, L.; Freund, T.F.; Buzsáki, G. Optogenetic activation of septal cholinergic neurons suppresses sharp wave ripples and enhances theta oscillations in the hippocampus. Proc. Natl. Acad. Sci. USA 2014, 111, 13535–13540. [Google Scholar] [CrossRef]
- Müller, C.; Remy, S. Septo-hippocampal interaction. Cell Tissue Res. 2018, 373, 565–575. [Google Scholar] [CrossRef] [PubMed]
- Marks, M.J.; Whiteaker, P.; Collins, A.C. Deletion of the α7, β2, or β4 Nicotinic Receptor Subunit Genes Identifies Highly Expressed Subtypes with Relatively Low Affinity for [3H]Epibatidine. Mol. Pharmacol. 2006, 70, 947–959. [Google Scholar] [CrossRef] [PubMed]
- Mike, A.; Castro, N.; Albuquerque, E.X. Choline and acetylcholine have similar kinetic properties of activation and desensitization on the α7 nicotinic receptors in rat hippocampal neurons. Brain Res. 2000, 882, 155–168. [Google Scholar] [CrossRef]
- Tamagnini, F.; Scullion, S.; Brown, J.T.; Randall, A.D. Low Concentrations of the Solvent Dimethyl Sulphoxide Alter Intrinsic Excitability Properties of Cortical and Hippocampal Pyramidal Cells. PLoS ONE 2014, 9, e92557. [Google Scholar] [CrossRef] [PubMed]
- Sakimoto, Y.; Kida, H.; Mitsushima, D. Temporal dynamics of learning-promoted synaptic diversity in CA1 pyramidal neurons. FASEB J. 2019, 33, 14382–14393. [Google Scholar] [CrossRef]
- Nakahiro, M.; Arakawa, O.; Narahashi, T.; Ukai, S.; Kato, Y.; Nishinuma, K.; Nishimura, T. Dimethyl sulfoxide (DMSO) blocks GABA-induced current in rat dorsal root ganglion neurons. Neurosci. Lett. 1992, 138, 5–8. [Google Scholar] [CrossRef]
- D’Incamps, B.L.; Ascher, P. High affinity and low affinity heteromeric nicotinic acetylcholine receptors at central synapses. J. Physiol. 2014, 592, 4131–4136. [Google Scholar] [CrossRef] [PubMed]
- Hummos, A.; Nair, S.S. An integrative model of the intrinsic hippocampal theta rhythm. PLoS ONE 2017, 12, e0182648. [Google Scholar] [CrossRef] [PubMed]
- Stone, T.W. Relationships and Interactions between Ionotropic Glutamate Receptors and Nicotinic Receptors in the CNS. Neuroscience 2021, 468, 321–365. [Google Scholar] [CrossRef]
- Paxinos, G.; Watson, C.R.; Emson, P.C. The Rat Brain in Stereotaxic Coordinates, 4th ed.; Academic Press: San Diego, CA, USA, 1998; p. 474. [Google Scholar]
- Kobzar, A.I. Applied Mathematical Statistics. In For Engineers and Scientists; FIZMATLIT: Moscow, Russian, 2006. [Google Scholar]





| NN | Injection tipe | IP | iHippo | iHippo | IP | iHippo | iHippo | IP | iHippo | iHippo | IP | IP | iHippo | IP | iHippo | n | r-Criterion | P with Amended Holm-Bonferroni |
|---|---|---|---|---|---|---|---|---|---|---|---|---|---|---|---|---|---|---|
| 1 | PPI% | 40.6 | 49.2 | 56.3 | 66.5 | 67.4 | 70.5 | 72.2 | 74 | 76.9 | 79.5 | 81.9 | 87.6 | 88.2 | 89.2 | 14 | ||
| T, % Control | 121 | 60 | 75 | 141 | 79 | 74 | 96 | 58 | 83 | 50 | 127 | 39 | 98 | 74 | ||||
| NN 1–2 | ||||||||||||||||||
| 2 | PPI% | 43 | 53.4 | 54.3 | 62.5 | 68.8 | 69.8 | 70.5 | 74.9 | 75.5 | 78 | 82.2 | 86 | 87.6 | 89.1 | 14 | ||
| T, % DMSO, iHippo+IP | 105 | 158 | 194 | 136 | 226 | 89 | 175 | 335 | 130 | 352 | 159 | 389 | 148 | 124 | −0.669 | <0.03 | ||
| NN 1–3 | ||||||||||||||||||
| 3 | T, % DMSO, IP | 105 | 136 | 75 | 352 | 159 | 148 | 6 | −0.912 | <0.04 | ||||||||
| NN 1–4 | ||||||||||||||||||
| 4 | T, % DMSO, iHippo | 158 | 194 | 226 | 89 | 335 | 130 | 389 | 124 | 8 | −0.825 | <0.02 | ||||||
Publisher’s Note: MDPI stays neutral with regard to jurisdictional claims in published maps and institutional affiliations. |
© 2021 by the authors. Licensee MDPI, Basel, Switzerland. This article is an open access article distributed under the terms and conditions of the Creative Commons Attribution (CC BY) license (https://creativecommons.org/licenses/by/4.0/).
Share and Cite
Zakharova, E.I.; Proshin, A.T.; Monakov, M.Y.; Dudchenko, A.M. Effect of Intrahippocampal Administration of α7 Subtype Nicotinic Receptor Agonist PNU-282987 and Its Solvent Dimethyl Sulfoxide on the Efficiency of Hypoxic Preconditioning in Rats. Molecules 2021, 26, 7387. https://doi.org/10.3390/molecules26237387
Zakharova EI, Proshin AT, Monakov MY, Dudchenko AM. Effect of Intrahippocampal Administration of α7 Subtype Nicotinic Receptor Agonist PNU-282987 and Its Solvent Dimethyl Sulfoxide on the Efficiency of Hypoxic Preconditioning in Rats. Molecules. 2021; 26(23):7387. https://doi.org/10.3390/molecules26237387
Chicago/Turabian StyleZakharova, Elena I., Andrey T. Proshin, Mikhail Y. Monakov, and Alexander M. Dudchenko. 2021. "Effect of Intrahippocampal Administration of α7 Subtype Nicotinic Receptor Agonist PNU-282987 and Its Solvent Dimethyl Sulfoxide on the Efficiency of Hypoxic Preconditioning in Rats" Molecules 26, no. 23: 7387. https://doi.org/10.3390/molecules26237387
APA StyleZakharova, E. I., Proshin, A. T., Monakov, M. Y., & Dudchenko, A. M. (2021). Effect of Intrahippocampal Administration of α7 Subtype Nicotinic Receptor Agonist PNU-282987 and Its Solvent Dimethyl Sulfoxide on the Efficiency of Hypoxic Preconditioning in Rats. Molecules, 26(23), 7387. https://doi.org/10.3390/molecules26237387

