Pure Graphene Oxide Vertical p–n Junction with Remarkable Rectification Effect
Abstract
:1. Introduction
2. Experimental Section
2.1. Materials
2.2. Fabrication of GO Suspension
2.3. Composite Film Prepared by Two-Step Drop-Coating Method
2.4. Instrument for Characterization and Measurement
3. Results and Discussion
3.1. Preparation and Characterization
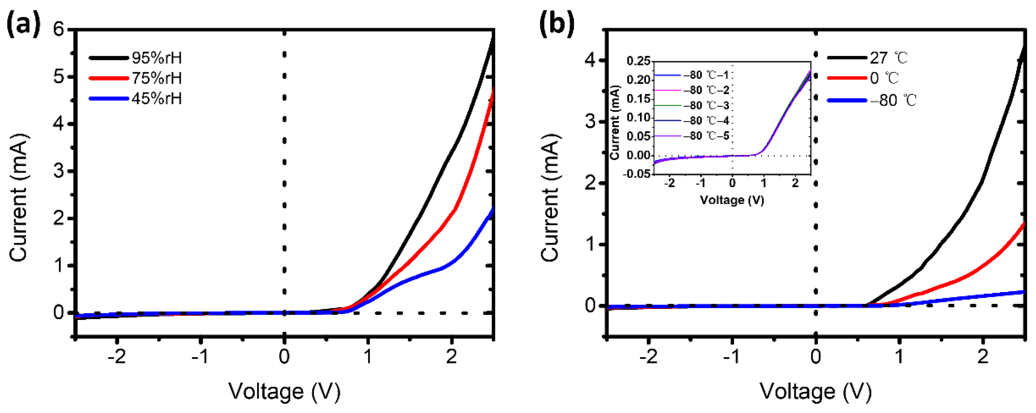
3.2. Measurement of Rectification Performance
3.3. Measurement of Hall Effect
3.4. Photocurrent Measurement of pGO Vertical p–n Junctions
3.5. Rectification Effect with Different Electrodes
3.6. Theoretical Calculations
4. Conclusions
Author Contributions
Funding
Institutional Review Board Statement
Informed Consent Statement
Data Availability Statement
Acknowledgments
Conflicts of Interest
Sample Availability
References
- Novoselov, K.S.; Geim, A.K.; Morozov, S.V.; Jiang, D.; Katsnelson, M.I.; Grigorieva, I.V.; Dubonos, S.V.; Firsov, A.A. Two-dimensional gas of massless Dirac fermions in graphene. Nature 2005, 438, 197–200. [Google Scholar] [CrossRef]
- Pei, S.; Cheng, H.M.J.C. The reduction of graphene oxide. Carbon 2012, 50, 3210–3228. [Google Scholar] [CrossRef]
- Ostrovsky, P.M.; Gornyi, I.V.; Mirlin, A.D. Electron transport in disordered graphene. Phys. Rev. B 2006, 74, 235443. [Google Scholar] [CrossRef] [Green Version]
- Novoselov, K.S.; Geim, A.K.; Morozov, S.V.; Jiang, D.E.; Zhang, Y.; Dubonos, S.V.; Grigorieva, I.V.; Firsov, A.A. Electric field effect in atomically thin carbon films. Science 2004, 306, 666–669. [Google Scholar] [CrossRef] [Green Version]
- Schwierz, F.J.N.N. Graphene transistors. Nat. Nanotechnol. 2010, 5, 487–496. [Google Scholar] [CrossRef] [PubMed]
- Wang, X.; Zhi, L.; Müllen, K. Transparent, Conductive Graphene Electrodes for Dye-Sensitized Solar Cells. Nano Lett. 2008, 8, 323–327. [Google Scholar] [CrossRef] [PubMed]
- El-Kady, M.F.; Shao, Y.; Kaner, R.B. Graphene for batteries, supercapacitors and beyond. Nat. Rev. Mater. 2016, 1, 16033. [Google Scholar] [CrossRef]
- Ghasemi, F.; Razi, S. Novel Photonic Bio-Chip Sensor Based on Strained Graphene Sheets for Blood Cell Sorting. Molecules 2021, 26, 5585. [Google Scholar] [CrossRef]
- Shin, S.-H.; Ji, S.; Choi, S.; Pyo, K.-H.; An, B.W.; Park, J.; Kim, J.; Kim, J.-Y.; Lee, K.-S.; Kwon, S.-Y.; et al. Integrated arrays of air-dielectric graphene transistors as transparent active-matrix pressure sensors for wide pressure ranges. Nat. Commun. 2017, 8, 14950. [Google Scholar] [CrossRef] [Green Version]
- Liu, M.; Yin, X.; Ulin-Avila, E.; Geng, B.; Zentgraf, T.; Ju, L.; Wang, F.; Zhang, X. A graphene-based broadband optical modulator. Nature 2011, 474, 64–67. [Google Scholar] [CrossRef]
- D’Apuzzo, F.; Piacenti, A.R.; Giorgianni, F.; Autore, M.; Guidi, M.C.; Marcelli, A.; Schade, U.; Ito, Y.; Chen, M.; Lupi, S. Terahertz and mid-infrared plasmons in three-dimensional nanoporous graphene. Nat. Commun. 2017, 8, 14885. [Google Scholar] [CrossRef]
- Huang, Z.; Ji, C.; Cheng, L.; Han, J.; Yang, M.; Wei, X.; Jiang, Y.; Wang, J. Zero-Bias Visible to Near-Infrared Horizontal p-n-p TiO2 Nanotubes Doped Monolayer Gra-phene Photodetector. Molecules 2019, 24, 1870. [Google Scholar] [CrossRef] [PubMed] [Green Version]
- Jaramillo-Quintero, O.A.; Altamirano, Y.; Gamboa, R.; Rincón, M.E. Interfacial engineering by non-toxic graphene-based nanoribbons for improved performance of planar Sb2S3 solar cells. Appl. Surf. Sci. 2020, 526, 146705. [Google Scholar] [CrossRef]
- Rafique, S.; Abdullah, S.M.; Shahid, M.M.; Ansari, M.O.; Sulaiman, K. Significantly improved photovoltaic performance in polymer bulk heterojunc-tion solar cells with graphene oxide/PEDOT: PSS double decked hole transport layer. Sci. Rep. 2017, 7, 39555. [Google Scholar] [CrossRef] [Green Version]
- Kim, C.O.; Kim, S.; Shin, D.H.; Kang, S.S.; Kim, J.M.; Jang, C.W.; Joo, S.S.; Lee, J.S.; Kim, J.H.; Choi, S.H.; et al. High photoresponsivity in an all-graphene p-n vertical junction photodetector. Nat. Commun. 2014, 5, 3249. [Google Scholar] [CrossRef] [PubMed] [Green Version]
- Ranjan, P.; Kumar, A.; Balakrishnan, J.; Thakur, A. Graphene Oxide Based P-N Junctions. Mater. Today Proc. 2019, 11, 830–832. [Google Scholar] [CrossRef]
- Shi, G.; Chen, L.; Yang, Y.; Li, D.; Qian, Z.; Liang, S.; Yan, L.; Li, L.H.; Wu, M.; Fang, H. Two-dimensional Na–Cl crystals of unconventional stoichiometries on graphene surface from dilute solution at ambient conditions. Nat. Chem. 2018, 10, 776–779. [Google Scholar] [CrossRef]
- Zhang, L.; Shi, G.; Peng, B.; Gao, P.; Chen, L.; Zhong, N.; Mu, L.; Zhang, L.; Zhang, P.; Gou, L.; et al. Novel 2D CaCl crystals with metallicity, room-temperature ferromagnetism, heterojunction, piezoelectricity-like property and monovalent calcium ions. Natl. Sci. Rev. 2020, 8, 274. [Google Scholar] [CrossRef]
- Liu, H.; Liu, Y.; Zhu, D. Chemical doping of graphene. J. Mater. Chem. 2011, 21, 3335–3345. [Google Scholar] [CrossRef]
- Ristein, J. PHYSICS Surface Transfer Doping of Semiconductors. Science 2006, 313, 1057–1058. [Google Scholar] [CrossRef]
- Shin, H.J.; Choi, W.M.; Choi, D.; Han, G.H.; Yoon, S.M.; Park, H.K.; Kim, S.W.; Jin, Y.W.; Lee, S.Y.; Kim, J.M.; et al. Control of electron-ic structure of graphene by various dopants and their effects on a nanogenerator. J. Am. Chem. Soc. 2010, 132, 15603–15609. [Google Scholar] [CrossRef]
- Huard, B.; Sulpizio, J.A.; Stander, N.; Todd, K.; Yang, B.; Goldhaber-Gordon, D. Transport Measurements Across a Tunable Potential Barrier in Graphene. Phys. Rev. Lett. 2007, 98, 236803. [Google Scholar] [CrossRef] [PubMed] [Green Version]
- Williams, J.R.; DiCarlo, L.; Marcus, C.M. Quantum Hall Effect in a Gate-Controlled p-n Junction of Graphene. Science 2007, 317, 638–641. [Google Scholar] [CrossRef] [PubMed] [Green Version]
- Ozyilmaz, B.; Jarillo-Herrero, P.; Efetov, D.; Abanin, D.A.; Kim, P. Electronic transport and quantum hall effect in bipolar graphene p-n-p junctions. Phys. Rev. Lett. 2007, 99, 166804. [Google Scholar] [CrossRef] [Green Version]
- Yang, W.T.; Guo, L.Z.; Shih, Y.T.; Fujii, S.; Lee, K.Y. Characteristics of p-n junction diode made of multi-layer graphene. Jpn. J. Appl. Phys. 2019, 59, 015003. [Google Scholar] [CrossRef]
- Meng, J.; Song, H.D.; Li, C.Z.; Jin, Y.; Tang, L.; Liu, D.; Liao, Z.M.; Xiu, F.; Yu, D.P. Lateral graphene p-n junctions formed by graphene/MoS2 hybrid interface. Nanoscale 2015, 7, 11611–11619. [Google Scholar] [CrossRef]
- Zhang, Y.; Hu, G.; Gong, M.; Alamri, M.; Ma, C.; Liu, M.; Wu, J.Z. Lateral Graphene p–n Junctions Realized by Nanoscale Bipolar Doping Using Surface Electric Dipoles and Self-Organized Molecular Anions. Adv. Mater. Interfaces 2019, 6, 1801380. [Google Scholar] [CrossRef] [Green Version]
- Farmer, D.B.; Lin, Y.-M.; Afzali-Ardakani, A.; Avouris, P. Behavior of a chemically doped graphene junction. Appl. Phys. Lett. 2009, 94, 213106. [Google Scholar] [CrossRef] [Green Version]
- Chen, J.H.; Jang, C.; Adam, S.; Fuhrer, M.S.; Williams, E.D.; Ishigami, M.J.N.P. Charged Impurity Scattering in Graphene. Nat. Phys. 2007, 4, 377–381. [Google Scholar] [CrossRef]
- Young, A.F.; Kim, P. Quantum interference and Klein tunnelling in graphene heterojunctions. Nat. Phys. 2009, 5, 222–226. [Google Scholar] [CrossRef] [Green Version]
- Pereira, J.M.; Peeters, F.M.; Chaves, A.; Farias, G.A. Klein tunneling in single and multiple barriers in graphene. Semicond. Sci. Technol. 2010, 25, 033002. [Google Scholar] [CrossRef]
- Kim, S.; Shin, D.H.; Kim, C.O.; Kang, S.S.; Kim, J.M.; Jang, C.W.; Joo, S.S.; Lee, J.S.; Kim, J.H.; Choi, S.-H.; et al. Graphene p–n Vertical Tunneling Diodes. ACS Nano 2013, 7, 5168–5174. [Google Scholar] [CrossRef]
- Hummers, W.S., Jr.; Offeman, R.E. Preparation of Graphitic Oxide. J. Am. Chem. Soc. 1958, 80, 1339. [Google Scholar] [CrossRef]
- Chen, L.; Shi, G.; Shen, J.; Peng, B.; Zhang, B.; Wang, Y.; Bian, F.; Wang, J.; Li, D.; Qian, Z.; et al. Ion sieving in gra-phene oxide membranes via cationic control of interlayer spacing. Nature 2017, 550, 380–383. [Google Scholar] [CrossRef] [PubMed]
- Sun, P.; Zhu, M.; Wang, K.; Zhong, M.; Wei, J.; Wu, D.; Xu, Z.; Zhu, H. Selective Ion Penetration of Graphene Oxide Membranes. ACS Nano 2012, 7, 428–437. [Google Scholar] [CrossRef]
- Yi, R.; Xia, X.; Yang, R.; Yu, R.; Dai, F.; Chen, J.; Liu, W.; Wu, M.; Xu, J.; Chen, L. Selective reduction of epoxy groups in graphene oxide membrane for ultrahigh water permeation. Carbon 2021, 172, 228–235. [Google Scholar] [CrossRef]
- Lin, R.; Zheng, W.; Zhang, D.; Zhang, Z.; Liao, Q.; Yang, L.; Huang, F. High-Performance Graphene/beta-Ga2O3 Heterojunction Deep-Ultraviolet Photodetector with Hot-Electron Ex-cited Carrier Multiplication. ACS Appl. Mater. Interfaces 2018, 10, 22419–22426. [Google Scholar] [CrossRef]
- Yu, T.; Liang, C.W.; Kim, C.; Yu, B. Local Electrical Stress-Induced Doping and Formation of 2D Monolayer Graphene P-N Junction. Appl. Phys. Lett. 2011, 98, 305. [Google Scholar] [CrossRef] [Green Version]
- Feng, X.; Zhao, X.; Yang, L.; Li, M.; Qie, F.; Guo, J.; Zhang, Y.; Li, T.; Yuan, W.; Yan, Y. All carbon materials pn diode. Nat. Commun. 2018, 9, 3750. [Google Scholar] [CrossRef]
- Bi, H.; Yin, K.; Xie, X.; Ji, J.; Wan, S.; Sun, L.; Terrones, M.; Dresselhaus, M.S. Ultrahigh humidity sensitivity of graphene oxide. Sci. Rep. 2013, 3, 2714. [Google Scholar] [CrossRef] [Green Version]
- Sehrawat, P.; Islam, S.S.; Mishra, P. Reduced graphene oxide based temperature sensor: Extraordinary performance governed by lattice dynamics assisted carrier transport. Sens. Actuators B Chem. 2018, 258, 424–435. [Google Scholar] [CrossRef]
- Bhaumik, A.; Narayan, J. Conversion of p to n- type reduced graphene oxide by laser annealing at room temperature and pressure. J. Appl. Phys. 2017, 121, 125303. [Google Scholar] [CrossRef]
- Sato, Y.; Takai, K.; Enoki, T. Electrically Controlled Adsorption of Oxygen in Bilayer Graphene Devices. Nano Lett. 2011, 11, 3468–3475. [Google Scholar] [CrossRef] [PubMed] [Green Version]








| Material | Type | Doping and Elements | Bias | CURRENT LEVEL | Rectification Ratio | Substrate | Ref. |
|---|---|---|---|---|---|---|---|
| GO/rGO | vertical | - - | 2 V | μA | 12:1 | - - | [16] |
| Multi-layer graphene | lateral | Plasma/Nitrogen | 5 V | μA | - - | - - | [25] |
| Graphene/MoS2 | lateral | - - | 60 V | μA | 1.85:1 | - - | [26] |
| Monolayer graphene | lateral | Nanoscale bipolar doping/anions | 1 V | μA | 2.43:1 | SiO2/Si (p-doped) | [27] |
| Graphene/β-Ga2O3 | vertical | - - | 8 V | μA | 8:1 | p-GaN | [37] |
| Monolayer graphene | lateral | Local electrical stress-induced doping | 50 V | - - | - - | SiO2/Si | [38] |
| GO(+)/GO(−) | vertical | Chemical functionalization/Tetramethylammonium, N- | 1 V | nA | 6:1 | P+ Si | [39] |
| GO/rGO | vertical | - - | 2.5 V | mA | 1459:1 | - - | This work |
| Sample | Resistivity (Ω·cm) | Concentration (cm–3) | Mobility (cm2·V–1·s–1) | Semiconductor Type |
|---|---|---|---|---|
| rGO | 4.23 × 10−2 | 2.94 × 1018 | 4.44 × 101 | N |
Publisher’s Note: MDPI stays neutral with regard to jurisdictional claims in published maps and institutional affiliations. |
© 2021 by the authors. Licensee MDPI, Basel, Switzerland. This article is an open access article distributed under the terms and conditions of the Creative Commons Attribution (CC BY) license (https://creativecommons.org/licenses/by/4.0/).
Share and Cite
Fan, Y.; Wang, T.; Qiu, Y.; Yang, Y.; Pan, Q.; Zheng, J.; Zeng, S.; Liu, W.; Lou, G.; Chen, L. Pure Graphene Oxide Vertical p–n Junction with Remarkable Rectification Effect. Molecules 2021, 26, 6849. https://doi.org/10.3390/molecules26226849
Fan Y, Wang T, Qiu Y, Yang Y, Pan Q, Zheng J, Zeng S, Liu W, Lou G, Chen L. Pure Graphene Oxide Vertical p–n Junction with Remarkable Rectification Effect. Molecules. 2021; 26(22):6849. https://doi.org/10.3390/molecules26226849
Chicago/Turabian StyleFan, Yan, Tao Wang, Yinwei Qiu, Yinli Yang, Qiubo Pan, Jun Zheng, Songwei Zeng, Wei Liu, Gang Lou, and Liang Chen. 2021. "Pure Graphene Oxide Vertical p–n Junction with Remarkable Rectification Effect" Molecules 26, no. 22: 6849. https://doi.org/10.3390/molecules26226849
APA StyleFan, Y., Wang, T., Qiu, Y., Yang, Y., Pan, Q., Zheng, J., Zeng, S., Liu, W., Lou, G., & Chen, L. (2021). Pure Graphene Oxide Vertical p–n Junction with Remarkable Rectification Effect. Molecules, 26(22), 6849. https://doi.org/10.3390/molecules26226849

