Characterization of Magnesium-Polylactic Acid Films Casted on Different Substrates and Doped with Diverse Amounts of CTAB
Abstract
:1. Introduction
2. Materials and Methods
2.1. Films Preparation
2.2. Contact Angle Measurement
2.3. Surface Structure Characterization
2.4. Surface and Depth Profile Chemical Composition
3. Results and Discussion
3.1. Surface Analysis of the Films
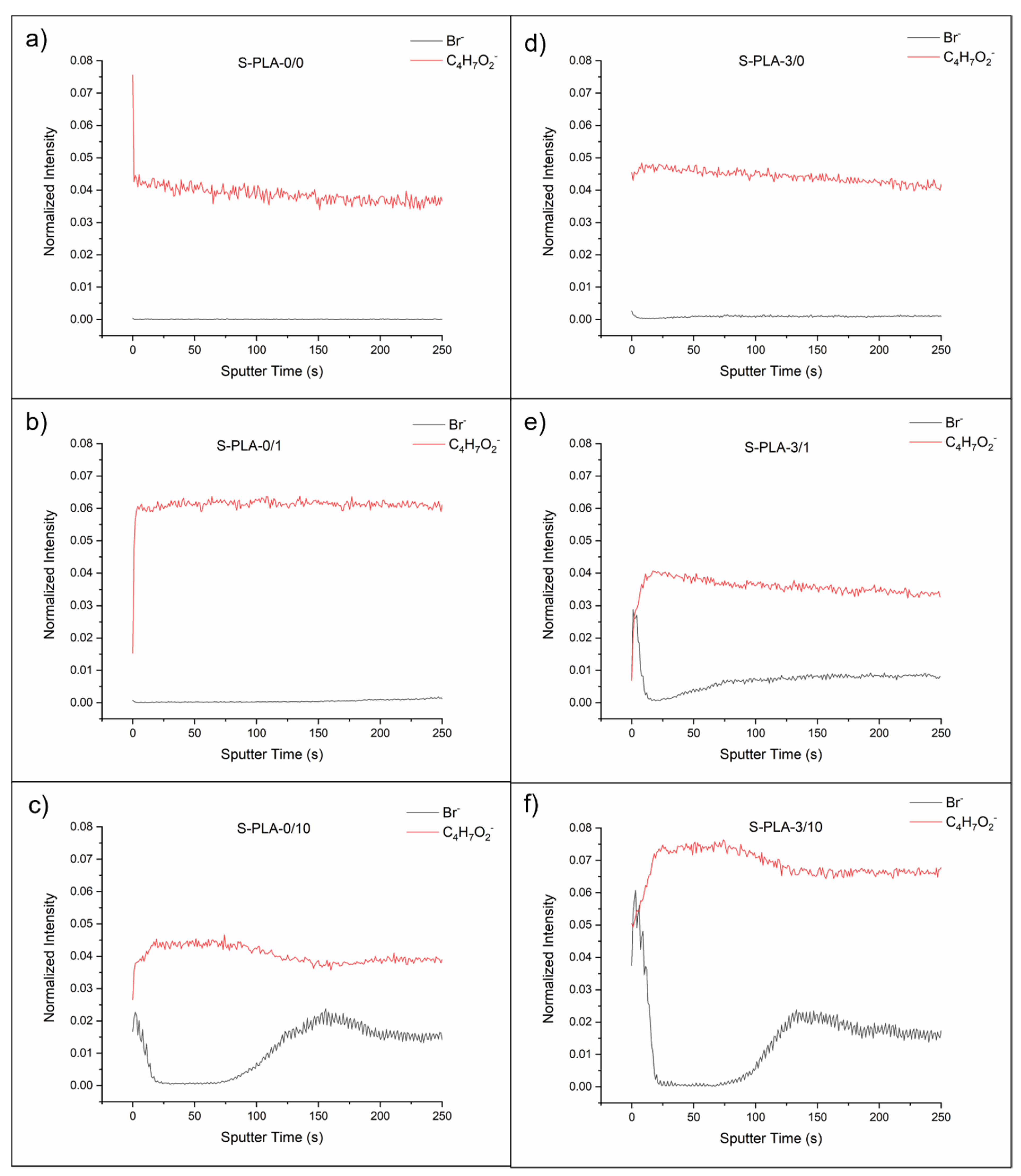
3.2. Internal Analysis of Films
4. Conclusions
Supplementary Materials
Author Contributions
Funding
Institutional Review Board Statement
Informed Consent Statement
Data Availability Statement
Acknowledgments
Conflicts of Interest
Sample Availability
References
- Sharma, R.; Jafari, S.M.; Sharma, S. Antimicrobial bio-nanocomposites and their potential applications in food packaging. Food Control 2020, 112, 107086. [Google Scholar] [CrossRef]
- Murariu, M.; Dubois, P. PLA composites: From production to properties. Adv. Drug Deliv. Rev. 2016, 107, 17–46. [Google Scholar] [CrossRef] [PubMed]
- Rasal, R.M.; Janorkar, A.V.; Hirt, D.E. Poly(lactic acid) modifications. Prog. Polym. Sci. 2010, 35, 338–356. [Google Scholar] [CrossRef]
- Abou-Zeid, R.E.; Diab, M.A.; Mohamed, S.A.A.; Salama, A.; Aljohani, H.A.; Shoueir, K.R. Surfactant-assisted poly(lactic acid)/cellulose nanocrystal bionanocomposite for potential application in paper coating. J. Renew. Mater. 2018, 6, 394–401. [Google Scholar] [CrossRef]
- Arrieta, M.P.; Fortunati, E.; Dominici, F.; Rayón, E.; López, J.; Kenny, J.M. PLA-PHB/cellulose based films: Mechanical, barrier and disintegration properties. Polym. Degrad. Stab. 2014, 107, 139–149. [Google Scholar] [CrossRef]
- Silva, C.G.; Campini, P.A.L.; Rocha, D.B.; Rosa, D.S. The influence of treated eucalyptus microfibers on the properties of PLA biocomposites. Compos. Sci. Technol. 2019, 179, 54–62. [Google Scholar] [CrossRef]
- Zhou, H.; Nabiyouni, M.; Lin, B.; Bhaduri, S.B. Fabrication of novel poly(lactic acid)/amorphous magnesium phosphate bionanocomposite fibers for tissue engineering applications via electrospinning. Mater. Sci. Eng. C 2013, 33, 2302–2310. [Google Scholar] [CrossRef]
- Kim, H.W.; Lee, H.H.; Knowles, J.C. Knowles Electrospinning biomedical nanocomposite fibers of hydroxyapaite/poly(lactic acid) for bone regeneration. J. Biomed. Mater. Res. Part A 2006, 79, 643–649. [Google Scholar] [CrossRef]
- Fernández-Montero, A.; Lieblich, M.; Benavente, R.; González-Carrasco, J.L.; Ferrari, B. New approach to improve polymer-Mg interface in biodegradable PLA/Mg composites through particle surface modification. Surf. Coat. Technol. 2020, 383, 125285. [Google Scholar] [CrossRef]
- Fernández-Montero, A.; Lieblich, M.; Benavente, R.; González-Carrasco, J.L.; Ferrari, B. Study of the matrix-filler interface in PLA/Mg composites manufactured by Material Extrusion using a colloidal feedstock. Addit. Manuf. 2020, 33, 101142. [Google Scholar] [CrossRef]
- Luque-Agudo, V.; Fernández-Calderón, M.C.; Pacha-Olivenza, M.A.; Pérez-Giraldo, C.; Gallardo-Moreno, A.M.; González-Martín, M.L. The role of magnesium in biomaterials related infections. Colloids Surf. B Biointerfaces 2020, 191, 110996. [Google Scholar] [CrossRef] [PubMed]
- Witte, F. The history of biodegradable magnesium implants: A review. Acta Biomater. 2010, 6, 1680–1692, reprinted in Acta Biomater. 2015, 23, S28–S40. [Google Scholar] [CrossRef] [PubMed]
- Cifuentes, S.C.; Frutos, E.; González-Carrasco, J.L.; Muñoz, M.; Multigner, M.; Chao, J.; Benavente, R.; Lieblich, M. Novel PLLA/magnesium composite for orthopedic applications: A proof of concept. Mater. Lett. 2012, 74, 239–242. [Google Scholar] [CrossRef] [Green Version]
- Lee, J.H.; Khang, G.; Lee, J.W.; Lee, H.B. Interaction of different types of cells on polymer surfaces with wettability gradient. J. Colloid Interface Sci. 1998, 205, 323–330. [Google Scholar] [CrossRef] [PubMed]
- Arima, Y.; Iwata, H. Effect of wettability and surface functional groups on protein adsorption and cell adhesion using well-defined mixed self-assembled monolayers. Biomaterials 2007, 28, 3074–3082. [Google Scholar] [CrossRef]
- Zhang, J.; Severtson, S.J. Characterizing the distribution of sodium alkyl sulfate surfactant homologues in water-based, acrylic pressure-sensitive adhesive films. J. Phys. Chem. B 2011, 115, 8138–8144. [Google Scholar] [CrossRef]
- Kiss, É.; Bertóti, I.; Vargha-Butler, E.I. XPS and wettability characterization of modified poly(lactic acid) and poly(lactic/glycolic acid) films. J. Colloid Interface Sci. 2002, 245, 91–98. [Google Scholar] [CrossRef]
- Kiss, É.; Takács, M.G.; Bertóti, I.; Vargha-Butler, E.I. Surface properties of poly(lactic/glycolic acid)—Pluronic® blend films. Polym. Adv. Technol. 2003, 14, 839–846. [Google Scholar] [CrossRef]
- Fukuoka, T.; Morita, T.; Saika, A.; Habe, H. Application of glycolipid biosurfactants as surface modifiers in bioplastics. J. Oleo Sci. 2018, 67, 1609–1616. [Google Scholar] [CrossRef] [Green Version]
- Gîfu, I.C.; Maxim, M.E.; Cinteza, L.O.; Popa, M.; Aricov, L.; Leonties, A.R.; Anastasescu, M.; Anghel, D.F.; Ianchis, R.; Ninciuleanu, C.M.; et al. Antimicrobial activities of hydrophobically modified poly(acrylate) films and their complexes with different chain length cationic surfactants. Coatings 2019, 9, 244. [Google Scholar] [CrossRef] [Green Version]
- Gyulai, G.; Pénzes, C.B.; Mohai, M.; Lohner, T.; Petrik, P.; Kurunczi, S.; Kiss, T.E. Interfacial properties of hydrophilized poly(lactic-co-glycolic acid) layers with various thicknesses. J. Colloid Interface Sci. 2011, 362, 600–606. [Google Scholar] [CrossRef] [PubMed]
- Gromer, A.; Thalmann, F.; Hébraud, P.; Holl, Y. Simulation of vertical surfactant distributions in drying latex films. Langmuir 2017, 33, 561–572. [Google Scholar] [CrossRef] [PubMed]
- Tezel, U.; Pavlostathis, S.G. Quaternary ammonium disinfectants: Microbial adaptation, Degradation and ecology. Curr. Opin. Biotechnol. 2015, 33, 296–304. [Google Scholar] [CrossRef]
- Nakata, K.; Tsuchido, T.; Matsumura, Y. Antimicrobial cationic surfactant, cetyltrimethylammonium bromide, induces superoxide stress in Escherichia coli cells. J. Appl. Microbiol. 2011, 110, 568–579. [Google Scholar] [CrossRef]
- Chen, P.; Lang, J.; Donadt, T.; Yu, Z.; Yang, R. Reduced Biofilm Formation at the Air-Liquid-Solid Interface via Introduction of Surfactants. ACS Biomater. Sci. Eng. 2021. [Google Scholar] [CrossRef]
- Luque-Agudo, V.; Romero-Guzmán, D.; Fernández-Grajera, M.; González-Martín, M.L.; Gallardo-Moreno, A.M. Aging of Solvent-Casting PLA-Mg Hydrophobic Films: Impact on Bacterial Adhesion and Viability. Coatings 2019, 9, 814. [Google Scholar] [CrossRef] [Green Version]
- Nassar, M.; Gromer, A.; Favier, D.; Thalmann, F.; Hébraud, P.; Holl, Y. Horizontal drying fronts in films of colloidal dispersions: Influence of hydrostatic pressure and collective diffusion. Soft Matter 2017, 13, 9162–9173. [Google Scholar] [CrossRef]
- Li, J.; Li, Z.; Ye, L.; Zhao, X.; Coates, P.; Caton-Rose, F. Structure and biocompatibility improvement mechanism of highly oriented poly(lactic acid) produced by solid die drawing. Eur. Polym. J. 2017, 97, 68–76. [Google Scholar] [CrossRef]
- Routh, A.F.; Russel, W.B. Horizontal drying fronts during solvent evaporation from latex films. AIChE J. 1998, 44, 2088–2098. [Google Scholar] [CrossRef]
- Yiantsios, S.G.; Higgins, B.G. Marangoni flows during drying of colloidal films. Phys. Fluids 2006, 18, 082103. [Google Scholar] [CrossRef] [Green Version]
- Mallégol, J.; Gorce, J.P.; Dupont, O.; Jeynes, C.; McDonald, P.J.; Keddie, J.L. Origins and effects of a surfactant excess near the surface of waterborne acrylic pressure-sensitive adhesives. Langmuir 2002, 18, 4478–4487. [Google Scholar] [CrossRef]
- Butt, H.J.; Kuropka, R.; Christensen, B. Latex film formation studied with the atomic force microscope: Influence of aging and annealing. Colloid Polym. Sci. 1994, 272, 1218–1223. [Google Scholar] [CrossRef]
- Du Chesne, A.; Gerharz, B.; Lieser, G. The segregation of surfactant upon film formation of latex dispersions: An investigation by energy filtering transmission electron microscopy. Polym. Int. 1997, 43, 187–196. [Google Scholar] [CrossRef]




| Sample | θW (°) | θD (°) | Sample | θW (°) | θD (°) |
|---|---|---|---|---|---|
| Silicone | 113 ± 2 | 82 ± 6 | Glass | 43 ± 4 | 48 ± 1 |
| S-PLA-0/0 | 107 ± 1 | 64 ± 2 | G-PLA-0/0 | 75 ± 4 | 42 ± 2 |
| S-PLA-0/0.5 | 106 ± 3 | 59 ± 1 | G-PLA-0/0.5 | 78 ± 5 | 45 ± 3 |
| S-PLA-0/1 | 99 ± 4 | 55 ± 1 | G-PLA-0/1 | 89 ± 7 | 50 ± 5 |
| S-PLA-0/5 | 78 ± 10 | 70 ± 3 | G-PLA-0/5 | 68 ± 7 | 50 ± 4 |
| S-PLA-0/10 | 83 ± 8 | 74 ± 2 | G-PLA-0/10 | 65 ± 11 | 50 ± 5 |
| S-PLA-3/0 | 99 ± 4 | 57 ± 12 | G-PLA-3/0 | 67 ± 3 | 46 ± 4 |
| S-PLA-3/0.5 | 99 ± 3 | 66 ± 1 | G-PLA-3/0.5 | 69 ± 3 | 43 ± 2 |
| S-PLA-3/1 | 88 ± 5 | 64 ± 1 | G-PLA-3/1 | 67 ± 5 | 51 ± 5 |
| S-PLA-3/5 | 66 ± 1 | 60 ± 1 | G-PLA-3/5 | 54 ± 3 | 58 ± 7 |
| S-PLA-3/10 | 61 ± 2 | 65 ± 1 | G-PLA-3/10 | 34 ± 2 | 51 ± 1 |
| Sample | γd (mJ/m2) | γp (mJ/m2) | γs (mJ/m2) | Sample | γd (mJ/m2) | γp (mJ/m2) | γs (mJ/m2) |
|---|---|---|---|---|---|---|---|
| S-PLA-0/0 | 26 ± 1 | 0 ± 0 | 26 ± 1 | G-PLA-0/0 | 38 ± 1 | 6 ± 2 | 44 ± 3 |
| S-PLA-0/0.5 | 29 ± 1 | 0 ± 0 | 29 ± 1 | G-PLA-0/0.5 | 37 ± 2 | 5 ± 2 | 42 ± 4 |
| S-PLA-0/1 | 31 ± 1 | 0 ± 1 | 32 ± 1 | G-PLA-0/1 | 34 ± 3 | 2 ± 2 | 36 ± 5 |
| S-PLA-0/5 | 23 ± 2 | 9 ± 6 | 32 ± 7 | G-PLA-0/5 | 34 ± 2 | 10 ± 4 | 45 ± 7 |
| S-PLA-0/10 | 21 ± 1 | 8 ± 5 | 28 ± 6 | G-PLA-0/10 | 34 ± 3 | 12 ± 7 | 46 ± 10 |
| S-PLA-3/0 | 30 ± 7 | 0 ± 1 | 31 ± 8 | G-PLA-3/0 | 36 ± 2 | 10 ± 2 | 46 ± 5 |
| S-PLA-3/0.5 | 25 ± 1 | 1 ± 1 | 26 ± 1 | G-PLA-3/0.5 | 38 ± 1 | 8 ± 2 | 46 ± 3 |
| S-PLA-3/1 | 26 ± 1 | 4 ± 2 | 30 ± 2 | G-PLA-3/1 | 33 ± 3 | 11 ± 4 | 45 ± 6 |
| S-PLA-3/5 | 29 ± 1 | 14 ± 1 | 42 ± 1 | G-PLA-3/5 | 30 ± 4 | 21 ± 4 | 50 ± 8 |
| S-PLA-3/10 | 26 ± 0 | 18 ± 2 | 44 ± 2 | G-PLA-3/10 | 34 ± 1 | 31 ± 2 | 64 ± 3 |
Publisher’s Note: MDPI stays neutral with regard to jurisdictional claims in published maps and institutional affiliations. |
© 2021 by the authors. Licensee MDPI, Basel, Switzerland. This article is an open access article distributed under the terms and conditions of the Creative Commons Attribution (CC BY) license (https://creativecommons.org/licenses/by/4.0/).
Share and Cite
Hierro-Oliva, M.; Luque-Agudo, V.; Gallardo-Moreno, A.M.; González-Martín, M.L. Characterization of Magnesium-Polylactic Acid Films Casted on Different Substrates and Doped with Diverse Amounts of CTAB. Molecules 2021, 26, 4811. https://doi.org/10.3390/molecules26164811
Hierro-Oliva M, Luque-Agudo V, Gallardo-Moreno AM, González-Martín ML. Characterization of Magnesium-Polylactic Acid Films Casted on Different Substrates and Doped with Diverse Amounts of CTAB. Molecules. 2021; 26(16):4811. https://doi.org/10.3390/molecules26164811
Chicago/Turabian StyleHierro-Oliva, Margarita, Verónica Luque-Agudo, Amparo M. Gallardo-Moreno, and M. Luisa González-Martín. 2021. "Characterization of Magnesium-Polylactic Acid Films Casted on Different Substrates and Doped with Diverse Amounts of CTAB" Molecules 26, no. 16: 4811. https://doi.org/10.3390/molecules26164811
APA StyleHierro-Oliva, M., Luque-Agudo, V., Gallardo-Moreno, A. M., & González-Martín, M. L. (2021). Characterization of Magnesium-Polylactic Acid Films Casted on Different Substrates and Doped with Diverse Amounts of CTAB. Molecules, 26(16), 4811. https://doi.org/10.3390/molecules26164811
