Solid-State Structures and Photoluminescence of Lamellar Architectures of Cu(I) and Ag(I) Paddlewheel Clusters with Hydrogen-Bonded Polar Guests
Abstract
1. Introduction
2. Results and Discussion
2.1. Synthesis
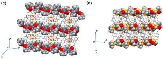
2.2. Crystal Structures
2.3. Solid-State Spectroscopy and DFT Calculations
2.4. Solid-State Photoluminescence
2.5. Vapochromic Luminescence
3. Materials and Methods
3.1. Materials
3.2. Physical Measurements
3.3. Photoluminescence and Photophysical Measurements
3.4. Synthesis of [Cu6(Hmna)6]·7DMF (1·7DMF)
3.5. Synthesis of [Ag6(Hmna)6]·8DMSO (2·8DMSO)
3.6. Synthesis of Desolvated [Cu6(Hmna)6] (1) and [Ag6(Hmna)6] (2)
3.7. X-ray Crystallography
3.8. DFT Calculations
3.9. Photophysical Measurements
4. Conclusions
Supplementary Materials
Author Contributions
Funding
Institutional Review Board Statement
Informed Consent Statement
Data Availability Statement
Conflicts of Interest
Sample Availability
References
- Kobayashi, A.; Kato, M. Stimuli-responsive Luminescent Copper(I) Complexes for Intelligent Emissive Devices. Chem. Lett. 2017, 46, 154–162. [Google Scholar] [CrossRef]
- Jobbágy, C.; Deák, A. Stimuli-Responsive Dynamic Gold Complexes. Eur. J. Inorg. Chem. 2014, 2014, 4434–4449. [Google Scholar] [CrossRef]
- Yam, V.W.-W. Molecular Design of Transition Metal Alkynyl Complexes as Building Blocks for Luminescent Metal-Based Materials: Structural and Photophysical Aspects. Acc. Chem. Res. 2002, 35, 555–563. [Google Scholar] [CrossRef]
- Yam, V.W.-W.; Lo, K.K.-W. Luminescent Polynuclear d10 Metal Complexes. Chem. Soc. Rev. 1999, 28, 323–334. [Google Scholar] [CrossRef]
- Ford, P.C.; Cariati, E.; Bourassa, J. Photoluminescence Properties of Multinuclear Copper(I) Compounds. Chem. Rev. 1999, 99, 3625–3647. [Google Scholar] [CrossRef]
- Ozawa, Y.; Mori, M.; Kiyooka, H.; Sugata, Y.; Ono, T.; Abe, M. Tetra- and Hexanuclear Copper(I) Iminothiolate Complexes: Synthesis, Structures, and Solid-State Thermochromic Dual Emission in Visible and Near-Infrared Regions. Chem. Pap. 2020, 74, 3717–3725. [Google Scholar] [CrossRef]
- Nagaoka, S.; Ozawa, Y.; Toriumi, K.; Abe, M. A Dual-emission Strategy for a Wide-range Phosphorescent Color-tuning of a Crystalline-state Molecular Cluster [Cu4I4(2-Bzpy)4] (2-Bzpy = 2-Benzylpyridine). Chem. Lett. 2018, 47, 1101–1104. [Google Scholar] [CrossRef]
- Thefioux, Y.; Cordier, M.; Massuyeau, F.; Latouche, C.; Martineau-Corcos, C.; Perruchas, S. Polymorphic Copper Iodide Anions: Luminescence Thermochromism and Mechanochromism of (PPh4)2[Cu2I4]. Inorg. Chem. 2020, 59, 5768–5780. [Google Scholar] [CrossRef] [PubMed]
- Xie, M.; Chen, X.-R.; Wu, K.; Lu, Z.; Wang, K.; Li, N.; Wei, R.-J.; Zhan, S.-Z.; Ning, G.-H.; Zou, B.; et al. Pressure-induced phosphorescence enhancement and piezochromism of a carbazole-based cyclic trinuclear Cu(I) complex. Chem. Sci. 2021, 12, 4425–4431. [Google Scholar] [CrossRef] [PubMed]
- Huitorel, B.; Utrera-Melero, R.; Massuyeau, F.; Mevelec, J.-Y.; Baptiste, B.; Polian, A.; Gacoin, T.; Martineau-Corcos, C.; Perruchas, S. Luminescence mechanochromism of copper iodide clusters: A rational investigation. Dalton Trans. 2019, 48, 7899–7909. [Google Scholar] [CrossRef]
- Cariati, E.; Lucenti, E.; Botta, C.; Giovanella, U.; Marinotto, D.; Righetto, S. Cu(I) Hybrid Inorganic–Organic Materials with Intriguing Stimuli Responsive and Optoelectronic Properties. Coord. Chem. Rev. 2016, 306, 566–614. [Google Scholar] [CrossRef]
- Saito, D.; Ogawa, T.; Yoshida, M.; Takayama, J.; Hiura, S.; Murayama, A.; Kobayashi, A.; Kato, M. Intense Red-Blue Luminescence Based on Superfine Control of Metal–Metal Interactions for Self-Assembled Platinum(II) Complexes. Angew. Chem. Int. Ed. 2020, 59, 18723–18730. [Google Scholar] [CrossRef]
- Khatun, A.; Panda, D.K.; Sayresmith, N.; Walter, M.G.; Saha, S. Thiazolothiazole-Based Luminescent Metal–Organic Frameworks with Ligand-to-Ligand Energy Transfer and Hg2+-Sensing Capabilities. Inorg. Chem. 2019, 58, 12707–12715. [Google Scholar] [CrossRef]
- Krytchankou, I.S.; Koshevoy, I.O.; Gurzhiy, V.V.; Pomogaev, V.A.; Tunik, S.P. Luminescence Solvato- and Vapochromism of Alkynyl-Phosphine Copper Clusters. Inorg. Chem. 2015, 54, 8288–8297. [Google Scholar] [CrossRef] [PubMed]
- Ohno, K.; Kusano, Y.; Kaizaki, S.; Nagasawa, A.; Fujihara, T. Chromism of Tartrate-Bridged Clamshell-like Platinum(II) Complex: Intramolecular Pt–Pt Interaction-Induced Luminescence Vapochromism and Intermolecular Interactions-Triggered Thermochromism. Inorg. Chem. 2018, 57, 14159–14169. [Google Scholar] [CrossRef] [PubMed]
- Yang, K.; Li, S.-L.; Zhang, F.-Q.; Zhang, X.-M. Simultaneous Luminescent Thermochromism, Vapochromism, Solvatochromism, and Mechanochromism in a C3-Symmetric Cubane [Cu4I4P4] Cluster without Cu–Cu Interaction. Inorg. Chem. 2016, 55, 7323–7325. [Google Scholar] [CrossRef]
- Koshevoy, I.O.; Chang, Y.-C.; Karttunen, A.J.; Haukka, M.; Pakkanen, T.; Chou, P.-T. Modulation of Metallophilic Bonds: Solvent-Induced Isomerization and Luminescence Vapochromism of a Polymorphic Au–Cu Cluster. J. Am. Chem. Soc. 2012, 134, 6564–6567. [Google Scholar] [CrossRef] [PubMed]
- Wadas, T.J.; Wang, Q.-M.; Kim, Y.-j.; Flaschenreim, C.; Blanton, T.N.; Eisenberg, R. Vapochromism and Its Structural Basis in a Luminescent Pt(II) Terpyridine−Nicotinamide Complex. J. Am. Chem. Soc. 2004, 126, 16841–16849. [Google Scholar] [CrossRef]
- Chen, X.-W.; Yuan, H.-L.; He, L.-H.; Chen, J.-L.; Liu, S.-J.; Wen, H.-R.; Zhou, G.; Wang, J.-Y.; Wong, W.-Y. A Sublimable Dinuclear Cuprous Complex Showing Selective Luminescence Vapochromism in the Crystalline State. Inorg. Chem. 2019, 58, 14478–14489. [Google Scholar] [CrossRef] [PubMed]
- Shakirova, J.R.; Grachova, E.V.; Melnikov, A.S.; Gurzhiy, V.V.; Tunik, S.P.; Haukka, M.; Pakkanen, T.A.; Koshevoy, I.O. Toward Luminescence Vapochromism of Tetranuclear AuI–CuI Clusters. Organometallics 2013, 32, 4061–4069. [Google Scholar] [CrossRef]
- Huang, R.-W.; Wei, Y.-S.; Dong, X.-Y.; Wu, X.-H.; Du, C.-X.; Zang, S.-Q.; Mak, T.C.W. Hypersensitive dual-function luminescence switching of a silver-chalcogenolate cluster-based metal–organic framework. Nat. Chem. 2017, 9, 689–697. [Google Scholar] [CrossRef] [PubMed]
- Matsukawa, H.; Yoshida, M.; Tsunenari, T.; Nozawa, S.; Sato-Tomita, A.; Maegawa, Y.; Inagaki, S.; Kobayashi, A.; Kato, M. Fast and stable vapochromic response induced through nanocrystal formation of a luminescent platinum(II) complex on periodic mesoporous organosilica. Sci. Rep. 2019, 9, 15151. [Google Scholar] [CrossRef]
- Ito, H.; Saito, T.; Oshima, N.; Kitamura, N.; Ishizaka, S.; Hinatsu, Y.; Wakeshima, M.; Kato, M.; Tsuge, K.; Sawamura, M. Reversible Mechanochromic Luminescence of [(C6F5Au)2(μ-1,4-Diisocyanobenzene)]. J. Am. Chem. Soc. 2008, 130, 10044–10045. [Google Scholar] [CrossRef] [PubMed]
- Li, S.-L.; Han, M.; Wu, B.; Wang, J.; Zhang, F.-Q.; Zhang, X.-M. Observation of Contrary Thermo-responsive Trend for Single Crystal and Powder Samples in Mechano-, Thermo- and Solvato-responsive Luminescent Cubane [Ag4I4L4] Cluster. Sci. Rep. 2017, 7, 13058. [Google Scholar] [CrossRef] [PubMed]
- Pan, M.; Liao, W.-M.; Yin, S.-Y.; Sun, S.-S.; Su, C.-Y. Single-Phase White-Light-Emitting and Photoluminescent Color-Tuning Coordination Assemblies. Chem. Rev. 2018, 118, 8889–8935. [Google Scholar] [CrossRef]
- Yamada, K.; Yagishita, S.; Tanaka, H.; Tohyama, K.; Adachi, K.; Kaizaki, S.; Kumagai, H.; Inoue, K.; Kitaura, R.; Chang, H.-C.; et al. Metal-Complex Assemblies Constructed from the Flexible Hinge-Like Ligand H2bhnq: Structural Versatility and Dynamic Behavior in the Solid State. Chem. Eur. J. 2004, 10, 2647–2660. [Google Scholar] [CrossRef] [PubMed]
- Troyano, J.; Zapata, E.; Perles, J.; Amo-Ochoa, P.; Fernández-Moreira, V.; Martínez, J.I.; Zamora, F.; Delgado, S. Multifunctional Copper(I) Coordination Polymers with Aromatic Mono- and Ditopic Thioamides. Inorg. Chem. 2019, 58, 3290–3301. [Google Scholar] [CrossRef]
- Kuwahara, T.; Ohtsu, H.; Tsuge, K. Synthesis and Photophysical Properties of Emissive Silver(I) Halogenido Coordination Polymers Composed of {Ag2X2} Units Bridged by Pyrazine, Methylpyrazine, and Aminopyrazine. Inorg. Chem. 2021, 60, 1299–1304. [Google Scholar] [CrossRef]
- Dosen, M.; Kawada, Y.; Shibata, S.; Tsuge, K.; Sasaki, Y.; Kobayashi, A.; Kato, M.; Ishizaka, S.; Kitamura, N. Control of Emissive Excited States of Silver(I) Halogenido Coordination Polymers by a Solid Solution Approach. Inorg. Chem. 2019, 58, 8419–8431. [Google Scholar] [CrossRef]
- Araki, H.; Tsuge, K.; Sasaki, Y.; Ishizaka, S.; Kitamura, N. Luminescence Ranging from Red to Blue: A Series of Copper(I)-Halide Complexes Having Rhombic {Cu2(µ-X)2} (X = Br and I) Units with N-Heteroaromatic Ligands. Inorg. Chem. 2005, 44, 9667–9675. [Google Scholar] [CrossRef]
- Zachariadis, P.C.; Hadjikakou, S.K.; Hadjiliadis, N.; Michaelides, A.; Skoulika, S.; Ming, Y.; Xiaolin, Y. Synthesis, study and structural characterization of a new water soluble hexanuclear silver(I) cluster with the 2-mercapto-nicotinic acid with possible antiviral activity. Inorg. Chim. Acta 2003, 343, 361–365. [Google Scholar] [CrossRef]
- Sun, D.; Wang, D.-F.; Han, X.-G.; Zhang, N.; Huang, R.-B.; Zheng, L.-S. Stepwise assembly of two 3d-4d heterometallic coordination polymers based on a hexanuclear silver(i) metalloligand. Chem. Commun. 2011, 47, 746–748. [Google Scholar] [CrossRef][Green Version]
- Jana, A.K.; Kundu, T.; Natarajan, S. Stabilization of the Anionic Metalloligand, [Ag6(mna)6]6– (H2mna = 2-Mercapto Nicotinic Acid), in cor, α-Po, and sql Nets Employing Alkaline Earth Metal Ions: Synthesis, Structure, and Nitroaromatics Sensing Behavior. Cryst. Growth Des. 2016, 16, 3497–3509. [Google Scholar] [CrossRef]
- Zhang, Y.; Sun, D.; Shen, J.; Xin, X. Dynamic self-assembly of silver nanoclusters into luminescent nanotubes with controlled surface roughness: Scaffold of superhydrophobic materials. Appl. Surf. Sci. 2020, 514, 145913. [Google Scholar] [CrossRef]
- Sarkar, A.; Jana, A.K.; Natarajan, S. Aliphatic amine mediated assembly of [M6(mna)6] (M = Cu/Ag) into extended two-dimensional structures: Synthesis, structure and Lewis acid catalytic studies. New J. Chem. 2021, 45, 6503–6511. [Google Scholar] [CrossRef]
- Nomiya, K.; Takahashi, S.; Noguchi, R. Synthesis and crystal structure of a hexanuclear silver(I) cluster [Ag(Hmna)]6·4H2O (H2mna = 2-mercaptonicotinic acid) and a supramolecular gold(I) complex H[Au(Hmna)2] in the solid state, and their antimicrobial activities. J. Chem. Soc. Dalton Trans. 2000, 2091–2097. [Google Scholar] [CrossRef]
- Sun, D.; Wang, D.-F.; Zhang, N.; Huang, R.-B.; Zheng, L.-S. Nonamer Water Cluster Encapsulated in a Heterometallic Supramolecular Complex. Cryst. Growth Des. 2010, 10, 5031–5033. [Google Scholar] [CrossRef]
- Kundu, T.; Jana, A.K.; Natarajan, S. Stepwise Crystallization: Illustrative Examples of the Use of Metalloligands [Cu6(mna)6]6−and [Ag6(Hmna)2(mna)4]4− (H2mna = 2-Mercapto Nicotinic Acid) in the Formation of Heterometallic Two- and Three-Dimensional Assemblies with brucite, pcu, and sql Topologies. Cryst. Growth Des. 2014, 14, 4531–4544. [Google Scholar]
- Tsyba, I.; Mui, B.B.-k.; Bau, R.; Noguchi, R.; Nomiya, K. Synthesis and Structure of a Water-Soluble Hexanuclear Silver(I) Nicotinate Cluster Comprised of a "Cyclohexane-Chair"-Type of Framework, Showing Effective Antibacterial and Antifungal Activities: Use of "Sparse Matrix" Techniques for Growing Crystals of Water-Soluble Inorganic Complexes. Inorg. Chem. 2003, 42, 8028–8032. [Google Scholar] [PubMed]
- Sun, D.; Zhang, L.; Lu, H.; Feng, S.; Sun, D. Bright-yellow to orange-red thermochromic luminescence of an AgI6-ZnII2 heterometallic aggregate. Dalton Trans. 2013, 42, 3528–3532. [Google Scholar] [CrossRef] [PubMed]
- Jana, A.K.; Natarajan, S. Cu6S6 Clusters as a Building Block for the Stabilization of Coordination Polymers with NiAs, NaCl, and Related Structures: Synthesis, Structure, and Catalytic Studies. Eur. J. Inorg. Chem. 2018, 2018, 739–750. [Google Scholar] [CrossRef]
- Spectral Database for Organic Compounds, SDBS (National Institute of Advanced Industrial Science and Technology). Available online: https://sdbs.db.aist.go.jp (accessed on 27 September 2021).
- Xie, H.; Kinoshita, I.; Karasawa, T.; Kimura, K.; Nishioka, T.; Akai, I.; Kanemoto, K. Structure Study and Luminescence Thermochromism in Hexanuclear 6-Methyl-2-Pyridinethiolato Copper(I) Crystals. J. Phys. Chem. B 2005, 109, 9339–9345. [Google Scholar] [CrossRef]
- Smith, T.; Guild, J. The C.I.E. colorimetric standards and their use. Trans. Opt. Soc. Lond. 1931, 33, 73–134. [Google Scholar] [CrossRef]
- Mei, J.; Leung, N.L.C.; Kwok, R.T.K.; Lam, J.W.Y.; Tang, B.Z. Aggregation-Induced Emission: Together We Shine, United We Soar! Chem. Rev. 2015, 115, 11718–11940. [Google Scholar] [CrossRef]
- Du, X.; Fan, R.; Wang, X.; Qiang, L.; Wang, P.; Gao, S.; Zhang, H.; Yang, Y.; Wang, Y. Combined Effect of Hydrogen Bonding and π⋯π Stacking Interactions in the Assembly of Indium(III) Metal–Organic Materials: Structure-Directing and Aggregation-Induced Emission Behavior. Cryst. Growth Des. 2015, 15, 2402–2412. [Google Scholar] [CrossRef]
- Fonari, M.S.; Kravtsov, V.C.; Bold, V.; Lucenti, E.; Cariati, E.; Marinotto, D.; Forni, A. Structural Landscape of Zn(II) and Cd(II) Coordination Compounds with Two Isomeric Triimidazole Luminophores: Impact of Crystal Packing Patterns on Emission Properties. Cryst. Growth Des. 2021, 21, 4184–4200. [Google Scholar] [CrossRef]
- Sheldrick, G. SHELXT—Integrated space-group and crystal-structure determination. Acta Crystallogr. Sect. A 2015, 71, 3–8. [Google Scholar] [CrossRef]
- Sheldrick, G. Crystal Structure Refinement with SHELXL. Acta Crystallogr. Sect. C 2015, 71, 3–8. [Google Scholar] [CrossRef] [PubMed]
- Farrugia, L. WinGX and ORTEP for Windows: An update. J. Appl. Crystallogr. 2012, 45, 849–854. [Google Scholar] [CrossRef]
- te Velde, G.; Bickelhaupt, F.M.; Baerends, E.J.; Guerra, C.F.; van Gisbergen, S.J.A.; Snijders, J.G.; Ziegler, T. Chemistry with ADF. J. Comput. Chem. 2001, 22, 931–967. [Google Scholar] [CrossRef]
- Baerends, E.J.; Ziegler, T.; Atkins, A.J.; Autschbach, J.; Bashford, D.; Baseggio, O.; Bérces, A.; Bickelhaupt, F.M.; Bo, C.; Boerritger, P.M.; et al. ADF 2019.3, SCM, Theoretical Chemistry; Vrije Universiteit: Amsterdam, The Netherlands, 2019. Available online: https://www.scm.com (accessed on 19 October 2020).






| Compound | 1·7DMF | 2·8DMSO |
|---|---|---|
| Formula | C57H73Cu6N13O19S6 | C52H72Ag6N6O20S14 |
| Formula Weight | 1817.88 | 2197.21 |
| Crystal Size (mm) | 0.56 × 0.53 × 0.35 | 0.23 × 0.20 × 0.16 |
| Color | orange | pale yellow |
| Habit | block | block |
| T (K) | 150 | 150 |
| Crystal System | triclinic | triclinic |
| Space Group | P−1 (No. 2) | P−1 (No. 2) |
| a (Å) | 13.1804(4) | 11.7593(3) |
| b (Å) | 13.4734(4) | 12.8538(3) |
| c (Å) | 13.7928(3) | 15.3089(4) |
| α (°) | 115.960(1) | 105.979(1) |
| β (°) | 95.795(1) | 110.979(1) |
| γ (°) | 115.287(1) | 102.971(1) |
| V (Å3) | 1862.13(9) | 1937.95(9) |
| Z | 1 | 1 |
| ρcalc (g cm−3) | 1.621 | 1.883 |
| wavelength, λ (Å) | 0.71073 | 0.71073 |
| θmax (°) | 30.0 | 30.0 |
| µ(λ) (mm−1) | 1.925 | 1.931 |
| F(000) | 928 | 1092 |
| reflns. collected | 22034 | 22814 |
| unique reflns. | 10531 | 10957 |
| Rint | 0.033 | 0.018 |
| Completeness | 0.995 | 0.996 |
| Parameters | 486 | 493 |
| R1, wR2 (F2) (I > 2σ) 1 | 0.052, 0.133 | 0.023, 0.053 |
| R1, wR2 (F2) (all data) | 0.056, 0.138 | 0.029, 0.057 |
| GOF | 1.21 | 1.106 |
| ρmax, ρmin (e Å−3) | 1.23, −0.79 | 1.10, −0.41 |
| CCDC | 2052413 | 2052414 |
| 1·7DMF | |||
| Cu1⋯Cu2 * | 3.3315(6) | Cu1⋯Cu2 | 2.6819(6) |
| Cu1⋯Cu3 * | 3.2032(6) | Cu1⋯Cu3 | 2.7573(5) |
| Cu2⋯Cu3 | 3.0190(6) | Cu2⋯Cu3 * | 2.9899(6) |
| Cu1—N1 | 2.006(3) | Cu2—S3 * | 2.2696(8) |
| Cu1—S2 | 2.2300(8) | Cu3—N3 | 2.014(3) |
| Cu1—S3 | 2.2548(9) | Cu2—S3 * | 2.2696(8) |
| Cu2—N2 | 2.014(3) | Cu3—S1 | 2.2467(8) |
| Cu2—S1 | 2.2179(8) | ||
| N1—Cu1—S2 | 129.66(9) | S3—Cu1—S1 | 120.87(3) |
| S2—Cu1—S3 | 106.80(3) | N1—Cu1—Cu3 * | 152.81(9) |
| S2—Cu1—S3 | 106.80(3) | S2—Cu1—Cu3 * | 44.89(2) |
| N1—Cu1—S1 | 57.89(8) | S3—Cu1—Cu3 * | 89.21(2) |
| S2—Cu1—S1 | 120.43(3) | ||
| 2·8DMSO | |||
| Ag1⋯Ag2 ** | 3.6028(2) | Ag1⋯Ag2 | 2.8944(2) |
| Ag1⋯Ag3 ** | 3.6188(2) | Ag1⋯Ag3 | 2.9354(2) |
| Ag2⋯Ag3 | 3.0665(2) | Ag2⋯Ag3 ** | 3.2748(2) |
| Ag1—N1 | 2.2664(15) | Ag2—S3 ** | 2.5037(5) |
| Ag1—S2 | 2.4831(4) | Ag3—N3 | 2.2950(15) |
| Ag1—S3 | 2.4852(5) | Ag3—S1 | 2.4592(5) |
| Ag2—N2 | 2.3132(15) | Ag3—S2 ** | 2.5042(5) |
| Ag2—S1 | 2.4711(4) | ||
| N1—Ag1—S2 | 124.56(4) | S1—Ag2—S3 ** | 124.245(15) |
| N1—Ag1—S3 | 122.20(4) | N3—Ag3—S1 | 127.61(4) |
| S2—Ag1—S3 | 108.166(15) | N3—Ag3—S2 ** | 101.66(4) |
| N2—Ag2—S1 | 126.17(4) | S1—Ag3—S2 ** | 123.507(15) |
| N2—Ag2—S3 ** | 101.93(4) |
| Compound | λPLa/nm | τPLb/µs | ΦPLc | Luminescence Color |
|---|---|---|---|---|
| 1·7DMF | 765 | 5.9 | 0.38 | red |
| 1 (desolvated) | 710 | 0.65 | <0.01 | faint red |
| 2·8DMSO | 545 | 9.3 | 0.17 | vivid greenish yellow |
| 2 (desolvated) | 548 | 0.05 | <0.01 | faint yellow |
Publisher’s Note: MDPI stays neutral with regard to jurisdictional claims in published maps and institutional affiliations. |
© 2021 by the authors. Licensee MDPI, Basel, Switzerland. This article is an open access article distributed under the terms and conditions of the Creative Commons Attribution (CC BY) license (https://creativecommons.org/licenses/by/4.0/).
Share and Cite
Inoue, H.; Yamashita, Y.; Ozawa, Y.; Ono, T.; Abe, M. Solid-State Structures and Photoluminescence of Lamellar Architectures of Cu(I) and Ag(I) Paddlewheel Clusters with Hydrogen-Bonded Polar Guests. Molecules 2021, 26, 6731. https://doi.org/10.3390/molecules26216731
Inoue H, Yamashita Y, Ozawa Y, Ono T, Abe M. Solid-State Structures and Photoluminescence of Lamellar Architectures of Cu(I) and Ag(I) Paddlewheel Clusters with Hydrogen-Bonded Polar Guests. Molecules. 2021; 26(21):6731. https://doi.org/10.3390/molecules26216731
Chicago/Turabian StyleInoue, Haruki, Yuga Yamashita, Yoshiki Ozawa, Toshikazu Ono, and Masaaki Abe. 2021. "Solid-State Structures and Photoluminescence of Lamellar Architectures of Cu(I) and Ag(I) Paddlewheel Clusters with Hydrogen-Bonded Polar Guests" Molecules 26, no. 21: 6731. https://doi.org/10.3390/molecules26216731
APA StyleInoue, H., Yamashita, Y., Ozawa, Y., Ono, T., & Abe, M. (2021). Solid-State Structures and Photoluminescence of Lamellar Architectures of Cu(I) and Ag(I) Paddlewheel Clusters with Hydrogen-Bonded Polar Guests. Molecules, 26(21), 6731. https://doi.org/10.3390/molecules26216731

