Four Novel Phenanthrene Derivatives with α-Glucosidase Inhibitory Activity from Gastrochilus bellinus
Abstract
1. Introduction
2. Results and Discussion
2.1. Structural Characterization
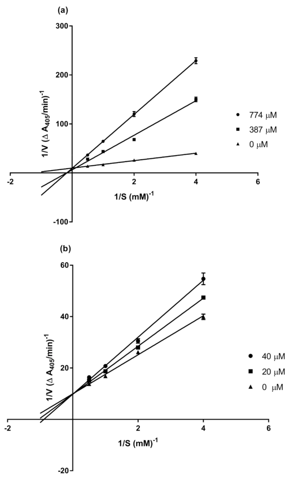
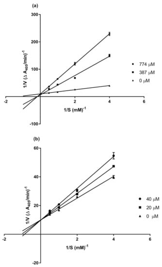
2.2. α-Glucosidase Inhibitory Activity
3. Materials and Methods
3.1. General Experimental Procedures
3.2. Plant Material
3.3. Extraction and Isolation
3.4. α-Glucosidase Inhibitory Assay
4. Conclusions
Supplementary Materials
Author Contributions
Funding
Institutional Review Board Statement
Informed Consent Statement
Data Availability Statement
Acknowledgments
Conflicts of Interest
References
- American Diabetes Association. Diagnosis and classification of diabetes mellitus. Diabetes Care 2013, 36 (Suppl. 1), S67. [Google Scholar] [CrossRef]
- van de Laar, F.A. Alpha-glucosidase inhibitors in the early treatment of type 2 diabetes. Vasc. Health Risk. Manag. 2008, 4, 1189–1195. [Google Scholar] [CrossRef] [PubMed]
- Kumar, S.; Narwal, S.; Kumar, V.; Prakash, O. α-Glucosidase inhibitors from plants: A natural approach to treat diabetes. Pharmacogn. Rev. 2011, 5, 19–29. [Google Scholar] [CrossRef] [PubMed]
- San, H.T.; Boonsnongcheep, P.; Putalun, W.; Mekboonsonglarp, W.; Sritularak, B.; Likhitwitayawuid, K. α-Glucosidase inhibitory and glucose uptake stimulatory effects of phenolic compounds from Dendrobium christyanum. Nat. Prod. Commun. 2020, 15, 1–8. [Google Scholar] [CrossRef]
- Inthongkaew, P.; Chatsumpun, N.; Supasuteekul, C.; Kitisripanya, T.; Putalun, W.; Likhitwitayawuid, K.; Sritularak, B. α-Glucosidase and pancreatic lipase inhibitory activities and glucose uptake stimulatory effect of phenolic compounds from Dendrobium formosum. Rev. Bras. Farmacogn. 2017, 27, 480–487. [Google Scholar] [CrossRef]
- Willis, J.C. A Dictionary of the Flowering Plants and Ferns; Cambridge University Press: London, UK, 1966. [Google Scholar]
- Gutiérrez, R.M.P. Orchids: A review of uses in traditional medicine, its phytochemistry and pharmacology. J. Med. Plants Res. 2010, 4, 592–638. [Google Scholar] [CrossRef]
- Liu, Q.; Zhou, S.S.; Li, R.; Tan, Y.H.; Zyaw, M.; Xing, X.K.; Gao, J.Y. Notes on the genus Gastrochilus (Orchidaceae) in Myanmar. PhytoKeys 2020, 138, 113–123. [Google Scholar] [CrossRef]
- Chen, S.C.; Tsi, Z.H.; Wood, J.J. Gastrochilus D. Don. In Flora of China (Vol. 25); Wu, Z.Y., Raven, P.H., Hong, D.Y., Eds.; Science Press: Beijing, China; Missouri Botanical Garden Press: St. Louis, MO, USA, 2009; pp. 491–498. [Google Scholar]
- Sarakulwattana, C.; Mekboonsonglarp, W.; Likhitwitayawuid, K.; Rojsitthisak, P.; Sritularak, B. New bisbibenzyl and phenanthrene derivatives from Dendrobium scabrilingue and their α-glucosidase inhibitory activity. Nat. Prod. Res. 2020, 34, 1694–1701. [Google Scholar] [CrossRef]
- Thant, M.T.; Chatsumpun, N.; Mekboonsonglarp, W.; Sritularak, B.; Likhitwitayawuid, K. New Fluorene derivatives from Dendrobium gibsonii and their α-glucosidase inhibitory activity. Molecules 2020, 25, 4391. [Google Scholar] [CrossRef]
- Khoonrit, P.; Mirdogan, A.; Dehlinger, A.; Mekboonsonglarp, W.; Likhitwitayawuid, K.; Priller, J.; Böttcher, C.; Sritularak, B. Immune modulatory effect of a novel 4,5-dihydroxy-3,3′,4′-trimethoxybibenzyl from Dendrobium lindleyi. PLoS ONE 2020, 15, e0238509. [Google Scholar] [CrossRef]
- Majumder, P.L.; Sen, S.; Banerjee, S. Agrostophyllol and isoagrostophyllol, two novel diastereomeric 9,10-dihydrophenanthropyran derivatives from the orchid Agrostophyllum callosum. Tetrahedron 1999, 55, 6691–6702. [Google Scholar] [CrossRef]
- Dong, F.W.; Fan, W.W.; Xu, F.Q.; Wan, Q.L.; Su, J.; Li, Y.; Zhou, L.; Zhou, J.; Hu, J.M. Inhibitory activities on nitric oxide production of stilbenoids from Pholidota yunnanensis. J. Asian Nat. Prod. Res. 2013, 15, 1256–1264. [Google Scholar] [CrossRef] [PubMed]
- Majumder, P.L.; Sabzabadi, E. Agrostophyllin, a naturally occurring phenanthropyran derivative from Agrostophyllum khasiyanum. Phytochemistry 1988, 27, 1899–1901. [Google Scholar] [CrossRef]
- Ito, M.; Matsuzaki, K.; Wang, J.; Daikonya, A.; Wang, N.L.; Yao, X.S.; Kitanaka, S. New phenanthrenes and stilbenes from Dendrobium loddigesii. Chem. Pharm. Bull. 2010, 58, 628–633. [Google Scholar] [CrossRef]
- Majumder, P.L.; Lahiri, S.; Mukhoti, N. Four stilbenoids from the orchid Agrostophyllum khasiyanum. Phytochemistry 1996, 42, 1157–1161. [Google Scholar] [CrossRef]
- Moujir, L.; Seca, A.M.; Silva, A.M.; Barreto, M.C. Cytotoxic activity of diterpenes and extracts of Juniperus brevifolia. Planta Med. 2008, 74, 751–753. [Google Scholar] [CrossRef]
- Panyo, J.; Matsunami, K.; Panichayupakaranant, P. Bioassay-guided isolation and evaluation of antimicrobial compounds from Ixora megalophylla against some oral pathogens. Pharm. Biol. 2016, 54, 1522–1527. [Google Scholar] [CrossRef]
- Chen, Y.; Xu, J.; Yu, H.; Qing, C.; Zhang, Y.; Wang, L.; Liu, Y.; Wang, J. Cytotoxic phenolics from Bulbophyllum odoratissimum. Food Chem. 2008, 107, 169–173. [Google Scholar] [CrossRef]
- Kwon, J.; Hiep, N.T.; Kim, D.W.; Hong, S.; Guo, Y.; Hwang, B.Y.; Lee, H.J.; Mar, W.; Lee, D. Chemical constituents isolated from the root bark of Cudrania tricuspidata and their potential neuroprotective effects. J. Nat. Prod. 2016, 79, 1938–1951. [Google Scholar] [CrossRef]
- Shirali, A.; Sriram, M.; Hall, J.J.; Nguyen, B.L.; Guddneppanavar, R.; Hadimani, M.B.; Ackley, J.F.; Siles, R.; Jelinek, C.J.; Arthasery, P.; et al. Development of synthetic methodology suitable for the radiosynthesis of combretastatin A-1 (CA1) and its corresponding prodrug CA1P. J. Nat. Prod. 2009, 72, 414–421. [Google Scholar] [CrossRef]
- Majumder, P.L.; Banerjee, S.; Sen, S. Three stilbenoids from the orchid Agrostophyllum callosum. Phytochemistry 1996, 42, 847–852. [Google Scholar] [CrossRef]
- Simmler, C.; Antheaume, C.; Lobstein, A. Antioxidant biomarkers from Vanda coerulea stems reduce irradiated HaCaT PGE-2 production as a result of COX-2 inhibition. PLoS ONE 2010, 5, e13713. [Google Scholar] [CrossRef] [PubMed]
- Jenis, J.; Baiseitova, A.; Yoon, S.H.; Park, C.; Kim, J.Y.; Li, Z.P.; Lee, K.W.; Park, K.H. Competitive α-glucosidase inhibitors, dihydrobenzoxanthones, from the bark of Artocarpus elasticus. J. Enzym. Inhib. Med. Chem. 2019, 34, 1623–1632. [Google Scholar] [CrossRef] [PubMed]
- Park, M.J.; Kang, Y.H. Isolation of isocoumarins and flavonoids as α-glucosidase inhibitors from Agrimonia pilosa L. Molecules 2020, 25, 2572. [Google Scholar] [CrossRef] [PubMed]
- San, H.T.; Chaowasku, T.; Mekboonsonglarp, W.; Rodsiri, R.; Sritularak, B.; Buraphaka, H.; Putalun, W.; Likhitwitayawuid, K. Constituents of Huberantha jenkinsii and their biological activities. Molecules 2020, 25, 3533. [Google Scholar] [CrossRef]
- Butterworth, P.J. The use of Dixon plots to study enzyme inhibition. Biochim. Biophys. Acta 1972, 289, 251–253. [Google Scholar] [CrossRef]
Sample Availability: Samples of the compounds 1–15 are available from the authors. |




| Position | 1 | 2 | 3 | 4 |
|---|---|---|---|---|
| 1 | 6.40, s | - | - | - |
| 2 | - | - | - | - |
| 3 | - | 6.91, s | 6.79, s | 6.94, s |
| 4 | - | - | - | - |
| 4a | - | - | - | - |
| 4b | - | - | - | - |
| 5 | - | - | - | 9.12, s |
| 6 | - | - | - | - |
| 7 | - | - | - | - |
| 8 | 6.69, s | 7.25, s | 7.23, s | 7.21, s |
| 8a | - | - | - | - |
| 9 | 2.72, br s | 7.55, d (9.3) | 7.53, d (9.3) | 7.48, d (9.0) |
| 10 | 2.72, br s | 7.78, d (9.3) | 7.75, d (9.3) | 7.64, d (9.0) |
| 10a | - | - | - | - |
| 11 | 5.17, s | 5.64, s | 5.60, s | |
| α′ | 3.88, s | 4.29, s | 4.31, s | 4.34, s |
| 1′ | - | - | - | - |
| 2′ | 7.15, d (8.7) | 7.01, d (8.4) | 7.07, d (8.4) | 7.03, d (8.4) |
| 3′ | 6.66, d (8.7) | 6.66, d (8.4) | 6.67, d (8.4) | 6.66, d (8.4) |
| 4′ | - | - | - | - |
| 5′ | 6.66, d (8.7) | 6.66, d (8.4) | 6.67, d (8.4) | 6.66, d (8.4) |
| 6′ | 7.15, d (8.7) | 7.01, d (8.4) | 7.07, d (8.4) | 7.03, d (8.4) |
| 2-OMe | - | 3.94, s | - | - |
| 4-OMe | - | - | - | 4.06, s |
| 6-OMe | 3.79, s | 3.93, s | 3.92, s | - |
| Position | 1 | 2 | 3 | 4 |
|---|---|---|---|---|
| 1 | 108.0 | 116.1 | 114.0 | 113.2 |
| 2 | 154.8 | 156.2 | 153.7 | 152.4 |
| 3 | 114.5 | 98.2 | 101.8 | 98.7 |
| 4 | 150.8 | 151.5 | 151.0 | 157.7 |
| 4a | 111.8 | 112.1 | 111.9 | 114.9 |
| 4b | 119.6 | 118.1 | 118.4 | 125.3 |
| 5 | 121.3 | 120.1 | 119.9 | 112.8 |
| 6 | 141.7 | 143.3 | 143.2 | 145.2 |
| 7 | 148.4 | 149.6 | 149.4 | 144.0 |
| 8 | 114.9 | 110.9 | 110.7 | 111.4 |
| 8a | 128.6 | 125.2 | 125.0 | 126.4 |
| 9 | 27.1 | 125.8 | 125.5 | 127.1 |
| 10 | 27.6 | 122.6 | 122.6 | 120.5 |
| 10a | 132.4 | 129.5 | 129.9 | 133.3 |
| 11 | 63.3 | 63.8 | 63.7 | - |
| α′ | 27.6 | 28.9 | 29.0 | 29.4 |
| 1′ | 132.6 | 132.4 | 132.6 | 132.6 |
| 2′ | 129.4 | 129.0 | 129.1 | 129.0 |
| 3′ | 114.6 | 114.9 | 114.9 | 114.8 |
| 4′ | 155.2 | 155.2 | 155.2 | 155.2 |
| 5′ | 114.6 | 114.9 | 114.9 | 114.8 |
| 6′ | 129.4 | 129.0 | 129.1 | 129.0 |
| 2-OMe | - | 55.8 | - | - |
| 4-OMe | - | - | - | 54.9 |
| 6-OMe | 60.4 | 60.4 | 60.4 | - |
| Compound | IC50 (μM) |
|---|---|
| Gastrobellinol A (1) | 88.72 ± 4.1 |
| Gastrobellinol B (2) | 97.78 ± 3.1 |
| Gastrobellinol C (3) | 45.92 ± 2.8 |
| Gastrobellinol D (4) | NA |
| Agrostophyllin (5) | NA |
| Agrostophyllidin (6) | NA |
| Coniferyl aldehyde (7) | 380.92 ± 9.3 |
| 4-Hydroxybenzaldehyde (8) | NA |
| Agrostophyllone (9) | 280.98 ± 15.9 |
| Gigantol (10) | NA |
| 4-(Methoxylmethyl)phenol (11) | NA |
| Syringaldehyde (12) | NA |
| 1-(4′-Hydroxybenzyl)-imbricartin (13) | 53.69 ± 12.5 |
| 6-Methoxycoelonin (14) | NA |
| Imbricatin (15) | 301.12 ± 6.6 |
| Acarbose | 447.36 ± 28.3 |
| Inhibitor | Dose (µM) | Vmax (∆ A405/min) | Km (mM) | Ki (µM) |
|---|---|---|---|---|
| None | - | 0.1 | 0.8 | |
| Compound 3 | 20 | 0.1 | 0.9 | 87.3 |
| 40 | 0.1 | 1.1 | ||
| Acarbose | 387 | 0.1 | 4.8 | 143.6 |
| 744 | 0.1 | 6.5 |
Publisher’s Note: MDPI stays neutral with regard to jurisdictional claims in published maps and institutional affiliations. |
© 2021 by the authors. Licensee MDPI, Basel, Switzerland. This article is an open access article distributed under the terms and conditions of the Creative Commons Attribution (CC BY) license (http://creativecommons.org/licenses/by/4.0/).
Share and Cite
San, H.T.; Chatsumpun, N.; Juengwatanatrakul, T.; Pornputtapong, N.; Likhitwitayawuid, K.; Sritularak, B. Four Novel Phenanthrene Derivatives with α-Glucosidase Inhibitory Activity from Gastrochilus bellinus. Molecules 2021, 26, 418. https://doi.org/10.3390/molecules26020418
San HT, Chatsumpun N, Juengwatanatrakul T, Pornputtapong N, Likhitwitayawuid K, Sritularak B. Four Novel Phenanthrene Derivatives with α-Glucosidase Inhibitory Activity from Gastrochilus bellinus. Molecules. 2021; 26(2):418. https://doi.org/10.3390/molecules26020418
Chicago/Turabian StyleSan, Htoo Tint, Nutputsorn Chatsumpun, Thaweesak Juengwatanatrakul, Natapol Pornputtapong, Kittisak Likhitwitayawuid, and Boonchoo Sritularak. 2021. "Four Novel Phenanthrene Derivatives with α-Glucosidase Inhibitory Activity from Gastrochilus bellinus" Molecules 26, no. 2: 418. https://doi.org/10.3390/molecules26020418
APA StyleSan, H. T., Chatsumpun, N., Juengwatanatrakul, T., Pornputtapong, N., Likhitwitayawuid, K., & Sritularak, B. (2021). Four Novel Phenanthrene Derivatives with α-Glucosidase Inhibitory Activity from Gastrochilus bellinus. Molecules, 26(2), 418. https://doi.org/10.3390/molecules26020418

