Study of Titanium–Silver Monolayer and Multilayer Films for Protective Applications in Biomedical Devices
Abstract
1. Introduction
2. Analysis of Results
2.1. Characterization of Deposited Films
2.1.1. Morphological Analysis
2.1.2. Structural Characterization of Films
2.1.3. Wettability Analysis
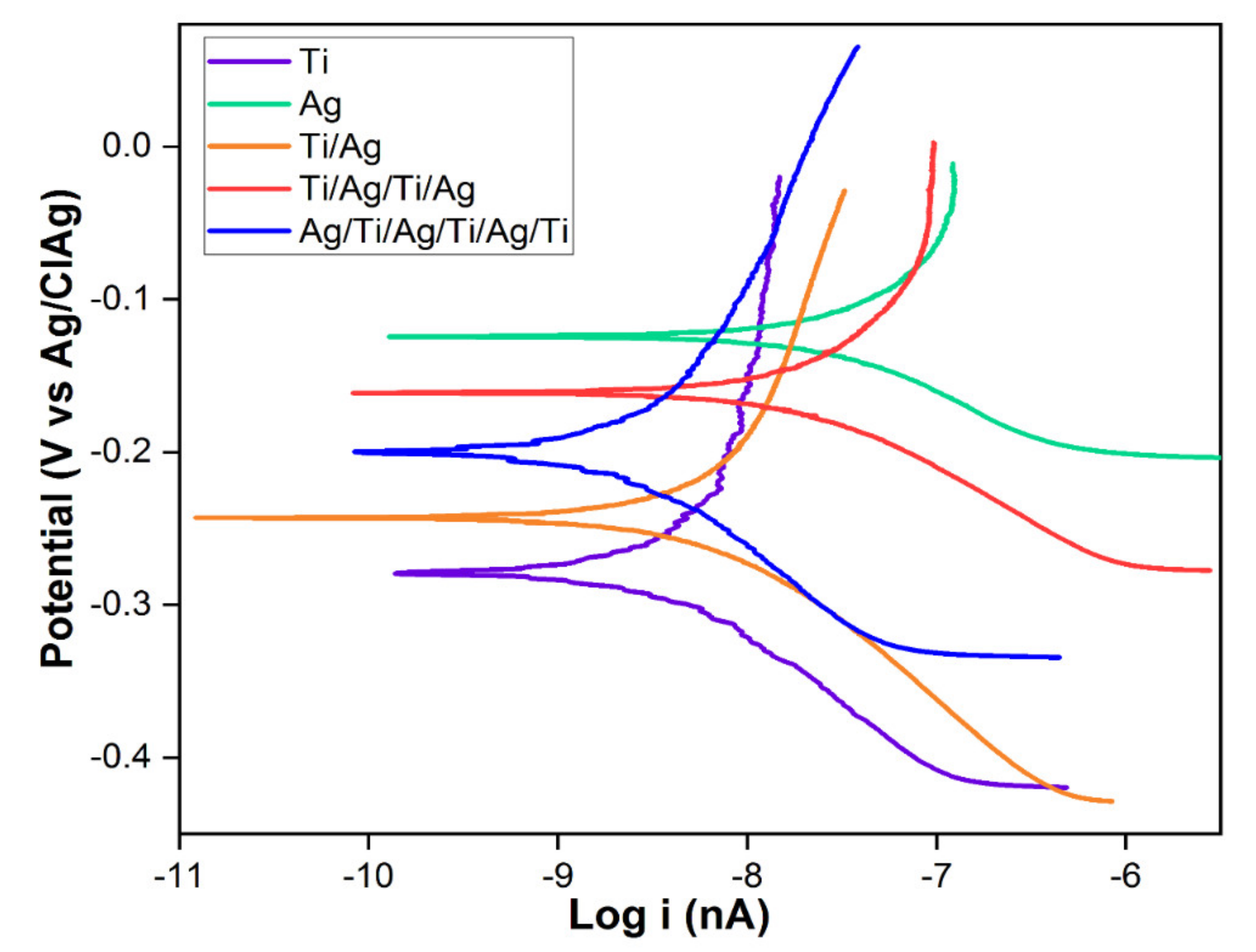
2.1.4. Corrosion Study of the Films
2.2. Microbiological Analysis
3. Materials and Methods
3.1. Materials
3.2. Deposition of the Films by Magnetron Sputtering
3.3. Characterization of the Films
3.3.1. Morphological Analysis and X-ray Diffraction
3.3.2. Wettability Studies
3.3.3. Corrosion of the Films
3.4. Antimicrobial Activity of the Films
4. Conclusions
Author Contributions
Funding
Institutional Review Board Statement
Informed Consent Statement
Data Availability Statement
Conflicts of Interest
Sample Availability
References
- Ramírez-Mora, E. Obtención, Caracterización y Evaluación de Películas Delgadas de Ti y TiO2 para el Control de la Corrosión en Medios Fisiológicos Clorurados. Master’s Thesis, Unidad Altamira, Medellín, Colombia, 2008. [Google Scholar]
- Etiemble, A.; Lopes, C.; Bouala, G.I.N.; Borges, J.; Malchère, A.; Langlois, C.; Vaz, F.; Steyer, P. Fracture resistance of Ti-Ag thin films deposited on polymeric substrates for biosignal acquisition applications. Surf. Coat. Technol. 2019, 358, 646–653. [Google Scholar] [CrossRef]
- Fonseca-García, A.; Pérez-Alvarez, J.; Barrera, C.; Medina, J.; Almaguer-Flores, A.; Basurto, R.; Rodil, S. The effect of simulated inflammatory conditions on the surface properties of titanium and stainless steel and their importance as biomaterials. Mater. Sci. Eng. C 2016, 66, 119–129. [Google Scholar] [CrossRef]
- Fox, K.; Mani, N.; Rifai, A.; Reineck, P.; Jones, A.; Tran, P.A.; Ramezannejad, A.; Brandt, M.; Gibson, B.C.; Greentree, A.D.; et al. 3D-Printed Diamond–Titanium Composite: A Hybrid Material for Implant Engineering. ACS Appl. Bio Mater. 2020, 3, 29–36. [Google Scholar] [CrossRef]
- Babaie, E.; Bhaduri, S.B. Fabrication Aspects of Porous Biomaterials in Orthopedic Applications: A Review. ACS Biomater. Sci. Eng. 2018, 4, 19. [Google Scholar] [CrossRef] [PubMed]
- Orgaz, F.; Rincon, J.; Capel, F. Materiales bioceramicos y biovidrios. Bol. Soc. Esp. Ceram. Vidr. 1987, 26, 13–19. [Google Scholar]
- Zhu, Y.; Sheng, Y.; Zheng, L.; Qin, L.; Ngai, T. Poly(l-lactic acid) (PLLA) Coatings with Controllable Hierarchical Porous Structures on Magnesium Substrate: An Evaluation of Corrosion Behavior and Cytocompatibility. ACS Appl. Bio Mater. 2019, 2, 3843–3853. [Google Scholar] [CrossRef]
- El-Katori, E.; Al-Angari, M.; Abousalem, S. Corrosion mitigation of carbon steel by spin coating with Ag–TiO2 gel films in acidic solution: Fabrication, characterization, electrochemical and quantum chemical approaches. Surf. Coat. Technol. 2019, 374, 852–867. [Google Scholar] [CrossRef]
- Li, B.; Webster, T. Calcium Phosphate Coatings for Metallic Orthopedic Biomaterials. In Orthopedic Biomaterials: Advances and Applications; Springer International Publishing: Cham, Switzerland, 2017; pp. 167–186. [Google Scholar]
- Unosson, E.; Rodriguez, D.; Welch, K.; Engqvist, H. Reactive combinatorial synthesis and characterization of a gradient Ag–Ti oxide thin film with antibacterial properties. Surf. Coat. Technol. 2019, 374, 503–510. [Google Scholar] [CrossRef]
- Lopes, C.; Gabor, C.; Cristea, D.; Costa, R.; Domingues, R.P.; Rodrigues, M.S.; Borges, J.; Alves, E.; Barradas, N.P.; Munteanu, D.; et al. Evolution of the mechanical properties of Ti-based intermetallic thin films doped with different metals to be used as biomedical devices. Appl. Surf. Sci. 2020, 505, 144617. [Google Scholar] [CrossRef]
- Cheng, Y.; Zhang, J.; Wang, Y. Deposition of catechol-functionalized chitosan and silver nanoparticles on biomedical titanium surfaces for antibacterial application. Mater. Sci. Eng. C 2019, 98, 649–656. [Google Scholar] [CrossRef]
- Fiori-Duarte, T.; de Paiva, R.E.F.; Manzano, C.M.; Lustri, W.R.; Corbi, P.P. Silver(I) and gold(I) complexes with sulfasalazine: Spectroscopic characterization, theoretical studies and antiproliferative activities over Gram-positive and Gram-negative bacterial strains. J. Mol. Struct. 2020, 1214, 128158. [Google Scholar] [CrossRef]
- Farjadian, F.; Akbarizadeh, A.R.; Tayebi, L. Synthesis of novel reducing agent for formation of metronidazole-capped silver nanoparticle and evaluating antibacterial efficiency in gram-positive and gram-negative bacteria. Heliyon 2020, 6, e04747. [Google Scholar] [CrossRef] [PubMed]
- Cochis, A.; Azzimonti, B.; Chiesa, R.; Rimondini, L.; Gasik, M. Metallurgical Gallium Additions to Titanium Alloys Demonstrate a Strong Time-Increasing Antibacterial Activity without any Cellular Toxicity. ACS Biomater. Sci. Eng. 2019, 5, 2815–2820. [Google Scholar] [CrossRef] [PubMed]
- Espinel, M.; Geovanna, E. Obtención de Películas Delgadas de Dióxido de Titanio Sobre Superficies Vítreas para Generar Propiedades Autolimpiables. Ph.D. Thesis, Escuela Politécnica Nacional, Quito, Ecuador, 4 July 2016. [Google Scholar]
- Simon, A.T.; Dutta, D.; Chattopadhyay, A.; Ghosh, S.S. Copper Nanocluster-Doped Luminescent Hydroxyapatite Nanoparticles for Antibacterial and Antibiofilm Applications. ACS Omega 2019, 4, 4697–4706. [Google Scholar] [CrossRef] [PubMed]
- Ferraris, S.; Spriano, S. Antibacterial titanium surfaces for medical implants. Mater. Sci. Eng. C 2016, 61, 965–978. [Google Scholar] [CrossRef] [PubMed]
- Vallejo, W.; Diaz-Urive, C.; Navarro, K.; Valle, R.; Arboleda, J.W.; Romero, E. Estudio de la actividad antimicrobiana de películas delgadas de dióxido de titanio modificado con plata. Rev. Acad. Colomb. Cienc. Exact. Fis. Nat. 2016, 40, 69–74. [Google Scholar] [CrossRef][Green Version]
- Wang, P.-L.; Xie, L.-H.; Joseph, E.A.; Li, J.-R.; Su, X.-O.; Zhou, H.-C. Metal–Organic Frameworks for Food Safety. Chem. Rev. 2019, 119, 10638–10690. [Google Scholar] [CrossRef] [PubMed]
- Kaur, M.; Singh, K. Review on titanium and titanium based alloys as biomaterials for orthopaedic applications. Mater. Sci. Eng. C 2019, 102, 844–862. [Google Scholar] [CrossRef]
- Lopes, C.; Goncalves, C.; Pedrosa, P.; Macedo, F.; Fonseca, C. TiAgx thin films for lower limb prosthesis pressure sensors: Effect of composition and structural changes on the electrical and thermal response of the films. Appl. Surf. Sci. 2013, 285, 10–18. [Google Scholar] [CrossRef]
- Fang, J.; Hsueh, Y.-Y.; Soto, J.; Sun, W.; Wang, J.; Gu, Z.; Khademhosseini, A.; Li, S. Engineering Biomaterials with Micro/Nanotechnologies for Cell Reprogramming. ACS Nano 2020, 14, 1296–1318. [Google Scholar] [CrossRef]
- Benea, L.; Răvoiu, A.; Celis, J.-P. Anticorrosion Performance of the Electrochemically Grown Mixed Porous Oxide Films on Titanium Alloy in Biological Solution. ACS Biomater. Sci. Eng. 2019, 5, 5925–5934. [Google Scholar] [CrossRef]
- Filipović, U.; Dahmane, R.G.; Ghannouchi, S.; Zore, A.; Bohinc, K. Bacterial adhesion on orthopedic implants. Adv. Colloid Interface Sci. 2020, 283, 102228. [Google Scholar] [CrossRef]
- Khatoon, Z.; McTiernan, C.D.; Suuronen, E.J.; Mah, T.-F.; Alarcon, E.I. Bacterial biofilm formation on implantable devices and approaches to its treatment and prevention. Heliyon 2018, 4, e01067. [Google Scholar] [CrossRef]
- Ricardo, S.I.; Anjos, I.L.; Monge, N.; Faustino, C.M.; Ribeiro, I.C. A Glance at Antimicrobial Strategies to Prevent Catheter-Associated Medical Infections. ACS Infect. Dis. 2020, 6, 3109–3130. [Google Scholar] [CrossRef]
- Giles, C.; Lamont, S.J.; Michl, T.D.; Griesser, H.J.; Coad, B.R. The importance of fungal pathogens and antifungal coatings in medical device infections. Biotechnol. Adv. 2018, 36, 264–280. [Google Scholar] [CrossRef]
- Liu, Q.; Wang, W.; Liu, W.; Tang, Y.; Liu, J.; Zhang, H.; Liu, X.; Liu, J.; Yang, J.; Zhang, L.-C.; et al. Multi-scale Hybrid Modified Coatings on Titanium Implants for Non-cytotoxicity and Antibacterial Properties. Nanoscale 2021, 13, 10587–10599. [Google Scholar] [CrossRef]
- Wang, Q.; Zhou, P.; Liu, S.; Attarilar, S.; Wang-Ma, R.L.; Zhong, Y.; Wang, L. Multi-Scale Surface Treatments of Titanium Implants for Rapid Osseointegration: A Review. Nanomaterials 2020, 10, 1244. [Google Scholar] [CrossRef] [PubMed]
- Jin, G.; Qin, H.; Cao, H.; Qian, S.; Zhao, Y.; Peng, X.; Zhang, X.; Liu, X.; Chu, P. Synergistic effects of dual Zn/Ag ion implantation in osteogenic activity and antibacterial ability of titanium. Biomaterials 2014, 35, 7699–7713. [Google Scholar] [CrossRef] [PubMed]
- Yang, Z.; Gu, H.; Sha, G.; Lu, W.; Yu, W.; Zhang, W.; Fu, Y.; Wang, K.; Wang, L. TC4/Ag Metal Matrix Nanocomposites Modified by Friction Stir Processing: Surface Characterization, Antibacterial Property, and Cytotoxicity in Vitro. ACS Appl. Mater. Interfaces 2018, 10, 41155–41166. [Google Scholar] [CrossRef] [PubMed]
- Van Hengel, I.A.J.; Gelderman, F.S.A.; Athanasiadis, S.; Minneboo, M.; Weinans, H.; Fluit, A.C.; van der Eerden, B.C.J.; Fratila-Apachitei, L.E.; Apachitei, I.; Zadpoor, A.A. Functionality-packed additively manufactured porous titanium implants. Mater. Today Bio 2020, 7, 100060. [Google Scholar] [CrossRef] [PubMed]
- Correa, F.; Caicedo, J.C.; Aperador, W.; Rincón, C.A.; Bejarano, G. Mejoramiento de la resistencia a la corrosión del acero AISI 4140 utilizando multicapas de titanio/nitruro de titanio. Rev. Fac. Ing. Univ. Antioq. 2008, 46, 7–10. [Google Scholar]
- Peng, C.; Zhao, Y.; Jin, S.; Wang, J.R.; Liu, R.; Liu, H.; Shi, W.; Kolawole, S.K.; Ren, L.; Yu, B.; et al. Antibacterial TiCu/TiCuN Multilayer Films with Good Corrosion Resistance Deposited by Axial Magnetic Field-Enhanced Arc Ion Plating. ACS Appl. Mater. Interfaces 2019, 11, 125–136. [Google Scholar] [CrossRef]
- Katir, N.; Marcotte, N.; Michlewska, S.; Ionov, M.; El Brahmi, N.; Bousmina, M.; Majoral, J.P.; Bryszewska, M.; El Kadib, A. Dendrimer for Templating the Growth of Porous Catechol-Coordinated Titanium Dioxide Frameworks: Toward Hemocompatible Nanomaterials. ACS Appl. Nano Mater. 2019, 2, 2979–2990. [Google Scholar] [CrossRef]
- Rius, D.R.; Girona, E.V.; de Gracia, E.R. Electrodeposición de recubrimientos de fosfato de calcio sobre titanio. Biomecánica 2018, 26, 18–24. [Google Scholar] [CrossRef]
- Abdu-Aliyu, A.; Abdul-Rani, A.; Rao, T.; Axinte, E.; Hastuty, S.; Parameswari, R.; Subramaniam, J.; Thyagarajan, S. Characterization, adhesion strength and in-vitro cytotoxicity investigation of hydroxyapatite coating synthesized on Zr-based BMG by electro discharge process. Surf. Coat. Technol. 2019, 370, 213–226. [Google Scholar] [CrossRef]
- Angarita, L.-G. Síntesis de Películas Delgadas por la Técnica de Magnetrón Sputtering a Partir de Blancos de Renio y Boro. Mater’s Thesis, Universidad EAFIT, Medellin, Colombia, 2017; pp. 4–33. Available online: http://hdl.handle.net/10784/11822 (accessed on 15 May 2021).
- Carlos-Chilo, A. Implementación de Sistema de Crecimiento de Películas Delgadas por la Técnica Pulverización Catódica, para el Crecimiento y Caracterización Estructural de Películas Delgadas de In2O3 Dopado con Sn y Cr. Ph.D. Thesis, Universidad Nacional de San Agustín de Arequipa, Arequipa, Peru, 2019; pp. 7–8. Available online: http://repositorio.unsa.edu.pe/handle/UNSA/9474 (accessed on 15 May 2021).
- Contreras-Romero, E.E. Desarrollo de Recubrimientos Monocapa (CNx, TiBC, TiBCN) Y Multicapa (CrVN/TiN) Mediante Pulverización Catódica Magnetrón Aplicados Sobre Acero AISI H13 para el Mejoramiento de sus Prestaciones Mecánicas y Tribológicas. Master’s Thesis, Facultad de Ingeniería, Universidad de Antioquia, Medellín, Colombia, 2017; p. 179. Available online: ContrerasRomero_2017_DesarrolloRecubrimientosMonocapa.pdf (accessed on 15 May 2021).
- Castro-Martínez, L.; Del Real Romero, J.C.; Montes, J.R. Procesos Industriales para Materiales no Metálicos, 2nd ed.; Editorial Visión NET: Madrid, Spain, 2010; p. 163. [Google Scholar]
- Lorenzetti, M.; Dogša, I.; Stošicki, T.; Stopar, D.; Kalin, M.; Kobe, S.; Novak, S. The Influence of Surface Modification on Bacterial Adhesion to Titanium-Based Substrates. ACS Appl. Mater. Interfaces 2015, 7, 1644–1651. [Google Scholar] [CrossRef]
- Subramanian, B.; Chukwuike, V.I.; Shtansky, D.V. Biocompatibility study of nanocomposite titanium boron nitride (TiBN) thin films for orthopedic implant applications. Surf. Coat. Technol. 2021, 410, 126968. [Google Scholar] [CrossRef]
- Weerachawanasak, P.; Praserthdam, P.; Arai, M.; Panpranot, J. A comparative study of strong metal–support interaction and catalytic behavior of Pd catalysts supported on micron- and nano-sized TiO2 in liquid-phase selective hydrogenation of phenylacetylene. J. Mol. Catal. Chem. 2008, 279, 133–139. [Google Scholar] [CrossRef]
- Amouzad, S.; Khosravi, M.; Monadi, N.; Haghighi, B.; Allakhverdiev, S.I. Photo-electrochemistry of metallic titanium/mixed phase titanium oxide. Int. J. Hydrog. Energy 2021, 46, 19433–19445. [Google Scholar] [CrossRef]
- Ma, Z.; Liu, J.; Liu, Y.; Zheng, X.; Tang, K. Green synthesis of silver nanoparticles using soluble soybean polysaccharide and their application in antibacterial coatings. Int. J. Biol. Macromol. 2021, 166, 567–577. [Google Scholar] [CrossRef]
- Zou, J.; Gao, L.; Li, X.; Xue, Z.; Sun, L.; Liang, S. Microstructure and properties of Ag-Ti bimetal cathode materials by vacuum diffusion bonding for gold hydrometallurgy. J. Manuf. Process. 2020, 58, 1251–1256. [Google Scholar] [CrossRef]
- Lenis, J.A.; Pico, P.; Ribelles, J.G.; Pacha-Olivenza, M.A.; Gonzalez-Martin, M.L.; Bolivar, F.J. Structure, morphology, adhesion and in vitro biological evaluation of antibacterial multi-layer HA-Ag/SiO2/TiN/Ti coatings obtained by RF magnetron sputtering for biomedical applications. Mater. Sci. Eng. C 2020, 116, 111268. [Google Scholar] [CrossRef]
- Matykina, E.; Garcia, I.; de Damborenea, J.J.; Arenas, M.A. Comparative determination of TiO2 surface free energies for adhesive bonding application. Int. J. Adhes. Adhes. 2011, 31, 832–839. [Google Scholar] [CrossRef]
- Alferez, F.-L.; Olaya, J.J.; Bautista, J.H. Síntesis y evaluación de resistencia a la corrosión de recubrimientos de SiO2-TiO2-ZrO2-BiO2 sobre acero inoxidable 316L producidos por sol-gel. Bol. Soc. Esp. Cerám. Vidr. 2018, 57, 195–206. [Google Scholar] [CrossRef]
- Krainer, S.; Hirn, U. Contact angle measurement on porous substrates: Effect of liquid absorption and drop size. Colloids Surf. Physicochem. Eng. Asp. 2021, 619, 126503. [Google Scholar] [CrossRef]
- Kumari, R.; Majumdar, J.D. Studies on corrosion resistance and bio-activity of plasma spray deposited hydroxylapatite (HA) based TiO2 and ZrO2 dispersed composite coatings on titanium alloy (Ti-6Al-4V) and the same after post spray heat treatment. Appl. Surf. Sci. 2017, 420, 935–943. [Google Scholar] [CrossRef]
- Cárdenas, M.J. Evaluación de la Resistencia a la Corrosión de Recubrimientos de BixTiyOz, Depositados Mediante el Sistema de Sputtering Magnetrón. Master’s Thesis, Universidad Nacional de Colombia, Bogotá, Colombia, 2017; pp. 83–94. [Google Scholar]
- Lekeshmanaswamy, M.; Anusiyadevi, K. Biosynthesis of silver nanoparticles using Pergularia daemia (Hamilton, 1822) leaf extract and its enhanced antibacterial activity against gram negative bacteria (Escherichia coli). Mater. Today Proc. 2020, in press. [Google Scholar] [CrossRef]
- Patil, V.; Mahajan, S.; Kulkarni, M.; Patil, K.; Rode, C.; Coronas, A.; Yi, G.-R. Synthesis of silver nanoparticles colloids in imidazolium halide ionic liquids and their antibacterial activities for gram-positive and gram-negative bacteria. Chemosphere 2020, 243, 125302. [Google Scholar] [CrossRef] [PubMed]
- Kathiravan, M.K.; Salakeb, A.B.; Chothe, A.S.; Dudhe, P.B.; Watode, R.P.; Mukta, M.S.; Gadhwe, S. The biology and chemistry of antifungal agents: A review. Bioorg. Med. Chem. 2012, 20, 5678–5698. [Google Scholar] [CrossRef]
- Wang, S.; Huang, Q.; Liu, X.; Li, Z.; Yang, H.; Lu, Z. Rapid Antibiofilm Effect of Ag/ZnO Nanocomposites Assisted by Dental LED Curing Light against Facultative Anaerobic Oral Pathogen Streptococcus mutans. ACS Biomater. Sci. Eng. 2019, 5, 2030–2040. [Google Scholar] [CrossRef]
- Pal, A.; Goswami, R.; Roy, D.N. A critical assessment on biochemical and molecular mechanisms of toxicity developed by emerging nanomaterials on important microbes. Environ. Nanotechnol. Monit. Manag. 2021, 16, 100485. [Google Scholar] [CrossRef]
- Agency for Toxic Substances and Disease Registry (ATSDR). Toxicological Profile for Silver; Department of Health and Human Services, Public Health Service: Atlanta, GA, USA, 1999. Available online: https://www.atsdr.cdc.gov/toxfaqs/tfacts146.pdf (accessed on 15 May 2021).
- Hu, B.; Yin, N.; Yang, R.; Liang, S.; Liang, S.; Faiola, F. Silver nanoparticles (AgNPs) and AgNO3 perturb the specification of human hepatocyte-like cells and cardiomyocytes. Sci. Total Environ. 2020, 725, 138433. [Google Scholar] [CrossRef] [PubMed]






| Film | Surface Energy (mJ.m2) | ||||
|---|---|---|---|---|---|
| Propylene Carbonate | Glycerin | Formamide | Hartmann’s Solution | Water | |
| Ag | 78.091 | 100.950 | 94.825 | 89.178 | 109.964 |
| Ti | 77.308 | 93.804 | 99.273 | 91.116 | 101.905 |
| Ti/Ag | 79.577 | 81.824 | 95.635 | 97.405 | 115.075 |
| Ti/Ag/Ti/Ag | 76.601 | 92.420 | 98.428 | 92.614 | 111.908 |
| Ag/Ti/Ag/Ti/Ag/Ti | 77.228 | 101.342 | 86.296 | 90.032 | 106.383 |
| Coating | Tafel Extrapolation | ||
|---|---|---|---|
| Ecorr (V) | Icorr (nA) | Jcorr (nA·cm−2) | |
| Ti | −0.2791 | 4.639 | 0.2899 |
| Ag | −0.1239 | 32.70 | 2.044 |
| Ti/Ag | −0.2434 | 7.684 | 0.4802 |
| Ti/Ag/Ti/Ag | −0.1609 | 22.38 | 1.399 |
| Ag/Ti/Ag/Ti/Ag/Ti | −0.2002 | 2.798 | 0.1749 |
| Coating | Adherence Percentage (%) | |||||
|---|---|---|---|---|---|---|
| Pseudomonas aeruginosa | Bacilus subtilis | Cándida krusei | Cándida albicans | |||
| 48 h | 96 h | 48 h | 96 h | |||
| Glass | 0.11 | 8.33 | 2.39 | 2.45 | 0.41 | 0.44 |
| Ag | 2.57 | 16.67 | 2.49 | 2.60 | 0.73 | 1.13 |
| Ti | 5.24 | 27.08 | 4.23 | 4.31 | 2.30 | 2.22 |
| Ti/Ag | 0.17 | 1.08 | 3.48 | 3.43 | 0.32 | 0.44 |
| Ti/Ag/Ti/Ag | 1.58 | 5.25 | 6.12 | 6.03 | 3.31 | 3.35 |
| Ag/Ti/Ag/Ti/Ag/Ti | 1.27 | 1.33 | 3.13 | 3.19 | 0.16 | 0.15 |
| Strain | Coating | p-Tukey | ||||||
|---|---|---|---|---|---|---|---|---|
| Glass | Ti | Ag | Ti/Ag | Ti/Ag/Ti/Ag | Ag/Ti/Ag/Ti/Ag/Ti | |||
| C. krusei | 48 h | X | X | X | X | X | 0.0091 | |
| 96 h | X | X | X | 0.0183 | ||||
| C. albicans | 48 h | X | X | X | X | X | X | 0.0459 |
| 96 h | X | X | 0.0348 | |||||
| B. subtilis | X | X | X | X | 0.0004 | |||
| P. aeruginosa | X | X | X | X | X | X | <0.0001 | |
| Coating | Strain | |||||
|---|---|---|---|---|---|---|
| Cándida krusei | Cándida albicans | Bacilus subtilis | Pseudomonas aeruginosa | |||
| 48h | 96h | 48h | 96h | |||
| Ag | 0.0158 | |||||
| Ti/Ag | 0.0434 | 0.0064 | 0.0003 | |||
| Ti/Ag/Ti/Ag | 0.009 | 0.0016 | ||||
| Ag/Ti/Ag/Ti/Ag/Ti | 0.0326 | 0.0198 | 0.0067 | 0.0013 | ||
| Film | Power (KW) | Pressure (×10−3) mBar |
|---|---|---|
| Ag | 10.9 | 4.8 |
| Ti | 56 | 2.1 |
| Ti/Ag | 56/11.5 | 2.1/5 |
| Ti/Ag/Ti/Ag | 56/11.5/34/15 | 2.1/5/3.3/4.9 |
| Ag/Ti/Ag/Ti/Ag/Ti | 10.9/56/11.5/34/15/40.2 | 4.8/2.1/5/3.3/4.9/2.3 |
| Ions | Na+ | K+ | Ca2+ | Cl− | pH |
|---|---|---|---|---|---|
| Blood plasma | 142.0 | 5.0 | 2.5 | 103.0 | 7.2–7.4 |
| Ringer’s lactate | 131.0 | 5.0 | 4.0 | 111.0 | 6.0–7.5 |
Publisher’s Note: MDPI stays neutral with regard to jurisdictional claims in published maps and institutional affiliations. |
© 2021 by the authors. Licensee MDPI, Basel, Switzerland. This article is an open access article distributed under the terms and conditions of the Creative Commons Attribution (CC BY) license (https://creativecommons.org/licenses/by/4.0/).
Share and Cite
Mina-Aponzá, S.; Castro-Narváez, S.P.; Caicedo-Bejarano, L.D.; Bermeo-Acosta, F. Study of Titanium–Silver Monolayer and Multilayer Films for Protective Applications in Biomedical Devices. Molecules 2021, 26, 4813. https://doi.org/10.3390/molecules26164813
Mina-Aponzá S, Castro-Narváez SP, Caicedo-Bejarano LD, Bermeo-Acosta F. Study of Titanium–Silver Monolayer and Multilayer Films for Protective Applications in Biomedical Devices. Molecules. 2021; 26(16):4813. https://doi.org/10.3390/molecules26164813
Chicago/Turabian StyleMina-Aponzá, Sebastián, Sandra Patricia Castro-Narváez, Luz Dary Caicedo-Bejarano, and Franklin Bermeo-Acosta. 2021. "Study of Titanium–Silver Monolayer and Multilayer Films for Protective Applications in Biomedical Devices" Molecules 26, no. 16: 4813. https://doi.org/10.3390/molecules26164813
APA StyleMina-Aponzá, S., Castro-Narváez, S. P., Caicedo-Bejarano, L. D., & Bermeo-Acosta, F. (2021). Study of Titanium–Silver Monolayer and Multilayer Films for Protective Applications in Biomedical Devices. Molecules, 26(16), 4813. https://doi.org/10.3390/molecules26164813

