Functional Features of Alginates Recovered from Himanthalia elongata Using Subcritical Water Extraction
Abstract
:1. Introduction
2. Results and Discussion
2.1. General Overview
2.2. Antiproliferative Action of Extracts
2.3. Alginate
2.3.1. Structural Properties
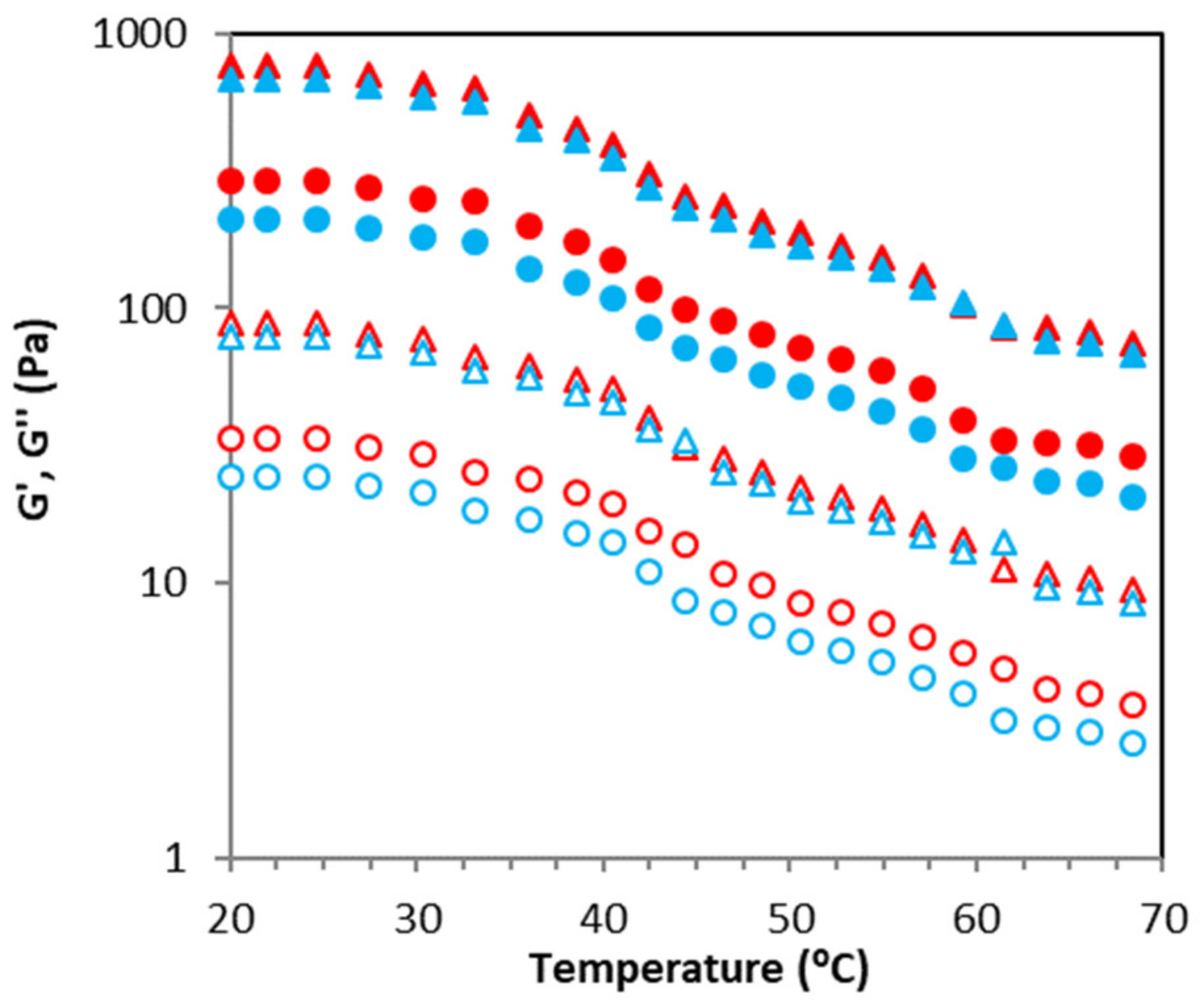
2.3.2. Thermo-Rheological Properties
3. Materials and Methods
3.1. Raw Materials
3.2. Extraction Treatment
3.3. Alginate Fraction
3.3.1. Fourier Transform Infrared Attenuated Total Reflectance (FTIR-ATR)
3.3.2. Proton Nuclear Magnetic Resonance (1H NMR)
3.3.3. High Performance Size Exclusion Chromatography (HPSEC)
3.3.4. Rheology
3.3.5. Syneresis of the Gelled Matrices
3.4. Antitumoral Features of the Extracts
3.5. Statistical Analysis
4. Conclusions
Author Contributions
Funding
Institutional Review Board Statement
Informed Consent Statement
Data Availability Statement
Conflicts of Interest
References
- White, W.L.; Wilson, P. World Seaweed Utilization. In Seaweed Sustainability; Elsevier Inc.: Amsterdam, The Netherlands, 2015; ISBN 9780124186972. [Google Scholar]
- Stiger-Pouvreau, V.; Bourgougnon, N.; Deslandes, E. Chapter 8—Carbohydrates from Seaweeds. In Seaweed in Health and Disease Prevention; Fleurence, J., Levine, I., Eds.; Academic Press: San Diego, CA, USA, 2016; pp. 223–274. ISBN 9780128027721. [Google Scholar]
- Bixler, H.J.; Porse, H. A decade of change in the seaweed hydrocolloids industry. J. Appl. Phycol. 2011, 23, 321–335. [Google Scholar] [CrossRef]
- Couteau, C.; Coiffard, L. Seaweed Application in Cosmetics. In Seaweed in Health and Disease Prevention; Elsevier Inc.: Amsterdam, The Netherlands, 2016; ISBN 9780128027936. [Google Scholar]
- Kartik, A.; Akhil, D.; Lakshmi, D.; Panchamoorthy Gopinath, K.; Arun, J.; Sivaramakrishnan, R.; Pugazhendhi, A. A critical review on production of biopolymers from algae biomass and their applications. Bioresour. Technol. 2021, 329. [Google Scholar] [CrossRef] [PubMed]
- Fleurence, J. Seaweeds as Food. In Seaweed in Health and Disease Prevention; Elsevier Inc.: Amsterdam, The Netherlands, 2016; ISBN 9780128027936. [Google Scholar]
- Zhang, H.; Cheng, J.; Ao, Q. Preparation of alginate-based biomaterials and their applications in biomedicine. Mar. Drugs 2021, 19, 264. [Google Scholar] [CrossRef] [PubMed]
- Mahadevan, K. Seaweeds: A Sustainable Food Source; Elsevier Inc.: Amsterdam, The Netherlands, 2015; ISBN 9780124199583. [Google Scholar]
- Acevedo-García, V.; Flórez-Fernández, N.; López-García, M.; Vilariño, J.M.L.; Domínguez, H.; Torres, M.D. Acetone Precipitation of Heterofucoidans from Sargassum muticum Autohydrolysis Extracts. Waste Biomass Valoriz. 2021, 12, 867–877. [Google Scholar] [CrossRef]
- Déléris, P.; Nazih, H.; Bard, J.M. Seaweeds in Human Health. In Seaweed in Health and Disease Prevention; Elsevier Inc.: Amsterdam, The Netherlands, 2016; pp. 319–367. ISBN 9780128027936. [Google Scholar]
- Gómez-Zorita, S.; González-Arceo, M.; Trepiana, J.; Eseberri, I.; Fernández-Quintela, A.; Milton-Laskibar, I.; Aguirre, L.; González, M.; Portillo, M.P. Anti-obesity effects of macroalgae. Nutrients 2020, 12, 2378. [Google Scholar] [CrossRef] [PubMed]
- Garcia-Vaquero, M.; Lopez-Alonso, M.; Hayes, M. Assessment of the functional properties of protein extracted from the brown seaweed Himanthalia elongata (Linnaeus) S. F. Gray. Food Res. Int. 2017, 99, 971–978. [Google Scholar] [CrossRef] [PubMed] [Green Version]
- Torres, M.D.; Flórez-Fernández, N.; Simón-Vázquez, R.; Giménez-Abián, J.F.; Díaz, J.F.; González-Fernández, A.; Domínguez, H. Fucoidans: The importance of processing on their anti-tumoral properties. Algal Res. 2020, 45, 101748. [Google Scholar] [CrossRef]
- Zhu, B.; Ni, F.; Xiong, Q.; Yao, Z. Marine oligosaccharides originated from seaweeds: Source, preparation, structure, physiological activity and applications. Crit. Rev. Food Sci. Nutr. 2021, 61, 60–74. [Google Scholar] [CrossRef] [PubMed]
- Liu, J.; Yang, S.; Li, X.; Yan, Q.; Reaney, M.J.T.; Jiang, Z. Alginate oligosaccharides: Production, biological activities, and potential applications. Compr. Rev. Food Sci. Food Saf. 2019, 18, 1859–1881. [Google Scholar] [CrossRef] [Green Version]
- Ale, M.T.; Meyer, A.S. Fucoidans from brown seaweeds: An update on structures, extraction techniques and use of enzymes as tools for structural elucidation. RSC Adv. 2013, 3, 8131–8141. [Google Scholar] [CrossRef] [Green Version]
- Reig-Vano, B.; Tylkowski, B.; Montané, X.; Giamberini, M. Alginate-based hydrogels for cancer therapy and research. Int. J. Biol. Macromol. 2021, 170, 424–436. [Google Scholar] [CrossRef]
- Ahmad Raus, R.; Wan Nawawi, W.M.F.; Nasaruddin, R.R. Alginate and alginate composites for biomedical applications. Asian J. Pharm. Sci. 2021, 16, 280–306. [Google Scholar] [CrossRef]
- Flórez-Fernández, N.; Torres, M.D.; González-Muñoz, M.J.; Domínguez, H. Recovery of bioactive and gelling extracts from edible brown seaweed Laminaria ochroleuca by non-isothermal autohydrolysis. Food Chem. 2019, 277, 353–361. [Google Scholar] [CrossRef]
- Torres, M.D.; Kraan, S.; Domínguez, H. Seaweed biorefinery. Rev. Environ. Sci. Biotechnol. 2019, 18, 335–388. [Google Scholar] [CrossRef]
- Xing, M.; Qi, C.; Yu, W.; Han, X.; Jiarui, Z.; Qing, Z.; Aiguo, J.; Shuliang, S. Advances in research on the bioactivity of alginate oligosaccharides. Mar. Drugs 2020, 18, 144. [Google Scholar] [CrossRef] [Green Version]
- Cernadas, H.; Flórez-Fernández, N.; González-Muñoz, M.J.; Domínguez, H.; Torres, M.D. Retrieving of high-value biomolecules from edible Himanthalia elongata brown seaweed using hydrothermal processing. Food Bioprod. Process. 2019, 7, 275–286. [Google Scholar] [CrossRef]
- Gómez-Ordóñez, E.; Alonso, E.; Rupérez, P. A simple ion chromatography method for inorganic anion analysis in edible seaweeds. Talanta 2010, 82, 1313–1317. [Google Scholar] [CrossRef] [PubMed]
- Gómez-Ordóñez, E.; Jiménez-Escrig, A.; Rupérez, P. Dietary fibre and physicochemical properties of several edible seaweeds from the northwestern Spanish coast. Food Res. Int. 2010, 43, 2289–2294. [Google Scholar] [CrossRef]
- Endo, H.; Suehiro, K.; Gao, X.; Agatsuma, Y. Interactive effects of elevated summer temperature, nutrient availability, and irradiance on growth and chemical compositions of juvenile kelp, Eisenia bicyclis. Phycol. Res. 2017, 65, 118–126. [Google Scholar] [CrossRef]
- Flórez-Fernández, N.; Domínguez, H.; Torres, M.D. A green approach for alginate extraction from Sargassum muticum brown seaweed using ultrasound-assisted technique. Int. J. Biol. Macromol. 2019, 124, 451–459. [Google Scholar] [CrossRef] [PubMed]
- Belattmania, Z.; Kaidi, S.; El Atouani, S.; Katif, C.; Bentiss, F.; Jama, C.; Reani, A.; Sabour, B.; Vasconcelos, V. Isolation and FTIR-ATR and 1H NMR characterization of alginates from the main alginophyte species of the atlantic coast of Morocco. Molecules 2020, 25, 433501. [Google Scholar] [CrossRef]
- Fenoradosoa, T.A.; Ali, G.; Delattre, C.; Laroche, C.; Petit, E.; Wadouachi, A.; Michaud, P. Extraction and characterization of an alginate from the brown seaweed Sargassum turbinarioides Grunow. J. Appl. Phycol. 2010, 22, 131–137. [Google Scholar] [CrossRef]
- Gómez-Ordóñez, E.; Rupérez, P. FTIR-ATR spectroscopy as a tool for polysaccharide identification in edible brown and red seaweeds. Food Hydrocoll. 2011, 25, 1514–1520. [Google Scholar] [CrossRef]
- Mateos-Aparicio, I.; Martera, G.; Goñi, I.; Villanueva-Suárez, M.J.; Redondo-Cuenca, A. Chemical structure and molecular weight influence the in vitro fermentability of polysaccharide extracts from the edible seaweeds Himathalia elongata and Gigartina pistillata. Food Hydrocoll. 2018, 83, 348–354. [Google Scholar] [CrossRef]
- Borazjani, N.J.; Tabarsa, M.; You, S.G.; Rezaei, M. Effects of extraction methods on molecular characteristics, antioxidant properties and immunomodulation of alginates from Sargassum angustifolium. Int. J. Biol. Macromol. 2017, 101, 703–711. [Google Scholar] [CrossRef] [PubMed] [Green Version]
- Fertah, M.; Belfkira, A.; Dahmane, E.m.; Taourirte, M.; Brouillette, F. Extraction and characterization of sodium alginate from Moroccan Laminaria digitata brown seaweed. Arab. J. Chem. 2017, 10, S3707–S3714. [Google Scholar] [CrossRef] [Green Version]
- Pereira, L.; Gheda, S.F.; Ribeiro-Claro, P.J.A. Analysis by vibrational spectroscopy of seaweed polysaccharides with potential use in food, pharmaceutical, and cosmetic industries. Int. J. Carbohydr. Chem. 2013, 2013, 537202. [Google Scholar] [CrossRef]
- Fawzy, M.A.; Gomaa, M.; Hifney, A.F.; Abdel-Gawad, K.M. Optimization of alginate alkaline extraction technology from Sargassum latifolium and its potential antioxidant and emulsifying properties. Carbohydr. Polym. 2017, 157, 1903–1912. [Google Scholar] [CrossRef] [PubMed]
- Sari-Chmayssem, N.; Taha, S.; Mawlawi, H.; Guégan, J.P.; Jeftić, J.; Benvegnu, T. Extracted and depolymerized alginates from brown algae Sargassum vulgare of Lebanese origin: Chemical, rheological, and antioxidant properties. J. Appl. Phycol. 2016, 28, 1915–1929. [Google Scholar] [CrossRef]
- Torres, M.D.; Raymundo, A.; Sousa, I. Effect of sucrose, stevia and xylitol on rheological properties of gels from blends of chestnut and rice flours. Carbohydr. Polym. 2013, 98, 249–256. [Google Scholar] [CrossRef] [PubMed]
- García-Ríos, V.; Ríos-Leal, E.; Robledo, D.; Freile-Pelegrin, Y. Polysaccharides composition from tropical brown seaweeds. Phycol. Res. 2012, 60, 305–315. [Google Scholar] [CrossRef]






| Cell Viability (%) | |||
|---|---|---|---|
| Cell Line | A549 | HCT-116 | T98G |
| SWE | 43.71 ± 3.22 (25 µg/mL) | 50.86 ± 1.02 (25 µg/mL) | 48.85 ± 2.37 (25 µg/mL) |
| SWE_A | 47.56 ± 5.68 (500 µg/mL)—1.5 v | 30.50 ± 4.70 (500 µg/mL)—0.5 v | 56.87 ± 3.34 (500 µg/mL)—0.5 v |
| Alginate | M/G | FM | FG | FMM | FGG | FMG = FGM |
|---|---|---|---|---|---|---|
| SWE | 1.94 a | 0.66 a | 0.34 e | 0.58 a | 0.26 a | 0.08 e |
| SWE_A0.5 | 1.78 b | 0.64 b | 0.36 d | 0.54 b | 0.26 a | 0.10 d |
| SWE_A1.0 | 1.56 c | 0.61 c | 0.39 c | 0.48 c | 0.26 a | 0.13 c |
| SWE_A1.5 | 1.44 d | 0.59 d | 0.41 b | 0.44 d | 0.26 a | 0.15 b |
| SWE_A2.0 | 1.27 e | 0.56 e | 0.44 a | 0.38 e | 0.26 a | 0.18 a |
| SWE_A2.5 | 1.27 e | 0.56 e | 0.44 a | 0.38 e | 0.26 a | 0.18 a |
Publisher’s Note: MDPI stays neutral with regard to jurisdictional claims in published maps and institutional affiliations. |
© 2021 by the authors. Licensee MDPI, Basel, Switzerland. This article is an open access article distributed under the terms and conditions of the Creative Commons Attribution (CC BY) license (https://creativecommons.org/licenses/by/4.0/).
Share and Cite
Flórez-Fernández, N.; Domínguez, H.; Torres, M.D. Functional Features of Alginates Recovered from Himanthalia elongata Using Subcritical Water Extraction. Molecules 2021, 26, 4726. https://doi.org/10.3390/molecules26164726
Flórez-Fernández N, Domínguez H, Torres MD. Functional Features of Alginates Recovered from Himanthalia elongata Using Subcritical Water Extraction. Molecules. 2021; 26(16):4726. https://doi.org/10.3390/molecules26164726
Chicago/Turabian StyleFlórez-Fernández, Noelia, Herminia Domínguez, and María Dolores Torres. 2021. "Functional Features of Alginates Recovered from Himanthalia elongata Using Subcritical Water Extraction" Molecules 26, no. 16: 4726. https://doi.org/10.3390/molecules26164726
APA StyleFlórez-Fernández, N., Domínguez, H., & Torres, M. D. (2021). Functional Features of Alginates Recovered from Himanthalia elongata Using Subcritical Water Extraction. Molecules, 26(16), 4726. https://doi.org/10.3390/molecules26164726

