Characterizing the Diffusion and Rheological Properties of Aged Asphalt Binder Rejuvenated with Bio-Oil Based on Molecular Dynamic Simulations and Laboratory Experimentations
Abstract
:1. Introduction
2. Study Work Plan and Materials Used
2.1. Base Asphalt Binder
2.2. The Aged Asphalt Binder
2.3. The Soybean Oil Rejuvenator
2.4. BRAA Sample Preparation and Bio-Oil Dosages
3. Laboratory Testing and Simulations
3.1. The Fourier Infrared (FTIR) Spectrometer Test
3.2. The Gel Permeation Chromatography (GPC) Test
3.3. The Elemental Analyzer (EA) Test
3.4. The Dynamic Shear Rheometer (DSR) Test
3.5. Molecular Dynamic (MD) Simulations
4. Results, Analysis, and Discussions
4.1. EA Test Results and Compositional Analysis
4.2. GPC Molecular Weight Distribution Results for the Bio-Oil
4.3. FTIR Compositional Analysis and Functional Group Results
4.4. Density Results and Synthesis
4.5. Diffusion Coefficient Results from MD Simulations
4.6. Viscosity and Bulk Modulus Results from MD Simulations
4.7. Solubility Parameter Results from MD Simulations
4.8. Radius of Gyration Results from MD Simulations
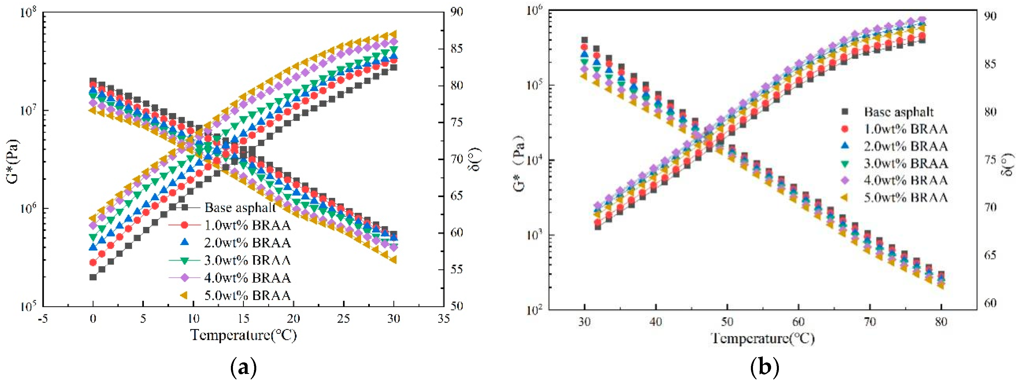
4.9. DSR Rheological Results and Synthesis
4.10. Data Quality and Descriptive Statistical Analysis
5. Conclusions and Recommendations
- BRAA exhibited lower VOC emissions and more environmental friendliness than the base asphalt binder;
- The molecular weight of the bio-oil, which was soybean-derived, was found to be 280~282 g/mol, and could be represented using either the C18H32O2 or the C18H34O2 chemical formula. For the materials evaluated, the bio-oil indicated the potential ability to enhance the diffusion and promote the regeneration of the aged asphalt binder;
- The bio-oil evaluated, which was soybean-derived, exhibited solubility in the aged asphalt binder, with potential to improve its viscoelastic properties and the diffusion, and to promote its regeneration. For a bio-oil dosage of 4.0%, the diffusion coefficients of the BRAA components were 1.52 × 10−8, 1.33 × 10−8, 3.47 × 10−8, 4.82 × 10−8 and 3.92 × 10−8, respectively;
- The regeneration mechanism of BRAA indicates that the chemical diffusion of the bio-oil enhanced the molecular movement within the aged asphalt binder, including supplementing the aromatics and saturates components to form a new stable asphalt binder matrix system.
Author Contributions
Funding
Data Availability Statement
Conflicts of Interest
Sample Availability
References
- Chen, D.; Ling, C.; Wang, T.; Su, Q.; Ye, A. Prediction of tire-pavement noise of porous asphalt mixture based on mixture surface texture level and distributions. Constr. Build. Mater. 2018, 173, 801–810. [Google Scholar] [CrossRef]
- Kane, M.; Edmondson, V. Long-term skid resistance of asphalt surfacings and aggregates’ mineralogical composition: Generalisation to pavements made of different aggregate types. Wear 2020, 454, 203339. [Google Scholar] [CrossRef]
- Chen, M.; Leng, B.; Wu, S.; Sang, Y. Physical, chemical and rheological properties of waste edible vegetable oil rejuvenated asphalt binders. Constr. Build. Mater. 2014, 66, 286–298. [Google Scholar] [CrossRef]
- Huang, Y.; Bird, R.; Heidrich, O. Development of a life cycle assessment tool for construction and maintenance of asphalt pavements. J. Clean. Prod. 2009, 17, 283–296. [Google Scholar] [CrossRef]
- Chen, X.; Wang, H. Life cycle assessment of asphalt pavement recycling for greenhouse gas emission with temporal aspect. J. Clean. Prod. 2018, 187, 148–157. [Google Scholar] [CrossRef]
- Bai, T.; Hu, Z.; Hu, X.; Liu, Y.; Fuentes, L.; Walubita, L.F. Rejuvenation of short-term aged asphalt-binder using waste engine oil. Can. J. Civ. Eng. 2020, 47, 822–832. [Google Scholar] [CrossRef]
- Zhang, W.; Bahadori, A.; Shen, S.; Wu, S.; Muhunthan, B.; Mohammad, L. Comparison of laboratory and field asphalt aging for polymer-modified and warm-mix asphalt binders. J. Mater. Civ. Eng. 2018, 30, 4018150. [Google Scholar] [CrossRef]
- Li, P.; Ding, Z.; Zhang, Z.; Zhang, D. Comparative evaluation of laboratory and field ageing of asphalt binder using a non-linear differential model. Road Mater. Pavement Des. 2016, 17, 434–445. [Google Scholar] [CrossRef]
- Lin, J.; Hong, J.; Liu, J.; Wu, S. Investigation on physical and chemical parameters to predict long-term aging of asphalt binder. Constr. Build. Mater. 2016, 122, 753–759. [Google Scholar] [CrossRef]
- Wang, Z.; Ye, F. Experimental investigation on aging characteristics of asphalt based on rheological properties. Constr. Build. Mater. 2020, 231, 117158. [Google Scholar] [CrossRef]
- Dony, A.; Colin, J.; Bruneau, D.; Drouadaine, I.; Navaro, J. Reclaimed asphalt concretes with high recycling rates: Changes in reclaimed binder properties according to rejuvenating agent. Constr. Build. Mater. 2013, 41, 175–181. [Google Scholar] [CrossRef]
- Zhang, Z.; Han, S.; Han, X.; Dong, S.; Yao, T. Performance changes of hot recycled asphalt mixture in different layers under coupling of multiple aging factors. Constr. Build. Mater. 2021, 269, 121343. [Google Scholar] [CrossRef]
- Walubita, L.F.; Mahmoud, E.; Lee, S.I.; Carrasco, G.; Komba, J.J.; Fuentes, L.; Nyamuhokya, T.P. Use of grid reinforcement in HMA overlays–A Texas field case study of highway US 59 in Atlanta District. Constr. Build. Mater. 2019, 213, 325–336. [Google Scholar] [CrossRef]
- Zhang, J.; Simate, G.S.; Hu, X.; Souliman, M.; Walubita, L.F. Impact of recycled asphalt materials on asphalt binder properties and rutting and cracking performance of plant-produced mixtures. Constr. Build. Mater. 2017, 155, 654–663. [Google Scholar] [CrossRef]
- Mirhosseini, A.F.; Tahami, A.; Hoff, I.; Dessouky, S.; Kavussi, A.; Fuentes, L.; Walubita, L.F. Performance Characterization of Warm-Mix Asphalt Containing High Reclaimed-Asphalt Pavement with Bio-Oil Rejuvenator. J. Mater. Civ. Eng. 2020, 32, 4020382. [Google Scholar] [CrossRef]
- Portugal, A.C.X.; Lucena, L.C.d.L.; Lucena, A.E.d.L.; Costa, D.B.; Patricio, J.D. Evaluating the rheological effect of asphalt binder modification using soybean oil. Pet. Sci. Technol. 2018, 36, 1351–1360. [Google Scholar] [CrossRef]
- Erhan, S.Z.; Asadauskas, S. Lubricant basestocks from vegetable oils. Ind. Crops Prod. 2000, 11, 277–282. [Google Scholar] [CrossRef]
- Sharma, V.; Kundu, P.P. Addition polymers from natural oils—A review. Prog. Polym. Sci. 2006, 31, 983–1008. [Google Scholar] [CrossRef]
- Xiong, X.; Iris, K.M.; Cao, L.; Tsang, D.C.W.; Zhang, S.; Ok, Y.S. A review of biochar-based catalysts for chemical synthesis, biofuel production, and pollution control. Bioresour. Technol. 2017, 246, 254–270. [Google Scholar] [CrossRef]
- Yang, X.; You, Z.; Dai, Q. Performance Evaluation of Asphalt Binder Modified by Bio-oil Generated from Waste Wood Resources. Int. J. Pavement Res. Technol. 2013, 6, 4. [Google Scholar]
- Raouf, M.A.; Williams, R.C. Temperature and shear susceptibility of a nonpetroleum binder as a pavement material. Transp. Res. Rec. 2010, 2180, 9–18. [Google Scholar] [CrossRef]
- Fini, E.H.; Kalberer, E.W.; Shahbazi, A.; Basti, M.; You, Z.; Ozer, H.; Aurangzeb, Q. Chemical characterization of biobinder from swine manure: Sustainable modifier for asphalt binde. J. Mater. Civ. Eng. 2011, 23, 1506–1513. [Google Scholar] [CrossRef]
- Oldham, D.J.; Fini, E.H.; Chailleux, E. Application of a bio-binder as a rejuvenator for wet processed asphalt shingles in pavement construction. Constr. Build. Mater. 2015, 86, 75–84. [Google Scholar] [CrossRef]
- You, Z.; Mills-Beale, J.; Fini, E.; Goh, S.W.; Colbert, B. Evaluation of low-temperature binder properties of warm-mix asphalt, extracted and recovered RAP and RAS, and bioasphalt. J. Mater. Civ. Eng. 2011, 23, 1569–1574. [Google Scholar] [CrossRef]
- Zofka, A.; Yut, I. Investigation of rheology and aging properties of asphalt binder modified with waste coffee grounds. Transp. Res. E-Circ. 2012, 2012, 61–72. [Google Scholar]
- Jalkh, R.; Abiad, M.; Chehab, G.R. Rejuvenators for asphalt binders using oil extracted from spent coffee grounds. Geo-Chicago 2016, 2016, 666–676. [Google Scholar]
- Wen, H.; Bhusal, S.; Wen, B. Laboratory evaluation of waste cooking oil-based bioasphalt as an alternative binder for hot mix asphalt. J. Mater. Civ. Eng. 2013, 25, 1432–1437. [Google Scholar] [CrossRef]
- Chen, M.; Xiao, F.; Putman, B.; Leng, B.; Wu, S. High temperature properties of rejuvenating recovered binder with rejuvenator, waste cooking and cotton seed oils. Constr. Build. Mater. 2014, 59, 10–16. [Google Scholar] [CrossRef]
- Tang, S.; Williams, R.C. Antioxidant effect of bio-oil additive ESP on asphalt binder. In Proceedings of the 2009 Mid-Continent Transportation Research Symposium, Ames, IA, USA, 20–21 August 2009. [Google Scholar]
- Seidel, J.C.; Haddock, J.E. Rheological characterization of asphalt binders modified with soybean fatty acids. Constr. Build. Mater. 2014, 53, 324–332. [Google Scholar] [CrossRef]
- Elkashef, M.; Podolsky, J.; Williams, R.C.; Cochran, E.W. Introducing a soybean oil-derived material as a potential rejuvenator of asphalt through rheology, mix characterisation and Fourier Transform Infrared analysis. Road Mater. Pavement Des. 2018, 19, 1750–1770. [Google Scholar] [CrossRef]
- Elkashef, M.; Podolsky, J.; Williams, R.C.; Cochran, E. Preliminary examination of soybean oil derived material as a potential rejuvenator through Superpave criteria and asphalt bitumen rheology. Constr. Build. Mater. 2017, 149, 826–836. [Google Scholar] [CrossRef]
- Elkashef, M.; Williams, R.C.; Cochran, E.W. Physical and chemical characterization of rejuvenated reclaimed asphalt pavement (RAP) binders using rheology testing and pyrolysis gas chromatography-mass spectrometry. Mater. Struct. 2018, 51, 12. [Google Scholar] [CrossRef]
- Elkashef, M.; Williams, R.C. Improving fatigue and low temperature performance of 100% RAP mixtures using a soybean-derived rejuvenator. Constr. Build. Mater. 2017, 151, 345–352. [Google Scholar] [CrossRef]
- Kuang, D.; Liu, W.; Xiao, Y.; Wan, M.; Yang, L.; Chen, H. Study on the rejuvenating mechanism in aged asphalt binder with mono-component modified rejuvenators. Constr. Build. Mater. 2019, 223, 986–993. [Google Scholar] [CrossRef]
- Wang, F.; Wang, Z.; Li, C.; Xiao, Y.; Wu, S.; Pan, P. The rejuvenating effect in hot asphalt recycling by mortar transfer ratio and image analysis. Materials 2017, 10, 574. [Google Scholar] [CrossRef] [PubMed] [Green Version]
- Karlsson, R.; Isacsson, U. Application of FTIR-ATR to characterization of bitumen rejuvenator diffusion. J. Mater. Civ. Eng. 2003, 15, 157–165. [Google Scholar] [CrossRef]
- Ding, Y.; Huang, B.; Shu, X.; Zhang, Y.; Woods, M.E. Use of molecular dynamics to investigate diffusion between virgin and aged asphalt binders. Fuel 2016, 174, 267–273. [Google Scholar] [CrossRef]
- Girimath, S.; Singh, D. Effects of bio-oil on performance characteristics of base and recycled asphalt pavement binders. Constr. Build. Mater. 2019, 227, 116684. [Google Scholar] [CrossRef]
- Yang, X.; Mills-Beale, J.; You, Z. Chemical characterization and oxidative aging of bio-asphalt and its compatibility with petroleum asphalt. J. Clean. Prod. 2017, 142, 1837–1847. [Google Scholar] [CrossRef]
- Xiao, Y.; Li, C.; Wan, M.; Zhou, X.; Wang, Y.; Wu, S. Study of the diffusion of rejuvenators and its effect on aged bitumen binder. Appl. Sci. 2017, 7, 397. [Google Scholar] [CrossRef] [Green Version]
- Zadshir, M.; Oldham, D.J.; Hosseinnezhad, S.; Fini, E.H. Investigating bio-rejuvenation mechanisms in asphalt binder via laboratory experiments and molecular dynamics simulation. Constr. Build. Mater. 2018, 190, 392–402. [Google Scholar] [CrossRef]
- Xu, G.; Wang, H.; Sun, W. Molecular dynamics study of rejuvenator effect on RAP binder: Diffusion behavior and molecular structure. Constr. Build. Mater. 2018, 158, 1046–1054. [Google Scholar] [CrossRef]
- ASTM D2872. Standard test method for effect of heat and air on a moving film of asphalt (rolling thin-film oven test). Am. Soc. Test. Mater. 2019, 4, 1–6. [Google Scholar] [CrossRef]
- ASTM D6521. Standard Practice for Accelerated Aging of Asphalt Binder Using a Pressurized Aging Vessel (PAV); ASTM International: Conshohocken, PA, USA, 2016; Volume 12, pp. 28–32. [Google Scholar]
- Hofko, B.; Alavi, M.Z.; Grothe, H.; Jones, D.; Harvey, J. Repeatability and sensitivity of FTIR ATR spectral analysis methods for bituminous binders. Mater. Struct. 2017, 50, 187. [Google Scholar] [CrossRef] [Green Version]
- Gehrem, M.; Renpenning, J.; Geilmann, H.; Qi, H.; Coplen, T.B.; Kummel, S.; Ivdra, N.; Brand, W.A.; Schimmelmann, A. Optimization of on-line hydrogen stable isotope ratio measurements of halogen-and sulfur-bearing organic compounds using elemental analyzer–chromium/high-temperature conversion isotope ratio mass spectrometry (EA-Cr/HTC-IRMS). Rapid Commun. Mass Spectrom. 2017, 31, 475–484. [Google Scholar] [CrossRef] [PubMed] [Green Version]
- ASTM D7175-15. Standard Test Method for Determining the Rheological Properties of Asphalt Binder Using a Dynamic Shear Rheometer; ASTM International: Washington, DC, USA, 2015. [Google Scholar]
- Sui, C.; Farrar, M.J.; Harnsberger, P.M.; Tuminello, W.H.; Turner, T.F. New low-temperature performance-grading method: Using 4-mm parallel plates on a dynamic shear rheometer. Transp. Res. Rec. 2011, 2207, 43–48. [Google Scholar] [CrossRef]
- Farrar, M.; Sui, C.; Salmans, S.; Qin, Q. Determining the low-temperature rheological properties of asphalt binder using a dynamic shear rheometer (DSR). Rep. 4FP 2015, 8, 20. [Google Scholar]
- Wang, D.; Falchetto, A.C.; Alisov, A.; Schrader, J.; Riccardi, C.; Wistuba, M.P. An alternative experimental method for measuring the low temperature rheological properties of asphalt binder by using 4mm parallel plates on dynamic shear rheometer. Transp. Res. Rec. 2019, 2673, 427–438. [Google Scholar] [CrossRef]
- Walubita, L.F.; Mahmoud, E.; Fuentes, L.; Prakoso, A.; Lee, S.I.; Souliman, M.; Komba, J.J. Correlating the asphalt-binder high-temperature properties (DSR) to HMA permanent deformation (RLPD) and field rutting: A laboratory-field study. Constr. Build. Mater. 2020, 262, 120761. [Google Scholar] [CrossRef]
- D’Angelo, J. Current status of Superpave binder specification. Road Mater. Pavement Des. 2009, 10, 13–24. [Google Scholar] [CrossRef]
- Walubita, L.F.; Gonzalez-Hernandez, J.G.; Martinez-Arguelles, G.; Tanvir, H.; Fuentes, L.; Tahami, S.A. Statistical Evaluation of the Material-Source Effects on the DSR Rheological Properties of Plant-Mix Extracted Asphalt-Binders. Materials 2021, 14, 1931. [Google Scholar] [CrossRef]
- He, L.; Li, X.; Wu, G.; Lin, F.; Sui, H. Distribution of saturates, aromatics, resins, and asphaltenes fractions in the bituminous layer of athabasca oil sands. Energy Fuels 2013, 27, 4677–4683. [Google Scholar] [CrossRef]
- Zhu, J.; Balieu, R.; Wang, H. The use of solubility parameters and free energy theory for phase behaviour of polymer-modified bitumen: A review. Road Mater. Pavement Des. 2021, 22, 757–778. [Google Scholar] [CrossRef] [Green Version]
- Liu, X.; Schnell, S.K.; Simon, J.-M.; Bedeaux, D.; Kjelstrup, S.; Bardow, A.; Vlugt, T.J.H. Fick diffusion coefficients of liquid mixtures directly obtained from equilibrium molecular dynamics. J. Phys. Chem. B 2011, 115, 12921–12929. [Google Scholar] [CrossRef] [PubMed]
- Sun, H.G.; Chen, W.; Sheng, H.; Chen, Y.Q. On mean square displacement behaviors of anomalous diffusions with variable and random orders. Phys. Lett. Sect. A Gen. At. Solid State Phys. 2010, 374, 906–910. [Google Scholar] [CrossRef]
- Sun, B.; Zhou, X. Diffusion and Rheological Properties of Asphalt Modified by Bio-Oil Regenerant Derived from Waste Wood. J. Mater. Civ. Eng. 2018, 30, 04017274. [Google Scholar] [CrossRef]
- Yao, H.; Dai, Q.; You, Z.; Bick, A.; Wang, M. Modulus simulation of asphalt binder models using Molecular Dynamics (MD) method. Constr. Build. Mater. 2018, 162, 430–441. [Google Scholar] [CrossRef]
- Dhasmana, H.; Ozer, H.; Al-Qadi, I.L.; Zhang, Y.; Schideman, L.; Sharma, B.K.; Chen, W.-T.; Minarick, M.J.; Zhang, P. Rheological and chemical characterization of biobinders from different biomass resources. Transp. Res. Rec. 2015, 2505, 121–129. [Google Scholar] [CrossRef]









| Technical Index | Unit | Specification | Test Result | |
|---|---|---|---|---|
| Penetration (25 °C, 100 g, 5 s) | 0.1 mm | 60~80 | 72 | |
| Penetration index, PI | - | −1.5~+1.0 | −1.45 | |
| Softening point, TR&B | °C | ≥46 | 46.2 | |
| Ductility (15 °C, 5 cm/min) | cm | ≥100 | 138 | |
| Ductility (10 °C, 5 cm/min) | cm | ≥15 | 22.51 | |
| Density @15 °C | g/cm3 | / | 1.043 | |
| Wax content | % | <2.2 | 2.18 | |
| Dynamic viscosity @60 °C | Pa∙s | ≥180 | 248 | |
| Kinematic viscosity @135 °C | Pa∙s | / | 0.485 | |
| After RTFOT (163 °C, 85 min) | Mass change | % | −0.8~+0.8 | 0.05 |
| Penetration ratio @25 °C | % | ≥61 | 73.85 | |
| Ductility (10 °C, 5 cm/min) | cm | ≥6 | 9 | |
| Technical Index | Unit | Test Results |
|---|---|---|
| Penetration (25 °C, 100 g, 5 s) | 0.1 mm | 25.6 |
| Softening point, TR&B | °C | 59.7 |
| Ductility (15 °C, 5 cm/min) | cm | 6.3 |
| Ductility (10 °C, 5 cm/min) | cm | 0 |
| Kinematic viscosity @135 °C | Pa·s | 0.913 |
| Technical Index | Unit | Test Results |
|---|---|---|
| Potential of hydrogen, pH | / | 7 ± 0.5 |
| Density | g/cm3 | 0.923 |
| Dynamic viscosity @60 °C | Pa·s | 0.16 |
| Dielectric constant | F/m | 2.8 |
| Flash point | °C | 234 |
| Element Contents | C/% | O/% | H/% | N/% | S/% | H/C |
|---|---|---|---|---|---|---|
| Bio-oil | 77.14 | 11.43 | 11.43 | - | - | 1.78 |
| BRAA (4.0%) | 74.86 | 10.50 | 12.95 | 0.48 | 0.20 | 2.0 |
| A-70# base asphalt binder | 81.6 | 0.9 | 10.8 | 0.77 | 0.68 | 1.51 |
| Bio-Oil Content (%wt) | DAsphaltenes (cm2/s) | DSaturates (cm2/s) | DResins (cm2/s) | DAromatics (cm2/s) | DBio-oil (cm2/s) |
|---|---|---|---|---|---|
| 1.0 | 7.67 × 10−9 | 4.17 × 10−9 | 1.48 × 10−8 | 7.00 × 10−9 | 6.03 × 10−8 |
| 2.0 | 7.00 × 10−9 | 7.50 × 10−9 | 1.63 × 10−8 | 8.50 × 10−9 | 2.07 × 10−8 |
| 3.0 | 6.00 × 10−9 | 7.83 × 10−9 | 1.38 × 10−8 | 8.67 × 10−9 | 4.70 × 10−8 |
| 4.0 | 1.52 × 10−8 | 1.33 × 10−8 | 3.47 × 10−8 | 4.82 × 10−8 | 3.92 × 10−8 |
| 5.0 | 1.67 × 10−8 | 1.39 × 10−8 | 3.51 × 10−8 | 4.99 × 10−8 | 4.41 × 10−8 |
| 4.0 wt. % Bio-Oil Content (%) | DAsphaltenes (cm2/s) | DSaturates (cm2/s) | DResins (cm2/s) | DAromatics (cm2/s) | DBio-oil (cm2/s) |
|---|---|---|---|---|---|
| D273 K | 1.10 × 10−8 | 7.50 × 10−9 | 1.87 × 10−8 | 1.66 × 10−8 | 3.62 × 10−8 |
| D298 K | 1.52 × 10−8 | 1.33 × 10−8 | 3.47 × 10−8 | 4.82 × 10−8 | 3.92 × 10−8 |
| D318 K | 1.68 × 10−8 | 1.27 × 10−8 | 3.03 × 10−8 | 5.05 × 10−8 | 5.32 × 10−8 |
| D333 K | 7.71 × 10−9 | 6.67 × 10−9 | 7.67 × 10−9 | 7.50 × 10−9 | 8.33 × 10−9 |
| D353 K | 1.13 × 10−8 | 1.33 × 10−8 | 1.78 × 10−8 | 2.30 × 10−8 | 1.73 × 10−8 |
| Material Component | Solubility (δ) | |A − B| | ΔS* |
|---|---|---|---|
| Bio-oil (soybean) | 16.582 | Bio-oil–Asphaltenes | 0.340 |
| Asphaltenes | 17.027 | Bio-oil–Saturates | 1.945 |
| Saturates | 14.742 | Bio-oil–Resins | 0.357 |
| Aromatics | 16.330 | Bio-oil–Aromatics | 0.316 |
| Resins | 16.371 | Bio-oil–Asphalt binder | 0.405 |
| Asphalt binder | 16.282 | Bio-oil–Aged asphalt binder | 0.550 |
| Aged asphalt binder | 17.237 |
Publisher’s Note: MDPI stays neutral with regard to jurisdictional claims in published maps and institutional affiliations. |
© 2021 by the authors. Licensee MDPI, Basel, Switzerland. This article is an open access article distributed under the terms and conditions of the Creative Commons Attribution (CC BY) license (https://creativecommons.org/licenses/by/4.0/).
Share and Cite
Zhang, X.; Han, C.; Zhou, X.; Otto, F.; Zhang, F. Characterizing the Diffusion and Rheological Properties of Aged Asphalt Binder Rejuvenated with Bio-Oil Based on Molecular Dynamic Simulations and Laboratory Experimentations. Molecules 2021, 26, 7080. https://doi.org/10.3390/molecules26237080
Zhang X, Han C, Zhou X, Otto F, Zhang F. Characterizing the Diffusion and Rheological Properties of Aged Asphalt Binder Rejuvenated with Bio-Oil Based on Molecular Dynamic Simulations and Laboratory Experimentations. Molecules. 2021; 26(23):7080. https://doi.org/10.3390/molecules26237080
Chicago/Turabian StyleZhang, Xiaorui, Chao Han, Xinxing Zhou, Frédéric Otto, and Fan Zhang. 2021. "Characterizing the Diffusion and Rheological Properties of Aged Asphalt Binder Rejuvenated with Bio-Oil Based on Molecular Dynamic Simulations and Laboratory Experimentations" Molecules 26, no. 23: 7080. https://doi.org/10.3390/molecules26237080
APA StyleZhang, X., Han, C., Zhou, X., Otto, F., & Zhang, F. (2021). Characterizing the Diffusion and Rheological Properties of Aged Asphalt Binder Rejuvenated with Bio-Oil Based on Molecular Dynamic Simulations and Laboratory Experimentations. Molecules, 26(23), 7080. https://doi.org/10.3390/molecules26237080

