RETRACTED: Myricitrin, a Glycosyloxyflavone in Myrica esculenta Bark Ameliorates Diabetic Nephropathy via Improving Glycemic Status, Reducing Oxidative Stress, and Suppressing Inflammation
Abstract
1. Introduction
2. Results
2.1. In Vitro Assays
2.1.1. Effect on Glucose Uptake In Vitro
2.1.2. Effect of Myr on HG-induced Cytotoxicity in Kidney Cells
2.1.3. Effect on Redox Status in Kidney Cells
2.1.4. Effect on Signal Transduction in Kidney Cells
2.2. In Vivo Assays
2.2.1. Effect on Fasting Blood Glucose Level, Body Mass Gain, Foods, and Water Intake
2.2.2. Effects on Serum Insulin Level, HOMA-IR, and HOMA-β
2.2.3. Effects on Serum Biochemical Parameters
2.2.4. Effects on Signal Proteins in Skeletal Muscle
2.2.5. Effects on Kidney Mass and Urine Parameters
2.2.6. Effects on Renal Polyol Enzymes
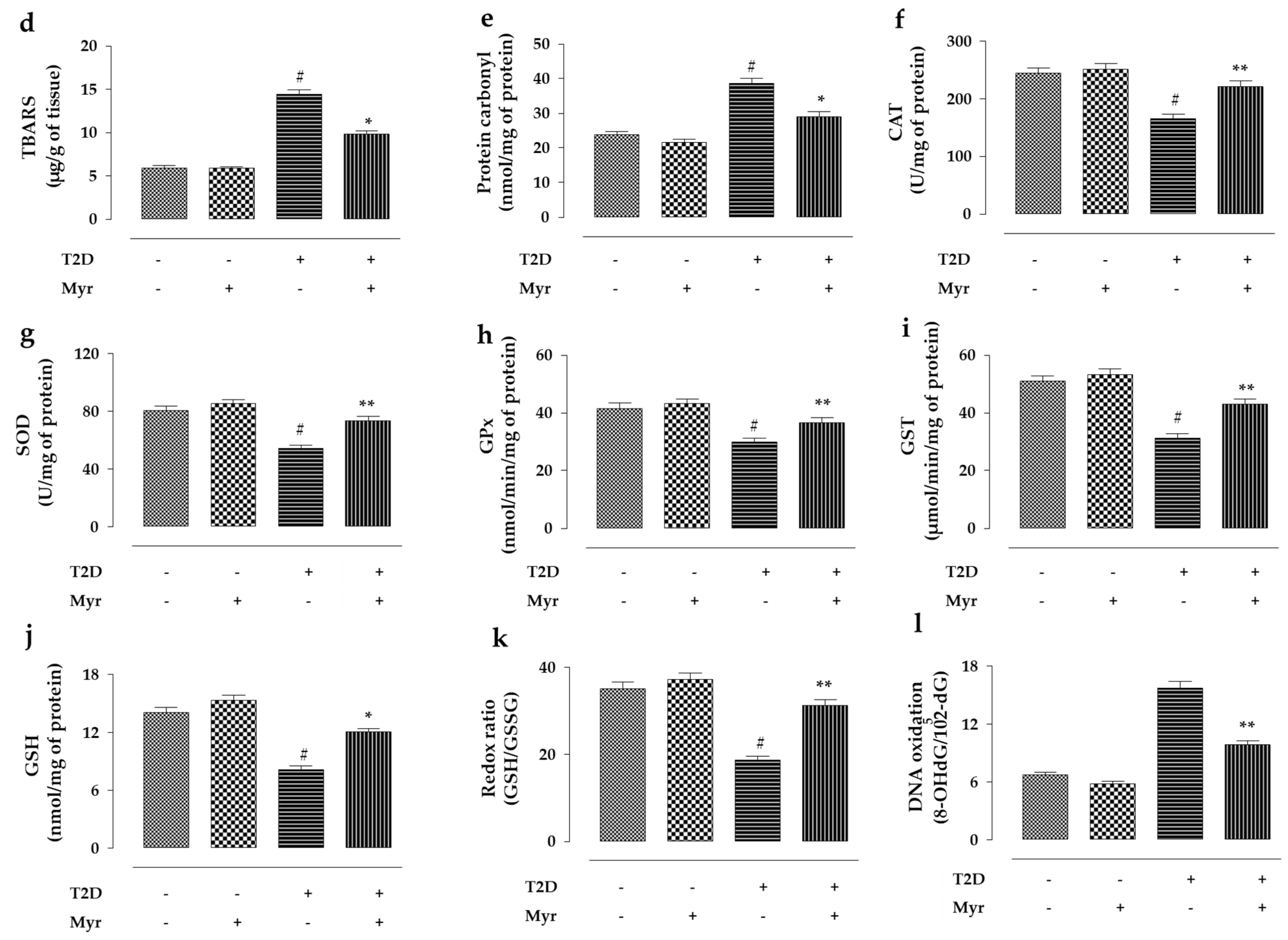
2.2.7. Effect on Redox Status in Kidney
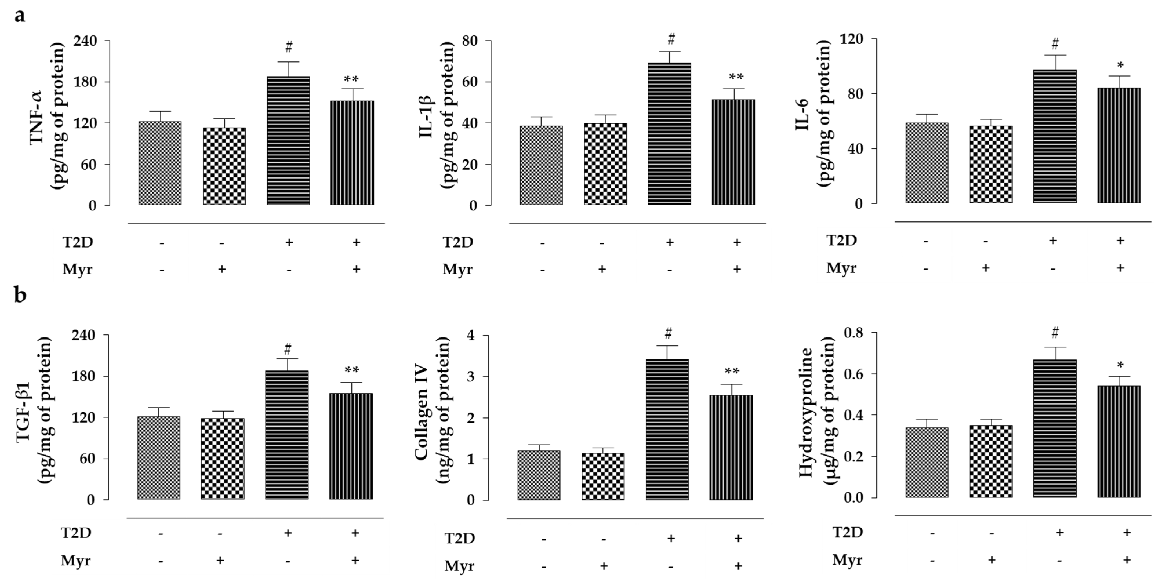
2.2.8. Effects on Renal Inflammation and Fibrosis
2.2.9. Effect on Signal Transduction in Kidney of T2D Rats
2.2.10. Effect on Renal Histology of T2D Rats
2.3. In Silico Analyses
2.3.1. ADMET and Drug-Likeness Prediction
2.3.2. In Silico Molecular Docking Analysis between Myr and Signal Proteins
3. Discussion
4. Materials and Methods
4.1. Plant Material and Extraction of Myr
4.2. Reagents
4.3. In Vitro Assays
4.3.1. Cell Culture
4.3.2. Glucose Uptake Assay
4.3.3. Immunoblotting of Signal Proteins in L6 Myoblasts
4.3.4. Concentration and Time-Dependent Toxic Effect of D-Glucose to NRK Cells
4.3.5. In vitro Model of Diabetic Nephropathy
4.3.6. Cell Viability Measurement
4.3.7. Measurement of Redox Status
4.3.8. Immunoblotting of Signal Proteins in NRK Cells
4.4. In Vivo Assay
4.4.1. Animals
4.4.2. Induction of Diabetes and Experimental Scheme
- Group I: Non-diabetic rats were treated with vehicle daily for 28 days;
- Group II: Non-diabetic rats were treated with Myr (300 mg/kg body weight, p.o.) daily for 28 days;
- Group III: T2D rats were treated with vehicle daily for 28 days;
- Group IV: T2D rats were treated with Myr (300 mg/kg body weight, p.o.) daily for 28 days.
4.4.3. Estimation of Serum and Urine Parameters
4.4.4. Immunoblotting of Signal Proteins in Skeletal Muscle
4.4.5. Estimation of Renal Parameters
4.4.6. Immunoblotting of Signal Proteins in Renal Tissue
4.4.7. Histological Assessment
4.5. Statistical Analysis
4.6. In Silico Assays
4.6.1. ADMET properties of Myr
4.6.2. Molecular Docking
5. Conclusions
Supplementary Materials
Author Contributions
Funding
Institutional Review Board Statement
Informed Consent Statement
Data Availability Statement
Acknowledgments
Conflicts of Interest
Sample Availability
References
- Dewanjee, S.; Maiti, A.; Sahu, R.; Dua, T.K.; Mandal, V. Effective control of type 2 diabetes through antioxidant defense by edible fruits of Diospyros peregrina. Evid. Based Complement. Alternat. Med. 2011, 2011, 675397. [Google Scholar] [CrossRef] [PubMed]
- Khanra, R.; Bhattacharjee, N.; Dua, T.K.; Nandy, A.; Saha, A.; Kalita, J.; Manna, P.; Dewanjee, S. Taraxerol, a pentacyclic triterpenoid, from Abroma augusta leaf attenuates diabetic nephropathy in type 2 diabetic rats. Biomed. Pharmacother. 2017, 94, 726–741. [Google Scholar] [CrossRef] [PubMed]
- Olokoba, A.B.; Obateru, O.A.; Olokoba, L.B. Type 2 diabetes mellitus: A review of current trends. Oman Med. J. 2012, 27, 269–273. [Google Scholar] [CrossRef] [PubMed]
- Tangvarasittichai, S. Oxidative stress, insulin resistance, dyslipidemia and type 2 diabetes mellitus. World J. Diabetes 2015, 6, 456–480. [Google Scholar] [CrossRef]
- Alicic, R.Z.; Rooney, M.T.; Tuttle, K.R. Diabetic kidney disease: Challenges, progress, and possibilities. Clin. J. Am. Soc. Nephrol. 2017, 12, 2032–2045. [Google Scholar] [CrossRef]
- Bhattacharjee, N.; Barma, S.; Konwar, N.; Dewanjee, S.; Manna, P. Mechanistic insight of diabetic nephropathy and its pharmacotherapeutic targets: An update. Eur. J. Pharmacol. 2016, 791, 8–24. [Google Scholar] [CrossRef]
- MacIsaac, R.J.; Jerums, G.; Ekinci, E.I. Effects of glycaemic management on diabetic kidney disease. World J. Diabetes 2017, 8, 172–186. [Google Scholar] [CrossRef]
- Heerspink, H.J.; De Zeeuw, D. Novel anti-inflammatory drugs for the treatment of diabetic kidney disease. Diabetologia 2016, 59, 1621–1623. [Google Scholar] [CrossRef]
- Tavafi, M. Diabetic nephropathy and antioxidants. J. Nephropathol. 2013, 2, 20–27. [Google Scholar] [CrossRef]
- Kandhare, A.D.; Mukherjee, A.; Bodhankar, S.L. Antioxidant for treatment of diabetic nephropathy: A systematic review and meta-analysis. Chem. Biol. Interact 2017, 278, 212–221. [Google Scholar] [CrossRef]
- Kabra, A.; Martins, N.; Sharma, R.; Kabra, R.; Baghel, U.S. Myrica esculenta Buch.-Ham. ex D. Don: A Natural Source for Health Promotion and Disease Prevention. Plants 2019, 8, 149. [Google Scholar] [CrossRef]
- Agnihotri, S.; Wakode, S.; Ali, M. Essential oil of Myrica esculenta Buch. Ham.: Composition, antimicrobial and topical anti-inflammatory activities. Nat. Prod. Res. 2012, 26, 2266–2269. [Google Scholar] [CrossRef] [PubMed]
- Nainwal, P.; Kalra, K. Study on the wound activity potential on the aqueous extract of the bark of Myrica esculenta Buch. & Ham. Int. J. Pharm. Clin. Res. 2009, 1, 85–87. [Google Scholar]
- Dewanjee, S.; Das, A.K.; Sahu, R.; Gangopadhyay, M. Antidiabetic activity of Diospyros peregrina fruit: Effect on hyperglycemia, hyperlipidemia and augmented oxidative stress in experimental type 2 diabetes. Food Chem. Toxicol. 2009, 47, 2679–2685. [Google Scholar] [CrossRef] [PubMed]
- Bhattacharjee, N.; Khanra, R.; Dua, T.K.; Das, S.; De, B.; Zia-Ul-Haq, M.; De Feo, V.; Dewanjee, S. Sansevieria roxburghiana Schult. & Schult. F. (Family: Asparagaceae) attenuates type 2 diabetes and its associated cardiomyopathy. PLoS ONE 2016, 11, e0167131. [Google Scholar] [CrossRef]
- Dewanjee, S.; Bhattacharjee, N. MicroRNA: A new generation therapeutic target in diabetic nephropathy. Biochem. Pharmacol. 2018, 155, 32–47. [Google Scholar] [CrossRef]
- Bhattacharjee, N.; Dua, T.K.; Khanra, R.; Joardar, S.; Nandy, A.; Saha, A.; De Feo, V.; Dewanjee, S. Protocatechuic acid, a phenolic from Sansevieria roxburghiana leaves, suppresses diabetic cardiomyopathy via stimulating glucose metabolism, ameliorating oxidative stress, and inhibiting inflammation. Front. Pharmacol. 2017, 8, 251. [Google Scholar] [CrossRef]
- Dewanjee, S.; Sahu, R.; Karmakar, S.; Gangopadhyay, M. Toxic effects of lead exposure in Wistar rats: Involvement of oxidative stress and the beneficial role of edible jute (Corchorus olitorius) leaves. Food Chem. Toxicol. 2013, 55, 78–91. [Google Scholar] [CrossRef]
- Dua, T.K.; Dewanjee, S.; Gangopadhyay, M.; Khanra, R.; Zia-Ul-Haq, M.; De Feo, V. Ameliorative effect of water spinach, Ipomea aquatica (Convolvulaceae), against experimentally induced arsenic toxicity. J. Transl. Med. 2015, 13, 81. [Google Scholar] [CrossRef]
- Khanra, R.; Dewanjee, S.; Dua, T.K.; Sahu, R.; Gangopadhyay, M.; De Feo, V.; Zia-Ul-Haq, M. Abroma augusta L. (Malvaceae) leaf extract attenuates diabetes induced nephropathy and cardiomyopathy via inhibition of oxidative stress and inflammatory response. J. Transl. Med. 2015, 13, 6. [Google Scholar] [CrossRef]
- Das, S.; Dewanjee, S.; Dua, T.K.; Joardar, S.; Chakraborty, P.; Bhowmick, S.; Saha, A.; Bhattacharjee, S.; De Feo, V. Carnosic Acid Attenuates Cadmium Induced Nephrotoxicity by Inhibiting Oxidative Stress, Promoting Nrf-2/HO-1 Signalling and Impairing TGF-β1/Smad/Collagen IV Signalling. Molecules 2019, 24, 4176. [Google Scholar] [CrossRef] [PubMed]
- Joardar, S.; Dewanjee, S.; Bhowmick, S.; Dua, T.K.; Das, S.; Saha, A.; De Feo, V. Rosmarinic acid attenuates cadmium-induced nephrotoxicity via inhibition of oxidative stress, apoptosis, inflammation and fibrosis. Int. J. Mol. Sci. 2019, 20, 2027. [Google Scholar] [CrossRef] [PubMed]
- Dewanjee, S.; Das, S.; Das, A.K.; Bhattacharjee, N.; Dihingia, A.; Dua, T.K.; Kalita, J.; Manna, P. Molecular mechanism of diabetic neuropathy and its pharmacotherapeutic targets. Eur. J. Pharmacol. 2018, 833, 472–523. [Google Scholar] [CrossRef] [PubMed]
- Hwang, I.-W.; Chung, S.-K. Isolation and identification of myricitrin, an antioxidant flavonoid, from daebong persimmon peel. Prev. Nutr. Food Sci. 2018, 23, 341–346. [Google Scholar] [CrossRef] [PubMed]
- Ibekwe, N.N.; Akoje, V.O.; Igoli, J.O. Phytochemical Constituents of the Leaves of Landolphia owariensis. Trop. J. Nat. Prod. 2019, 3, 261–264. [Google Scholar] [CrossRef]
- Manna, P.; Achari, A.E.; Jain, S.K. 1, 25 (OH) 2-vitamin D 3 upregulates glucose uptake mediated by SIRT1/IRS1/GLUT4 signaling cascade in C2C12 myotubes. Mol. Cell. Biochem. 2018, 444, 103–108. [Google Scholar] [CrossRef] [PubMed]
- Baghirova, S.; Hughes, B.G.; Hendzel, M.J.; Schulz, R. Sequential fractionation and isolation of subcellular proteins from tissue or cultured cells. MethodsX 2015, 2, 440–445. [Google Scholar] [CrossRef]
- Das, S.; Joardar, S.; Manna, P.; Dua, T.K.; Bhattacharjee, N.; Khanra, R.; Bhowmick, S.; Kalita, J.; Saha, A.; Ray, S.; et al. Carnosic Acid, a natural diterpene, attenuates arsenic-induced hepatotoxicity via reducing oxidative stress, MAPK activation, and apoptotic cell death pathway. Oxid. Med. Cell. Longev. 2018, 2018. [Google Scholar] [CrossRef]
- Manna, P.; Jain, S.K. L-cysteine and hydrogen sulfide increase PIP3 and AMPK/PPARγ expression and decrease ROS and vascular inflammation markers in high glucose treated human U937 monocytes. J. Cell. Biochem. 2013, 114, 2334–2345. [Google Scholar] [CrossRef]
- Herrera, B.; Murillo, M.M.; Alvarez-Barrientos, A.; Beltrán, J.; Fernández, M.; Fabregat, I. Source of early reactive oxygen species in the apoptosis induced by transforming growth factor-β in fetal rat hepatocytes. Free Radic. Biol. Med. 2004, 36, 16–26. [Google Scholar] [CrossRef]
- Fraga, C.G.; Leibovitz, B.E.; Tappel, A.L. Lipid peroxidation measured as thiobarbituric acid-reactive substances in tissue slices: Characterization and comparison with homogenates and microsomes. Free Rad. Biol. Med. 1988, 4, 155–161. [Google Scholar] [CrossRef]
- Pal, S.; Pal, P.B.; Das, J.; Sil, P.C. Involvement of both intrinsic and extrinsic pathways in hepatoprotection of arjunolic acid against cadmium induced acute damage in vitro. Toxicology 2011, 283, 129–139. [Google Scholar] [CrossRef] [PubMed]
- Manna, P.; Sinha, M.; Sil, P.C. Protective role of arjunolic acid in response to streptozotocin-induced type-I diabetes via the mitochondrial dependent and independent pathways. Toxicology 2009, 257, 53–63. [Google Scholar] [CrossRef] [PubMed]
- Hissin, P.J.; Hilf, R. A fluorometric method for determination of oxidized and reduced glutathione in tissues. Anal. Bioch. 1976, 74, 214–226. [Google Scholar] [CrossRef]
- Sahu, R.; Dua, T.K.; Das, S.; De Feo, V.; Dewanjee, S. Wheat phenolics suppress doxorubicin-induced cardiotoxicity via inhibition of oxidative stress, MAP kinase activation, NF-κB pathway, PI3K/Akt/mTOR impairment, and cardiac apoptosis. Food Chem. Toxicol. 2019, 125, 503–519. [Google Scholar] [CrossRef] [PubMed]
- Public Health Service (PHS). Public Health Service Policy on Humane Care and Use of Laboratory Animal; National Institute of Health: Washington, DC, USA, 2015.
- Dua, T.K.; Dewanjee, S.; Khanra, R.; Joardar, S.; Barma, S.; Das, S.; Zia-Ul-Haq, M.; De Feo, V. Cytoprotective and antioxidant effects of an edible herb, Enhydra fluctuans Lour.(Asteraceae), against experimentally induced lead acetate intoxication. PLoS ONE 2016, 11, e0148757. [Google Scholar] [CrossRef]
- Nayak, S.S.; Pattabiraman, T. A new colorimetric method for the estimation of glycosylated hemoglobin. Clin. Chim. Acta 1981, 109, 267–274. [Google Scholar] [CrossRef]
- Nishinaka, T.; Yabe-Nishimura, C. EGF receptor-ERK pathway is the major signaling pathway that mediates upregulation of aldose reductase expression under oxidative stress. Free Radic. Biol. Med. 2001, 31, 205–216. [Google Scholar] [CrossRef]
- Ulrich, H.B. Methods of Enzymatic Analysis; Verlag Chemie: Weinheim, Germany, 1974. [Google Scholar]
- McLellan, A.C.; Thornalley, P.J. Glyoxalase activity in human red blood cells fractioned by age. Mech. Ageing Dev. 1989, 48, 63–71. [Google Scholar] [CrossRef]
- Lipinski, C.A.; Lombardo, F.; Dominy, B.W.; Feeney, P.J. Experimental and computational approaches to estimate solubility and permeability in drug discovery and development settings. Adv. Drug. Deliv. Rev. 2001, 46, 3–26. [Google Scholar] [CrossRef]
- QikProp; Schrödinger, LLC: New York, NY, USA, 2018.
- Berman, H.M.; Westbrook, J.; Feng, Z.; Gilliland, G.; Bhat, T.N.; Weissig, H.; Shindyalov, I.N.; Bourne, P.E. The protein data bank. Nucleic Acids Res. 2000, 28, 235–242. [Google Scholar] [CrossRef] [PubMed]
- Protein Preparation Wizard; Schrödinger, LLC: New York, NY, USA, 2018.
- LigPrep; Schrödinger, LLC: New York, NY, USA, 2018.
- Friesner, R.A.; Banks, J.L.; Murphy, R.B.; Halgren, T.A.; Klicic, J.J.; Mainz, D.T.; Repasky, M.P.; Knoll, E.H.; Shelley, M.; Perry, J.K. Glide: A new approach for rapid, accurate docking and scoring. 1. Method and assessment of docking accuracy. J. Med. Chem. 2004, 47, 1739–1749. [Google Scholar] [CrossRef] [PubMed]
- Salentin, S.; Schreiber, S.; Haupt, V.J.; Adasme, M.F.; Schroeder, M. PLIP: Fully automated protein-ligand interaction profiler. Nucleic Acids Res. 2015, 43, W443–W447. [Google Scholar] [CrossRef] [PubMed]




















| Parameters | Group I | Group II | Group III | Group IV |
|---|---|---|---|---|
| Total cholesterol (mg/dL) | 84.32 ± 7.54 | 83.21 ± 8.02 | 156.33 ± 14.45 # | 137.67 ± 10.98 * |
| HDL cholesterol (mg/dL) | 35.43 ± 2.89 | 37.17 ± 3.87 | 20.22 ± 2.43 # | 29.50 ± 1.67 * |
| LDL cholesterol (mg/dL) | 25.04 ± 2.34 | 21.79 ± 2.11 | 98.67± 7.91 # | 76.82 ± 6.82 ** |
| Triglycerides (mg/dL) | 118.67 ± 9.24 | 121.22 ± 10.22 | 187.22 ± 16.43 # | 156.74 ± 14.87 ** |
| Glyco-haemoglobin (mg/g haemoglobin) | 0.28 ± 0.03 | 0.27 ± 0.02 | 0.71 ± 0.08 # | 0.62 ± 0.05 * |
| LDH (U/L) | 164.22 ± 14.27 | 159.87 ± 13.48 | 256.69 ± 24.75 # | 221.24 ± 20.11 * |
| CK (IU/mg of protein) | 10.45 ± 1.15 | 9.87 ± 1.01 | 19.22 ± 2.07 # | 14.55 ± 1.49 ** |
| Urea (mg/dL) | 18.79 ± 1.91 | 19.63 ± 1.91 | 71.25 ± 6.62 # | 56.29 ± 5.18 ** |
| Uric acid (mg/dL) | 2.11 ± 0.23 | 2.04 ± 0.17 | 3.67 ± 0.42 # | 2.87 ± 0.31 ** |
| Creatinine (mg/dL) | 0.42 ± 0.05 | 0.43 ± 0.03 | 0.73 ± 0.08 # | 0.56 ± 0.05 ** |
| C-reactive protein (mg/dL) | 1.32 ± 0.17 | 1.26 ± 0.13 | 2.57 ± 0.29 # | 1.78 ± 0.20 ** |
| AGEs (µg/mL) | 438.17 ± 37.28 | 416.22 ± 40.24 | 769.37 ± 80.72 # | 659.37 ± 71.26 * |
| Parameters | Group I | Group II | Group III | Group IV |
|---|---|---|---|---|
| Kidney mass (g) | 0.98 ± 0.13 | 0.96 ± 0.09 | 1.35 ± 0.17 # | 1.12 ± 0.14 * |
| Urinary creatinine (mg/dL) | 56.87 ± 6.12 | 57.83 ± 5.89 | 21.32 ± 2.37 # | 38.14 ± 4.26 ** |
| Urinary albumin (mg/dL) | 2.74 ± 0.33 | 2.79 ± 0.28 | 9.84 ± 1.13 # | 6.87 ± 0.67 ** |
| ADMET Properties Studied | Descriptors/Physiochemical Properties | Predicated Values | Recommended Ranges/Indices |
|---|---|---|---|
| Properties under Lipinski’s rule of five (RO5) | Molecular weight | 464.382 | 130.0 to 725.0 |
| H-bond donor | 7 | 0.0 to 6.0 | |
| H-bond acceptor | 12 | 2.0 to 20.0 | |
| QPlogPo/w | 3.69 | −2.0 to 6.5 | |
| Other important physiochemical/ADME properties | WPSA | 0 | 0.0 to 175.0 |
| glob | 0.84 | 0.75 to 0.95 | |
| QPlogS | −2.74 | −6.5 to 0.5 | |
| QPlogHERG | −4.72 | Concern below −5 | |
| QPPCaco | 2.69 | <25 poor; >500 great | |
| QPlogBB | −3.63 | −3.0 to 1.2 | |
| QPlogKhsa | −0.74 | −1.5 to 1.5 | |
| Toxicity profiles | Hepatotoxicity | Non-hepatotoxic | Toxic or non-toxic |
| Mutagenicity | Non-mutagenic | Mutagenic or non-mutagenic |
| Proteins | Glide Dock Score (Kcal/mol) | Interacting Residues in H-bond Interaction | Involvement of Other Type of Molecular Interactions |
|---|---|---|---|
| PI3K | −14.56 | Ser614, Tyr670, Ile685, Ser687 | Ile634, Phe684, Pro689, Leu750, Ile760 (Hydrophobic) |
| Bad | −3.64 | Glu311, Glu318 | Arg314 (Salt bridge) |
| Caspase 9 | −5.11 | Arg180, Ser236, His237, Gln285, Ser287, Arg355 | Trp354, Arg355 (Hydrophobic) |
| IκB | −5.69 | Thr23, Phe26, Gln48, Leu173, Gly176, Ser177 | Leu173 (Hydrophobic) |
| NF-κB | −7.06 | Arg59, His67, Ser243, Asn250, Lys252, Asp274 | Arg57 (Salt bridge) |
| Keap1 | −7.98 | Ser363, Arg380, Gln530, Ser555, Tyr572, Ser602 | Tyr334 (Hydrophobic) |
| TGF-β1 | −2.99 | Asp3, Leu83, Glu84, Ser108 | Ala82, Glu84 (Hydrophobic) |
| Smad3 | −4.71 | Tyr363, Arg367, Arg372, Glu396, His398 | Thr370, Leu403 (Hydrophobic)/His398 (π-Stacking) |
| Smad7 | −2.26 | Glu203, Pro207 | Glu203, Leu204, Pro207 (Hydrophobic) |
| Collagen IV | −7.99 | Ser170, Ser190, Trp192, Leu210, His218 | Leu215, His218 (Hydrophobic) |
Publisher’s Note: MDPI stays neutral with regard to jurisdictional claims in published maps and institutional affiliations. |
© 2021 by the authors. Licensee MDPI, Basel, Switzerland. This article is an open access article distributed under the terms and conditions of the Creative Commons Attribution (CC BY) license (http://creativecommons.org/licenses/by/4.0/).
Share and Cite
Dua, T.K.; Joardar, S.; Chakraborty, P.; Bhowmick, S.; Saha, A.; De Feo, V.; Dewanjee, S. RETRACTED: Myricitrin, a Glycosyloxyflavone in Myrica esculenta Bark Ameliorates Diabetic Nephropathy via Improving Glycemic Status, Reducing Oxidative Stress, and Suppressing Inflammation. Molecules 2021, 26, 258. https://doi.org/10.3390/molecules26020258
Dua TK, Joardar S, Chakraborty P, Bhowmick S, Saha A, De Feo V, Dewanjee S. RETRACTED: Myricitrin, a Glycosyloxyflavone in Myrica esculenta Bark Ameliorates Diabetic Nephropathy via Improving Glycemic Status, Reducing Oxidative Stress, and Suppressing Inflammation. Molecules. 2021; 26(2):258. https://doi.org/10.3390/molecules26020258
Chicago/Turabian StyleDua, Tarun K., Swarnalata Joardar, Pratik Chakraborty, Shovonlal Bhowmick, Achintya Saha, Vincenzo De Feo, and Saikat Dewanjee. 2021. "RETRACTED: Myricitrin, a Glycosyloxyflavone in Myrica esculenta Bark Ameliorates Diabetic Nephropathy via Improving Glycemic Status, Reducing Oxidative Stress, and Suppressing Inflammation" Molecules 26, no. 2: 258. https://doi.org/10.3390/molecules26020258
APA StyleDua, T. K., Joardar, S., Chakraborty, P., Bhowmick, S., Saha, A., De Feo, V., & Dewanjee, S. (2021). RETRACTED: Myricitrin, a Glycosyloxyflavone in Myrica esculenta Bark Ameliorates Diabetic Nephropathy via Improving Glycemic Status, Reducing Oxidative Stress, and Suppressing Inflammation. Molecules, 26(2), 258. https://doi.org/10.3390/molecules26020258

