Liquid Chromatographic Enantioseparations Utilizing Chiral Stationary Phases Based on Crown Ethers and Cyclofructans
Abstract
1. Introduction
(R)-SO + (S)-E ⇌ [(R)-SO --- (S)-E]
(R)-SO + (R)-E ⇌ [(R)-SO --- (R)-E]
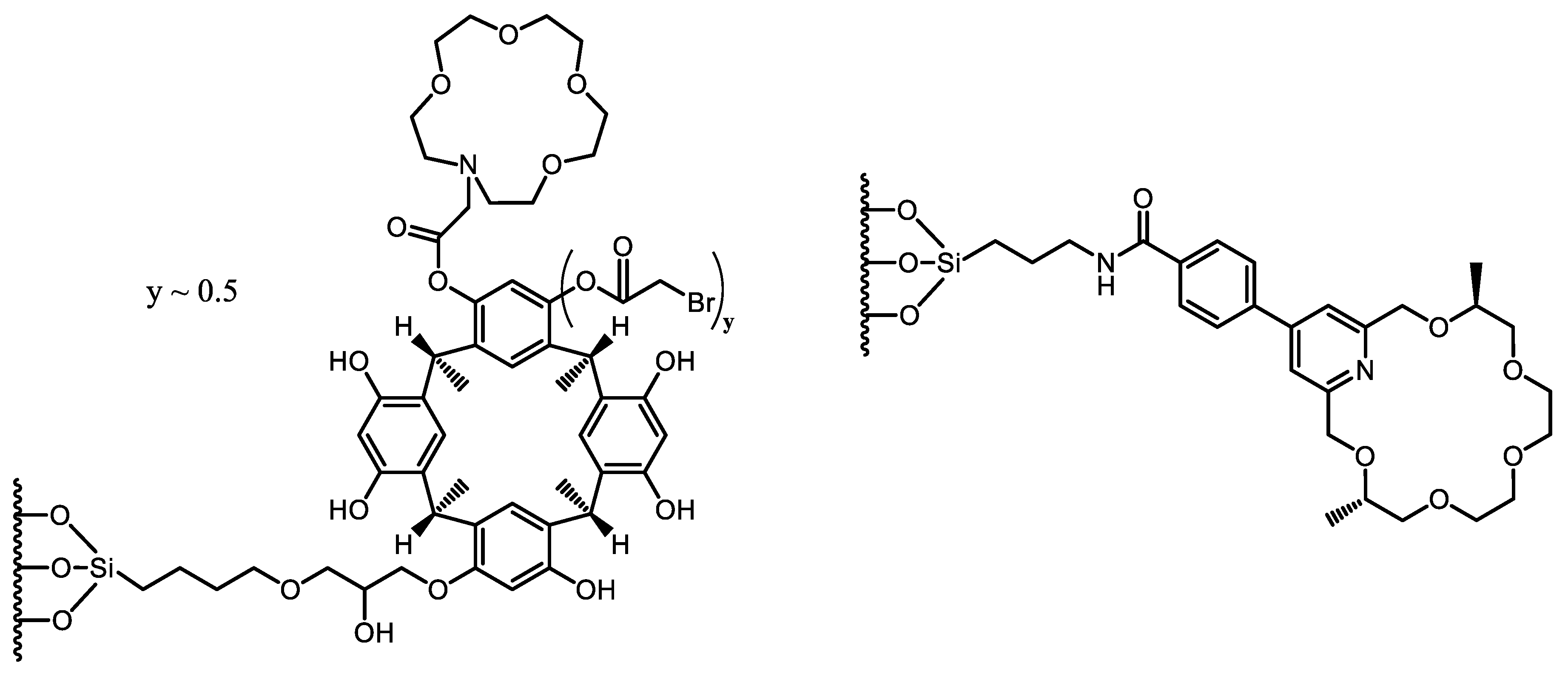
2. Crown Ether-Based Selectors
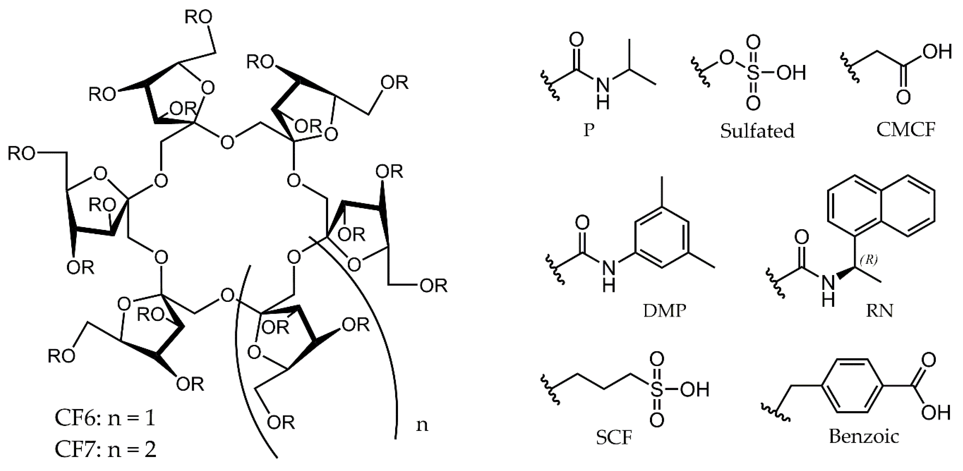
3. Selectors Based on Cyclofructans
4. Recent Applications of Crown Ether-Based CSPs
5. Recent Applications of Cyclofructan-Based CSPs
6. Enantioseparations Achieved with Cyclofructans Bonded on Ultra-High-Performance Particles
7. Conclusions
Author Contributions
Funding
Institutional Review Board Statement
Informed Consent Statement
Data Availability Statement
Conflicts of Interest
References
- Gil-Av, E.; Feibush, B.; Charles-Sigler, R. Separation of enantiomers by gas liquid chromatography with an optically active phase. Tetrahedron Lett. 1966, 57, 1009–1015. [Google Scholar] [CrossRef]
- Davankov, V.A.; Rogozhin, S.V. Ligand chromatography as a novel method for the investigation of mixed complexes: Stereoselective effects in α-amino acid copper (II) complexes. J. Chromatogr. 1971, 60, 280–283. [Google Scholar] [CrossRef]
- Roussel, C.; Piras, P.; Heitmann, I. An approach to discriminating 25 commercial chiral stationary phases from structural data sets extracted from a molecular database. Biomed. Chromatogr. 1997, 11, 311–316. [Google Scholar] [CrossRef]
- Scriba, G.K.E. Chiral Separations; Methods in Molecular Biology; Scriba, G.K.E., Ed.; Springer: New York, NY, USA, 2019; Volume 1985, ISBN 978-1-4939-9437-3. [Google Scholar]
- Scriba, G.K.E. Chiral recognition in separation sciences. Part I: Polysaccharide and cyclodextrin selectors. TrAC Trends Anal. Chem. 2019, 120, 115639. [Google Scholar] [CrossRef]
- Scriba, G.K.E. Chiral recognition in separation sciences. Part II: Macrocyclic glycopeptide, donor-acceptor, ion-exchange, ligand-exchange and micellar selectors. TrAC Trends Anal. Chem. 2019, 119, 115628. [Google Scholar] [CrossRef]
- Mangelings, D.; Eeltink, S.; Vander Heyden, Y. Recent developments in liquid and supercritical fluid chromatographic enantioseparations. In Handbook of Analytical Separations; Elsevier: Amsterdam, The Netherlands, 2020; Volume 8, pp. 453–521. ISBN 9780444640703. [Google Scholar]
- Lämmerhofer, M. Chiral recognition by enantioselective liquid chromatography: Mechanisms and modern chiral stationary phases. J. Chromatogr. A 2010, 1217, 814–856. [Google Scholar] [CrossRef]
- Chankvetadze, B. Recent trends in preparation, investigation and application of polysaccharide-based chiral stationary phases for separation of enantiomers in high-performance liquid chromatography. TrAC Trends Anal. Chem. 2020, 122, 115709. [Google Scholar] [CrossRef]
- Teixeira, J.; Tiritan, M.E.; Pinto, M.M.M.; Fernandes, C. Chiral stationary phases for liquid chromatography: Recent developments. Molecules 2019, 24, 865. [Google Scholar] [CrossRef] [PubMed]
- Patel, D.C.; Breitbach, Z.S.; Wahab, M.F.; Barhate, C.L.; Armstrong, D.W. Gone in seconds: Praxis, performance, and peculiarities of ultrafast chiral liquid chromatography with superficially porous particles. Anal. Chem. 2015, 87, 9137–9148. [Google Scholar] [CrossRef]
- Ismail, O.H.; Felletti, S.; De Luca, C.; Pasti, L.; Marchetti, N.; Costa, V.; Gasparrini, F.; Cavazzini, A.; Catani, M. The way to ultrafast, high-throughput enantioseparations of bioactive compounds in liquid and supercritical fluid chromatography. Molecules 2018, 23, 2709. [Google Scholar] [CrossRef]
- Khundadze, N.; Pantsulaia, S.; Fanali, C.; Farkas, T.; Chankvetadze, B. On our way to sub-second separations of enantiomers in high-performance liquid chromatography. J. Chromatogr. A 2018, 1572, 37–43. [Google Scholar] [CrossRef] [PubMed]
- Pedersen, C.J. Cyclic polyethers and their complexes with metal salts. J. Am. Chem. Soc. 1967, 89, 2495–2496. [Google Scholar] [CrossRef]
- Sogah, G.D.Y.; Cram, D.J. Host-guest complexation. 14. Host covalently bound to polystyrene resin for chromatographic resolution of enantiomers of amino acid and ester salts. J. Am. Chem. Soc. 1979, 101, 3035–3042. [Google Scholar] [CrossRef]
- Hyun, M.H.; Jin, J.S.; Lee, W. A new HPLC chiral stationary phase for the direct resolution of racemic quinolone antibacterials containing a primary amino group. Bull. Korean Chem. Soc. 1998, 19, 819–821. [Google Scholar] [CrossRef]
- MacHida, Y.; Nishi, H.; Nakamura, K.; Nakai, H.; Sato, T. Enantiomer separation of amino compounds by a novel chiral stationary phase derived from crown ether. J. Chromatogr. A 1998, 805, 85–92. [Google Scholar] [CrossRef]
- Hyun, M.H. Development of HPLC chiral stationary phases based on (+)-(18-crown-6)-2,3,11,12-tetracarboxylic acid and their ppplications. Chirality 2015, 27, 576–588. [Google Scholar] [CrossRef]
- Hyun, M.H. Liquid chromatographic enantioseparations on crown ether-based chiral stationary phases. J. Chromatogr. A 2016, 1467, 19–32. [Google Scholar] [CrossRef] [PubMed]
- Lee, W. Investigation of enantiomer separation using chiral crown ethers as chiral selectors. J. Chosun Nat. Sci. 2016, 9, 28–34. [Google Scholar] [CrossRef][Green Version]
- Adhikari, S.; Lee, W. Chiral separation using chiral crown ethers as chiral selectors in chirotechnology. J. Pharm. Investig. 2018, 48, 225–231. [Google Scholar] [CrossRef]
- Sun, P.; Armstrong, D.W. Effective enantiomeric separations of racemic primary amines by the isopropyl carbamate-cyclofructan6 chiral stationary phase. J. Chromatogr. A 2010, 1217, 4904–4918. [Google Scholar] [CrossRef] [PubMed]
- Sun, P.; Wang, C.; Breitbach, Z.S.; Zhang, Y.; Armstrong, D.W. Development of new HPLC chiral stationary phases based on native and derivatized cyclofructans. Anal. Chem. 2009, 81, 10215–10226. [Google Scholar] [CrossRef]
- Hellinghausen, G.; Armstrong, D.W. Cyclofructans as chiral selectors: An overview. Methods Mol. Biol. 2019, 1985, 183–200. [Google Scholar] [CrossRef]
- Xie, S.M.; Yuan, L.M. Recent development trends for chiral stationary phases based on chitosan derivatives, cyclofructan derivatives and chiral porous materials in high performance liquid chromatography. J. Sep. Sci. 2019, 42, 6–20. [Google Scholar] [CrossRef]
- Ma, M.; Wei, Q.; Meng, M.; Yin, J.; Shan, Y.; Du, L.; Zhu, X.; Soh, S.F.; Min, M.; Zhou, X.; et al. Preparation and application of aza-15-crown-5-capped aethylcalix[4]resorcinarene-bonded silica particles for use as chiral stationary phase in HPLC. Chromatographia 2017, 80, 1007–1014. [Google Scholar] [CrossRef]
- Lévai, S.; Németh, T.; Fodi, T.; Kupai, J.; Tóth, T.; Huszthy, P.; Balogh, G.T. Studies of a pyridino-crown ether-based chiral stationary phase on the enantioseparation of biogenic chiral aralkylamines and α-amino acid esters by high-performance liquid chromatography. J. Pharm. Biomed. Anal. 2015, 115, 192–195. [Google Scholar] [CrossRef]
- Németh, T.; Dargó, G.; Petró, J.L.; Petrik, Z.; Lévai, S.; Krámos, B.; Béni, Z.; Nagy, J.; Balogh, G.T.; Huszthy, P.; et al. Synthesis and pKa determination of new enantiopure dimethyl-substituted acridino-crown ethers containing a carboxyl group: Useful candidates for enantiomeric recognition studies. Chirality 2017, 29, 522–535. [Google Scholar] [CrossRef]
- Zhao, J.; Wu, H.; Wang, D.; Wu, H.; Cheng, L.; Jin, Y.; Ke, Y.; Liang, X. Improvement of chiral stationary phases based on cinchona alkaloids bonded to crown ethers by chiral modification. J. Sep. Sci. 2015, 38, 3884–3890. [Google Scholar] [CrossRef] [PubMed]
- Ahn, S.A.; Hyun, M.H. Liquid chromatographic resolution of amino acid esters of acyclovir including racemic valacyclovir on crown ether-based chiral stationary phases. Chirality 2015, 27, 268–273. [Google Scholar] [CrossRef] [PubMed]
- Konya, Y.; Bamba, T.; Fukusaki, E. Extra-facile chiral separation of amino acid enantiomers by LC-TOFMS analysis. J. Biosci. Bioeng. 2016, 121, 349–353. [Google Scholar] [CrossRef]
- Konya, Y.; Taniguchi, M.; Furuno, M.; Nakano, Y.; Tanaka, N.; Fukusaki, E. Mechanistic study on the high-selectivity enantioseparation of amino acids using a chiral crown ether-bonded stationary phase and acidic, highly organic mobile phase by liquid chromatography/time-of-flight mass spectrometry. J. Chromatogr. A 2018, 1578, 35–44. [Google Scholar] [CrossRef] [PubMed]
- Yoshikawa, K.; Furuno, M.; Tanaka, N.; Fukusaki, E. Fast enantiomeric separation of amino acids using liquid chromatography/mass spectrometry on a chiral crown ether stationary phase. J. Biosci. Bioeng. 2020, 130, 437–442. [Google Scholar] [CrossRef] [PubMed]
- Ohnishi, A.; Shibata, T.; Imase, T.; Shinkura, S.; Nagai, K. Achiral molecular recognition of substituted aniline position isomers by crown ether type chiral stationary phase. Molecules 2021, 26, 493. [Google Scholar] [CrossRef]
- Kawamura, I.; Mijiddorj, B.; Kayano, Y.; Matsuo, Y.; Ozawa, Y.; Ueda, K.; Sato, H. Separation of D-amino acid-containing peptide phenylseptin using 3,3′-phenyl-1,1′-binaphthyl-18-crown-6-ether columns. Biochim. Biophys. Acta Proteins Proteom. 2020, 1868, 140429. [Google Scholar] [CrossRef] [PubMed]
- Upmanis, T.; Kažoka, H.; Arsenyan, P. A study of tetrapeptide enantiomeric separation on crown ether based chiral stationary phases. J. Chromatogr. A 2020, 1622, 461152. [Google Scholar] [CrossRef]
- Abdel-Megied, A.; El-Gizawy, S.; Abdelmageed, O.; Omar, M.; Derayea, S.; Aboul-Enein, H. A validated enantioselective HPLC method for assay of S-amlodipine using crown ether as a chiral stationary phase. Curr. Anal. Chem. 2017, 13, 117–123. [Google Scholar] [CrossRef]
- Wu, P.; Wu, Y.; Zhang, J.; Lu, Z.; Zhang, M.; Chen, X.; Yuan, L. Chromatographic resolution of α-amino acids by (R)-(3,3′-halogen substituted-1,1′-binaphthyl)-20-crown-6 stationary phase in HPLC. Chin. J. Chem. 2017, 35, 1037–1042. [Google Scholar] [CrossRef]
- Gunnam, S.; Kandukuri, N.K.; Bondigalla, R.; Choppari, T.; Chennuru, L.N.; Cherla, P.M. Enantioseparation of DPP-4 inhibitors on immobilized crown ether-based chiral stationary phase. Chromatographia 2018, 81, 1705–1710. [Google Scholar] [CrossRef]
- Miller, L.; Yue, L. Chiral separation of underivatized amino acids in supercritical fluid chromatography with chiral crown ether derived column. Chirality 2020, 32, 981–989. [Google Scholar] [CrossRef] [PubMed]
- ALOthman, Z.A.; Badjah, A.Y.; Alsheetan, K.M.; Suhail, M.; Ali, I. Enantiomeric resolution of quinolones on crown ether CSP: Thermodynamics, chiral discrimination mechanism and application in biological samples. J. Chromatogr. B 2021, 1166, 122550. [Google Scholar] [CrossRef]
- Thapa, M.; Adhikari, S.; Na, S.; Yoon, H.R.; Lee, W. Stereoselective determination of thyroxine enantiomers on chiral crown ether column by UPLC-ESI-tandem mass spectrometry. Bull. Korean Chem. Soc. 2020, 41, 563–566. [Google Scholar] [CrossRef]
- Cho, E.S.; Sung, J.Y.; Jin, J.S.; Hyun, M.H. Liquid chromatographic resolution of proline and pipecolic acid derivatives on chiral stationary phases based on (+)-(18-crown-6)-2,3,11,12-tetracarboxylic acid. J. Sep. Sci. 2018, 41, 1192–1198. [Google Scholar] [CrossRef]
- Jeon, H.; Hyun, M.H. Resolution of methoxyphenamine and its analogues on a chiral stationary phase based on (+)-(18-crown-6)-2,3,11,12-tetracarboxylic acid. J. Sep. Sci. 2018, 41, 4281–4285. [Google Scholar] [CrossRef]
- Padivitage, N.L.; Smuts, J.P.; Breitbach, Z.S.; Armstrong, D.W.; Berthod, A. Preparation and evaluation of HPLC chiral stationary phases based on cationic/basic derivatives of cyclofructan 6. J. Liq. Chromatogr. Relat. Technol. 2015, 38, 550–560. [Google Scholar] [CrossRef]
- Shu, Y.; Breitbach, Z.S.; Dissanayake, M.K.; Perera, S.; Aslan, J.M.; Alatrash, N.; MacDonnell, F.M.; Armstrong, D.W. Enantiomeric separations of ruthenium (II) polypyridyl complexes using HPLC with cyclofructan chiral stationary phases. Chirality 2015, 27, 64–70. [Google Scholar] [CrossRef] [PubMed]
- Hroboňová, K.; Moravčík, J.; Lehotay, J.; Armstrong, D.W. Determination of methionine enantiomers by HPLC on the cyclofructan chiral stationary phase. Anal. Methods 2015, 7, 4577–4582. [Google Scholar] [CrossRef]
- Ilisz, I.; Grecsó, N.; Forró, E.; Fülöp, F.; Armstrong, D.W.; Péter, A. High-performance liquid chromatographic separation of paclitaxel intermediate phenylisoserine derivatives on macrocyclic glycopeptide and cyclofructan-based chiral stationary phases. J. Pharm. Biomed. Anal. 2015, 114, 312–320. [Google Scholar] [CrossRef] [PubMed]
- Breitbach, A.S.; Lim, Y.; Xu, Q.-L.; Kürti, L.; Armstrong, D.W.; Breitbach, Z.S. Enantiomeric separations of α-aryl ketones with cyclofructan chiral stationary phases via high performance liquid chromatography and supercritical fluid chromatography. J. Chromatogr. A 2016, 1427, 45–54. [Google Scholar] [CrossRef]
- Khan, M.M.; Breitbach, Z.S.; Berthod, A.; Armstrong, D.W. Chlorinated aromatic derivatives of cyclofructan 6 as HPLC chiral stationary phases. J. Liq. Chromatogr. Relat. Technol. 2016, 39, 497–503. [Google Scholar] [CrossRef]
- Lim, Y.; Breitbach, Z.S.; Armstrong, D.W.; Berthod, A. Screening primary racemic amines for enantioseparation by derivatized polysaccharide and cyclofructan columns. J. Pharm. Anal. 2016, 6, 345–355. [Google Scholar] [CrossRef] [PubMed]
- Frink, L.A.; Berthod, A.; Xu, Q.L.; Gao, H.; Kurti, L.; Armstrong, D.W. Separation of 2-naphthol atropisomers on cyclofructan-based chiral stationary phases. J. Liq. Chromatogr. Relat. Technol. 2016, 39, 710–717. [Google Scholar] [CrossRef]
- Moskaľová, M.; Petrovaj, J.; Gondová, T.; Budovská, M.; Armstrong, D.W. Enantiomeric separation of new phytoalexin analogs with cyclofructan chiral stationary phases in normal-phase mode. J. Sep. Sci. 2016, 39, 3669–3676. [Google Scholar] [CrossRef]
- Moskaľová, M.; Kozlov, O.; Gondová, T.; Budovská, M.; Armstrong, D.W. HPLC enantioseparation of novel spirobrassinin analogs on the cyclofructan chiral stationary phases. Chromatographia 2017, 80, 53–62. [Google Scholar] [CrossRef]
- Majek, P.; Krupcik, J.; Breitbach, Z.S.; Dissanayake, M.K.; Kroll, P.; Ruch, A.A.; Slaughter, L.G.M.; Armstrong, D.W. Determination of the interconversion energy barrier of three novel pentahelicene derivative enantiomers by dynamic high resolution liquid chromatography. J. Chromatogr. B 2017, 1051, 60–67. [Google Scholar] [CrossRef]
- Patel, D.C.; Woods, R.M.; Breitbach, Z.S.; Berthod, A.; Armstrong, D.W. Thermal racemization of biaryl atropisomers. Tetrahedron Asymmetry 2017, 28, 1557–1561. [Google Scholar] [CrossRef]
- Lomenova, A.; Hroboňová, K.; Šolónyová, T. HPLC separation of panthenol enantiomers on different types of chiral stationary phases. Acta Chim. Slovaca 2018, 11, 114–119. [Google Scholar] [CrossRef]
- Hroboňová, K.; Lomenova, A. Determination of panthenol enantiomers in cosmetic preparations using an achiral-chiral–coupled column HPLC system. Chirality 2020, 32, 191–199. [Google Scholar] [CrossRef] [PubMed]
- Kalíková, K.; Voborná, M.; Tesařová, E. Chromatographic behavior of new deazapurine ribonucleosides in hydrophilic interaction liquid chromatography. Electrophoresis 2018, 39, 2144–2151. [Google Scholar] [CrossRef] [PubMed]
- Lomenova, A.; Hroboňová, K. Comparison of HPLC separation of phenylalanine enantiomers on different types of chiral stationary phases. Food Anal. Methods 2018, 11, 3314–3323. [Google Scholar] [CrossRef]
- Horvath, C.G.; Preiss, B.A.; Lipsky, S.R. Fast liquid chromatography: An investigation of operating parameters and the separation of nucleotides on poellicular ion exchangers. Anal. Chem. 1967, 39, 1422–1428. [Google Scholar] [CrossRef] [PubMed]
- Dolzan, M.D.; Spudeit, D.A.; Breitbach, Z.S.; Barber, W.E.; Micke, G.A.; Armstrong, D.W. Comparison of superficially porous and fully porous silica supports used for a cyclofructan 6 hydrophilic interaction liquid chromatographic stationary phase. J. Chromatogr. A 2014, 1365, 124–130. [Google Scholar] [CrossRef] [PubMed]
- Spudeit, D.A.; Dolzan, M.D.; Breitbach, Z.S.; Barber, W.E.; Micke, G.A.; Armstrong, D.W. Superficially porous particles vs. fully porous particles for bonded high performance liquid chromatographic chiral stationary phases: Isopropyl cyclofructan 6. J. Chromatogr. A 2014, 1363, 89–95. [Google Scholar] [CrossRef]
- Barhate, C.L.; Breitbach, Z.S.; Pinto, E.C.; Regalado, E.L.; Welch, C.J.; Armstrong, D.W. Ultrafast separation of fluorinated and desfluorinated pharmaceuticals using highly efficient and selective chiral selectors bonded to superficially porous particles. J. Chromatogr. A 2015, 1426, 241–247. [Google Scholar] [CrossRef]
- Wang, Y.; Wahab, M.F.; Breitbach, Z.S.; Armstrong, D.W. Carboxylated cyclofructan 6 as a hydrolytically stable high efficiency stationary phase for hydrophilic interaction liquid chromatography and mixed mode separations. Anal. Methods 2016, 8, 6038–6045. [Google Scholar] [CrossRef]
- Hellinghausen, G.; Roy, D.; Lee, J.T.; Wang, Y.; Weatherly, C.A.; Lopez, D.A.; Nguyen, K.A.; Armstrong, J.D.; Armstrong, D.W. Effective methodologies for enantiomeric separations of 150 pharmacology and toxicology related 1° 2° and 3° amines with core-shell chiral stationary phases. J. Pharm. Biomed. Anal. 2018, 155, 70–81. [Google Scholar] [CrossRef]
- Hellinghausen, G.; Readel, E.R.; Wahab, M.F.; Lee, J.T.; Lopez, D.A.; Weatherly, C.A.; Armstrong, D.W. Mass spectrometry-compatible enantiomeric separations of 100 pesticides using core–shell chiral stationary phases and evaluation of iterative curve fitting models for overlapping peaks. Chromatographia 2019, 82, 221–233. [Google Scholar] [CrossRef]
- Roy, D.; Armstrong, D.W. Fast super/subcritical fluid chromatographic enantioseparations on superficially porous particles bonded with broad selectivity chiral selectors relative to fully porous particles. J. Chromatogr. A 2019, 1605, 360339. [Google Scholar] [CrossRef] [PubMed]
- Roy, D.; Wahab, M.F.; Talebi, M.; Armstrong, D.W. Replacing methanol with azeotropic ethanol as the co-solvent for improved chiral separations with supercritical fluid chromatography (SFC). Green Chem. 2020, 22, 1249–1257. [Google Scholar] [CrossRef]
- Hefnawy, M.; Al-Majed, A.; Alrabiah, H.; Algrain, N.; Mohammed, M.; Jardan, Y. Bin Rapid and sensitive LC-MS/MS method for the enantioanalysis of verapamil in rat plasma using superficially porous silica isopropyl-cyclofructan 6 chiral stationary phase after SPE: Application to a stereoselective pharmacokinetic study. J. Pharm. Biomed. Anal. 2021, 201, 114108. [Google Scholar] [CrossRef]




| CSP Type | Selector | Most Important Interactions | |
|---|---|---|---|
| 1. | ligand exchange | amino acid–metal complex | complex formation |
| 2. | protein-based | natural proteins | H-bridge, ionic, van der Waals forces, π–π |
| 3–5. | cavity-type | cyclodextrins, cyclofructans, chiral crown ethers | complex formation, ionic, hydrophobic, H-bridge, van der Waals forces, steric, π–π |
| 6. | donor–acceptor (Pirkle-type) | π-acidic, π-basic compounds | H–bridge, π–π, dipole–dipole, steric |
| 7. | synthetic polymers | polyacrylamides, polymethacrylates, polyisocyanides, etc. | H-bridge, π–π, steric |
| 8. | molecularly imprinted polymers | selective sorbents (e.g., organic copolymers) | steric, H-bridge, π–π |
| 9. | ion exchanger | anion and cation exchangers, zwitterionic compounds | ionic, H-bridge, π–π, steric |
| 10. | macrocyclic antibiotics | macrocyclic glycopeptides | ionic, H-bridge, π–π, hydrophobic, steric |
| 11. | derivatized polysaccharides | derivatized cellulose and amylose | H-bridge, π–π, van der Waals forces |
| Chiral Analytes | Selector | Column Characteristics Trademark Particle Size | The Most Effective Mobile Phase (v/v/v/v) | Mode | Ref. |
|---|---|---|---|---|---|
| warfarin, metoprolol, propranolol, ibuprofen, proglumide, indapamide, etc. | aza-15-crown-5-capped methylcalix [4] resorcinarene bonded to 2-hydroxy-propoxy-propylsilyl silica | 15C5-MCR-HPS, 5 μm | MeOH/H2O 40/60; 10/90 2-propanol/hexane 3/97 MeCN/H2O 10/90; 20/80; 30/70 MeCN/phosphate buffer (pH 8.0) 10/90; 20/80 | NPM RPM | [26] |
| arylalkylamines, phenylalanine methyl- and benzyl esters, phenylglycine, methyl-and benzyl esters | pyridine-18-crown-6 ether-based CSP | (S,S)-CSP-1, 5 μm | MeOH/MeCN 90/10 MeOH/MeCN 85/15 MeOH/MeCN 80/20 MeOH/MeCN/TEA/FA 80/20/0.2/0.2 MeOH/MeCN/TEA/FA 80/20/0.1/0.1 | POM PIM | [27] |
| arylalkylamines, α-amino acid esters | dimethyl-substituted acridino-18-crown-6 and acridino-21-crown-7 containing carboxyl group at position 9 | (S,S)-CSP-8, 5 μm (S,S)-CSP-12, 5 μm | MeCN/25 mM aq. NH4OAc 20/80 MeCN/40 mM aq. NH4OAc 20/80 | RPM | [28] |
| primary amines including amino acids | crown ether moiety modified by (1S,2S)-2-aminocyclohexyl phenyl-carbamate and connected to quinine or quinidine through carbamate at C-9 position | CSP-1–CSP-4, 5 μm | EtOH/FA/DEA 100/01/0.1 MeOH/FA/DEA 100/0.1/0.1 MeCN/H2O 90/10 + 5 mM LiClO4 MeCN/H2O 85/15 + 5 mM LiClO4 | PIM RPM | [29] |
| acyclovir, valacyclovir and its analogs | 3,3′-diphenyl-1,1′-binaph-thyl-20-crown-6 | CSP-1, 5 μm, with residual silanol CSP-2, 5 μm, n-octyl protected silanols | 0.05–0.15 mM aq. HClO4/MeCN 70/30 0.10 mM aq. TFA/MeCN 70/30 0.05–0.15 mM aq. HClO4/MeOH 70/30 0.05–0.15 mM aq. HClO4/EtOH 70/30 | RPM | [30] |
| 20 α-amino acids | (S)-(+)-3,3′-phenyl-1,1′-binaphthyl-18-crown-6 | CROWNPAK CR-I (+), 5 μm | A: MeCN/H2O/TFA 50/50/0.5 B: MeCN/TFA 100/0.5 A/B 50/50 | RPM LC-MS | [31] |
| 20 pairs of α-amino acids in black vinegar | (S)-(+)- and (R)-(−)-3,3′-diphenyl-1,1′-binaphthyl-20-crown-6 | CROWNPAK CR-I (+), 5 μm CROWNPAK CR-I (−), 5 μm | MeCN/EtOH/H2O/TFA 85/15/5/0.5 | RPM LC-MS | [32] |
| 18 pairs of α-amino acids | (S)-(+)-3,3′-phenyl-1,1′-binaphthyl-20-crown-6 | CROWNPAK CR-I-(+), 5 μm CROWNPAK CRI-(+), 3 μm | MeCN/H2O/TFA 96/4/0.5 MeCN/EtOH/H2O/TFA 80/15/5/0.5 | RPM LC-MS | [33] |
| substituted aniline position isomers | (R)-(−)-3,3′-diphenyl-1,1′-binaphthyl-20-crown-6 | CROWNPAK CR-I (−), 5 μm | H2O/MeCN (70/30) + 20 mM HClO4 H2O/MeCN (10/90) + 20 mM HClO4 n-hexane/EtOH/H2O/TFA 100/100/4/1 | RPM NPM | [34] |
| d,l-phenylseptin peptides | (S)-(+)- and (R)-(−)-3,3′-phenyl-1,1′-binaphthyl-18-crown-6 | CROWNPAK CR-I (+), 5 μm CROWNPAK CR-I (−), 5 μm | aq. HClO4 pH 1.0/ /MeCN/MeOH 15/25/60 | RPM | [35] |
| Tyr-Arg-Phe-Lys-NH2 | (S)-(+)-3,3′-diphenyl-1,1′-binaph- thyl-20-crown-6 (+)-18-crown-6)-2,3,11,12-tetracarboxylic acid | CROWNPAK CR-I-(+), 5 μm ChiroSil RCA (+), 5 μm | 50 mM aq. HClO4/MeCN (5–85)/(95–15) 50 mM aq. HClO4/MeCN (90–80)/(10–20) | RPM | [36] |
| amlodipine | (S)-(+)-3,3′-diphenyl-1,1′-binaphthyl-20-crown-6 | CROWNPAK CR (+), 5 μm | 70% aq. HClO4 (pH 2.0)/ /MeOH 95/5 | RPM | [37] |
| 21 pairs of α-amino acids | (R)-3,3′-dibromo (or dichloro or diiodo)phenyl-1,1′-binaphthyl-20-crown-6 | 5 μm | 10 mM aq. HClO4 (pH 2) | RPM | [38] |
| DPP-4 inhibitors: alogliptin, linagliptin, saxagliptin | (S)-(+)-3,3′-diphenyl-1,1′-binaphthyl-20-crown-6 | CROWNPAK CR (+), 5 μm | aq. HClO4 (pH 1.0; 1.5)/ /MeOH 80/20 aq. HClO4 (pH 1.0; 1.5)/ /EtOH 80/20 aq. HClO4 (pH 1.0)/ /2-propanol 80/20 aq. HClO4 (pH 1.0; 1.5)/ /MeCN 80/20 aq. HClO4 (pH 1.0; 1.5)/THF 80/20 | RPM | [39] |
| 18 pairs of α-amino acids | (S)-(+)-3,3′-diphenyl-1,1′-binaphthyl-18-crown-6 | CROWNPAK CR-I (+), 5 μm | EtOH/H2O/TFA 95/5/0.8 | SFC MS | [40] |
| quinolones: primaquine, lomefloxacin, tafenoquine, flumequine, ofloxacin | (+)-18-crown-6–2,3,11,12-tetracarboxylic acid | (+)-Crownpak, 5 μm | MeCN/H2O 80/20 + 10 mM H2SO4 + 10 mM NH4OAc MeCN/H2O 80/20 + 20 mM HClO4 EtOH/H2O 80/20 + 20 mM HClO4 | RPM | [41] |
| thyroxine enantiomers | (+)-18-crown-6–2,3,11,12-tetracarboxylic acid | ChiroSil RCA (+), 5-μm | MeOH/H2O/TFA 80/20/0.07 | UPLC-MS | [42] |
| proline, pipecolic acid derivatives | (+)-18-crown-6–2,3,11,12-tetracarboxylic acid | CSP-1, 5 μm; free N-H group on silica CSP-2, 5 μm; methylated N-H group on silica | MeOH/MeCN/AcOH/TEA 30/70/0.2/0.2 MeOH/MeCN/AcOH/TEA 30/70/0.1/0.3 MeOH/MeCN/AcOH/TEA 50/50/0.2/0.2 | PIM | [43] |
| methoxyphenamine and its analogs | (+)-18-crown-6–2,3,11,12-tetracarboxylic acid | CSP-1, 5 μm; free N-H group on silica CSP-2, 5 μm; methylated N-H group on silica | MeOH/MeCN/AcOH/TEA 50/50/0.1/0.5 | PIM | [44] |
| Chiral Analytes | Selector | Column Characteristics Trademark Particle Size | The most Effective Mobile Phase (v/v/v/v) | Mode | Ref. |
|---|---|---|---|---|---|
| 34 acids, warfarin, bi-2-naphthol, furoin, phenylglycinol, phensuximide, temazepam, etc. | CF-6 derivatized with propylimidazole, methylbenzimidazole, dimethylaminopropyl, pyridine, dimethylaminophenyl | SP-CF6-IM, 5 μm SP-CF6-BIM, 5 μm SP-CF6-AP, 5 μm SP-CF6-PY, 5 μm SP-CF6-DMAP, 5 μm | n-heptane/EtOH/TFA 70/30/0.1; 80/20/0.1; 90/10/0.1 and 95/5/0.1 MeCN/MeOH/AcOH/TEA 60/40/0.3/0.2; 80/20/0.3/0.2; 98/2/0.3/0.2 | NPM POM | [45] |
| 21 ruthenium (II) polypyridyl complexes | CF6-isopropylcarbamate, CF6-R-1-1-naphthyl-ethyl-carbamate, CF7-dimethyl-phenyl- carbamate | LARIHC-CF6-P, 5 μm LARIHC-CF6-RN, 5 μm LARIHC-CF7-DMP, 5 μm | MeCN/MeOH/AcOH/TEA 30/70/1.6/4.0 MeOH/AcOH/TEA 100/1.6/4.0; 100/1.6/2.4 MeCN/MeOH + 0.05 M N(CH3)4NO3 | POM | [46] |
| methionine | CF6-isopropylcarbamate | IP-CF6, 5 μm | MeOH/MeCN/AcOH/TEA 75/25/0.3/0.2 | POM | [47] |
| phenylisoserine derivatives | CF6-isopropylcarbamate, CF6-R-1-1-naphthyl-ethyl-carbamate | LARIHC-CF6-P, 5 μm LARIHC-CF6-RN, 5 μm | n-hexane/2-PrOH/TFA 50/50/0.1, 30/70/0.1; 10/90/0.1 n-hexane/2-PrOH/HClO4 10/90/0.1 MeOH/MeCN/TFA/TEA 10/90/0.3/0.2 | NPM PIM | [48] |
| 21 α-aryl ketones | CF6-isopropylcarbamate, CF6-R-1-1-naphthyl-ethyl-carbamate, CF7-dimethyl-phenyl-carbamate | LARIHC-CF6-P, 5 μm LARIHC-CF6-RN, 5 μm LARIHC-CF7-DMP, 5 μm | n-heptane/EtOH 90/10, 95/5, 98/2 n-heptane/2-PrOH 98/2 CO2/EtOH 95/5 or 98/2 | NPM SFC | [49] |
| BINOL, BINAM, thalidomide, warfarin, furoin, Troger’s base, trans-stilbene oxide, etc. | CF6 derivatized with 10 aromatic chloro and nitro moieties | 4C3MP, 3C4MP, 4CP, 3,5-DCP, 3,4DCP, 3CP, 4C2NP, 4C3NP, 4MP, 4C2MP | n-heptane/EtOH 95/5 | NPM | [50] |
| primary amines | CF6-isopropylcarbamate | LARIHC-CF6-P, 5 μm | n-heptane/EtOH/TFA/TEA 60/40/03/02 MeCN/MeOH/TFA/TEA 90/10/0.3/0.2; 60/40/0.3/0.2 | NPM POM | [51] |
| 2-naphthol atropisomers | CF6-isopropylcarbamate, CF6-R-1-1-naphthyl-ethyl-carbamate, CF7-dimethyl-phenyl-carbamate | LARIHC-CF6-P, 5 μm LARIHC-CF6-RN, 5 μm LARIHC-CF7-DMP, 5 μm | n-heptane/EtOH 95/5 n-heptane/2-PrOH 95/5; 90/10 n-heptane/BuOH 95/5 | NPM | [52] |
| indole phytoalexin analogs | CF6-isopropylcarbamate, CF6-R-1-1-naphthyl-ethyl- carbamate, CF7-dimethyl-phenyl- carbamate | LARIHC-CF6-P, 5 μm LARIHC-CF6-RN, 5 μm LARIHC-CF7-DMP, 5 μm | n-hexane/2-propanol/TFA 90/10/0.1 n-hexane/2-propanol/TEA 98/2/0.1; 95/5/0.1; 90/10/0.1 n-hexane/EtOH/TFA 90/10/0.1; 80/20/0.1; 70/30/0.1 n-hexane/EtOH/TEA 98/2/0.1; 95/5/0.1; 90/10/0.1; | NPM | [53] |
| spirobrassinin analogs | CF6-isopropylcarbamate, CF6-R-1-1-naphthyl-ethyl-carbamate, CF7-dimethyl-phenyl-carbamate | LARIHC-CF6-P, 5 μm LARIHC-CF6-RN, 5 μm LARIHC-CF7-DMP, 5 μm | n-hexane/2-propanol 90/10; 80/20 n-hexane/EtOH 90/10; 80/20 n-hexane/2-propanol/TFA 80/20/0.1; 70/30/0.1 n-hexane/2-propanol/TFA/TEA 80/20/0.3/0.2 | NPM | [54] |
| pentahelicene-derivatives | CF6-isopropylcarbamate | LARIHC-CF6-P, 5 μm | n-heptane/MeOH 99.9/0.1 | NPM | [55] |
| biaryl atropisomers: BINOL, BINAM, NOBIN, Phenap, trichlophbin | CF6-isopropylcarbamate, CF7-dimethyl-phenyl-carbamate | LARIHC-CF6-P, 5 μm LARIHC-CF7-DMP, 5 μm | n-heptane/EtOH 90/10 n-heptane/EtOH/butylamine 90/10/0.1 | NPM | [56] |
| panthenol | CF6-isopropylcarbamate | LARIHC-CF6-P, 5 μm | n-hexane/2-propanol/TFA/TEA 90/10/0.2/0.3; 75/25/0.1/0.1; 75/25/0.2/0.2; 75/25/0.1/0.2; 75/25/0.2/0.1; 50/50/0.1/0.1; 25/75/0.1/0.1 | NPM | [57] |
| panthenol | CF6-isopropylcarbamate | LARIHC-CF6-P, 5 μm | n-hexane/2-propanol 75/25 n-hexane/2-propanol/TFA/TEA 75/25/0.2/0.1 | NPM | [58] |
| 7-deazopurine-(pyrrolo[2,3-d]-pyrimidine) nucleosides | native cyclofructan | FRULIC-N, 5 μm | MeCN/aq. 10–50 mM NH4OAc (pH 4.7 or 7.5) 97/3; 95/5; 90/10; 80/20 | HILIC | [59] |
| phenylalanine | CF6-isopropylcarbamate | IP-CF6, 5 μm | MeOH/MeCN/AcOH/TEA 30/70/0.3/0.2 n-hexane/EtOH/TFA 60/40/0.1 | PIM NPM | [60] |
| Chiral Analytes | Selector | Trademark | The Most Effective Mobile Phase (v/v/v/v) | Mode | Ref. |
|---|---|---|---|---|---|
| amines, alcohols, norphenylephrine, normetanephrine, tryptophanol, 1-amino-2-indanol, (R)-(+)-2′-amino-1,1′-bi-naphthalen-2-ol, etc. | CF6-isopropyl-carbamate, CF7-dimethyl-phenyl-carbamate | CF6-P, CF7-DMP | MeOH/MeCN/TFA/TEA 20/80/0.3/0.2 MeOH/MeCN/TFA/TEA 30/70/0.3/0.2 MeOH/MeCN/TFA/TEA 8/92/0.3/0.2 n-heptane/EtOH 90/10; 95/5; 98/2 n-heptane/EtOH/TFA 70/30/0.1 | PIM NPM | [11] |
| fluorinated, desfluorinated analytes: ofloxacin, ciprofloxacin, voriconazole, atorvastatin | CF6-isopropyl-carbamate | CF6-P | MeOH/MeCN/TFA/TEA 10/90/0.3/0.2 MeOH/MeCN/TFA/TEA 5/95/0.3/0.2 MeOH/MeCN/TFA/TEA 2/98/0.3/0.2 | PIM | [64] |
| salicylic acid analogs, β-blockers, nucleic acids | CF6-benzoic acid | CF6-benzoic acid | 20 mM NH4OAc pH 4.2/MeCN 25/75 H2O/MeCN 15/85 | HILIC | [65] |
| pharmaceuticals, stimulants, reagents, amino acids and derivatives | CF6-isopropyl-carbamate | LarihcShell-P | MeOH/MeCN/AcOH/TEA (10–90)/(90–10)/0.3/0.2 MeOH/MeCN/TFA/TEA (5–10)/(95–90)/0.3/0.2 n-heptane/EtOH/TFA/TEA 90/10/0.3/0.2 | PIM NPM | [66] |
| closantel, famoxadone, fipronil | CF6-isopropyl carbamate | LarihcShell-P | n-hexane/2-propanol 95/5 n-heptane/2-propanol/TFA/TEA 90/10/0.3/0.2 | NPM | [67] |
| primary amines, norephedrine, normetanephrine, norphenylephrine, octopamine, tryptophan amide, Trp, Phe, etc. | CF6-isopropyl-carbamate | LarihcShell-P | CO2/MeOH/TEA/TFA 75/25/0.2/0.3 CO2/MeOH/TEA/TFA 80/20/0.2/0.3 | SFC | [68] |
| Trp, 1,2,2-triphenylethylamine, 2-chloroindan-1-ylamine | CF6-isopropyl-carbamate | LarihcShell-P | CO2/MeOH/TEA/TFA 75/25/0.2/0.3; 80/20/0.2/0.3; 85/15/0.2/0.3 CO2/EtOH*/TEA/TFA 75/25/0.2/0.3; 80/20/0.2/0.3; 85/15/0.2/0.3 | SFC | [69] |
| verapamil in rat plasma | CF6-isopropyl-carbamate | LarihcShell-P | MeCN/10 mM ammonium formate/TFA 99.8/0.1/0.1 | RPM | [70] |
Publisher’s Note: MDPI stays neutral with regard to jurisdictional claims in published maps and institutional affiliations. |
© 2021 by the authors. Licensee MDPI, Basel, Switzerland. This article is an open access article distributed under the terms and conditions of the Creative Commons Attribution (CC BY) license (https://creativecommons.org/licenses/by/4.0/).
Share and Cite
Berkecz, R.; Németi, G.; Péter, A.; Ilisz, I. Liquid Chromatographic Enantioseparations Utilizing Chiral Stationary Phases Based on Crown Ethers and Cyclofructans. Molecules 2021, 26, 4648. https://doi.org/10.3390/molecules26154648
Berkecz R, Németi G, Péter A, Ilisz I. Liquid Chromatographic Enantioseparations Utilizing Chiral Stationary Phases Based on Crown Ethers and Cyclofructans. Molecules. 2021; 26(15):4648. https://doi.org/10.3390/molecules26154648
Chicago/Turabian StyleBerkecz, Róbert, Gábor Németi, Antal Péter, and István Ilisz. 2021. "Liquid Chromatographic Enantioseparations Utilizing Chiral Stationary Phases Based on Crown Ethers and Cyclofructans" Molecules 26, no. 15: 4648. https://doi.org/10.3390/molecules26154648
APA StyleBerkecz, R., Németi, G., Péter, A., & Ilisz, I. (2021). Liquid Chromatographic Enantioseparations Utilizing Chiral Stationary Phases Based on Crown Ethers and Cyclofructans. Molecules, 26(15), 4648. https://doi.org/10.3390/molecules26154648

