Effects of Surfactant Volume Fraction on the Antioxidant Efficiency and on The Interfacial Concentrations of Octyl and Tetradecyl p-Coumarates in Corn Oil-in-Water Emulsions
Abstract
:1. Introduction
1.1. Determining Antioxidant Distributions in the Intact Emulsions: Application of the Pseudophase Kinetic Model
2. Experimental Materials and Methods
2.1. Materials
2.2. Synthesis of Coumaric Fatty Acid Esters
2.3. Emulsion Preparation
2.4. Determination of kobs Values in Intact Emulsions: Derivatization Method
2.5. Oxidative Stability of Emulsions: Schaal Method
3. Results and Discussion
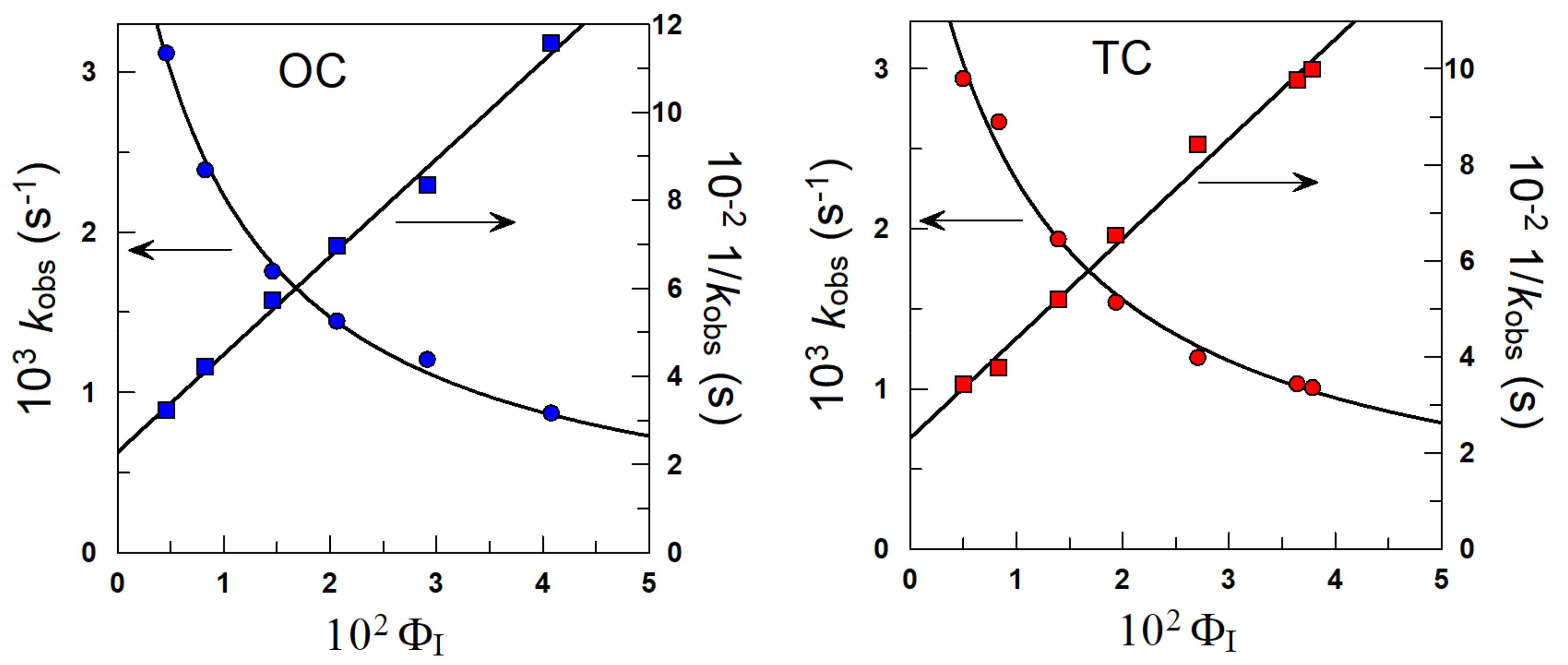
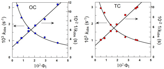
3.1. Oxidative Stability of Corn Oil Emulsions: Effects of Surfactant Concentration
3.2. Distribution of OC and TC in Corn Oil Emulsions: Partition Constants
3.3. Distribution of OC and TC between the Oil and Interfacial Regions of the Corn Oil Emulsions
3.4. Effects of Surfactant Concentration and Oil to Water Ratio on the Effective Concentrations of OC and TC in the Oil and Interfacial Regions of Corn Oil Emulsions
4. Conclusions
Author Contributions
Funding
Institutional Review Board Statement
Informed Consent Statement
Data Availability Statement
Acknowledgments
Conflicts of Interest
Sample Availability
References
- Larsson, K.; Fribera, S.E. Food Emulsions, 2nd ed.; Friberg, S.E., Larsson, K., Eds.; Marcell-Dekker Inc.: New Yok, NY, USA, 1990; pp. 1–510. [Google Scholar]
- McClements, D.J. Food Emulsions, 2nd ed.; Clydesdale, F.M., Ed.; CRC Press: Boca Raton, FL, USA, 2005; pp. 1–613. [Google Scholar]
- García-Pérez, P.; Lozano-Milo, E.; Gallego, P.P.; Tojo, C.; Losada-Barreiro, S.; Bravo-Díaz, C. Plant Antioxidants in Food Emulsions. In Some New Aspects of Colloidal Systems in Foods; Milani, J.M., Ed.; IntechOpen: London, UK, 2018; pp. 1–88. [Google Scholar]
- McClements, D.J. Food Emulsions, Principles, Practices and Techniques, 3rd ed.; CRC Press: Boca Raton, FL, USA, 2015. [Google Scholar]
- Frankel, E.N. Lipid Oxidation; Woodhead Publishing: Sawston, UK, 2005. [Google Scholar]
- Friberg, S.E.; Larsson, K. Food Emulsions, 3rd ed.; Friberg, S.E., Larsson, K., Eds.; Marcel Dekker: New York, NY, USA, 1997; pp. 1–582. [Google Scholar]
- Kralova, I.; Sjöblom, J. Surfactants Used in Food Industry: A Review. J. Dispers. Sci. Technol. 2009, 30, 1363–1383. [Google Scholar] [CrossRef]
- Tadros, T.F. (Ed.) Surfactants, 2nd ed.; Academic Press: London, UK, 1984; pp. 1–342. [Google Scholar]
- Jacobsen, C. Chapter 8—Oxidative Stability and Shelf Life of Food Emulsions. In Oxidative Stability and Shelf Life of Foods Containing Oils and Fats; Hu, M., Jacobsen, C., Eds.; AOCS Press: Urbana, IL, USA, 2016; pp. 287–312. [Google Scholar] [CrossRef] [Green Version]
- Nieva-Echevarría, B.; Goicoechea, E.; Guillén, M.D. Food lipid oxidation under gastrointestinal digestion conditions: A review. Crit. Rev. Food Sci. Nutr. 2020, 60, 461–478. [Google Scholar] [CrossRef]
- Schaich, K.M.; Shahidi, F.; Zhong, Y.; Eskin, N.A.M. Chapter 11—Lipid Oxidation. In Biochemistry of Foods, 3rd ed.; Academic Press: San Diego, CA, USA, 2013; pp. 419–478. [Google Scholar] [CrossRef]
- Losada-Barreiro, S.; Bravo-Díaz, C.; Paiva-Martins, F. Why encapsulate antioxidants in emulsion-based systems, where they are located, and how location affects their efficiency. In Emulsion-based Encapsulation of Antioxidants; Aboudzadeh, M.A., Ed.; Springer Nature: Cham, Switzerland, 2021. [Google Scholar] [CrossRef]
- Costa, M.; Losada-Barreiro, S.; Paiva-Martins, F.; Bravo-Díaz, C. Polyphenolic Antioxidants in Lipid Emulsions: Partitioning Effects and Interfacial Phenomena. Foods 2021, 10, 539. [Google Scholar] [CrossRef]
- Meireles, M.; Losada-Barreiro, S.; Costa, M.; Paiva-Martins, F.; Bravo-Díaz, C.; Monteiro, L.S. Control of antioxidant efficiency of chlorogenates in emulsions: Modulation of antioxidant interfacial concentrations. J. Sci. Food Agric. 2020, 99, 3917–3925. [Google Scholar] [CrossRef]
- Costa, M.; Losada-Barreiro, S.; Bravo-Díaz, C.; Vicente, A.A.; Monteiro, L.S.; Paiva-Martins, F. Influence of AO chain length, droplet size and oil to water ratio on the distribution and on the activity of gallates in fish oil-in-water emulsified systems: Emulsion and nanoemulsion comparison. Food Chem. 2020, 310, 125716. [Google Scholar] [CrossRef] [Green Version]
- Costa, M.; Freiría-Gándara, J.; Losada-Barreiro, S.; Paiva-Martins, F.; Bravo-Díaz, C. Effects of droplet size on the interfacial concentrations of antioxidants in fish and olive oil-in-water emulsions and nanoemulsions and on their oxidative stability. J. Colloid Interface Sci. 2020, 562, 352–362. [Google Scholar] [CrossRef]
- Raimúndez-Rodríguez, E.A.; Losada-Barreiro, S.; Bravo-Díaz, C. Enhancing the fraction of antioxidants at the interfaces of oil-in-water emulsions: A kinetic and thermodynamic analysis of their partitioning. J. Colloid Interface Sci. 2019, 555, 224–233. [Google Scholar] [CrossRef] [PubMed]
- Mitrus, O.; Żuraw, M.; Losada-Barreiro, S.; Bravo-Díaz, C.; Paiva-Martins, F. Targeting Antioxidants to Interfaces: Control of the Oxidative Stability of Lipid-Based Emulsions. J. Agric. Food Chem. 2019, 67, 3266–3274. [Google Scholar] [CrossRef]
- Bravo-Díaz, C.; Romsted, L.S.; Liu, C.; Losada-Barreiro, S.; Pastoriza-Gallego, M.J.; Gao, X.; Gu, Q.; Krishnan, G.; Sánchez-Paz, V.; Zhang, Y.; et al. To Model Chemical Reactivity in Heterogeneous Emulsions, Think Homogeneous Microemulsions. Langmuir 2015, 31, 8961–8979. [Google Scholar] [CrossRef] [PubMed] [Green Version]
- Romsted, L.S.; Bravo-Díaz, C. Modelling chemical reactivity in emulsions. Curr. Opin. Colloid Interface Sci. 2013, 18, 3–14. [Google Scholar] [CrossRef]
- Neudörffer, A.; Bonnefont-Rousselot, D.; Legrand, A.; Fleury, M.-B.; Largeron, M. 4-Hydroxycinnamic Ethyl Ester Derivatives and Related Dehydrodimers: Relationship between Oxidation Potential and Protective Effects against Oxidation of Low-Density Lipoproteins. J. Agric. Food Chem. 2004, 52, 2084–2091. [Google Scholar] [CrossRef] [PubMed]
- Li, B.; Pai, R.; Di, M.; Aiello, D.; Barnes, M.H.; Butler, M.M.; Tashjian, T.F.; Peet, N.P.; Bowlin, T.L.; Moir, D.T. Coumarin-based inhibitors of Bacillus anthracis and Staphylococcus aureus replicative DNA helicase: Chemical optimization, biological evaluation, and antibacterial activities. J. Med. Chem. 2012, 55, 10896–10908. [Google Scholar] [CrossRef] [PubMed] [Green Version]
- Lou, Z.; Wang, H.; Rao, S.; Sun, J.; Ma, C.; Li, J. p-Coumaric acid kills bacteria through dual damage mechanisms. Food Control. 2012, 25, 550–554. [Google Scholar] [CrossRef]
- Liu, X.; Testa, B.; Fahr, A. Lipophilicity and Its Relationship with Passive Drug Permeation. Pharm. Res. 2011, 28, 962–977. [Google Scholar] [CrossRef] [PubMed]
- Liu, Z.Q.; Ma, L.P.; Liu, Z.L. Making vitamin C lipophilic enhances its protective efect against free radical induced peroxidation of low density lipoprotein. Chem. Phys. Lipids 1998, 95, 49. [Google Scholar] [CrossRef]
- Liu, L.; Jin, C.; Zhang, Y. Lipophilic phenolic compounds (Lipo-PCs): Emerging antioxidants applied in lipid systems. RSC Adv. 2014, 4, 2879–2891. [Google Scholar] [CrossRef]
- Losada-Barreiro, S.; Bravo Díaz, C.; Paiva Martins, F.; Romsted, L.S. Maxima in antioxidant distributions and efficiencies with increasing hydrophobicity of gallic acid and its alkyl esters. The pseudophase model interpretation of the “Cut-off effect”. J. Agric. Food Chem. 2013, 61, 6533–6543. [Google Scholar] [CrossRef] [PubMed]
- Martinez-Aranda, N.; Losada-Barreiro, N.; Bravo-Díaz, C.; Romsted, L.S. Influence of Temperature on the Distribution of Catechin in Corn oil-in-water Emulsions and some Relevant Thermodynamic Parameters. Food Biophys. 2014, 9, 380–388. [Google Scholar] [CrossRef]
- Losada-Barreiro, S.; Sánchez Paz, V.; Bravo-Díaz, C. Effects of emulsifier hydrophile–lipophile balance and emulsifier concentration the distributions of gallic acid, propyl gallate, and a-tocopherol in corn oil emulsions. J. Colloid. Interface Sci. 2013, 389, 1–9. [Google Scholar] [CrossRef]
- Losada-Barreiro, S.; Bravo-Díaz, C.; Costa, M.; Paiva-Martins, F. Distribution of catechol in emulsions. J. Phys. Org. Chem. 2013, 27, 290–296. [Google Scholar] [CrossRef]
- Gao, X.; Bravo-Díaz, C.; Romsted, L.S. Interpreting ion-specific effects on the reduction of an arenediazonium Ion by t-butylhydroquinone (TBHQ) using the pseudophase kinetic model in emulsions prepared with a zwitterionic sulfobetaine surfactant. Langmuir 2013, 29, 4928–4933. [Google Scholar] [CrossRef]
- Gu, Q.; Bravo-Díaz, C.; Romsted, L.S. Using the pseudophase kinetic model to interpret chemical reactivity in ionic emulsions: Determining antioxidant partition constants and interfacial rate constants. J. Colloid. Interface Sci. 2012, 400, 41–48. [Google Scholar] [CrossRef]
- Pastoriza-Gallego, M.J.; Sánchez-Paz, V.; Losada-Barreiro, S.; Bravo-Diaz, C.; Gunaseelan, K.; Romsted, L.S. Effects of Temperature and Emulsifier Concentration on a-Tocopherol Distribution in a Stirred, Fluid, Emulsion. Thermodynamics of a-Tocopherol transfer between the Oil and Interfacial Regions. Langmuir 2009, 25, 2646–2653. [Google Scholar] [CrossRef]
- Pastoriza-Gallego, M.J.; Losada-Barreiro, S.; Bravo Díaz, C. Effects of acidity and emulsifier concentration on the distribution of Vitamin C in a model food emulsion. J. Phys. Org. Chem. 2012, 25, 908–915. [Google Scholar] [CrossRef]
- Losada-Barreiro, S.; Sánchez Paz, V.; Bravo Díaz, C.; Paiva Martins, F.; Romsted, L.S. Temperature and emulsifier concentration effects on gallic acid distribution in a model food emulsion. J. Colloid. Interface Sci. 2012, 370, 73–79. [Google Scholar] [CrossRef]
- Gunaseelan, K.; Romsted, L.S.; González-Romero, E.; Bravo-Díaz, C. Determining Partition Constants of Polar Organic Molecules between the Oil/Interfacial and Water/Interfacial Regions in Emulsions: A Combined Electrochemical and Spectrometric Method. Langmuir 2004, 20, 3047–3055. [Google Scholar] [CrossRef] [PubMed]
- Gunaseelan, K.; Romsted, L.S.; Pastoriza-Gallego, M.J.; González-Romero, E.; Bravo-Díaz, C. Determining a-tocopherol distributions betweeen the Oil, Water and Interfacial Regions of Macroemulsions: Novel Applications of Electrocanalytical Chemistry and a Pseudophase Kinetic Model. Adv. Colloid. Interf. Sci. 2006, 123–126, 303–311. [Google Scholar] [CrossRef] [PubMed]
- Sánchez-Paz, V.; Pastoriza-Gallego, M.J.; Losada-Barreiro, S.; Bravo-Diaz, C.; Gunaseelan, K.; Romsted, L.S. Quantitative determination of a-tocopherol distribution in a tributyrin/Brij 30/water model food emulsion. J. Colloid. Interface Sci. 2008, 320, 1–8. [Google Scholar] [CrossRef] [PubMed]
- Dar, A.A.; Bravo-Diaz, C.; Nazir, N.; Romsted, L.S. Chemical kinetic and chemical trapping methods: Unique approaches for determining respectively the antioxidant distributions and interfacial molarities of water, counter-anions, and other weakly basic nucleophiles in association colloids. Curr. Opin. Colloid Interface Sci. 2017, 32, 84–93. [Google Scholar] [CrossRef]
- Costa, M.; Losada-Barreiro, S.; Paiva-Martins, F.; Bravo-Díaz, C.; Romsted, L.S. A direct correlation between the antioxidant efficiencies of caffeic acid and its alkyl esters and their concentrations in the interfacial region of olive oil emulsions. The pseudophase model interpretation of the “cut-off” effect. Food Chem. 2015, 175, 233–242. [Google Scholar] [CrossRef]
- Litwinienko, G.J. Analysis of Lipid Oxidation, 2nd ed.; Kamal-Eldin, A., Pokorny, Eds.; AOCS Press: Champaign, IL, USA, 2005; p. 152. [Google Scholar]
- Ingold, K.U.; Pratt, D.A. Advances in Radical-Trapping Antioxidant Chemistry in the 21st Century: A Kinetics and Mechanisms Perspective. Chem. Rev. 2014, 114, 9022–9046. [Google Scholar] [CrossRef] [Green Version]
- Valgimigli, L.; Pratt, D.A. Encyclopedia of Radicals in Chemistry, Biology and Materials, 2nd ed.; Chatgilialoglu, C., Studer, A., Eds.; J. Wiley & Sons: West Sussex, UK, 2012; pp. 1–2324. [Google Scholar]
- Freiría-Gándara, J.; Losada-Barreiro, S.; Paiva-Martins, F.; Bravo-Díaz, C. Enhancement of the antioxidant efficiency of gallic acid derivatives in intact fish oil-in-water emulsions through optimization of their interfacial concentrations. Food Funct. 2018, 9, 4429–4442. [Google Scholar] [CrossRef]
- Ferreira, I.; Costa, M.; Losada-Barreiro, S.; Paiva-Martins, F.; Bravo-Díaz, C. Modulating the interfacial concentration of gallates to improve the oxidative stability of fish oil-in-water emulsions. Food Res. Int. 2018, 112, 192–198. [Google Scholar] [CrossRef]
- Losada-Barreiro, S.; Bravo-Díaz, C. Free radicals and polyphenols: The redox chemistry of neurodegenerative diseases. Eur. J. Med. Chem. 2017, 133, 379–402. [Google Scholar] [CrossRef]
- Costa, M.; Losada-Barreiro, S.; Paiva-Martins, F.; Bravo-Diaz, C. Optimizing the efficiency of antioxidants in emulsions by lipophilization: Tuning interfacial concentrations. RSC Adv. 2016, 6, 91483–91493. [Google Scholar] [CrossRef]
- Silva, R.; Losada-Barreiro, S.; Paiva-Martins, F.; Bravo-Díaz, C. Partitioning and antioxidative effect of protocatechuates in soybean oil emulsions: Relevance of emulsifier concentration. Eur. J. Lipid Sci. Technol. 2017, 119, 1600274. [Google Scholar] [CrossRef]
- Losada-Barreiro, S.; Sánchez-Paz, V.; Bravo-Díaz, C. Transfer of antioxidants at the interfaces of model food emulsions: Distributions and thermodynamic parameters. Org. Biomol. Chem. 2015, 13, 876–885. [Google Scholar] [CrossRef] [PubMed]
- Ross, L.; Barclay, C.; Vinqvist, M.R. Phenols as antioxidants. In The Chemistry of Phenols; Rappoport, Z., Ed.; J. Wiley & Sons: West Sussex, UK, 2003; pp. 839–908. [Google Scholar]
- Foti, M.C. Antioxidant properties of phenols. J. Pharm. Pharmacol. 2007, 59, 1673–1685. [Google Scholar] [CrossRef] [PubMed]
- Litwinienko, G.; Ingold, K.U. Solvent Effects on the Rates and Mechanisms of Reaction of Phenols with Free Radicals. Acc. Chem. Res. 2007, 40, 222–230. [Google Scholar] [CrossRef]
- Laguerre, M.; Bayrasy, C.; Lecomte, J.; Chabi, B.; Decker, E.A.; Wrutniak-Cabello, C.; Cabello, G.; Villeneuve, P. How to boost antioxidants by lipophilization? Biochimie 2012, 95, 1–7. [Google Scholar] [CrossRef] [PubMed]
- Medina, I.; Lois, S.; Alcántara, D.; Lucas, L.; Morales, J.C. Effect of lipophilization of hydroxytyrosol on its antioxidant activity in fish oils and fish oil-in-water emulsions. J. Agric. Food Chem. 2009, 57, 9773–9779. [Google Scholar] [CrossRef]
- Losada-Barreiro, S.; Bravo-Díaz, C.; Romsted, L.S. Distributions of phenolic acid antioxidants between the interfacial and aqueous regions of corn oil emulsions: Effects of pH and emulsifier concentration. Eur. J. Lipid Sci. Techol. 2015, 117, 1801–1813. [Google Scholar] [CrossRef]
- Teixeira, J.; Gaspar, A.; Garrido, E.M.; Garrido, J.; Borges, F. Hydroxycinnamic Acid Antioxidants: An Electrochemical Overview. Biomed. Res. Int. 2013, 2013, 1–11. [Google Scholar] [CrossRef] [PubMed]
- Laguerre, M.; López-Giraldo, L.J.; Lecomte, J.; Figueroa-Espinoza, M.J.; Baréa, B.; Weiss, J.; Decker, E.A.; Villeneuve, P. Chain length affects antioxidant properties of chlorogenate esters in emulsion: The cut-off theory behind the polar paradox. J. Agric. Food Chem. 2009, 57, 11335–11342. [Google Scholar] [CrossRef] [PubMed]
- Panya, A.; Laguerre, M.; Bayrasy, C.; Lecomte, J.; Villeneuve, P.; McClements, D.; Decker, E.A. An investigation of the versatile antixoidant mechanism of action of rosmarinate alkyl esters in oil-in-water emulsions. J. Agric. Food Chem. 2012, 60, 2692–2700. [Google Scholar] [CrossRef]
- Balgavý, P.; Devínsky, F. Cut-off effects in biological activities of surfactants. Adv. Colloid. Interf. Sci. 1996, 66, 23–63. [Google Scholar] [CrossRef]
- Muñoz-Marín, J.; De La Cruz, J.P.; Guerrero, A.; López-Leiva, I.; López-Villodres, J.A.; Reyes, J.J.; Espartero, J.L.; Madrona, A.; Labajos, M.T.; González-Correa, J.A. Cytoprotective Effect of Hydroxytyrosyl Alkyl Ether Derivatives after Oral Administration to Rats in a Model of Glucose–Oxygen Deprivation in Brain Slices. J. Agric. Food Chem. 2013, 60, 7659–7667. [Google Scholar] [CrossRef]
- Calderón-Montaño, J.M.; Madrona, A.; Burgos-Moroón, E.; Luis Orta, M.; Mateos, S.; Espartero, J.L.; López-Lázaro, M. Selective Cytotoxic Activity of New Lipophilic Hydroxytyrosol Alkyl Ether Derivatives. J. Agric. Food Chem. 2013, 61, 5046–5053. [Google Scholar] [CrossRef] [PubMed]
- Mateos, R.; Trujillo, M.; Pereira-Caro, G.; Madrona, A.; Cert, A.; Espartero, J.L. New lipophilic tyrosyl esters. Comparative antioxidant evaluation with hydroxytyrosyl esters. J. Agric. Food Chem. 2008, 53, 10960–10966. [Google Scholar] [CrossRef]
- Trujillo, M.; Mateos, R.; Collantes de Teran, L.; Espartero, J.L.; Cert, R.; Jover, M.; Alcudia, F.; Bautista, J.; Cert, A.; Parrado, J. Lipophilic hydroxytyrosyl esters. Antioxidant activity in lipid matrices and biological systems. J. Agric. Food Chem. 2006, 54, 3779–3785. [Google Scholar] [CrossRef]












| Type | Food | Surfactant Employed |
|---|---|---|
| o/w | Milk, Sauces | Phospholipids, Proteins |
| o/w | Parenteral emulsions | Tweens, Proteins |
| o/w | Mayonnaise | Lecithin |
| o/w | Bakery products | Proteins |
| o/w + air | Creams, Ice creams | Sodium casseinate, Carrageenan |
| w/o | Butter and Margarine | Lecithin |
| HLB Range | Application |
|---|---|
| <3 | Surface films |
| 3–6 | Water-in-oil emulsions |
| 7–9 | Wetting agents |
| 8–15 | Oil-in-water emulsions |
| 13–15 | Detergents |
| 15–18 | Solubilizers |
| Antioxidant | Structure | POI | kI (M−1 s−1) | |
|---|---|---|---|---|
| p-Coumaric Acid Esters | ![]() | R = C8H17 (OC) | 39.07 | 0.005 |
| R = C14H29 (TC) | 36.10 | 0.005 | ||
| Caffeic Acid Esters | ![]() | R = C8H17(C8CA) | 513 | 0.053 |
| R = C16H33(C16CA) | 385 | 0.053 |
Publisher’s Note: MDPI stays neutral with regard to jurisdictional claims in published maps and institutional affiliations. |
© 2021 by the authors. Licensee MDPI, Basel, Switzerland. This article is an open access article distributed under the terms and conditions of the Creative Commons Attribution (CC BY) license (https://creativecommons.org/licenses/by/4.0/).
Share and Cite
Costa, M.; Losada-Barreiro, S.; Paiva-Martins, F.; Bravo-Díaz, C. Effects of Surfactant Volume Fraction on the Antioxidant Efficiency and on The Interfacial Concentrations of Octyl and Tetradecyl p-Coumarates in Corn Oil-in-Water Emulsions. Molecules 2021, 26, 6058. https://doi.org/10.3390/molecules26196058
Costa M, Losada-Barreiro S, Paiva-Martins F, Bravo-Díaz C. Effects of Surfactant Volume Fraction on the Antioxidant Efficiency and on The Interfacial Concentrations of Octyl and Tetradecyl p-Coumarates in Corn Oil-in-Water Emulsions. Molecules. 2021; 26(19):6058. https://doi.org/10.3390/molecules26196058
Chicago/Turabian StyleCosta, Marlene, Sonia Losada-Barreiro, Fátima Paiva-Martins, and Carlos Bravo-Díaz. 2021. "Effects of Surfactant Volume Fraction on the Antioxidant Efficiency and on The Interfacial Concentrations of Octyl and Tetradecyl p-Coumarates in Corn Oil-in-Water Emulsions" Molecules 26, no. 19: 6058. https://doi.org/10.3390/molecules26196058
APA StyleCosta, M., Losada-Barreiro, S., Paiva-Martins, F., & Bravo-Díaz, C. (2021). Effects of Surfactant Volume Fraction on the Antioxidant Efficiency and on The Interfacial Concentrations of Octyl and Tetradecyl p-Coumarates in Corn Oil-in-Water Emulsions. Molecules, 26(19), 6058. https://doi.org/10.3390/molecules26196058



