Effect of Coconut and Chestnut Flour Supplementations on Texture, Nutritional and Sensory Properties of Baked Wheat Based Bread
Abstract
1. Introduction
2. Results and Discussion
2.1. Characteristics of the Flours
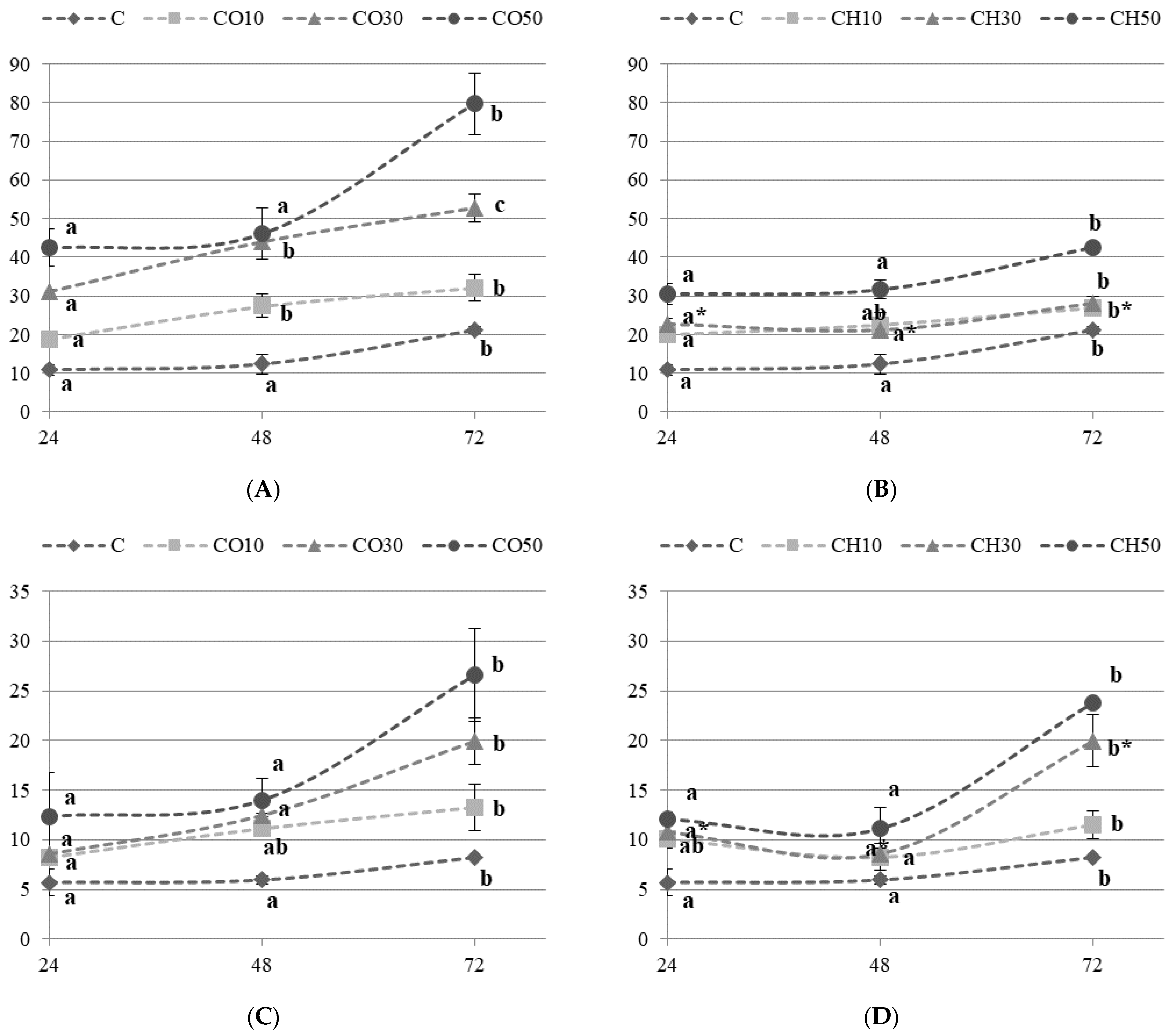
2.2. Dietary Fibre Evaluation
2.3. Specific Volume, Colour and Texture of Breads
2.4. Sensory Characteristics of Breads
2.5. The Comprehensive Overview of Obtained Breads Characteristics
3. Materials and Methods
3.1. Chemicals
3.2. Preparation of Breads
3.3. Specific Volume of Breads
3.4. Moisture and Ash Determination
3.5. Determination of Proximal Nutritional and Energy Values
3.6. Colour Determination of Breads
3.7. Evaluation of Breads Texture
3.8. Sensory Evaluation of Breads
3.9. Calculations and Statistics
4. Conclusions
Supplementary Materials
Author Contributions
Funding
Institutional Review Board Statement
Informed Consent Statement
Data Availability Statement
Acknowledgments
Conflicts of Interest
Sample Availability
Abbreviations
Appendix A
| Resilience | Cohesiveness | Chewiness (N) | Resilience | Cohesiveness | Chewiness (N) | |
|---|---|---|---|---|---|---|
| C | CO10 | |||||
| 24 h | 0.89 ± 0.03 a | 0.53 ± 0.01 b | 5.05 ± 0.38 a | 0.84 ± 0.07 a | 0.44 ± 0.01 a | 6.87 ± 0.54 a |
| 48 h | 0.90 ± 0.05 a | 0.43 ± 0.05 a | 4.75 ± 1.25 a | 0.93 ± 0.11 a | 0.41 ± 0.04 a | 10.36 ± 1.18 b |
| 72 h | 0.87 ± 0.01 a | 0.39 ± 0.01 a | 7.28 ± 0.12 b | 0.89 ± 0.08 a | 0.41 ± 0.03 a | 11.70 ± 1.03 b |
| CO30 | CO50 | |||||
| 24 h | 0.87 ± 0.12 b | 0.41 ± 0.02 b | 7.43 ± 0.68 a | 0.48 ± 0.03 a | 0.29 ± 0.07 a | 6.32 ± 2.00 a |
| 48 h | 0.57 ± 0.02 a | 0.28 ± 0.03 a | 7.07 ± 1.05 a | 0.50 ± 0.05 a | 0.26 ± 0.02 a | 7.03 ± 0.74 a |
| 72 h | 0.67 ± 0.10 ab | 0.38 ± 0.04 b | 13.96 ± 1.29 b | 0.48 ± 0.09 a | 0.33 ± 0.03 a | 12.67 ± 1.96 b |
| CH10 | CH30 | |||||
| 24 h | 0.93 ± 0.10 a | 0.45 ± 0.01 a | 9.32 ± 1.08 a | 0.67 ± 0.10 a | 0.38 ± 0.04 a | 7.43 ± 0.6 8 a |
| 48 h | 0.91 ± 0.03 a | 0.42 ± 0.03 a | 7.58 ± 1.38 a | 0.87 ± 0.12 a | 0.41 ± 0.02 a | 9.70 ± 0.75 b |
| 72 h | 0.90 ± 0.07 a | 0.44 ± 0.01 a | 10.42 ± 1.65 a | 0.87 ± 0.09 a | 0.38 ± 0.03 a | 14.29 ± 0.85 c |
| CH50 | ||||||
| 24 h | 0.94 ± 0.06 a | 0.40 ± 0.02 b | 11.36 ± 1.05 a | |||
| 48 h | 0.97 ± 0.05 a | 0.35 ± 0.03 b | 12.34 ± 0.15 b | |||
| 72 h | 0.80 ± 0.14 a | 0.18 ± 0.01 a | 16.04 ± 0.76 c |
References
- Conte, P.; Fadda, C.; Piga, A.; Collar, C. Techno-functional and nutritional performance of commercial breads available in Europe. Food Sci. Technol. Int. 2016, 22, 621–633. [Google Scholar] [CrossRef]
- Dall’Asta, C.; Cirlini, M.; Morini, E.; Rinaldi, M.; Ganino, T.; Chiavaro, E. Effect of chestnut flour supplementation on physico-chemical properties and volatiles in bread making. LWT-Food Sci. Technol. 2013, 53, 233–239. [Google Scholar] [CrossRef]
- de Vasconcelos, M.C.B.M.; Bennett, R.N.; Rosa, E.A.S.; Ferreira-Cardoso, J.V. Composition of European chestnut (Castanea sativa Mill.) and association with health effects: Fresh and processed products. J. Sci. Food Agric. 2010, 90, 1578–1589. [Google Scholar] [CrossRef] [PubMed]
- Littardi, P.; Paciulli, M.; Carini, E.; Rinaldi, M.; Rodolfi, M.; Chiavaro, E. Quality evaluation of chestnut flour addition on fresh pasta. Lwt 2020, 126, 109303. [Google Scholar] [CrossRef]
- Yang, F.; Huang, X.; Zhang, C.; Zhang, M.; Huang, C.; Yang, H. Amino acid composition and nutritional value evaluation of Chinese chestnut (Castanea mollissima Blume) and its protein subunit. RSC Adv. 2018, 8, 2653–2659. [Google Scholar] [CrossRef]
- Mujić, I.; Agayn, V.; Zivković, J.; Velić, D.; Jokić, S.; Alibabić, V.; Rekić, A. Chestnuts, a “Comfort” Healthy Food? In Acta Horticulturae, Proceedings of the 1st European Congress on Chestnut-Castanea 2009; Bounous, G., Beccaro, G., Eds.; International Society for Horticultural Science: Korbeek-Lo, Belgium, 2010; Volume 866, pp. 659–666. [Google Scholar]
- Borges, O.; Gonçalves, B.; de Carvalho, J.L.S.; Correia, P.; Silva, A.P. Nutritional quality of chestnut (Castanea sativa Mill.) cultivars from Portugal. Food Chem. 2008, 106, 976–984. [Google Scholar] [CrossRef]
- Ribeiro, B.; Rangel, J.; Valentão, P.; Andrade, P.B.; Pereira, J.A.; Bölke, H.; Seabra, R.M. Organic acids in two Portuguese chestnut (Castanea sativa Miller) varieties. Food Chem. 2007, 100, 504–508. [Google Scholar] [CrossRef]
- Sacchetti, G.; Pittia, P.; Mastrocola, D.; Pinnavaia, G.G. Stability and quality of traditional and innovative chestnut based products. Acta Hortic. 2005, 693, 63–70. [Google Scholar] [CrossRef]
- Kwon, K.; Park, K.H.; Rhee, K.C. Fractionation and characterization of proteins from coconut (Cocos nucifera L.). J. Agric. Food Chem. 1996, 44, 1741–1745. [Google Scholar] [CrossRef]
- Sykut-Domańska, E.; Zarzycki, P.; Sobota, A.; Teterycz, D.; Wirkijowska, A.; Blicharz-Kania, A.; Andrejko, D.; Mazurkiewicz, J. The potential use of by-products from coconut industry for production of pasta. J. Food Process. Preserv. 2020, 44, 1–9. [Google Scholar] [CrossRef]
- Gunathilake, K.D.P.P.; Abeyrathne, Y.M.R.K. Incorporation of Coconut Flour into Wheat Flour. J. Food Process. Preserv. 2008, 32, 133–142. [Google Scholar] [CrossRef]
- Jessa, J.; Hozyasz, K.K. Wartość zdrowotna produktów kokosowych. Pediatr. Pol. 2015, 90, 415–423. [Google Scholar] [CrossRef]
- Pejcz, E.; Mularczyk, A.; Gil, Z. Technological characteristics of wheat and non-cereal flour blends and their applicability in bread making. J. Food Nutr. Res. 2015, 54, 69–78. [Google Scholar]
- Jamieson, J.A.; Viana, L.; English, M.M. Folate Content and Chemical Composition of Commercially Available Gluten-Free Flour Alternatives. Plant. Foods Hum. Nutr. 2020, 75, 337–343. [Google Scholar] [CrossRef] [PubMed]
- Thaiphanit, S.; Anprung, P. Increasing the utilization of coconut (Cocos nucifera L.) wet processing waste: Physicochemical and functional properties of coconut protein powder. In Proceedings of the 1st Joint ACS AGFD-ACS ICSCT Symposium, Bangkok, Thailand, 4–5 March 2014; Volume 4, pp. 205–207. [Google Scholar]
- Adeloye, J.B.; Osho, H.; Idris, L.O. Defatted coconut flour improved the bioactive components, dietary fibre, antioxidant and sensory properties of nixtamalized maize flour. J. Agric. Food Res. 2020, 2, 100042. [Google Scholar] [CrossRef]
- Rawat, N.; Darappa, I. Effect of ingredients on rheological, nutritional and quality characteristics of fibre and protein enriched baked energy bars. J. Food Sci. Technol. 2015, 52, 3006–3013. [Google Scholar] [CrossRef] [PubMed][Green Version]
- Trinidad, T.P.; Mallillin, A.C.; Valdez, D.H.; Loyola, A.S.; Askali-Mercado, F.C.; Castillo, J.C.; Encabo, R.R.; Masa, D.B.; Maglaya, A.S.; Chua, M.T. Dietary fiber from coconut flour: A functional food. Innov. Food Sci. Emerg. Technol. 2006, 7, 309–317. [Google Scholar] [CrossRef]
- ISO/TC 34/SC 4 Cereals and Pulses ISO 711:2009 Cereals and Cereal Products-Determination of Moisture Content-Reference Method. 2016, 16. Available online: https://www.iso.org/obp/ui/#iso:std:iso:712:ed-4:v1:en (accessed on 30 July 2021).
- Demirkesen, I.; Mert, B.; Sumnu, G.; Sahin, S. Utilization of chestnut flour in gluten-free bread formulations. J. Food Eng. 2010, 101, 329–336. [Google Scholar] [CrossRef]
- Carbone, J.W.; Pasiakos, S.M. Dietary protein and muscle mass: Translating science to application and health benefit. Nutrients 2019, 11, 1136. [Google Scholar] [CrossRef]
- Mete, M.; Dülger Altiner, D. Chestnut Flour and Applications of Utilization. Int. J. Food Eng. Res. 2017, 9–16. [Google Scholar]
- Lattimer, J.M.; Haub, M.D. Effects of dietary fiber and its components on metabolic health. Nutrients 2010, 2, 1266–1289. [Google Scholar] [CrossRef]
- Gómez, M.; Ronda, F.; Blanco, C.A.; Caballero, P.A.; Apesteguía, A. Effect of dietary fibre on dough rheology and bread quality. Eur. Food Res. Technol. 2003, 216, 51–56. [Google Scholar] [CrossRef]
- Sujka, K.; Ceglińska, A.; Romankiewicz, D.; Kacprzyk, E. The influence of dietary fiber on moisture and texture changes in wheat bread during storage. Acta Agrophysica 2018, 25, 73–84. [Google Scholar] [CrossRef]
- Paciulli, M.; Rinaldi, M.; Cirlini, M.; Scazzina, F.; Chiavaro, E. Chestnut flour addition in commercial gluten-free bread: A shelf-life study. LWT-Food Sci. Technol. 2016, 70, 88–95. [Google Scholar] [CrossRef]
- Erminawati; Sidik, W.; Listanti, R.; Zulfakar, H. Formulation and characterization of bread using coconut-pulp flour and wheat flour composite with addition of xanthan-gum. IOP Conf. Ser. Earth Environ. Sci. 2018, 102, 012010. [Google Scholar] [CrossRef]
- Bakke, A.; Vickers, Z. Consumer liking of refined and whole wheat breads. J. Food Sci. 2007, 72, S473–S480. [Google Scholar] [CrossRef] [PubMed]
- Heiniö, R.L.; Noort, M.W.J.; Katina, K.; Alam, S.A.; Sozer, N.; de Kock, H.L.; Hersleth, M.; Poutanen, K. Sensory characteristics of wholegrain and bran-rich cereal foods-A review. Trends Food Sci. Technol. 2016, 47, 25–38. [Google Scholar] [CrossRef]
- AACC Approved Methods of Analysis 11th Ed. Method 10-05.01. Guidelines for Measurement of Volume by Rapeseed Displacement. Available online: http://methods.aaccnet.org/summaries/10-05-01.aspx (accessed on 30 July 2021).
- AACC Approved Methods of Analysis 11th Ed. Method 44-15.02. Moisture-Air-Oven Methods. Available online: http://methods.aaccnet.org/summaries/44-15-02.aspx (accessed on 30 July 2021).
- AACC Approved Methods of Analysis 11th Ed. Method 08-01.01. Ash—Basic Method. Available online: http://methods.aaccnet.org/summaries/08-01-01.aspx (accessed on 30 July 2021).
- AACC Approved Methods of Analysis 11th Ed. Method 46-11.02. Crude Protein—Improved Kjeldahl Method, Copper Cat-alyst Modification. Available online: http://methods.aaccnet.org/summaries/46-11-02.aspx (accessed on 30 July 2021).
- AACC Approved Methods of Analysis 11th Ed. Method 32-07.01. Soluble, Insoluble, and Total Dietary Fiber in Foods and Food Products. Available online: http://methods.aaccnet.org/summaries/32-07-01.aspx (accessed on 30 July 2021).
- AOAC Official Method 991.43 Total, Soluble, and Insoluble Dietary Fibre in Foods. Available online: http://www.aoacofficialmethod.org/index.php?main_page=product_info&products_id=1183 (accessed on 30 July 2021).
- Bourne, M.C. Texture profile analysis. Food Technol. 1978, 32, 62–72. [Google Scholar]






| Wheat Flour | Coconut (CO) Flour | Chestnut (CH) Flour | |
|---|---|---|---|
| Moisture (%) | 12.75 ± 0.01 c | 4.37 ± 0.01 a | 6.80 ± 0.01 b |
| Protein | 14.25 ± 0.04 b | 19.47 ± 0.12 c | 6.93 ± 0.18 a |
| Fat | 2.03 ± 0.01 a | 24.83 ± 0.16 b | 3.78 ± 0.02 a |
| Ash | 0.71 ± 0.01 a | 3.54 ± 0.01 c | 1.98 ± 0.01 b |
| Carbohydrates | 67.41 ± 0.02 b | 15.02 ± 0.08 a | 68.02 ± 0.06 b |
| Insoluble dietary fibre | 1.75 ± 0.04 a | 31.70 ± 0.11 c | 10.91 ± 0.68 b |
| Soluble dietary fibre | 1.10 ± 0.25 a | 1.07 ± 0.08 a | 1.58 ± 0.13 b |
| Total dietary fibre | 2.85 ± 0.22 a | 32.77 ± 0.19 c | 12.49 ± 0.81 b |
| Energy value (kJ) | 1489.6 ± 35.7 a | 1785.1 ± 9.1 b | 1500.9 ± 13.9 a |
| Energy value (kcal) | 356.0 ± 8.5 a | 426.7 ± 2.2 b | 358.7 ± 3.3 a |
| . | C | CO5 | CO10 | CO15 | CO30 | CO50 | CH5 | CH10 | CH15 | CH30 | CH50 |
|---|---|---|---|---|---|---|---|---|---|---|---|
| Colorimetric parameters of crumb ‡ | |||||||||||
| L* | 66.89 ± 0.31 d | 67.91 ± 0.27 e | 68.92 ± 0.60 f | 70.55 ± 0.44 g | 75.43 ± 0.24 h | 79.01 ± 0.80 i | 60.77 ± 0.25 c | 54.64 ± 0.35 b | 54.07 ± 0.31 b | 51.84 ± 0.37 a | 52.18 ± 0.32 a |
| a* | 3.06 ± 0.08 d | 3.03 ± 0.07 cd | 3.00 ± 0.12 cd | 2.84 ± 0.09 c | 2.36 ± 0.04 b | 1.99 ± 0.13 a | 4.26 ± 0.03 e | 5.45 ± 0.07 f | 6.20 ± 0.06 g | 8.44 ± 0.05 h | 8.55 ± 0.22 h |
| b* | 21.91 ± 0.27 g | 22.23 ± 0.17 gh | 22.54 ± 0.22 h | 21.86 ± 0.22 g | 19.81 ± 0.35 f | 17.48 ± 0.35 e | 13.30 ± 0.20 a | 13.66 ± 0.16 ab | 14.16 ± 0.14 b | 15.65 ± 0.17 c | 16.48 ± 0.49 d |
| ΔE* | - | 1.08 ± 0.24 a | 2.15 ± 0.54 b | 3.67 ± 0.45 c | 8.83 ± 0.23 d | 12.95 ± 0.80 f | 10.63 ± 0.26 e | 14.96 ± 0.25 g | 15.31 ± 0.24 g | 17.17 ± 0.31 h | 16.63 ± 0.30 h |
| Macronutrients composition (g/100 g dry matter) of breads# | |||||||||||
| moisture (%) | 35.39 ± 0.01 e | 34.04 ± 0.01 a | 35.41 ± 0.02 e | 35.62 ± 0.01 f | 35.96 ± 0,02 h | 35.43 ± 0.01 e | 35.23 ± 0,02 c | 35.31 ± 0.02 d | 35.61 ± 0.01 f | 35.70 ± 0.01 g | 34.69 ± 0.02 b |
| proteins | 13.43 ± 0.25 d | 13.02 ± 0.35 cd | 13.19 ± 0.36 d | 13.29 ± 0.21 d | 15.53 ± 0.13 e | 17.79 ± 0.07 f | 12.41 ± 0.69 cd | 12.87 ± 0.32 cd | 11.87 ± 0.13 bc | 11.37 ± 0.08 ab | 10.52 ± 0.18 a |
| fat | 1.83 ± 0.02 a | 2.83 ± 0.04 f | 3.99 ± 0.04 g | 5.12 ± 0.04 h | 8.69 ± 0.03 i | 14.33 ± 0.06 j | 1.90 ± 0.02 ab | 1.98 ± 0.04 bc | 2.06 ± 0.04 c | 2.32 ± 0.04 d | 2.63 ± 0.04 e |
| ash | 1.42 ± 0.03 a | 1.72 ± 0.04 c | 2.08 ± 0.03 e | 2.41 ± 0.05 f | 3.42 ± 0.03 h | 4.70 ± 0.05 i | 1.56 ± 0.04 b | 1.71 ± 0.05 c | 1.86 ± 0.04 d | 2.30 ± 0.06 f | 2.86 ± 0.03 g |
| carbohydrates | 44.68 ± 0.73 fg | 41.78 ± 0.50 e | 37.58 ± 0.69 d | 34.31 ± 0.21 c | 22.50 ± 0.07 b | 7.91 ± 0.06 a | 44.68 ± 1.04 g | 43.15 ± 0.29 fg | 43.18 ± 0.38 fg | 42.02 ± 0.19 ef | 41.99 ± 0.06 e |
| energy (kcal) | 253.9 ± 0.9 d | 257.8 ± 0.5 e | 254.4 ± 0.4 d | 254.9 ± 0.2 d | 258.1 ± 0.3 e | 271.4 ± 0.3 f | 253.8 ± 0.5 d | 251.8 ± 0.3 c | 249.5 ± 0.2 b | 246.9 ± 0.5 a | 248.2 ± 0.2 ab |
| energy (kJ) | 1062.2 ± 3.6 d | 1078.6 ± 1.0 e | 1064.6 ± 1.7 d | 1066.5 ± 0.7 d | 1079.9 ± 1.1 e | 1135.5 ± 1.2 f | 1061.9 ± 2.1 d | 1053.3 ± 1.1 c | 1043.9 ± 0.8 b | 1033.2 ± 2.2 a | 1038.6 ± 0.7 ab |
| Ingredient | C * | CO5 | CO10 | CO15 | CO30 | CO50 | CH5 | CH10 | CH15 | CH30 | CH50 |
|---|---|---|---|---|---|---|---|---|---|---|---|
| Wheat flour | 59.7 | 56.8 | 53.8 | 50.8 | 41.8 | 29.9 | 56.8 | 53.8 | 50.8 | 41.8 | 29.9 |
| Water | 38.8 | 38.8 | 38.8 | 38.8 | 38.8 | 38.8 | 38.8 | 38.8 | 38.8 | 38.8 | 38.8 |
| Salt | 0.9 | 0.9 | 0.9 | 0.9 | 0.9 | 0.9 | 0.9 | 0.9 | 0.9 | 0.9 | 0.9 |
| Yeast | 0.5 | 0.5 | 0.5 | 0.5 | 0.5 | 0.5 | 0.5 | 0.5 | 0.5 | 0.5 | 0.5 |
| Coconut flour | - | 3.0 | 6.0 | 9.0 | 17.9 | 29.9 | - | - | - | - | - |
| Chestnut flour | - | - | - | - | - | - | 3.0 | 6.0 | 9.0 | 17.9 | 29.9 |
Publisher’s Note: MDPI stays neutral with regard to jurisdictional claims in published maps and institutional affiliations. |
© 2021 by the authors. Licensee MDPI, Basel, Switzerland. This article is an open access article distributed under the terms and conditions of the Creative Commons Attribution (CC BY) license (https://creativecommons.org/licenses/by/4.0/).
Share and Cite
Raczyk, M.; Kruszewski, B.; Michałowska, D. Effect of Coconut and Chestnut Flour Supplementations on Texture, Nutritional and Sensory Properties of Baked Wheat Based Bread. Molecules 2021, 26, 4641. https://doi.org/10.3390/molecules26154641
Raczyk M, Kruszewski B, Michałowska D. Effect of Coconut and Chestnut Flour Supplementations on Texture, Nutritional and Sensory Properties of Baked Wheat Based Bread. Molecules. 2021; 26(15):4641. https://doi.org/10.3390/molecules26154641
Chicago/Turabian StyleRaczyk, Marianna, Bartosz Kruszewski, and Dorota Michałowska. 2021. "Effect of Coconut and Chestnut Flour Supplementations on Texture, Nutritional and Sensory Properties of Baked Wheat Based Bread" Molecules 26, no. 15: 4641. https://doi.org/10.3390/molecules26154641
APA StyleRaczyk, M., Kruszewski, B., & Michałowska, D. (2021). Effect of Coconut and Chestnut Flour Supplementations on Texture, Nutritional and Sensory Properties of Baked Wheat Based Bread. Molecules, 26(15), 4641. https://doi.org/10.3390/molecules26154641

