Chalcone Scaffolds, Bioprecursors of Flavonoids: Chemistry, Bioactivities, and Pharmacokinetics
Abstract
1. Introduction
2. Chalcone: Structure, Nomenclature, and Chemistry
2.1. Chemical Structure
2.2. Nomenclature
2.3. Occurrence of Chalcones
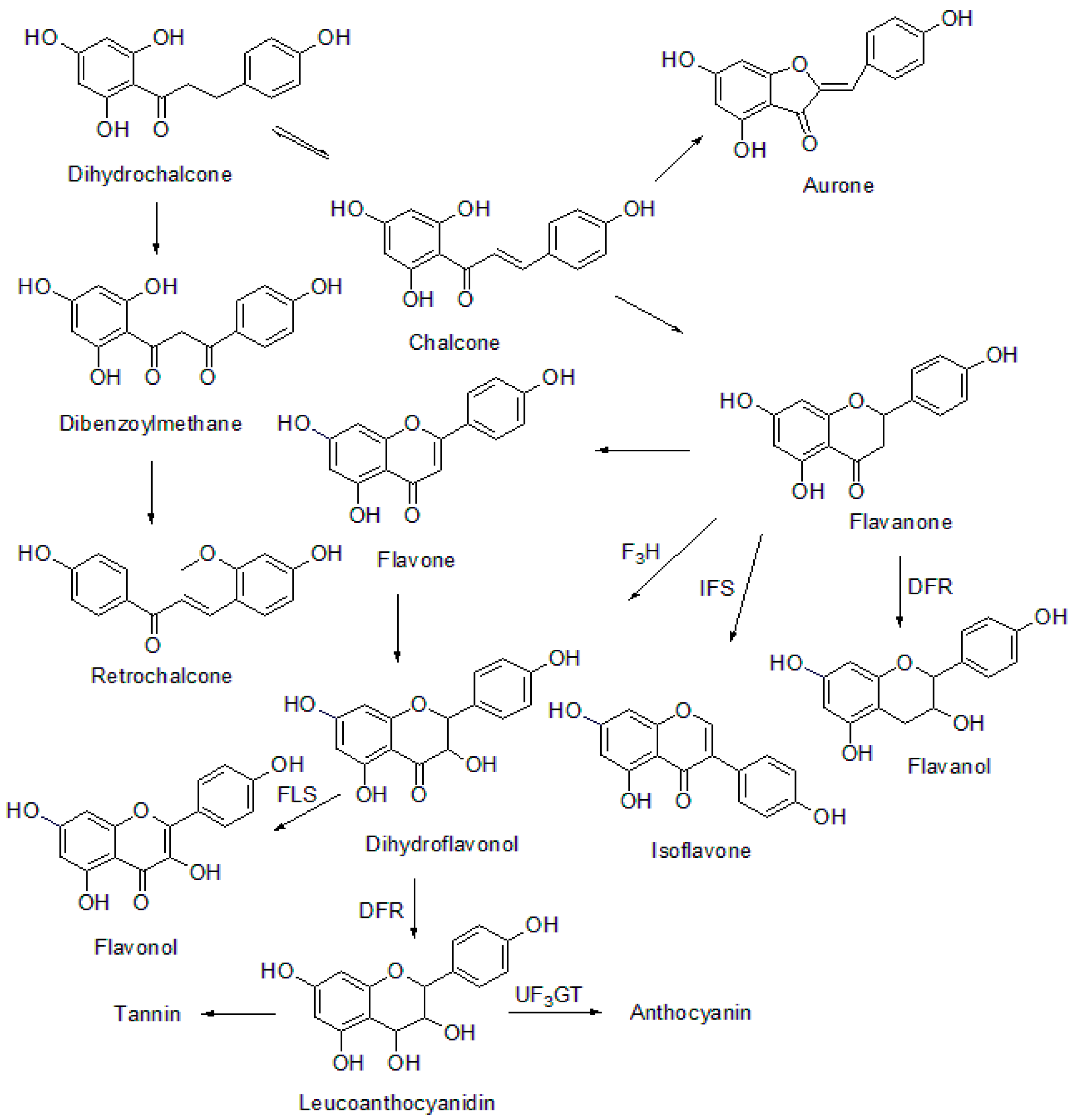
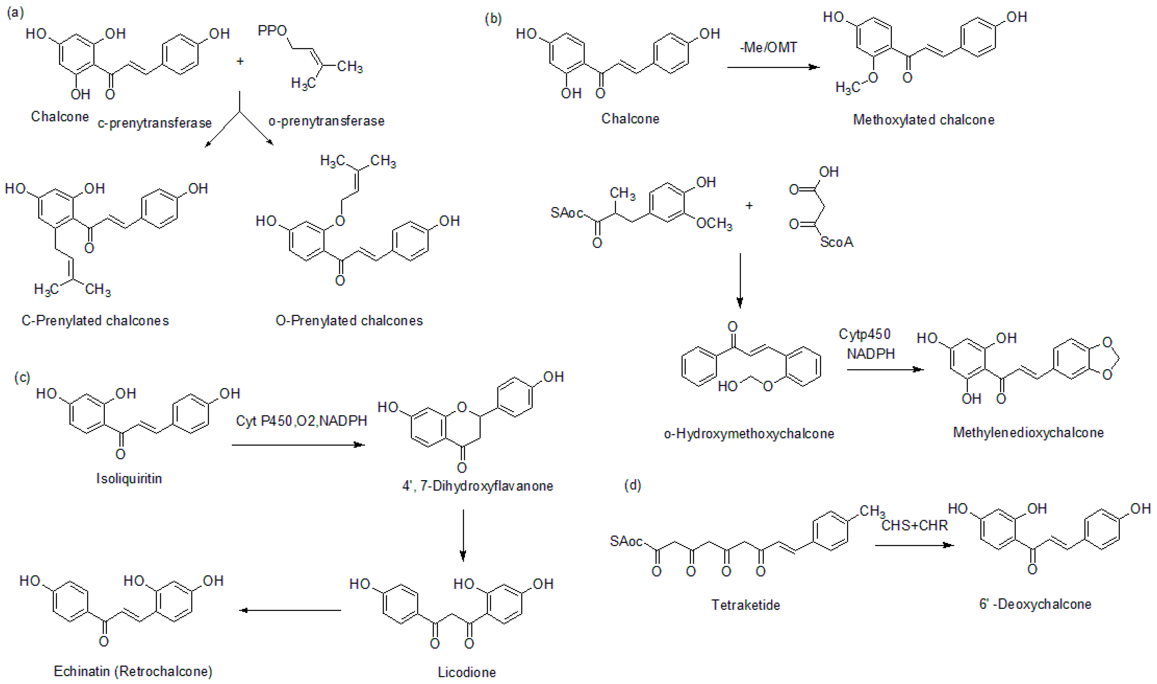
3. Biosynthesis of Chalcones
4. Naturally Occurring Chalcones
4.1. Chalcones from Medicinal and Dietary Plants
4.2. Bioactivities of Naturally Occurring Chalcones
5. Pharmacokinetics and Toxicities of Chalcones
6. Conclusions and Future Directions
Author Contributions
Funding
Acknowledgments
Conflicts of Interest
Abbreviations
References
- Ouyang, Y.; Li, J.; Chen, X.; Fu, X.; Sun, S.; Wu, Q. Chalcone Derivatives: Role in Anticancer Therapy. Biomolecules 2021, 11, 894. [Google Scholar] [CrossRef] [PubMed]
- Gomes, M.N.; Muratov, E.N.; Pereira, M.; Peixoto, J.C.; Rosseto, L.P.; Cravo, P.V.; Andrade, C.H.; Neves, B.J. Chalcone derivatives: Promising starting points for drug design. Molecules 2017, 22, 1210. [Google Scholar] [CrossRef]
- Khan, J.; Deb, P.K.; Piya, S.; Medina, K.D.; Devi, R.; Walode, S.G.; Rudrapal, M. Dietary Flavonoids: Cardioprotective potential with antioxidant effects and their pharmacokinetic/therapeutic concerns. Molecules 2021, 26, 4021. [Google Scholar] [CrossRef]
- Martinez, R.M.; Pinho-Ribeiro, F.A.; Steffen, V.S.; Caviglione, C.V.; Fattori, V.; Bussmann, A.J.; Bottura, C.; Fonseca, M.J.; Vignoli, J.A.; Baracat, M.M.; et al. Trans-Chalcone, a flavonoid precursor, inhibits UV-induced skin inflammation and oxidative stress in mice by targeting NADPH oxidase and cytokine production. Photochem. Photobiol. Sci. 2017, 16, 1162–1173. [Google Scholar] [CrossRef] [PubMed]
- Kostanecki, S.; Tambor, J. Ueber die sechs isomeren Monooxybenzalacetophenone (Monooxychalkone). Ber. Dtsch. Chem. 1899, 32, 1921–1926. [Google Scholar] [CrossRef]
- Zhuang, C.; Zhang, W.; Sheng, C.; Zhang, W.; Xing, C.; Miao, Z. Chalcone: A privileged structure in medicinal chemistry. Chem. Rev. 2017, 117, 7762–7810. [Google Scholar] [CrossRef]
- García-Calderón, M.; Pérez-Delgado, C.M.; Palove-Balang, P.; Betti, M.; Márquez, A.J. Flavonoids and Isoflavonoids Biosynthesis in the Model Legume Lotus japonicus; Connections to Nitrogen Metabolism and Photorespiration. Plants 2020, 9, 774. [Google Scholar] [CrossRef]
- Abe, I.; Morita, H. Structure and function of the chalcone synthase superfamily of plant type III polyketide synthases. Nat. Prod. Rep. 2010, 27, 809–838. [Google Scholar] [CrossRef]
- Cheng, A.X.; Han, X.J.; Wu, Y.F.; Lou, H.X. The function and catalysis of 2-oxoglutarate-dependent oxygenases involved in plant flavonoid biosynthesis. Int. J. Mol. Sci. 2014, 15, 1080–1095. [Google Scholar] [CrossRef]
- Waki, T.; Mameda, R.; Nakano, T.; Yamada, S.; Terashita, M.; Ito, K.; Tenma, N.; Li, Y.; Fujino, N.; Uno, K.; et al. A conserved strategy of chalcone isomerase-like protein to rectify promiscuous chalcone synthase specificity. Nat. Commun. 2020, 11, 870. [Google Scholar] [CrossRef]
- Saleh, O.; Haagen, Y.; Seeger, K.; Heide, L. Prenyl transfer to aromatic substrates in the biosynthesis of aminocoumarins, meroterpenoids and phenazines: The ABBA prenyltransferase family. Phytochemistry 2009, 70, 1728–1738. [Google Scholar] [CrossRef] [PubMed]
- Liao, L.; Zhou, Y.; Peng, T.; Guo, Y.; Zhao, Y.; Zeng, Z. Crystal structure of a S-adenosyl-L-methionine-dependent O-methyltransferase-like enzyme from Aspergillus flavus. Proteins Struct. Funct. Bioinform. 2021, 89, 185–192. [Google Scholar] [CrossRef] [PubMed]
- Clemens, S.; Barz, W. Cytochrome P450-dependent methylenedioxy bridge formation in Cicer arietinum. Phytochemistry 1996, 41, 457–460. [Google Scholar] [CrossRef]
- Davies, K.M.; Bloor, S.J.; Spiller, G.B.; Deroles, S.C. Production of yellow colour in flowers: Redirection of flavonoid biosynthesis in Petunia. Plant J. 1998, 13, 259–266. [Google Scholar] [CrossRef]
- Ayabe, S.L.; Furuya, T. Biosynthesis of a retrochalcone, echinatin: A feeding study with advanced precursors. Tetrahedron Lett. 1981, 22, 2097–2098. [Google Scholar] [CrossRef]
- Dixon, R.A.; Lamb, C.J.; Masoud, S.; Sewalt, V.J.; Paiva, N.L. Metabolic engineering: Prospects for crop improvement through the genetic manipulation of phenylpropanoid biosynthesis and defense responses—A review. Gene 1996, 179, 61–71. [Google Scholar] [CrossRef]
- Rozmer, Z.; Perjési, P. Naturally occurring chalcones and their biological activities. Phytochem. Rev. 2016, 15, 87–120. [Google Scholar] [CrossRef]
- Abbas, N.; Bukhari, S.; Jasamai, M.; Jantan, I.; Ahmad, W. Review of methods and various catalysts used for chalcone synthesis. Mini Rev. Org. Chem. 2013, 10, 73–83. [Google Scholar]
- Star, A.E.; Mabry, T.J.; Smith, D.M. Triangularin, a new chalcone from Pityrogramma triangularis. Phytochemistry 1978, 17, 586–587. [Google Scholar] [CrossRef]
- Fenwick, G.R.; Lutomski, J.; Nieman, C. Liquorice, Glycyrrhiza glabra L.—Composition, uses and analysis. Food Chem. 1990, 38, 119–143. [Google Scholar] [CrossRef]
- Saitoh, T.; Shibata, S. New type chalcones from licorice root. Tetrahedron Lett. 1975, 50, 4461–4462. [Google Scholar] [CrossRef]
- Furuya, T.; Matsumoto, K.; Hikichi, M. Echinatin, a new chalcone from tissue culture of Glycyrrhiza echinata. Tetrahedron Lett. 1971, 12, 2567–2569. [Google Scholar] [CrossRef]
- Miething, H.; Speicher-Brinker, A. Neolicurosid-ein neues Chalkonglykosid aus der Süßholzwurzel. Arch. Pharm. 1989, 322, 141–143. [Google Scholar] [CrossRef]
- Uyar, T.; Malterud, K.E.; Anthonsen, T. Two new dihydrochalcones from Myrica gale. Phytochemistry 1978, 17, 2011–2013. [Google Scholar] [CrossRef]
- Krohn, K.; Steingröver, K.; Rao, M.S. Isolation and synthesis of chalcones with different degrees of saturation. Phytochemistry 2002, 61, 931–936. [Google Scholar] [CrossRef]
- Suri, J.L.; Gupta, G.K.; Dhar, K.L.; Atal, C.K. Bavachromanol: A new chalcone from the seeds of Psoralea corylifolia. Phytochemistry 1980, 19, 336–337. [Google Scholar] [CrossRef]
- Yam-Puc, A.; Peña-Rodríguez, L.M. Isocordoin derivatives from the root extract of Lonchocarpus xuul. J. Mexican Chem. Soc. 2009, 53, 12–14. [Google Scholar] [CrossRef]
- Wang, D.; Liang, J.; Zhang, J.; Wang, Y.; Chai, X. Natural chalcones in Chinese materia medica: Licorice. Evid. Based Complement. Alternat. Med. 2020, 16, 3821248. [Google Scholar] [CrossRef]
- Drewes, S.E.; Hudson, N.A. Brackenin, a dimeric dihydrochalcone from Brackenridgea zanguebarica. Phytochemistry 1983, 22, 2823–2825. [Google Scholar] [CrossRef]
- Shin, J.E.; Choi, E.J.; Jin, Q.; Jin, H.G.; Woo, E.R. Chalcones isolated from Angelica keiskei and their inhibition of IL-6 production in TNF-α-stimulated MG-63 cell. Arch. Pharm. Res. 2011, 34, 437–442. [Google Scholar] [CrossRef]
- Dominguez, X.A.; Tellez, O.; Ramirez, G. Mixtecacin, a prenylated flavanone and oaxacacin its chalcone from the roots of Tephrosia woodii. Phytochemistry 1983, 22, 2047–2049. [Google Scholar] [CrossRef]
- Gómez-Garibay, F.; Arciniega, M.D.; Céspedes, C.L.; Taboada, J.; Calderón, J.S. Chromene chalcones from Tephrosia carrollii and the revised structure of oaxacacin. Z. Naturforsch. C J. Biosci. 2001, 56, 969–972. [Google Scholar] [CrossRef] [PubMed]
- Rezende-Júnior, L.M.; Andrade, L.M.; Leal, A.L.; Mesquita, A.B.; Santos, A.L.; Neto, J.D.; Siqueira-Junior, J.P.; Nogueira, C.E.; Kaatz, G.W.; Coutinho, H.D.; et al. Chalcones isolated from Arrabidaea brachypoda flowers as inhibitors of NorA and MepA multidrug efflux pumps of Staphylococcus aureus. Antibiotics 2020, 9, 351. [Google Scholar] [CrossRef]
- Hailemariam, A.; Feyera, M.; Deyou, T.; Abdissa, N. Antimicrobial Chalcones from the Seeds of Persicaria lapathifolia. Biochem. Pharmacol. 2018, 7, 237. [Google Scholar] [CrossRef]
- Wei, H.; Zhang, X.; Wu, G.; Yang, X.; Pan, S.; Wang, Y.; Ruan, J. Chalcone derivatives from the fern Cyclosorus parasiticus and their anti-proliferative activity. Food Chem. Toxicol. 2013, 60, 147–152. [Google Scholar] [CrossRef]
- Bohlmann, F.; Misra, L.N. New prenylflavanones and chalcones from Helichrysum rugulosum. Planta Med. 1984, 50, 271–272. [Google Scholar] [CrossRef]
- Aida, K.; Tawata, M.; Shindo, H.; Onaya, T.; Sasaki, H.; Yamaguchi, T.; Chin, M.; Mitsuhashi, H. Isoliquiritigenin: A new aldose reductase inhibitor from glycyrrhizae radix. Planta Med. 1990, 56, 254–258. [Google Scholar] [CrossRef] [PubMed]
- Daikonya, A.; Katsuki, S.; Kitanaka, S. Antiallergic agents from natural sources 9. Inhibition of nitric oxide production by novel chalcone derivatives from Mallotus philippinensis (Euphorbiaceae). Chem. Pharm. Bull. 2004, 52, 1326–1329. [Google Scholar] [CrossRef]
- Jayasinghe, L.; Balasooriya, B.A.; Padmini, W.C.; Hara, N.; Fujimoto, Y. Geranyl chalcone derivatives with antifungal and radical scavenging properties from the leaves of Artocarpus nobilis. Phytochemistry 2004, 65, 1287–1290. [Google Scholar] [CrossRef]
- Drewes, S.E.; van Vuuren, S.F. Antimicrobial acylphloroglucinols and dibenzyloxy flavonoids from flowers of Helichrysum gymnocomum. Phytochemistry 2008, 69, 1745–1749. [Google Scholar] [CrossRef]
- Christensen, L.P.; Lam, J.; Thomasen, T. A chalcone and other constituents of Bidens tripartitus. Phytochemistry 1990, 29, 3155–3156. [Google Scholar] [CrossRef]
- Tanaka, T.; Iinuma, M.; Yuki, K.; Fujii, Y.; Mizuno, M. Two new β-hydroxychalcones from the root bark of Pongamia pinnata. Chem. Pharm. Bull. 1991, 39, 1473–1475. [Google Scholar] [CrossRef]
- Svetaz, L.; Tapia, A.; López, S.N.; Furlán, R.L.; Petenatti, E.; Pioli, R.; Schmeda-Hirschmann, G.; Zacchino, S.A. Antifungal chalcones and new caffeic acid esters from Zuccagnia punctata acting against soybean infecting fungi. J. Agric. Food Chem. 2004, 52, 3297–3300. [Google Scholar] [CrossRef] [PubMed]
- Belofsky, G.; Percivill, D.; Lewis, K.; Tegos, G.P.; Ekart, J. Phenolic metabolites of dalea versicolor that enhance antibiotic activity against model pathogenic bacteria. J. Nat. Prod. 2004, 67, 481–484. [Google Scholar] [CrossRef] [PubMed]
- Patil, A.D.; Freyer, A.J.; Killmer, L.; Offen, P.; Taylor, P.B.; Votta, B.J.; Johnson, R.K. A New Dimeric Dihydrochalcone and a New Prenylated Flavone from the Bud Covers of Artocarpus altilis: Potent Inhibitors of Cathepsin, K. J. Nat. Prod. 2002, 65, 624–627. [Google Scholar] [CrossRef]
- Bhatt, P.; Dayal, R. Stipulin, a prenylated chalcone from Dalbergia stipulacea. Phytochemistry 1992, 31, 719–721. [Google Scholar] [CrossRef]
- Ahmad, V.U.; Shah, M.G.; Noorwala, M.; Mohammad, F.V. Isolation of 3, 3’-Dihydroxychalcone from Primula macrophylla. J. Nat. Prod. 1992, 55, 956–958. [Google Scholar] [CrossRef]
- Rao, E.V.; Prasad, Y.R. Two chalcones from Tephrosia spinosa. Phytochemistry 1992, 31, 2121–2122. [Google Scholar] [CrossRef]
- Cioffi, G.; Escobar, L.M.; Braca, A.; De Tommasi, N. Antioxidant Chalcone Glycosides and Flavanones from Maclura (Chlorophora) tinctoria. J. Nat. Prod. 2003, 66, 1061–1064. [Google Scholar] [CrossRef]
- Beutler, J.A.; Cardellina, J.H.; Gray, G.N.; Prather, T.R.; Shoemaker, R.H.; Boyd, M.R.; Lin, C.M.; Hamel, E.; Cragg, G.M. Two new cytotoxic chalcones from Calythropsis aurea. J. Nat. Prod. 1993, 56, 1718–1722. [Google Scholar] [CrossRef]
- Koorbanally, N.A.; Randrianarivelojosia, M.; Mulholland, D.A.; van Ufford, L.Q.; van den Berg, A.J. Chalcones from the seed of Cedrelopsis grevei (Ptaeroxylaceae). Phytochemistry 2003, 62, 1225–1229. [Google Scholar] [CrossRef]
- Huang, H.Y.; Ko, H.H.; Jin, Y.J.; Yang, S.Z.; Shih, Y.A.; Chen, I.S. Dihydrochalcone glucosides and antioxidant activity from the roots of Anneslea fragrans var. lanceolata. Phytochemistry 2012, 78, 120–125. [Google Scholar] [CrossRef] [PubMed]
- Ahsan, M.; Armstrong, J.A.; Waterman, P.G. Dihydrochalcones from the aerial parts of Boronia inconspicua. Phytochemistry 1994, 36, 799–801. [Google Scholar] [CrossRef]
- Portet, B.; Fabre, N.; Roumy, V.; Gornitzka, H.; Bourdy, G.; Chevalley, S.; Sauvain, M.; Valentin, A.; Moulis, C. Activity-guided isolation of antiplasmodial dihydrochalcones and flavanones from Piper hostmannianum var. berbicense. Phytochemistry 2007, 68, 1312–1320. [Google Scholar] [CrossRef] [PubMed]
- Zhu, X.F.; Xie, B.F.; Zhou, J.M.; Feng, G.K.; Liu, Z.C.; Wei, X.Y.; Zhang, F.X.; Liu, M.F.; Zeng, Y.X. Blockade of vascular endothelial growth factor receptor signal pathway and antitumor activity of ON-III (2′, 4′-dihydroxy-6′-methoxy-3′,5′-dimethylchalcone), a component from Chinese herbal medicine. Mol. Pharmacol. 2005, 67, 1444–1450. [Google Scholar] [CrossRef] [PubMed]
- Cunha, G.M.; Fontenele, J.B.; Nobre Júnior, H.V.; De Sousa, F.C.; Silveira, E.R.; Nogueira, N.A.; De Moraes, M.O.; Viana, G.S.; Costa-Lotufo, L.V. Cytotoxic activity of chalcones isolated from Lonchocarpus sericeus (Pocr.) Kunth. Phytother. Res. 2003, 17, 155–159. [Google Scholar] [CrossRef] [PubMed]
- Alias, Y.; Awang, K.; Hadi, A.H.; Thoison, O.; Sévenet, T.; Païs, M. An antimitotic and cyctotoxic chalcone from Fissistigma lanuginosum. J. Nat. Prod. 1995, 58, 1160–1166. [Google Scholar] [CrossRef]
- Barrero, A.F.; Herrador, M.M.; Arteaga, P.; Cabrera, E.; Rodriguez-Garcia, I. Cytotoxic activity of flavonoids from Carthamus arborescens, Ononis natrix ssp. ramosissima and Centaurea malacitana. Fitoterapia 1997, 68, 281–283. [Google Scholar]
- Simirgiotis, M.J.; Adachi, S.; To, S.; Yang, H.; Reynertson, K.A.; Basile, M.J.; Gil, R.R.; Weinstein, I.B.; Kennelly, E.J. Cytotoxic chalcones and antioxidants from the fruits of Syzygium samarangense (Wax Jambu). Food Chem. 2008, 107, 813–819. [Google Scholar] [CrossRef]
- Li, L.; Zhao, X.T.; Luo, Y.P.; Zhao, J.F.; Yang, X.D.; Zhang, H.B. Novel cytotoxic chalcones from Litsea rubescens and Litsea pedunculata. Bioorg. Med. Chem. Lett. 2011, 21, 7431–7433. [Google Scholar] [CrossRef]
- Lai, S.L.; Wong, P.F.; Lim, T.K.; Lin, Q.; Mustafa, M.R. Cytotoxic mechanisms of panduratin A on A375 melanoma cells: A quantitative and temporal proteomics analysis. Proteomics 2015, 15, 1608–1621. [Google Scholar] [CrossRef]
- Yang, S.W.; Cordell, G.A.; Lotter, H.; Wagner, H.; Mouly, B.C.; Appa Rao, A.V.; Rao, P.S. Munchiwarin, a prenylated chalcone from Crotalaria trifoliastrum. J. Nat. Prod. 1998, 61, 1274–1276. [Google Scholar] [CrossRef]
- Go, M.L.; Wu, X.; Liu, X.L. Chalcones: An update on cytotoxic and chemoprotective properties. Curr. Med. Chem. 2005, 12, 483–499. [Google Scholar] [CrossRef] [PubMed]
- Youssef, D.T.; Ramadan, M.A.; Khalifa, A.A. Acetophenones, a chalcone, a chromone and flavonoids from Pancratium maritimum. Phytochemistry 1998, 49, 2579–2583. [Google Scholar] [CrossRef]
- Buckwold, V.E.; Wilson, R.J.; Nalca, A.; Beer, B.B.; Voss, T.G.; Turpin, J.A.; Buckheit, R.W., III; Wei, J.; Wenzel-Mathers, M.; Walton, E.M.; et al. Antiviral activity of hop constituents against a series of DNA and RNA viruses. Antivir. Res. 2004, 61, 57–62. [Google Scholar] [CrossRef]
- Adianti, M.; Aoki, C.; Komoto, M.; Deng, L.; Shoji, I.; Wahyuni, T.S.; Lusida, M.I.; Fuchino, H.; Kawahara, N.; Hotta, H. Anti-hepatitis C virus compounds obtained from Glycyrrhiza uralensis and other Glycyrrhiza species. Microbiol. Immunol. 2014, 58, 180–187. [Google Scholar] [CrossRef]
- Ersam, T.; Achmad, S.A.; Ghisalberti, E.L.; Hakim, E.H.; Makmur, L.; Syah, Y.M. A new isoprenylated chalcone, artoindonesianin J, from the root and tree bark of Artocarpus bracteata. J. Chem. Res. 2002, 2002, 186–187. [Google Scholar] [CrossRef]
- Da Silva Landim, E.M.; Ruiz, A.L.; de Carvalho, J.E.; Pomini, A.M.; Pastorini, L.H.; Oliveira Santin, S.M. Antiproliferative activity and chemical constituents of Lonchocarpus cultratus (Fabaceae). Nat. Prod. Res. 2021, 35, 2056–2059. [Google Scholar] [CrossRef]
- Chantrapromma, K.; Rat-A-pa, Y.; Karalai, C.; Lojanapiwatana, V.; Seechamnanturakit, V. A chalcone and a dihydrochalcone from Uvaria dulcis. Phytochemistry 2000, 53, 511–513. [Google Scholar] [CrossRef]
- Abegaz, B.M.; Ngadjui, B.T.; Dongo, E.; Ngameni, B.; Nindi, M.N.; Bezabih, M. Chalcones and other constituents of Dorstenia prorepens and Dorstenia zenkeri. Phytochemistry 2002, 59, 877–883. [Google Scholar] [CrossRef]
- Escobar-Ramos, A.; Lobato-García, C.E.; Zamilpa, A.; Gómez-Rivera, A.; Tortoriello, J.; González-Cortazar, M. Homoisoflavonoids and chalcones isolated from Haematoxylum campechianum L.; with spasmolytic activity. Molecules 2017, 22, 1405. [Google Scholar] [CrossRef]
- Tuchinda, P.; Reutrakul, V.; Claeson, P.; Pongprayoon, U.; Sematong, T.; Santisuk, T.; Taylor, W.C. Anti-inflammatory cyclohexenyl chalcone derivatives in Boesenbergia pandurata. Phytochemistry 2002, 59, 169–173. [Google Scholar] [CrossRef]
- Perez-Gutierrez, R.M.; Garcia-Campoy, A.H.; Muñiz-Ramirez, A. Properties of flavonoids isolated from the bark of Eysenhardtia polystachya and their effect on oxidative stress in streptozotocin-induced diabetes mellitus in mice. Oxid. Med. Cell. Longev. 2016, 2016, 9156510. [Google Scholar] [CrossRef]
- Nchiozem-Ngnitedem, V.A.; Omosa, L.K.; Bedane, K.G.; Derese, S.; Brieger, L.; Strohmann, C.; Spiteller, M. Anti-inflammatory steroidal sapogenins and a conjugated chalcone-stilbene from Dracaena usambarensis Engl. Fitoterapia 2020, 146, 104717. [Google Scholar] [CrossRef]
- Rahman, M.A. Chalcone: A valuable insight into the recent advances and potential pharmacological activities. Chem. Sci. J. 2011. [Google Scholar] [CrossRef]
- Pereira, D.M.; Valentão, P.; Pereira, J.A.; Andrade, P.B. Phenolics: From chemistry to biology. Molecules 2009, 14, 2202–2211. [Google Scholar] [CrossRef]
- Slimestad, R.; Fossen, T.; Verheul, M.J. The flavonoids of tomatoes. J. Agric. Food. Chem. 2008, 56, 2436–2441. [Google Scholar] [CrossRef]
- Iijima, Y.; Suda, K.; Suzuki, T.; Aoki, K.; Shibata, D. Metabolite profiling of chalcones and flavanones in tomato fruit. J. Jpn. Soc. Hortic. Sci. 2008, 77, 94–102. [Google Scholar] [CrossRef]
- Slimestad, R.; Verheul, M. Properties of chalconaringenin and rutin isolated from cherry tomatoes. J. Agric. Food. Chem. 2011, 59, 3180–3185. [Google Scholar] [CrossRef] [PubMed]
- Li, S.; Lo, C.Y.; Ho, C.T. Hydroxylated polymethoxyflavones and methylated flavonoids in sweet orange (Citrus sinensis) peel. J. Agric. Food. Chem. 2006, 54, 4176–4185. [Google Scholar] [CrossRef]
- Gosch, C.; Halbwirth, H.; Kuhn, J.; Miosic, S.; Stich, K. Biosynthesis of phloridzin in apple (Malus domestica Borkh.). Plant Sci. 2009, 176, 223–231. [Google Scholar] [CrossRef]
- Enoki, T.; Ohnogi, H.; Nagamine, K.; Kudo, Y.; Sugiyama, K.; Tanabe, M.; Kobayashi, E.; Sagawa, H.; Kato, I. Antidiabetic activities of chalcones isolated from a Japanese Herb, Angelica keiskei. J. Agric. Food Chem. 2007, 55, 6013–6017. [Google Scholar] [CrossRef] [PubMed]
- Park, J.Y.; Ko, J.A.; Kim, D.W.; Kim, Y.M.; Kwon, H.J.; Jeong, H.J.; Kim, C.Y.; Park, K.H.; Lee, W.S.; Ryu, Y.B. Chalcones isolated from Angelica keiskei inhibit cysteine proteases of SARS-CoV. J. Enzyme Inhib. Med. Chem. 2016, 31, 23–30. [Google Scholar] [CrossRef] [PubMed]
- Li, G.; Nikolic, D.; Van Breemen, R.B. Identification and chemical standardization of licorice raw materials and dietary supplements using UHPLC-MS/MS. J. Agric. Food. Chem. 2016, 64, 8062–8070. [Google Scholar] [CrossRef]
- Cheng, M.; Ding, L.; Kan, H.; Zhang, H.; Jiang, B.; Sun, Y.; Cao, S.; Li, W.; Koike, K.; Qiu, F. Isolation, structural elucidation and in vitro hepatoprotective activity of flavonoids from Glycyrrhiza uralensis. J. Nat. Med. 2019, 73, 847–854. [Google Scholar] [CrossRef] [PubMed]
- Li, W.; Asada, Y.; Yoshikawa, T. Flavonoid constituents from Glycyrrhiza glabra hairy root cultures. Phytochemistry 2000, 55, 447–456. [Google Scholar] [CrossRef]
- Kuroda, M.; Mimaki, Y.; Honda, S.; Tanaka, H.; Yokota, S.; Mae, T. Phenolics from Glycyrrhiza glabra roots and their PPAR-γ ligand-binding activity. Bioorg. Med. Chem. 2010, 18, 962–970. [Google Scholar] [CrossRef]
- Asada, Y.; Li, W.; Yoshikawa, T. Isoprenylated flavonoids from hairy root cultures of Glycyrrhiza glabra. Phytochemistry 1998, 47, 389–392. [Google Scholar] [CrossRef]
- Liu, X.; Li, Q.; Lv, C.; Du, Y.; Xu, H.; Wang, D.; Li, M.; Li, B.; Li, J.; Bi, K. Combination of the advantages of chromatographic methods based on active components for the quality evaluation of licorice. J. Sep. Sci. 2015, 38, 4180–4186. [Google Scholar] [CrossRef]
- Cai, L.N.; Zhang, R.Y.; Wang, B.; Qiao, L.; Huang, L.R.; Zhang, Z.L. Studies on the chemical constituents of Glycyrrhiza pallidiflora Maxim. Yao Xue Xue Bao Acta Pharm. Sin. 1992, 27, 748–751. [Google Scholar]
- Chin, Y.W.; Jung, H.A.; Liu, Y.; Su, B.N.; Castoro, J.A.; Keller, W.J.; Pereira, M.A.; Kinghorn, A.D. Antioxidant constituents of the roots and stolons of licorice (Glycyrrhiza glabra). J. Agric. Food. Chem. 2007, 55, 4691–4697. [Google Scholar] [CrossRef]
- Li, K.; Ji, S.; Song, W.; Kuang, Y.; Lin, Y.; Tang, S.; Cui, Z.; Qiao, X.; Yu, S.; Ye, M. Glycybridins A–K, bioactive phenolic compounds from Glycyrrhiza glabra. J. Nat. Prod. 2017, 80, 334–346. [Google Scholar] [CrossRef]
- Trakoontivakorn, G.; Nakahara, K.; Shinmoto, H.; Takenaka, M.; Onishi-Kameyama, M.; Ono, H.; Yoshida, M.; Nagata, T.; Tsushida, T. Structural analysis of a novel antimutagenic compound, 4-hydroxypanduratin A, and the antimutagenic activity of flavonoids in a Thai spice, fingerroot (Boesenbergia pandurata Schult.) against mutagenic heterocyclic amines. J. Agric. Food. Chem. 2001, 49, 3046–3050. [Google Scholar] [CrossRef] [PubMed]
- Huang, C.; Xia, X.; He, J.; Liu, Y.; Shao, Z.; Hu, T.; Yu, C.; Liu, X.; Xu, Q.; Liu, B.; et al. ERα is a target for butein-induced growth suppression in breast cancer. Am. J. Cancer Res. 2020, 10, 3721. [Google Scholar]
- Wang, J.; Wu, M.; Zheng, D.; Zhang, H.; Lv, Y.; Zhang, L.; Tan, H.S.; Zhou, H.; Lao, Y.Z.; Xu, H.X. Garcinol inhibits esophageal cancer metastasis by suppressing the p300 and TGF-β1 signaling pathways. Acta Pharmacol. Sin. 2020, 41, 82–92. [Google Scholar] [CrossRef] [PubMed]
- Ma, L.; Wang, R.; Nan, Y.; Li, W.; Wang, Q.; Jin, F. Phloretin exhibits an anticancer effect and enhances the anticancer ability of cisplatin on non-small cell lung cancer cell lines by regulating expression of apoptotic pathways and matrix metalloproteinases. Int. J. Oncol. 2016, 48, 843–853. [Google Scholar] [CrossRef]
- Mahapatra, D.K.; Bharti, S.K.; Asati, V. Anti-cancer chalcones: Structural and molecular target perspectives. Eur. J. Med. Chem. 2015, 98, 69–114. [Google Scholar] [CrossRef]
- Liu, M.; Wilairat, P.; Croft, S.L.; Tan, A.L.; Go, M.L. Structure–activity relationships of antileishmanial and antimalarial chalcones. Bioorg. Med. Chem. 2003, 11, 2729–2738. [Google Scholar] [CrossRef]
- Jin, Y.S. Recent advances in natural antifungal flavonoids and their derivatives. Bioorg. Med. Chem. Lett. 2019, 29, 126589. [Google Scholar] [CrossRef]
- Ogawa, H.; Okada, Y.; Kamisako, T.; Baba, K. Beneficial effect of xanthoangelol, a chalcone compound from Angelica keiskei, on lipid metabolism in stroke-prone spontaneously hypertensive rats. Clin. Exp. Physiol Pharmacol. 2007, 34, 238–243. [Google Scholar] [CrossRef]
- Prabhakar, P.K.; Sivakumar, P.M. Protein tyrosine phosphatase 1B inhibitors: A novel therapeutic strategy for the management of type 2 diabetes mellitus. Curr. Pharm. Des. 2019, 25, 2526–2539. [Google Scholar] [CrossRef] [PubMed]
- Mahapatra, D.K.; Asati, V.; Bharti, S.K. Chalcones and their therapeutic targets for the management of diabetes: Structural and pharmacological perspectives. Eur. J. Med. Chem. 2015, 92, 839–865. [Google Scholar] [CrossRef]
- Janeczko, T.; Gładkowski, W.; Kostrzewa-Susłow, E. Microbial transformations of chalcones to produce food sweetener derivatives. J. Mol. Catal. B 2013, 98, 55–61. [Google Scholar] [CrossRef]
- Pandey, D.K.; Shekelle, R.; Selwyn, B.J.; Tangney, C.; Stamler, J. Dietary vitamin C and β-carotene and risk of death in middle-aged men: The Western Electric study. Am. J. Epidemiol. 1995, 142, 1269–1278. [Google Scholar] [CrossRef] [PubMed]
- Lazarus, S.A.; Bowen, K.; Garg, M.L. Tomato juice and platelet aggregation in type 2 diabetes. JAMA 2004, 292, 805–806. [Google Scholar] [CrossRef] [PubMed]
- Grieb, S.M.; Theis, R.P.; Burr, D.; Benardot, D.; Siddiqui, T.; Asal, N.R. Food groups and renal cell carcinoma: Results from a case-control study. J. Am. Diet. Assoc. 2009, 109, 656–667. [Google Scholar] [CrossRef]
- Hirai, S.; Kim, Y.I.; Goto, T.; Kang, M.S.; Yoshimura, M.; Obata, A.; Yu, R.; Kawada, T. Inhibitory effect of naringenin chalcone on inflammatory changes in the interaction between adipocytes and macrophages. Life Sci. 2007, 81, 1272–1279. [Google Scholar] [CrossRef]
- Gafner, F.R.; Schmid, D.A.; Lozza, J.A.; Zülli, F.R. Tetra-carboxy-methyl-naringenin-chalcone, a new active to treat rosacea. Household Pers. Care Today 2013, 8, 14–16. [Google Scholar]
- Horiba, T.; Nishimura, I.; Nakai, Y.; Abe, K.; Sato, R. Naringenin chalcone improves adipocyte functions by enhancing adiponectin production. Mol. Cell. Endocrinol. 2010, 323, 208–214. [Google Scholar] [CrossRef]
- Mah, S.H. Chalcones in diets. In Handbook of Dietary Phytochemicals; Springer: Singapore, 2019; pp. 1–52. [Google Scholar]
- Nakamura, Y.; Watanabe, S.; Miyake, N.; Kohno, H.; Osawa, T. Dihydrochalcones: Evaluation as novel radical scavenging antioxidants. J. Agric. Food Chem. 2003, 51, 3309–3312. [Google Scholar] [CrossRef]
- Ongwisespaiboon, O.; Jiraungkoorskul, W. Fingerroot, Boesenbergia rotunda and its aphrodisiac activity. Pharmacogn. Rev. 2017, 11, 27. [Google Scholar] [CrossRef]
- Kim, D.U.; Chung, H.C.; Kim, C.; Hwang, J.K. Oral intake of Boesenbergia pandurata extract improves skin hydration, gloss, and wrinkling: A randomized, double-blind, and placebo-controlled study. J. Cosmet. Dermatol. 2017, 16, 512–519. [Google Scholar] [CrossRef]
- Rukayadi, Y.; Lee, K.H.; Hwang, J.K. Activity of panduratin A isolated from Kaempferia pandurata Roxb. against multi-species oral biofilms in vitro. J. Oral Sci. 2009, 51, 87–95. [Google Scholar] [CrossRef]
- Kirana, C.; Jones, G.P.; Record, I.R.; McIntosh, G.H. Anticancer properties of panduratin A isolated from Boesenbergia pandurata (Zingiberaceae). J. Nat. Med. 2007, 61, 131–137. [Google Scholar] [CrossRef]
- Isa, N.M.; Abdelwahab, S.I.; Mohan, S.; Abdul, A.B.; Sukari, M.A.; Taha, M.M.; Syam, S.; Narrima, P.; Cheah, S.C.; Ahmad, S.; et al. In vitro anti-inflammatory, cytotoxic and antioxidant activities of boesenbergin A, a chalcone isolated from Boesenbergia rotunda (L.) (fingerroot). Braz. J. Med. Biol. Res. 2012, 45, 524–530. [Google Scholar] [CrossRef]
- Tewtrakul, S.; Subhadhirasakul, S.; Puripattanavong, J.; Panphadung, T. HIV-1 protease inhibitory substances from the rhizomes of Boesenbergia pandurata Holtt. Songklanakarin J. Sci. Technol. 2003, 25, 504–508. [Google Scholar]
- Tan, B.C.; Tan, S.K.; Wong, S.M.; Ata, N.; Rahman, N.A.; Khalid, N. Distribution of flavonoids and cyclohexenyl chalcone derivatives in conventional propagated and in vitro-derived field-grown Boesenbergia rotunda (L.) Mansf. Evid. Based Complement. Altern. Med. 2015, 2015, 451870. [Google Scholar] [CrossRef] [PubMed]
- Kwon, H.S.; Park, J.H.; Kim, D.H.; Kim, Y.H.; Park, J.H.; Shin, H.K.; Kim, J.K. Licochalcone A isolated from licorice suppresses lipopolysaccharide-stimulated inflammatory reactions in RAW264. 7 cells and endotoxin shock in mice. J. Mol. Med. 2008, 86, 1287–1295. [Google Scholar] [CrossRef] [PubMed]
- Furusawa, J.I.; Funakoshi-Tago, M.; Mashino, T.; Tago, K.; Inoue, H.; Sonoda, Y.; Kasahara, T. Glycyrrhiza inflata-derived chalcones, Licochalcone A, Licochalcone B and Licochalcone D, inhibit phosphorylation of NF-κB p65 in LPS signaling pathway. Int. Immunopharmacol. 2009, 9, 499–507. [Google Scholar] [CrossRef] [PubMed]
- Park, H.G.; Bak, E.J.; Woo, G.H.; Kim, J.M.; Quan, Z.; Kim, J.M.; Yoon, H.K.; Cheon, S.H.; Yoon, G.; Yoo, Y.J.; et al. Licochalcone E has an antidiabetic effect. J. Nutr. Biochem. 2012, 23, 759–767. [Google Scholar] [CrossRef]
- Zhai, L.; Blom, J.; Chen, M.; Christensen, S.B.; Kharazmi, A. The antileishmanial agent licochalcone A interferes with the function of parasite mitochondria. Antimicrob. Agents Chemother. 1995, 39, 2742–2748. [Google Scholar] [CrossRef] [PubMed][Green Version]
- Nabekura, T.; Hiroi, T.; Kawasaki, T.; Uwai, Y. Effects of natural nuclear factor-kappa B inhibitors on anticancer drug efflux transporter human P-glycoprotein. Biomed. Pharmacother. 2015, 70, 140–145. [Google Scholar] [CrossRef]
- Tsukiyama, R.I.; Katsura, H.; Tokuriki, N.; Kobayashi, M. Antibacterial activity of licochalcone A against spore-forming bacteria. Antimicrob. Agents Chemother. 2002, 46, 1226–1230. [Google Scholar] [CrossRef]
- Ramirez-Ambrosi, M.; Abad-Garcia, B.; Viloria-Bernal, M.; Garmon-Lobato, S.; Berrueta, L.A.; Gallo, B. A new ultrahigh performance liquid chromatography with diode array detection coupled to electrospray ionization and quadrupole time-of-flight mass spectrometry analytical strategy for fast analysis and improved characterization of phenolic compounds in apple products. J. Chromatogr. A 2013, 1316, 78–91. [Google Scholar] [CrossRef]
- Táborský, J.; Sus, J.; Lachman, J.; Šebková, B.; Adamcová, A.; Šatínský, D. Dynamics of Phloridzin and Related Compounds in Four Cultivars of Apple Trees during the Vegetation Period. Molecules 2021, 26, 3816. [Google Scholar] [CrossRef]
- Rezk, B.M.; Haenen, G.R.; van der Vijgh, W.J.; Bast, A. The antioxidant activity of phloretin: The disclosure of a new antioxidant pharmacophore in flavonoids. Biochem. Biophys. Res. Commun. 2002, 295, 9–13. [Google Scholar] [CrossRef]
- Jung, M.; Triebel, S.; Anke, T.; Richling, E.; Erkel, G. Influence of apple polyphenols on inflammatory gene expression. Mol. Nutr. Food Res. 2009, 53, 1263–1280. [Google Scholar] [CrossRef] [PubMed]
- Cheng, Z.J.; Kuo, S.C.; Chan, S.C.; Ko, F.N.; Teng, C.M. Antioxidant properties of butein isolated from Dalbergia odorifera. Biochim. Biophys. Acta Mol. Cell. Biol. Lipids 1998, 1392, 291–299. [Google Scholar] [CrossRef]
- Miranda, C.L.; Stevens, J.F.; Ivanov, V.; McCall, M.; Frei, B.; Deinzer, M.L.; Buhler, D.R. Antioxidant and prooxidant actions of prenylated and nonprenylated chalcones and flavanones in vitro. J. Agric. Food Chem. 2000, 48, 3876–3884. [Google Scholar] [CrossRef]
- Cheng, Z.J.; Lin, C.N.; Hwang, T.L.; Teng, C.M. Broussochalcone A, a potent antioxidant and effective suppressor of inducible nitric oxide synthase in lipopolysaccharide-activated macrophages. Biochem. Pharmacol. 2001, 61, 939–946. [Google Scholar] [CrossRef]
- Kabanda, M.M.; Gbashi, S.; Madala, N.E. Proportional coexistence of okanin chalcone glycoside and okanin flavanone glycoside in Bidens pilosa leaves and theoretical investigation on the antioxidant properties of their aglycones. Free Radic. Res. 2021, 55, 53–70. [Google Scholar] [CrossRef] [PubMed]
- Arfan, M.; Amin, H.; Khan, N.; Khan, I.; Saeed, M.; Khan, M.A. Analgesic and anti-inflammatory activities of 11-O-galloylbergenin. J. Ethnopharmacol. 2010, 131, 502–504. [Google Scholar] [CrossRef] [PubMed]
- Nyandoro, S.S.; Nkunya, M.H.; Josepha, C.C.; Odalo, J.O.; Sattler, I. New glucopyranosylglyceryl-N-octenyl adipate and bioactivity of retro and condensed chalcones from Toussaintia orientalis. Tanz. J. Sci. 2012, 38, 108–126. [Google Scholar]
- Cui, Y.; Ao, M.; Hu, J.; Yu, L. Anti-inflammatory activity of licochalcone A isolated from Glycyrrhiza inflata. Z. Naturforsch. C 2008, 63, 361–365. [Google Scholar] [CrossRef] [PubMed]
- Zhao, F.; Nozawa, H.; Daikonnya, A.; Kondo, K.; Kitanaka, S. Inhibitors of nitric oxide production from hops (Humulus lupulus L.). Biol. Pharm. Bull. 2003, 26, 61–65. [Google Scholar] [CrossRef]
- Kim, D.H.; Li, H.; Han, Y.E.; Jeong, J.H.; Lee, H.J.; Ryu, J.H. Modulation of inducible nitric oxide synthase expression in LPS-Stimulated BV-2 microglia by prenylated chalcones from Cullen corylifolium (L.) Medik. through inhibition of I-κBα degradation. Molecules 2018, 23, 109. [Google Scholar] [CrossRef]
- Lee, M.H.; Kim, J.Y.; Ryu, J.H. Prenylflavones from Psoralea corylifolia inhibit nitric oxide synthase expression through the inhibition of I-κB-α degradation in activated microglial cells. Biol. Pharm. Bull. 2005, 28, 2253–2257. [Google Scholar] [CrossRef]
- Hsu, C.L.; Chang, F.R.; Tseng, P.Y.; Chen, Y.F.; El-Shazly, M.; Du, Y.C.; Fang, S.C. Geranyl flavonoid derivatives from the fresh leaves of Artocarpus communis and their anti-inflammatory activity. Planta Med. 2012, 78, 995–1001. [Google Scholar] [CrossRef] [PubMed]
- Haraguchi, H.; Tanimoto, K.; Tamura, Y.; Mizutani, K.; Kinoshita, T. Mode of antibacterial action of retrochalcones from Glycyrrhiza inflata. Phytochemistry 1998, 48, 125–129. [Google Scholar] [CrossRef]
- Rukayadi, Y.; Han, S.; Yong, D.; Hwang, J.K. In vitro antibacterial activity of panduratin A against enterococci clinical isolates. Biol. Pharm. Bull. 2010, 33, 1489–1493. [Google Scholar] [CrossRef]
- Sugamoto, K.; Matsusita, Y.I.; Matsui, K.; Kurogi, C.; Matsui, T. Synthesis and antibacterial activity of chalcones bearing prenyl or geranyl groups from Angelica keiskei. Tetrahedron 2011, 67, 5346–5359. [Google Scholar] [CrossRef]
- Kulkarni, R.R.; Tupe, S.G.; Gample, S.P.; Chandgude, M.G.; Sarkar, D.; Deshpande, M.V.; Joshi, S.P. Antifungal dimeric chalcone derivative kamalachalcone E from Mallotus philippinensis. Nat. Prod. Res. 2014, 28, 245–250. [Google Scholar] [CrossRef]
- ElSohly, H.N.; Joshi, A.S.; Nimrod, A.C.; Walker, L.A.; Clark, A.M. Antifungal chalcones from Maclura tinctoria. Planta Med. 2001, 67, 87–89. [Google Scholar] [CrossRef] [PubMed]
- Svetaz, L.; Agüero, M.B.; Alvarez, S.; Luna, L.; Feresin, G.; Derita, M.; Tapia, A.; Zacchino, S. Antifungal activity of Zuccagnia punctata Cav.: Evidence for the mechanism of action. Planta Med. 2007, 73, 1074–1080. [Google Scholar] [CrossRef] [PubMed]
- Wang, Q.; Ding, Z.H.; Liu, J.K.; Zheng, Y.T. Xanthohumol, a novel anti-HIV-1 agent purified from Hops Humulus lupulus. Antivir. Res. 2004, 64, 189–194. [Google Scholar] [CrossRef]
- Cheenpracha, S.; Karalai, C.; Ponglimanont, C.; Subhadhirasakul, S.; Tewtrakul, S. Anti-HIV-1 protease activity of compounds from Boesenbergia pandurata. Bioorg. Med. Chem. 2006, 14, 1710–1714. [Google Scholar] [CrossRef]
- Dao, T.T.; Nguyen, P.H.; Lee, H.S.; Kim, E.; Park, J.; Lim, S.I.; Oh, W.K. Chalcones as novel influenza A (H1N1) neuraminidase inhibitors from Glycyrrhiza inflata. Bioorg. Med. Chem. Lett. 2011, 21, 294–298. [Google Scholar] [CrossRef]
- Yenesew, A.; Induli, M.; Deres, S.; Midiwo, J.O.; Heydenreich, M.; Peter, M.G.; Akala, H.; Wangui, J.; Liyala, P.; Waters, N.C. Anti-plasmodial flavonoids from the stem bark of Erythrina abyssinica. Phytochemistry 2004, 65, 3029–3032. [Google Scholar] [CrossRef]
- Narender, T.; Tanvir, K.; Rao, M.S.; Srivastava, K.; Puri, S.K. Prenylated chalcones isolated from Crotalaria genus inhibits in vitro growth of the human malaria parasite Plasmodium falciparum. Bioorg. Med. Chem. Lett. 2005, 15, 2453–2455. [Google Scholar] [CrossRef]
- Kharazmi, A.; Chen, M.; Theander, T.; Christensen, S.B. Discovery of oxygentade chalcones as novel antimalarial agents. Ann. Trop. Med. Parasitol. 1997, 91, S91–S95. [Google Scholar] [CrossRef]
- Kuo, Y.F.; Su, Y.Z.; Tseng, Y.H.; Wang, S.Y.; Wang, H.M.; Chueh, P.J. Flavokawain B, a novel chalcone from Alpinia pricei Hayata with potent apoptotic activity: Involvement of ROS and GADD153 upstream of mitochondria-dependent apoptosis in HCT116 cells. Free Radic. Biol. Med. 2010, 49, 214–226. [Google Scholar] [CrossRef] [PubMed]
- Ohira, S.; Takaya, K.; Mitsui, T.; Kido, M.; Kakumoto, K.; Hayashi, K.I.; Kuboki, A.; Tani, H.; Ikeda, S.; Iinuma, M.; et al. New chalcone dimers from Caesalpinia ferrea Mart act as potent inhibitors of DNA topoisomerase II. Tetrahedron Lett. 2013, 54, 5052–5055. [Google Scholar] [CrossRef]
- Lai, S.L.; Cheah, S.C.; Wong, P.F.; Noor, S.M.; Mustafa, M.R. In vitro and in vivo anti-angiogenic activities of Panduratin, A. PLoS ONE 2012, 7, e38103. [Google Scholar] [CrossRef] [PubMed]
- Ogawa, H.; Ohno, M.; Baba, K. Hypotensive and lipid regulatory actions of 4-hydroxyderricin, a chalcone from Angelica keiskei, in stroke-prone spontaneously hypertensive rats. Clin. Exp. Pharmacol. Physiol. 2005, 32, 19–23. [Google Scholar] [CrossRef] [PubMed]
- Logendra, S.; Ribnicky, D.M.; Yang, H.; Poulev, A.; Ma, J.; Kennelly, E.J.; Raskin, I. Bioassay-guided isolation of aldose reductase inhibitors from Artemisia dracunculus. Phytochemistry 2006, 67, 1539–1546. [Google Scholar] [CrossRef]
- Fontenele, J.B.; Leal, L.K.; Ferreira, M.A.; Silveira, E.R.; Viana, G.S. Antiplatelet Effect of Lonchocarpin and Derricin Isolated from Lonchocarpus sericeus. Pharm. Biol. 2005, 43, 726–731. [Google Scholar] [CrossRef]
- Birari, R.B.; Gupta, S.; Mohan, C.G.; Bhutani, K.K. Antiobesity and lipid lowering effects of Glycyrrhiza chalcones: Experimental and computational studies. Phytomedicine 2011, 18, 795–801. [Google Scholar] [CrossRef]
- Kramer, C.; Ting, A.; Zheng, H.; Hert, J.; Schindler, T.; Stahl, M.; Robb, G.; Crawford, J.J.; Blaney, J.; Montague, S.; et al. Learning medicinal chemistry absorption, distribution, metabolism, excretion, and toxicity (ADMET) rules from cross-company matched molecular pairs analysis (MMPA) miniperspective. J. Med. Chem. 2017, 61, 3277–3292. [Google Scholar] [CrossRef]
- Ekins, S.; Mestres, J.; Testa, B. In silico pharmacology for drug discovery: Methods for virtual ligand screening and profiling. Br. J. Pharmacol. 2007, 152, 9–20. [Google Scholar] [CrossRef]
- Gerhäuser, C. Beer constituents as potential cancer chemopreventive agents. Eur. J. Cancer 2005, 41, 1941–1954. [Google Scholar] [CrossRef]
- Yilmazer, M.; Stevens, J.F.; Deinzer, M.L.; Buhler, D.R. In vitro biotransformation of xanthohumol, a flavonoid from hops (Humulus lupulus), by rat liver microsomes. Drug Metab. Dispos. 2001, 29, 223–231. [Google Scholar] [PubMed]
- Yilmazer, M.; Stevens, J.F.; Buhler, D.R. In vitro glucuronidation of xanthohumol, a flavonoid in hop and beer, by rat and human liver microsomes. FEBS Lett. 2001, 491, 252–256. [Google Scholar] [CrossRef]
- Gil-Izquierdo, A.; Gil, M.I.; Ferreres, F.; Tomás-Barberán, F.A. In vitro availability of flavonoids and other phenolics in orange juice. J. Agric. Food Chem. 2001, 49, 1035–1041. [Google Scholar] [CrossRef]
- Cermak, R.; Durazzo, A.; Maiani, G.; Böhm, V.; Kammerer, D.R.; Carle., R.; Wiczkowski, W.; Piskula, M.K.; Galensa, R. The influence of postharvest processing and storage of foodstuffs on the bioavailability of flavonoids and phenolic acids. Mol. Nutr. Food Res. 2009, 53, S184–S193. [Google Scholar] [CrossRef]
- Jaiswal, S.; Shukla, M.; Sharma, A.; Rangaraj, N.; Vaghasiya, K.; Malik, M.Y.; Lal, J. Preclinical pharmacokinetics and ADME characterization of a novel anticancer chalcone, cardamonin. Drug Test. Anal. 2017, 9, 1124–1136. [Google Scholar] [CrossRef] [PubMed]
- Zhao, Y.; Fan, Y.; Wang, M.; Wang, J.; Cheng, J.; bo Zou, J.; Zhang, X.; Shi, Y.; yan Guo, D. Studies on pharmacokinetic properties and absorption mechanism of phloretin: In vivo and in vitro. Biomed. Pharmacother. 2020, 132, 110809. [Google Scholar] [CrossRef]
- Choi, J.S.; Choi, J.S.; Choi, D.H. Effects of licochalcone A on the bioavailability and pharmacokinetics of nifedipine in rats: Possible role of intestinal CYP3A4 and P-gp inhibition by licochalcone A. Biopharm. Drug Dispos. 2014, 35, 382–390. [Google Scholar] [CrossRef] [PubMed]
- Boonnop, R.; Soodvilai, S. Interaction of Compounds Isolated from Boesenbergia rotunda with Human Renal Organic Anion and Cation Transporters. J. Physiol. Biomed. Sci. 2017, 30, 52–56. [Google Scholar]
- Qin, Z.; Wang, P.; Duan, S.; Wan, X.; Xing, H.; Yang, J.; Zhang, X.; Yao, Z.; Yao, X. Potential Determinants for Metabolic Fates and Inhibitory Effects of Isobavachalcone Involving in Human Cytochrome P450, UDP-Glucuronosyltransferase Enzymes, and Efflux Transporters. J. Pharm. Sci. 2021, 110, 2285–2294. [Google Scholar] [CrossRef]







| Sl. No. | Plant Species | Chalcone | Bioactivity | Reference |
|---|---|---|---|---|
| 1 | Dalbergia odorifera T | Butein (2′,4′,3,4-tetrahydroxychalcone) | Antioxidant activity against lipid and LDL peroxidation | [129] |
| 2 | Humulus lupulus | Xanthohumol | Antioxidant activity against LDL oxidation | [130] |
| 3 | Broussonetia papyrifera Vent. | BroussochalconeA | Antioxidant activities due to inhibition of IκBα degradation and iNOS | [131] |
| 4 | Bidens pilosa | Okanin | Antioxidant activity | [132] |
| 5 | Malotus philippinensis | 11-O-galloylbergenin | Anti-inflammatory activity | [133] |
| 6 | Toussaintia orientalis Verdc. | 2-Hydroxy-3,4,6-trimethoxychalcone | Anti-inflammatory activity against COX-2 enzyme | [134] |
| 7 | Glycyrrhiza inflate | Licochalcone A | Anti-inflammatory activity | [135] |
| 8 | Humulus lupulus L. | Xanthohumol B and dihydroxanthohumol | Anti-inflammatory activity by inhibition of production of NO due to the suppression of iNOS | [136] |
| 9 | Psoralea corylifolia | Isobavachalcone, bavachromene, kanzonol B, 4-hydroxy- lonchocarpin chromenoflavanone | Anti-inflammatory activity due to inhibition of iNOS and COX-2 in LPS-activated microglia; blocks the I-κBα degradation and down-regulated NF-κB level in LPS-stimulated BV-2 microglia | [137,138] |
| 10 | Artocarpus communis | Arcommunol C, arcommunol D, 5′-geranyl-3,4,2′,4′-tetrahydroxychalcone, prostratol, arcommunol E, 3′-geranyl-3,4,2′,4′-tetrahydroxydihydrochalcone, and 3′-geranyl-3,4,2′,4′-tetrahydroxychalcone | Anti-inflammatory activity by decreased LPS mediated induction of protein expressions of iNOS and COX-2 in RAW 264.7 cells | [139] |
| 11 | Glycyrrhiza inflata | Licochalcone A and C | Antimicrobial activity by inhibition of NADH-cytochrome c reductase | [140] |
| 12 | Boesenbergia rotunda | Panduratin A | Antimicrobial activity against clinical enterococci | [141] |
| 13 | Angelica keiskei | Isobavachalcone, bavachalcone broussochalcone | Antibacterial activity against Gram-positive bacteria | [142] |
| 14 | Mallotus philippinensis | Rottlerin, 4′-hydroxyrottlerin, 1-(5,7-dihydroxy-2,2,6-trimethyl-2H-1-benzopyran-8-yl)-3-phenyl-2-propen-1-one | Antifungal activity | [143] |
| 15 | Maclura tinctoria | Isobavachalcone | Antifungal activity against Candida albicans and Cryptococcus neoformans | [144] |
| 16 | Zuccagnia punctata Cav. | 2′,4′-dihydroxychalcone and 2′,4′-dihydroxy-3′-methoxychalcone | Antifungal activity | [145] |
| 17 | Humulus lupulus | Xanthohumol | Anti-HIV-1 activity by induction of cytopathic effects, viral p24 antigen and reverse transcriptase in C8166 lymphocytes | [146] |
| 18 | Boesenbergia pandurata | Hydroxypanduratin A, panduratin A | Anti-HIV-1 protease inhibitory activity | [147] |
| 19 | Glycyrrhiza inflata | Licochalcone G | Antiviral activity against H1N1 swine influenza | [148] |
| 20 | Erythrina abyssinica | 5-prenylbutein | Anti-plasmodial activity | [149] |
| 21 | Crotalaria orixensis | Crotaorixin | Antimalarial activity against Plasmodium falciparum (Strain NF-54) | [150] |
| 22 | Glycyrrhiza uralensis | Licochalcone A | Antimalarial activity | [151] |
| 23 | Cyclosorus parasiticus | Parasiticins C, 2′,4′-dihydroxy-6′-methoxy-3′,5′-dimethylchalcone | Anti-proliferative activity by induction of apoptosis in the HepG2 cell line | [35] |
| 24 | Alpinia pricei Hayata | Flavokawain B | Antiproliferative effect due to induction of G2/M accumulation, autophagy, and apoptosis | [152] |
| 25 | Caesalpinia ferrea Mart | Pauferrol B, pauferrol C | Inhibitory activities against human topoisomerase II and cell proliferation by induction of apoptosis in human leukemia cells lines (HL 60) | [153] |
| 26 | Boesenbergia rotunda | Panduratin A | Anti-angiogenic agent | [154] |
| 27 | Angelica keiskei | 4-Hydroxyderricin | Hypotensive and lipid regulatory actions, reduction of serum VLDL levels and hepatic triglyceride | [155] |
| 28 | Artemisia dracunculus L. | Davidigenin, 2′,4′-dihydroxy-4-methoxydihydrochalcone,4,5-di-O-caffeoylquinic acid, 6-demethoxycapillarisin and | Antidiabetic activity as aldose reductase inhibitor | [156] |
| 29 | Lonchocarpus sericeus | lonchocarpin and derricin | Antiplatelet activity by phosphodiesterase activity inhibition or elevation of intracellular levels cAMP and cGMP or by inhibition of thromboxane formation | [157] |
| 30 | Glycyrrhiza glabra | Glabrol, 4′-O-methoxy glabridin, hispaglabridin A, glabridin, 4′,7-dihydroxy flavone, 7-hydroxy-4′-methoxy flavone, 3,3′,4,4′-tetrahydroxy-2-methoxychalcone, liquiritigenin, isoliquiritigenin, licuroside, isoliquiritoside and isoononin | Antiobesity and lipid-lowering effects | [158] |
Publisher’s Note: MDPI stays neutral with regard to jurisdictional claims in published maps and institutional affiliations. |
© 2021 by the authors. Licensee MDPI, Basel, Switzerland. This article is an open access article distributed under the terms and conditions of the Creative Commons Attribution (CC BY) license (https://creativecommons.org/licenses/by/4.0/).
Share and Cite
Rudrapal, M.; Khan, J.; Dukhyil, A.A.B.; Alarousy, R.M.I.I.; Attah, E.I.; Sharma, T.; Khairnar, S.J.; Bendale, A.R. Chalcone Scaffolds, Bioprecursors of Flavonoids: Chemistry, Bioactivities, and Pharmacokinetics. Molecules 2021, 26, 7177. https://doi.org/10.3390/molecules26237177
Rudrapal M, Khan J, Dukhyil AAB, Alarousy RMII, Attah EI, Sharma T, Khairnar SJ, Bendale AR. Chalcone Scaffolds, Bioprecursors of Flavonoids: Chemistry, Bioactivities, and Pharmacokinetics. Molecules. 2021; 26(23):7177. https://doi.org/10.3390/molecules26237177
Chicago/Turabian StyleRudrapal, Mithun, Johra Khan, Abdul Aziz Bin Dukhyil, Randa Mohammed Ibrahim Ismail Alarousy, Emmanuel Ifeanyi Attah, Tripti Sharma, Shubham Jagdish Khairnar, and Atul Rupchand Bendale. 2021. "Chalcone Scaffolds, Bioprecursors of Flavonoids: Chemistry, Bioactivities, and Pharmacokinetics" Molecules 26, no. 23: 7177. https://doi.org/10.3390/molecules26237177
APA StyleRudrapal, M., Khan, J., Dukhyil, A. A. B., Alarousy, R. M. I. I., Attah, E. I., Sharma, T., Khairnar, S. J., & Bendale, A. R. (2021). Chalcone Scaffolds, Bioprecursors of Flavonoids: Chemistry, Bioactivities, and Pharmacokinetics. Molecules, 26(23), 7177. https://doi.org/10.3390/molecules26237177

