Broadband Unidirectional Forward Scattering with High Refractive Index Nanostructures: Application in Solar Cells
Abstract
:1. Introduction
2. Results and Discussion
2.1. Scattering Geometry
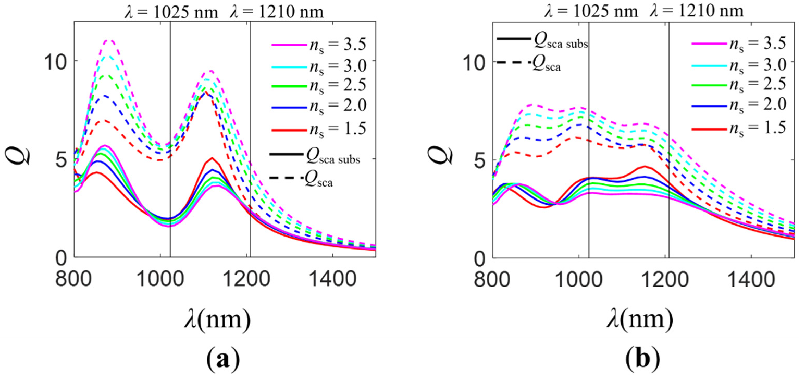
2.2. Radiation Scattered into a Monolayer Substrate
2.3. Radiation Scattered into a Multilayer Substrate
3. Materials and Methods
3.1. Fraction of Radiation Scattered into the Substrate
3.2. Optimization of the Multilayer Substrate
- A loop of values for both parameters (t and n) for each of the layers was selected.
- For each simulation (corresponding to a certain t and n value for each one of the layers), the area under the curve corresponding to the reflection spectrum was analytically calculated.
- A bespoke MATLAB program returned the thickness and refractive index values that provided the minimum reflection (minimum value in step 2).
4. Conclusions
Supplementary Materials
Author Contributions
Funding
Institutional Review Board Statement
Informed Consent Statement
Data Availability Statement
Acknowledgments
Conflicts of Interest
References
- Caldarola, M.; Albella, P.; Cortes, E.; Rahmani, M.; Roschuk, T.; Grinblat, G.; Oulton, R.F.; Bragas, A.V.; Maier, S.A. Non-plasmonic nanoantennas for surface enhanced spectroscopies with ultra-low heat conversion. Nat. Commun. 2015, 6, 7915. [Google Scholar] [CrossRef] [PubMed] [Green Version]
- García-Etxarri, A.; Gómez-Medina, R.; Froufe-Pérez, L.S.; Lopez, C.; Chantada, L.; Scheffold, F.; Aizpurua, J.; Vesperinas, M.N.; Sáenz, J. Strong magnetic response of submicron silicon particles in the infrared. Opt. Express 2011, 19, 4815–4826. [Google Scholar] [CrossRef] [PubMed] [Green Version]
- Forouhi, A.; Bloomer, I. Optical properties of crystalline semiconductors and dielectrics. Phys. Rev. B 1988, 38, 1865–1874. [Google Scholar] [CrossRef] [PubMed]
- Shi, L.; Harris, J.T.; Fenollosa, R.; Rodriguez, I.; Lu, X.; Korgel, A.B.; Meseguer, F. Monodisperse silicon nanocavities and photonic crystals with magnetic response in the optical region. Nat. Commun. 2013, 4, 1904. [Google Scholar] [CrossRef] [PubMed]
- Evlyukhin, A.B.; Reinhardt, C.; Seidel, A.; Luk’yanchuk, B.; Chichkov, B.N. Optical response features of Si-nanoparticle arrays. Phys. Rev. B 2010, 82, 045404. [Google Scholar] [CrossRef] [Green Version]
- Gómez-Medina, R.; García-Cámara, B.; Suárez-Lacalle, I.; Gonzalez, F.; Moreno, F.; Nieto-Vesperinas, M.; Sáenz, J.J. Electric and magnetic dipolar response of germanium nanospheres: Interference effects, scattering anisotropy, and optical forces. J. Nanophoton. 2011, 5, 053512. [Google Scholar] [CrossRef] [Green Version]
- Kuznetsov, A.I.; Miroshnichenko, A.E.; Fu, Y.H.; Zhang, J.; Luk’yanchuk, B. Magnetic light. Sci. Rep. 2012, 2, 492. [Google Scholar] [CrossRef] [PubMed] [Green Version]
- García-Cámara, B.; Moreno, F.; González, F.; Saiz, J.M.; Videen, G. Light scattering resonances in small particles with electric and magnetic properties. J. Opt. Soc. Am. A 2008, 25, 327–334. [Google Scholar] [CrossRef] [Green Version]
- Bakker, R.M.; Permyakov, D.; Yuri, K.; Markovich, D.; Paniagua-Dominguez, R.; Gonzaga, L.; Samusev, A.; Kivshar, Y.; Luk’Yanchuk, B.; Kuznetsov, A.I. Magnetic and electric hotspots with silicon nanodimers. Nano Lett. 2015, 15, 2137–2142. [Google Scholar] [CrossRef]
- Van de Groep, J.; Polman, A. Designing dielectric resonators on substrates: Combining magnetic and electric resonances. Opt. Express 2013, 21, 26285–26302. [Google Scholar] [CrossRef] [PubMed]
- Brongersma, M.L.; Cui, Y.; Fan, S. Light management for photovoltaics using high-index nanostructures. Nat. Mater. 2014, 13, 451–460. [Google Scholar] [CrossRef] [PubMed]
- Kerker, M.; Wang, D.; Giles, C.L. Electromagnetic scattering by magnetic spheres. J. Opt. Soc. Am. 1983, 73, 765–767. [Google Scholar] [CrossRef]
- Laee, R.A.; Ilter, R.F.; Ehr, D.L.; Ederer, F.L. A generalized Kerker condition for highly directive nanoantennas. Opt. Lett. 2015, 40, 2645–2648. [Google Scholar] [CrossRef]
- Geffrin, J.-M.; Garcia, B.; Gómez-Medina, R.; Albella, P.; Froufe-Pérez, L.S.; Eyraud, C.; Litman, A.; Vaillon, R.; González, F.; Nieto-Vesperinas, M.; et al. Magnetic and electric coherence in forward- and back-scattered electromagnetic waves by a single dielectric subwavelength sphere. Nat. Commun. 2012, 3, 1171. [Google Scholar] [CrossRef]
- Fu, Y.H.; Kuznetsov, A.I.; Miroshnichenko, A.E.; Yu, Y.F.; Luk’yanchuk, B. Directional visible light scattering by silicon nanoparticles. Nat. Commun. 2013, 4, 1527. [Google Scholar] [CrossRef] [PubMed] [Green Version]
- García-Cámara, B.; Alcaraz de la Osa, R.; Saiz, J.M.; González, F.; Moreno, F. Directionality in scattering by nanoparticles: Kerker’s null-scattering conditions revisited. Opt. Lett. 2011, 36, 728–730. [Google Scholar] [CrossRef] [PubMed] [Green Version]
- Zambrana-Puyalto, X.; Fernandez-Corbaton, I.; Juan, M.L.; Vidal, X.; Molina-Terriza, G. Duality symmetry and Kerker conditions. Opt. Lett. 2013, 38, 1857–1859. [Google Scholar] [CrossRef] [Green Version]
- Zhang, Y.; Nieto-Vesperinas, M.; Sáenz, J.J. Dielectric spheres with maximum forward scattering and zero backscattering: A search for their material composition. J. Opt. 2013, 17, 105612–105615. [Google Scholar] [CrossRef] [Green Version]
- Shibanuma, T.; Albella, P.; Maier, S.A. Unidirectional light scattering with high efficiency at optical frequencies based on low-loss dielectric nanoantennas. Nanoscale 2016, 8, 14184–14192. [Google Scholar] [CrossRef] [PubMed] [Green Version]
- Barreda, A.I.; Saleh, H.; Litman, A.; González, F.; Geffrin, J.-M.; Moreno, F. On the scattering directionality of a dielectric particle dimer of high refractive index. Sci. Rep. 2018, 8, 7976. [Google Scholar] [CrossRef] [PubMed]
- Barreda, A.I.; Saleh, H.; Litman, A.; González, F.; Geffrin, J.-M.; Moreno, F. Scattering directionality of high refractive index dielectric particles: A note for solar energy harvesting. Proc. SPIE 2018, 10527, 105270K. [Google Scholar] [CrossRef]
- Atwater, H.A.; Polman, A. Plasmonics for improved photovoltaic devices. Nat. Mater. 2010, 9, 205–213. [Google Scholar] [CrossRef]
- Catchpole, K.R.; Polman, A. Plasmonic solar cells. Opt. Express 2008, 16, 21793–21800. [Google Scholar] [CrossRef] [Green Version]
- Nagel, J.R.; Scarpulla, M.A. Enhanced absorption in optically thin solar cells by scattering from embedded dielectric nanoparticles. Opt. Express 2010, 18, A139–A146. [Google Scholar] [CrossRef]
- Barreda, A.I.; Gutiérrez, Y.; Alcaraz de la Osa, R.; Moreno, F.; González, F. Optimizing shape characteristics of high refractive index particles to improve forward scattering. J. Quant. Spectrosc. Radiat. Transf. 2019, 236, 106573. [Google Scholar] [CrossRef]
- Staude, I.; Miroshnichenko, A.; Decker, M.; Fofang, N.T.; Liu, S.; Gonzales, E.; Dominguez, J.; Luk, T.S.; Neshev, D.N.; Brener, I.; et al. Tailoring Directional Scattering through Magnetic and Electric Resonances in Subwavelength Silicon Nanodisks. ACS Nano. 2013, 7, 7824–7832. [Google Scholar] [CrossRef]
- Luk’yanchuk, B.S.; Voshchinnikov, N.V.; Paniagua-Domínguez, R.; Kuznetsov, A.I. Optimum Forward Light Scattering by Spherical and Spheroidal Dielectric Nanoparticles with High Refractive Index. ACS Photonics 2015, 2, 993–999. [Google Scholar] [CrossRef]
- Yu, P.; Yao, Y.; Wu, J.; Niu, X.; Rogach, A.L.; Wang, Z. Effects of Plasmonic Metal Core -Dielectric Shell Nanoparticles on the Broadband Light Absorption Enhancement in Thin Film Solar Cells. Sci. Rep. 2017, 7, 7696. [Google Scholar] [CrossRef] [PubMed] [Green Version]
- Kim, H.J.; Jun, J.; Choi, H.J.; Kwon, H.; Park, J.; Seo, C.; Kim, J.K.; Shin, J.; Kim, J.; Lee, H.; et al. Pyramidal Metal–dielectric hybrid-structure geometry with an asymmetric TiO2 layer for broadband light absorption and photocatalytic applications. Nano Energy 2018, 53, 468. [Google Scholar] [CrossRef]
- Ren, X.; Li, X.; Choy, W.C.H. Optically enhanced semi-transparent organic solar cells through hybrid metal/nanoparticle/dielectric nanostructure. Nano Energy 2015, 17, 187. [Google Scholar] [CrossRef]
- Mutitu, J.G.; Shi, S.; Barnett, A.; Prather, D.W. Hybrid Dielectric-Metallic Back Reflector for Amorphous Silicon Solar Cells. Energies 2010, 3, 1914–1933. [Google Scholar] [CrossRef]
- Liu, K.; Qu, S.; Zhang, X.; Tan, F.; Wang, Z. Improved photovoltaic performance of silicon nanowire/organic hybrid solar cells by incorporating silver nanoparticles. Nanoscale Res. Lett. 2013, 8, 88. [Google Scholar] [CrossRef] [PubMed] [Green Version]
- Markovich, D.L.; Ginzburg, P.; Samusev, A.K.; Belov, P.A.; Zayats, A.V. Magnetic dipole radiation tailored by substrates: Numerical investigation. Opt. Express 2014, 22, 10693–10702. [Google Scholar] [CrossRef] [PubMed] [Green Version]
- Miroshnichenko, A.E.; Evlyukhin, A.B.; Kivshar, Y.S.; Chichkov, B.N. Substrate-induced resonant magnetoelectric effects for dielectric nanoparticles. ACS Photonics 2015, 2, 1423–1428. [Google Scholar] [CrossRef]
- Kuo, Y.-L.; Chuang, S.-Y.; Chen, S.-Y.; Chen, K.-P. Enhancing the interaction between high-refractive index nanoparticles and gold film substrates based on oblique incidence excitation. ACS Omega 2016, 1, 613–619. [Google Scholar] [CrossRef] [PubMed]
- Yamaguchi, T.; Yoshida, S.; Kinbara, A. Optical effect of the substrate on the anomalous absorption of aggregated silver films. Thin Solid Films 1974, 21, 173–187. [Google Scholar] [CrossRef]
- Knight, M.W.; Wu, Y.; Lassiter, J.B.; Nordlander, P.; Halas, N.J. Substrates matter: Influence of an adjacent dielectric on an individual plasmonic nanoparticle. Nano Lett. 2009, 9, 2188–2192. [Google Scholar] [CrossRef] [PubMed]
- Bobbert, P.A.; Vlieger, J. Light scattering by a sphere on a substrate. Phys. A Stat. Mech. Appl. 1986, 137, 209–242. [Google Scholar] [CrossRef]
- Spinelli, P.; Verschuuren, M.A.; Polman, A. Broadband omnidirectional antireflection coating based on subwavelength surface Mie resonators. Nat. Commun. 2012, 3, 692. [Google Scholar] [CrossRef] [Green Version]
- Pors, A.; Andersen, S.K.H.; Bozhevolnyi, S.I. Unidirectional scattering by nanoparticles near substrates: Generalized Kerker conditions. Opt. Express 2015, 23, 28808–28828. [Google Scholar] [CrossRef] [PubMed] [Green Version]
- Lee, Y.-J.; Ruby, D.S.; Peters, D.W.; McKenzie, B.B.; Hsu, J.W.P. ZnO nanostructures as efficient antireflection layers in solar cells. Nano Lett. 2008, 8, 1501–1505. [Google Scholar] [CrossRef]
- Zhao, J.; Green, M.A. Optimized antireflection coatings for high-efficiency silicon solar cells. IEEE Trans. Electron. Devices 1991, 38, 1925–1934. [Google Scholar] [CrossRef]
- Bouhafs, D.; Moussi, A.; Chikouche, A.; Ruiz, J.M. Design and simulation of antireflection coating systems for optoelectronic devices: Application to silicon solar cells. Sol. Energy. Mater. Sol. Cells 1998, 52, 79–93. [Google Scholar] [CrossRef]
- Lien, S.-Y.; Wuu, D.-S.; Yeh, W.-C.; Liu, J.-C. Tri-layer antireflection coatings (SiO2/SiO2-TiO2/TiO2) for silicon solar cells using a sol-gel technique. Sol. Energy Mater. Sol. Cells 2006, 90, 2710–2719. [Google Scholar] [CrossRef]
- Zhao, J.; Wang, A.; Altermatt, P.; Green, M.A. Twenty-four percent efficient silicon solar cells with double layer antireflection coatings and reduced resistance loss. Appl. Phys. Lett. 1995, 66, 3636–3638. [Google Scholar] [CrossRef]
- Victoria, M.; Domínguez, C.; Antón, I.; Sala, G. Antireflective coatings for multijunction solar cells under wide-angle ray bundles. Opt. Express 2012, 20, 8136–8147. [Google Scholar] [CrossRef]
- Dobrowolski, J.A.; Poitras, D.; Ma, P.; Vakil, H.; Acree, M. Toward perfect antireflection coatings: Numerical investigation. Appl. Opt. 2002, 41, 3075–3083. [Google Scholar] [CrossRef]
- Wright, D.N.; Marstein, E.S.; Holt, A. Double layer anti-reflective coatings for silicon solar cells. In Conference Record of the Thirty-first IEEE Photovoltaic Specialists Conference; IEEE: Piscataway, NJ, USA, 2005; pp. 1237–1240. [Google Scholar] [CrossRef]
- Cid, M.; Stem, N.; Brunetti, C.; Beloto, A.F.; Ramos, C.A.S. Improvements in anti-reflection coatings for high-efficiency silicon solar cells. Surf. Coat. Technol. 1998, 106, 117–120. [Google Scholar] [CrossRef]
- Raut, H.K.; Ganesh, V.A.; Nair, A.S.; Ramakrishna, S. Anti-reflective coatings: A critical, in-depth review. Energy Environ. Sci. 2011, 4, 3779–3804. [Google Scholar] [CrossRef]
- Aiken, D.J. High performance anti-reflection coatings for broadband multi-junction solar cells. Sol. Energy Mater. Sol. Cells 2000, 64, 393–404. [Google Scholar] [CrossRef] [Green Version]
- Chhajed, S.; Schubert, M.F.; Kim, J.K.; Schubert, E.F. Nanostructured multilayer graded–index antireflection coating for Si solar cells with broadband and omnidirectional characteristics. Appl. Phys. Lett. 2008, 93, 251108. [Google Scholar] [CrossRef] [Green Version]
- Voroshilov, P.M.; Simovski, C.R.; Belov, P.A.; Shalin, A.S. Light–trapping and antireflective coatings for amorphous Si–based thin film solar cells. J. Appl. Phys. 2015, 117, 203101. [Google Scholar] [CrossRef] [Green Version]
- Palik, E.D. Handbook of Optical Constants of Solids; Academic Press: New York, NY, USA, 1998. [Google Scholar]
- Azzam, R.M.A.; Bashara, N.M. Ellipsometry and Polarized Light; North-Holland Pub. Co.: Amsterdam, The Netherlands, 1977. [Google Scholar]
- Lumerical FDTD Solution. FDTD Solutions, 2016b 8.16.966. Available online: https://www.lumerical.com/ (accessed on 25 March 2021).
- Bohren, C.F.; Huffman, D.R. Absorption and Scattering of Light by Small Particles; John Wiley & Sons Inc.: New York, NY, USA, 1983. [Google Scholar]
- Catchpole, K.R.; Polman, A. Design principles for particle plasmon enhanced solar cells. Appl. Phys. Lett. 2008, 93, 191113. [Google Scholar] [CrossRef] [Green Version]
- COMSOL. Multiphysics 5.0, COMSOL Inc. 2015. Available online: https://www.comsol.com (accessed on 17 February 2021).
- Chew, W.C. Waves and Fields in Inhomogenous Media; Wiley: New York, NY, USA, 1990. [Google Scholar]
- Abèles, F. Investigations on the propagation of sinusoidal electromagnetic waves in stratified media. Application to thin films. Ann. Phys. 1950, 12, 596–640. [Google Scholar]
- Aroson, R. One–velocity neutron transport problems by the transfer matrix method. Nucl. Sci. Eng. 1967, 27, 271–282. [Google Scholar] [CrossRef]





| Geometry | ns = 1.5 | ns = 2.0 | ns = 2.5 | ns = 3.0 | ns = 3.5 |
|---|---|---|---|---|---|
| Isolated NP | 32.2 | 30.3 | 27.8 | 25.7 | 24.0 |
| Dimer | 34.7 | 32.4 | 29.5 | 27.1 | 25.1 |
| Geometry | ns = 1.5 | ns = 3.5 | Two A.L. ns = 3.5 |
|---|---|---|---|
| Isolated NP | 32.2 | 24.0 | 31.4 |
| Dimer | 34.7 | 25.1 | 34.0 |
Publisher’s Note: MDPI stays neutral with regard to jurisdictional claims in published maps and institutional affiliations. |
© 2021 by the authors. Licensee MDPI, Basel, Switzerland. This article is an open access article distributed under the terms and conditions of the Creative Commons Attribution (CC BY) license (https://creativecommons.org/licenses/by/4.0/).
Share and Cite
Barreda, Á.; Albella, P.; Moreno, F.; González, F. Broadband Unidirectional Forward Scattering with High Refractive Index Nanostructures: Application in Solar Cells. Molecules 2021, 26, 4421. https://doi.org/10.3390/molecules26154421
Barreda Á, Albella P, Moreno F, González F. Broadband Unidirectional Forward Scattering with High Refractive Index Nanostructures: Application in Solar Cells. Molecules. 2021; 26(15):4421. https://doi.org/10.3390/molecules26154421
Chicago/Turabian StyleBarreda, Ángela, Pablo Albella, Fernando Moreno, and Francisco González. 2021. "Broadband Unidirectional Forward Scattering with High Refractive Index Nanostructures: Application in Solar Cells" Molecules 26, no. 15: 4421. https://doi.org/10.3390/molecules26154421
APA StyleBarreda, Á., Albella, P., Moreno, F., & González, F. (2021). Broadband Unidirectional Forward Scattering with High Refractive Index Nanostructures: Application in Solar Cells. Molecules, 26(15), 4421. https://doi.org/10.3390/molecules26154421

