Experimental, DFT and MD Assessments of Bark Extract of Tamarix aphylla as Corrosion Inhibitor for Carbon Steel Used in Desalination Plants
Abstract
1. Introduction
2. Results
2.1. Phytochemical Screening of the Crude Extracts
2.2. Weight Loss Measurements
2.3. Stability of the Inhibitor
2.4. Electrochemical Measurements
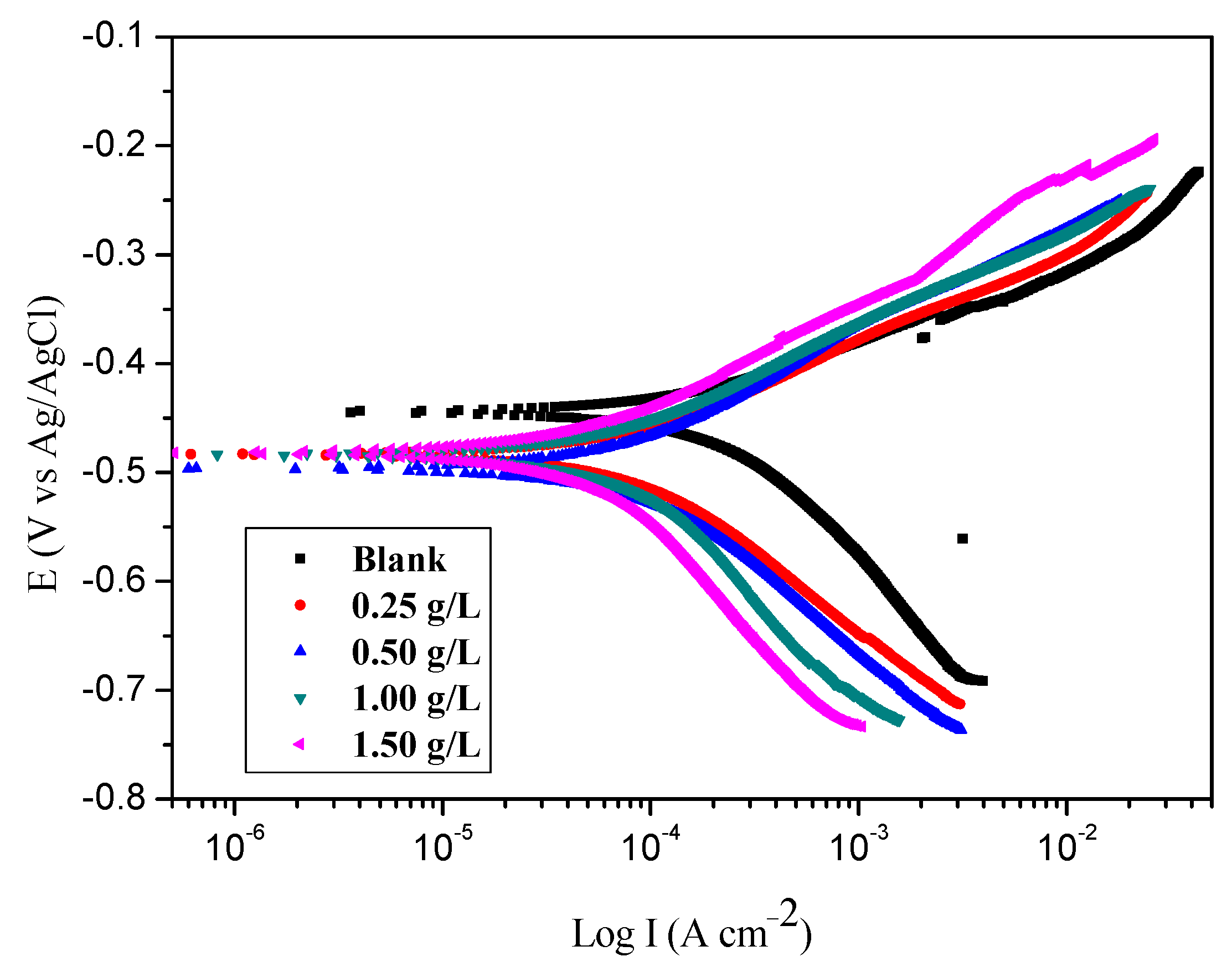
2.4.1. Potentiodynamic Polarization Plots
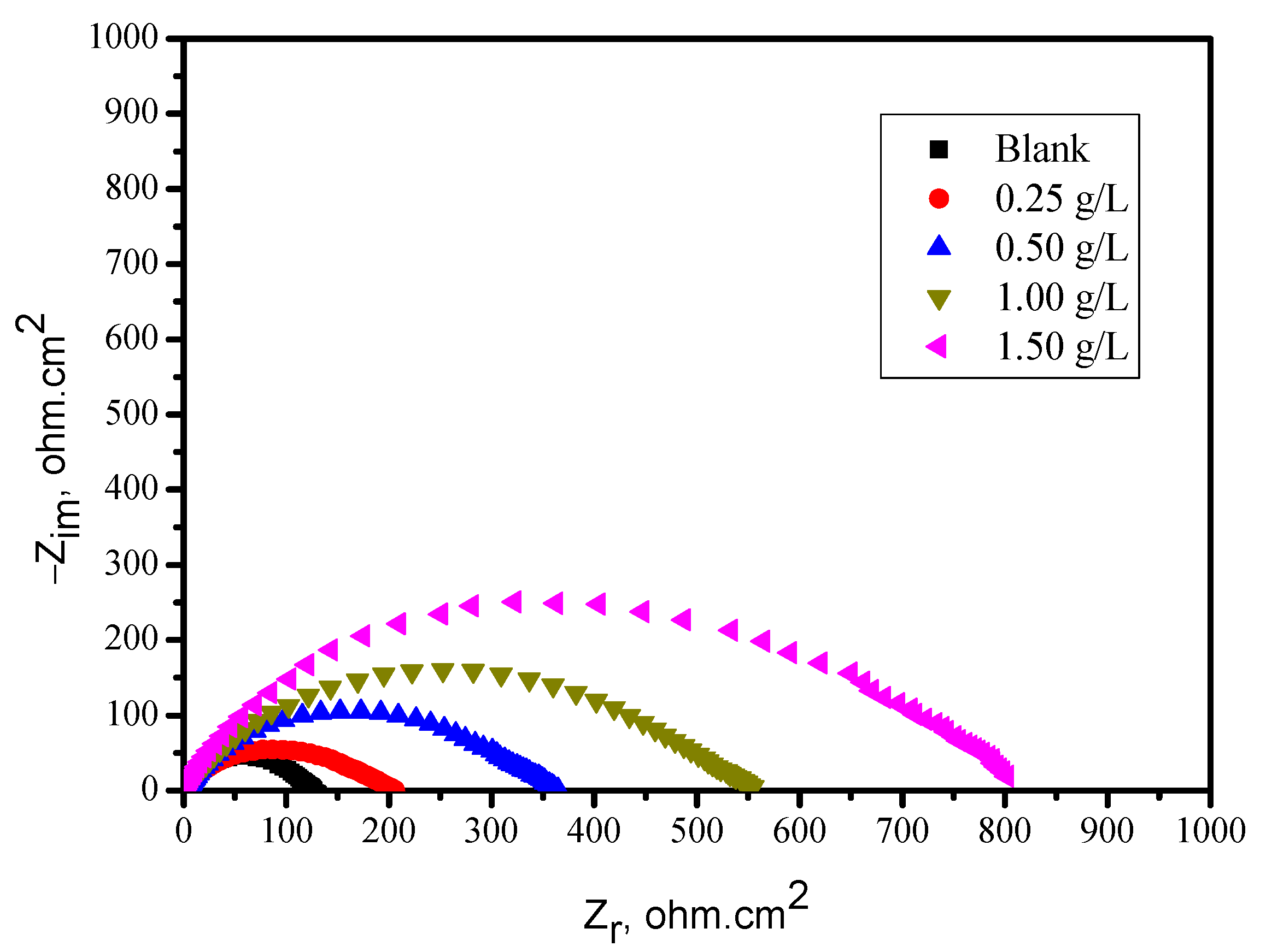
2.4.2. Electrochemical Impedance Spectroscopy (EIS)
2.5. Adsorption Study
2.6. Effect of Temperature
2.7. Investigation Morphology of Steel Samples by Scanning Electron Microscopy (SEM)
2.8. Comparison of the Efficiency of the Inhibitors with Other Inhibitors
2.9. DFT Calculation
2.10. MD Simulation
3. Materials and Methods
3.1. Collection and Pretreatment of the Plant Sample
3.2. Extraction of Plant Samples
3.3. Scanning and Verification of Extract
3.3.1. Phytochemical Screening of the Crude Extracts
3.3.2. Phytochemical of Tamarix aphylla Barks
3.4. Corrosion Measurements
3.4.1. Mass Loss Measurements
3.4.2. Electrochemical Tests
3.5. Scanning Electron Microscope (SEM) Studies
3.6. Theoretical Evaluation
3.6.1. DFT Details
3.6.2. Molecular Dynamic Simulations Details
4. Conclusions
Funding
Data Availability Statement
Acknowledgments
Conflicts of Interest
References
- Koch, G.H.; Brongers, M.P.; Thompson, N.G.; Virmani, Y.P.; Payer, J.H. Corrosion Cost and Preventive Strategies in the United States. 2002. Available online: https://trid.trb.org/view/707382 (accessed on 8 April 2002).
- Lebrini, M.; Traisnel, M.; Lagrenee, M.; Mernari, B.; Bentiss, F. Inhibitive properties, adsorption and a theoretical study of 3, 5-bis (n-pyridyl)-4-amino-1, 2, 4-triazoles as corrosion inhibitors for mild steel in perchloric acid. Corros. Sci. 2008, 50, 473–479. [Google Scholar] [CrossRef]
- Sherif, E.-S.M.; Erasmus, R.; Comins, J. Corrosion of copper in aerated synthetic sea water solutions and its inhibition by 3-amino-1, 2, 4-triazole. J. Colloid Interface Sci. 2007, 309, 470–477. [Google Scholar] [CrossRef]
- Zarrouk, A.; Zarrok, H.; Salghi, R.; Hammouti, B.; Al-deyab, S.; Touzani, R.; Bouachrine, M.; Warad, I.; Hadda, T. A theoretical investigation on the corrosion inhibition of copper by quinoxaline derivatives in nitric acid solution. Int. J. Electrochem. Sci. 2012, 7, 6353–6364. [Google Scholar]
- Ali, I.H.; Idris, A.M.; Suliman, M.H.A. Evaluation of Leaf and Bark Extracts of Acacia tortilis as Corrosion Inhibitors for Mild Steel in Seawater: Experimental and Studies. Int. J. Electrochem. Sci. 2019, 14, 6406–6419. [Google Scholar] [CrossRef]
- Idouhli, R.; Koumya, Y.; Khadiri, M.; Aityoub, A.; Abouelfda, A.; Benyaich, A. Inhibitory effect of Senecioanteuphorbium as green corrosion inhibitor for S300 steel. Int. J. Ind. Chem. 2019, 10, 133–143. [Google Scholar] [CrossRef]
- El-Katori, E.; Al-Mhyawi, S. Assessment of the Bassiamuricata extract as a green corrosion inhibitor for aluminium in acidic solution. Green Chem. Lett. Rev. 2019, 12, 31–48. [Google Scholar] [CrossRef]
- Ali, I.H.; Suleiman, M.H.A. Effect of Acid Extract of Leaves of Juniperus procera on Corrosion Inhibition of Carbon Steel in HCl Solutions. Int. J. Electrochem. Sci. 2018, 13, 3910–3922. [Google Scholar] [CrossRef]
- Chaouiki, A.; Chafiq, M.; Lgaz, H.; Al-Hadeethi, M.R.; Ali, I.H.; Masroor, S.; Chung, I.-M. Green Corrosion Inhibition of Mild Steel by Hydrazone Derivatives in 1.0 M HCl. Coatings 2020, 10, 640. [Google Scholar] [CrossRef]
- Salghi, R.; Jodeh, S.; Ebenso, E.E.; Lgaz, H.; Ben Hmamou, D.; Belkhaouda, M.; Ali, I.H.; Messali, M.; Hammouti, B.; Fattouch, S. Inhibition of C-steel Corrosion by Green Tea Extract in Hydrochloric Solution. Int. J. Electrochem. Sci. 2017, 12, 3283–3295. [Google Scholar] [CrossRef]
- Biswas, A.; Mourya, P.; Mondal, D.; Pal, S.; Udayabhanu, G. Grafting effect of gum acacia on mild steel corrosion in acidic medium: Gravimetric and electrochemical study. J. Mol. Liq. 2018, 251, 470–479. [Google Scholar] [CrossRef]
- Dutta, A.; Saha, S.K.; Adhikarl, U.; Banerjee, P.; Sukul, D. Effect of substitution on corrosion inhibition properties of 2-(substituted phenyl) benzimidazole derivatives on mild steel in 1 M HCl solution: A combined experimental and theoretical approach. Corros. Sci. 2017, 123, 256–266. [Google Scholar] [CrossRef]
- Martinez, S.; Metikos-Hukovic, M. A nonlinear kinetic model introduced for the corrosion inhibitive properties of some organic inhibitors. J. Appl. Electrochem. 2003, 33, 1137–1142. [Google Scholar] [CrossRef]
- Shih, H.; Mansfeld, F. A fitting procedure for impedance data of systems with very low corrosion rates. Corros. Sci. 1989, 29, 1235–1240. [Google Scholar] [CrossRef]
- Bentiss, F.; Traisnel, M.; Lagrenee, M. The substituted 1, 3, 4-oxadiazoles: A new class of corrosion inhibitors of mild steel in acidic media. Corros. Sci. 2000, 42, 127–146. [Google Scholar] [CrossRef]
- Muralidharan, S.; Phani, K.; Pitchumani, S.; Ravichandran, S.; Iyer, S. Polyamino-benzoquinone polymers: A new class of corrosion inhibitors for mild steel. J. Electrochem. Soc. 1995, 142, 1478–1483. [Google Scholar] [CrossRef]
- Alaneme, K.; Olusegun, S.; Alo, A. Corrosion inhibitory properties of elephant grass (Pennisetumpurpureum) extract: Effect on mild steel corrosion in 1 M HCl solution. Alex. Eng. J. 2016, 55, 1069–1076. [Google Scholar] [CrossRef]
- Kumar, S. Eco-friendly corrosion inhibitors: Synergistic effect of ethanol extracts of calotropis for corrosion of mild steel in acid media using mass loss and thermometric technique at different temperatures. Prot. Met. Phys. Chem. Surf. 2016, 52, 376–380. [Google Scholar] [CrossRef]
- Gurudatt, D.M.; Mohana, K.N. pyridine based 1, 3, 4-oxadiazole derivatives and their corrosion inhibition performance on mild steel in 0.5 M hydrochloric acid. Ind. Eng. Chem. Res. 2014, 53, 2092–2105. [Google Scholar] [CrossRef]
- Singh, P.; Ebenso, E.E.; Olasunkanmi, L.O.; Obot, I.; Quraishi, M. Electrochemical, theoretical, and surface morphological studies of corrosion inhibition effect of green naphthyridine derivatives on mild steel in hydrochloric acid. J. Phys. Chem. C 2016, 120, 3408–3419. [Google Scholar] [CrossRef]
- Yadav, M.; Kumar, S.; Sinha, R.; Bahadur, I.; Ebenso, E. New pyrimidine derivatives as efficient organic inhibitors on mild steel corrosion in acidic medium: Electrochemical, SEM, EDX, AFM and DFT studies. J. Mol. Liq. 2015, 211, 135–145. [Google Scholar] [CrossRef]
- Lgaz, H.; Chung, I.-M.; Salghi, R.; Ali, I.H.; Chaouiki, A.; El Aoufir, Y.; Khan, M.I. On the understanding of the adsorption of Fenugreek gum on mild steel in an acidic medium: Insights from experimental and computational studies. Appl. Surf. Sci. 2019, 463, 647–658. [Google Scholar] [CrossRef]
- Bammou, L.; Belkhaouda, M.; Salghi, R.; Benali, O.; Zarrouk, A.; Zarrok, H.; Hammouti, B. Corrosion inhibition of steel in sulfuric acidic solution by the Chenopodium Ambrosioides Extracts. J. Assoc. Arab Univ. Basic Appl. Sci. 2014, 16, 83–90. [Google Scholar] [CrossRef]
- Emran, K.M. Corrosion characterisation and passivation behavior of Fe68. 6Ni28. 2Mn3. 2 alloy in acidic solution. Int. J. Electrochem. Sci. 2014, 9, 4217. [Google Scholar]
- Ali, I.H.; Sulgfab, Y. Kinetics and mechanism of oxidation of cis-diaquabis (glycinato) chromium (III) by periodate ion in aqueous solutions. Transit. Met. Chem. 2013, 38, 79–84. [Google Scholar] [CrossRef]
- Ali, I.H.; Sulfab, Y. One-step, two-electron oxidation of cis-diaquabis (1, 10-phenanthroline) chromium (III) to cis-dioxobis (1,10-phenanthroline) chromium (V) by periodate in aqueous acidic solutions. Inter. J. Chem. Kinet. 2011, 43, 563–568. [Google Scholar] [CrossRef]
- LI, X.; Li, S.; Deng, H.; Fu, G. Synergistic inhibition effect of rare earth cerium (IV) ion and anionic surfactant on the corrosion of cold rolled steel in H2SO4 solution. Corros. Sci. 2008, 50, 2635–2645. [Google Scholar] [CrossRef]
- Ali, I.H.; Marzouki, R.; Ben Smida, Y.; Brahmia, A.; FaouziZid, M. Inhibition Effect of Coleus forskohlii leaf extract on Steel Corrosion in 1.0 M HCl Solution: Experimental and Theoretical Ap-proaches. Int. J. Electrochem. Sci. 2018, 13, 11580–11595. [Google Scholar] [CrossRef]
- Sharmaa, Y.C.; Sharma, S. Corrosion Inhibition of Aluminum by Psidium Guajava Seeds in HCl Solution. Port. Electrochim. Acta 2016, 34, 365–382. [Google Scholar] [CrossRef]
- Ali, I.H. Inhibitory effect of leaf extract of Khaya senegalensis (mahogany) on C-steel corrosion in 1.0 m hydrochloric acid solution. Inter. J. Electrochem. Sci. 2016, 10, 2130–2141. [Google Scholar]
- Patel, N.S.; Hadlick, J.; Beranek, P.; Salghi, R.; Bouya, H.; Hassan, A.I.; Hammouti, B. Corrosion Inhibition of Steel by Various Parts of Rotula Aquatica Plant Extracts in H2SO4 Solutions. Port. Electrochim. Acta 2014, 32, 395–403. [Google Scholar] [CrossRef]
- Wedian, F.; Al-Qudaha, M.A.; Abu-Bakerb, A.N. The Effect of Capparisspinosa L. Extract as a Green Inhibitor on the Corrosion Rate of Copper in a Strong Alkaline Solution. Port. Electrochim. Acta 2016, 34, 39–51. [Google Scholar] [CrossRef]
- Obot, I.; Obi-Egbedi, N. Anti-corrosive properties of xanthone on mild steel corrosion in sulphuric acid: Experimental and theoretical investigations. Curr. Appl. Phys. 2011, 11, 382–392. [Google Scholar] [CrossRef]
- Olasunkanmi, L.O.; Obot, I.B.; Ebenso, E.E. Adsorption and corrosion inhibition properties of N-{n-[1-R-5-(quinoxalin-6-yl)-4, 5-dihydropyrazol-3-yl] phenyl} methane sulfonamides on mild steel in 1 M HCl: Experimental and theoretical studies. RSC Adv. 2016, 6, 86782–86797. [Google Scholar] [CrossRef]
- Chaouiki, A.; Lgaz, H.; Salghi, R.; Chafiq, M.; Oudda, H.; Bhat, K.; Cretescu, I.; Ali, I.H.; Marzouki, R.; Chung, I.-M. Assessing the impact of electron-donating-substituted chalcones on inhibition of mild steel corrosion in HCl solution: Experimental results and molecular-level insights. Colloids Surf. Phys. Eng. Asp. 2020, 588, 124366–124379. [Google Scholar] [CrossRef]
- Ech-chihbi, E.; Nahlé, A.; Salim, R.; Benhiba, F.; Moussaif, A.; El-Hajjaji, F.; Oudda, H.; Guenbour, A.; Taleb, M.; Warad, I. Computational, MD simulation, SEM/EDX and experimental studies for understanding adsorption of benzimidazole derivatives as corrosion inhibitors in 1.0 M HCl solution. J. Alloys Compd. 2020, 844, 155842–155857. [Google Scholar] [CrossRef]
- Richardson, P.M. Phytochemical Methods: A Guide to Modern Techniques of Plant Analysis. Brittonia 1990, 42, 115. [Google Scholar] [CrossRef]
- Nawwar, M.A.M.; Hussein, S.A.M.; Ayoub, N.A.; Hofmann, K.; Linscheid, M.; Harms, M.; Wende, K.; Lindequist, U. Aphyllin, the first isoferulic acid glycoside and other phenolics from Tamarixaphylla flowers. Pharmazie 2009, 64, 342–347. [Google Scholar] [PubMed]
- Jasiem, T.M.; Nasser, N.M.; AL-Bazaz, H.K. Tamarix aphylla L.: A Review. Res. J. Pharm. Tech. 2019, 12, 3219–3222. [Google Scholar] [CrossRef]
- ADF 101. 2020. Available online: https://www.scm.com/product/adf/ (accessed on 2 December 2020).
- Materials Studio, Revision 6.0. 2013. Available online: http://www.serc.iisc.ac.in/software/materials-studio-6-0/ (accessed on 31 July 2007).
- Delley, B. From molecules to solids with the DMol 3 approach. J. Chem. Phys. 2000, 113, 7756–7764. [Google Scholar] [CrossRef]
- Perdew, J.P.; Burke, K.; Ernzerhof, M. Generalized gradient approximation made simple. Phys. Rev. Lett 1996, 77, 3865. [Google Scholar] [CrossRef] [PubMed]
- Kokalj, A. Is the analysis of molecular electronic structure of corrosion inhibitors sufficient to predict the trend of their inhibition performance. Electrochim. Acta 2010, 56, 745–755. [Google Scholar] [CrossRef]
- Dewar, M.J.; Thiel, W. Ground states of molecules. 38. The MNDO method. Approximations and parameters. J. Am. Chem. Soc. 1977, 99, 4899–4907. [Google Scholar] [CrossRef]
- Pearson, R.G. Absolute electronegativity and hardness correlated with molecular orbital theory. Proc. Natl. Acad. Sci. USA 1986, 83, 8440–8441. [Google Scholar] [CrossRef]
- Gómez, B.; Likhanova, N.V.; Aguilar, M.A.D.; Olivares, O.; Hallen, J.M.; Martínez-Magadán, J.M. Theoretical study of a new group of corrosion inhibitors. J. Phys. Chem. A 2005, 109, 8950–8957. [Google Scholar] [CrossRef]
- Kovačević, N.; Kokalj, A. Analysis of molecular electronic structure of imidazole-and benzimidazole-based inhibitors: A simple recipe for qualitative estimation of chemical hardness. Corros. Sci. 2011, 53, 909–921. [Google Scholar] [CrossRef]
- Pearson, R.G. Absolute electronegativity and hardness: Application to inorganic chemistry. Inorg. Chem. 1988, 27, 734–740. [Google Scholar] [CrossRef]
- Kokalj, A. On the HSAB based estimate of charge transfer between adsorbates and metal surfaces. Chem. Phys. 2012, 393, 1–12. [Google Scholar] [CrossRef]
- Sastri, V.; Perumareddi, J. Molecular orbital theoretical studies of some organic corrosion inhibitors. Corrosion 1997, 53, 617–622. [Google Scholar] [CrossRef]













| Inhibitor | C (g/L) | C.R (mm·y−1) | EIWL % | θ |
|---|---|---|---|---|
| Blank | - | 1.124 | - | - |
| BTA | 0.25 | 0.458 | 59.2 | 0.592 |
| 0.50 | 0.362 | 67.7 | 0.677 | |
| 1.00 | 0.254 | 77.4 | 0.774 | |
| 1.50 | 0.166 | 85.2 | 0.852 |
| Inhibitor | C (g/L) | −Ecorr (mV/SCE) | Icorr (μA cm−2) | ba (mV dec−1) | −bc (mV dec−1) | IEIcorr (%) |
|---|---|---|---|---|---|---|
| Blank | - | 467 | 1437 | 157 | 227 | - |
| BTA | 0.25 | 511 | 611 | 168 | 188 | 57.4 |
| 0.50 | 498 | 452 | 172 | 199 | 68.5 | |
| 1.00 | 519 | 297 | 191 | 222 | 79.3 | |
| 1.50 | 503 | 219 | 181 | 201 | 84.8 |
| Inhibitor | C (g/L) | Rct (Ω·cm2) | Q × 10−4 sn/(Ω·cm2) | (104) Cdl(μF/cm2) | EIRct (%) |
|---|---|---|---|---|---|
| Blank | - | 13 | 2.65 | 145.5 | - |
| BTA | 0.25 | 30 | 2.43 | 60.3 | 56.7 |
| 0.50 | 33 | 2.23 | 41.4 | 60.6 | |
| 1.00 | 61 | 2.03 | 27.9 | 78.6 | |
| 1.50 | 79 | 1.87 | 8.9 | 83.5 |
| Inhibitor | Kads | ΔGads(kJ/mol) |
|---|---|---|
| BTA | 5.38 | −21.3 |
| Inhibitor | T (K) | Rct (Ω·cm2) | Q × 10−4 (sn·Ω−1·cm−2) | Cdl (µF/cm2) | EIRct (%) |
|---|---|---|---|---|---|
| Blank | 298 | 13 | 2.65 | 145.5 | --- |
| 308 | 9 | 2.86 | 117 | --- | |
| 318 | 7 | 2.98 | 130 | --- | |
| 328 | 5 | 3.23 | 87 | --- | |
| BTA | 298 | 80 | 1.87 | 32 | 83.5 |
| 308 | 45 | 2.03 | 48 | 80.0 | |
| 318 | 31 | 2.35 | 61 | 77.4 | |
| 328 | 17 | 2.59 | 83 | 70.7 |
| Inhibitor | Ea (kJ/mol) | ∆H (kJ/mol) | ∆S (J/mol) |
|---|---|---|---|
| Blank | 25.3 | 27.9 | 317.2 |
| BTA | 41.1 | 43.4 | 355.5 |
| Plant Type | Maximum IE% |
|---|---|
| Coleus forskohlii Leaf Extract [28] | 87.5 |
| Psidium Guajava Seeds [29] | 81.2 |
| Khayasenegalensis Leaves [30] | 89.0 |
| Rotula aquatic Leaf Extract [31] | 79.6 |
| Capparisspinosa Leaf Extract [32] | 79.3 |
| BTA This Study | 85.2 |
| Molecule | EHOMO (eV) | ELUMO (eV) | ∆Egap (eV) | EA (eV) | IE (eV) | χ (eV) | ∆N110 |
|---|---|---|---|---|---|---|---|
| BTA | −5.117 | −2.137 | 2.980 | 5.117 | 2.137 | 3.627 | 0.400 |
Publisher’s Note: MDPI stays neutral with regard to jurisdictional claims in published maps and institutional affiliations. |
© 2021 by the author. Licensee MDPI, Basel, Switzerland. This article is an open access article distributed under the terms and conditions of the Creative Commons Attribution (CC BY) license (https://creativecommons.org/licenses/by/4.0/).
Share and Cite
Ali, I.H. Experimental, DFT and MD Assessments of Bark Extract of Tamarix aphylla as Corrosion Inhibitor for Carbon Steel Used in Desalination Plants. Molecules 2021, 26, 3679. https://doi.org/10.3390/molecules26123679
Ali IH. Experimental, DFT and MD Assessments of Bark Extract of Tamarix aphylla as Corrosion Inhibitor for Carbon Steel Used in Desalination Plants. Molecules. 2021; 26(12):3679. https://doi.org/10.3390/molecules26123679
Chicago/Turabian StyleAli, Ismat H. 2021. "Experimental, DFT and MD Assessments of Bark Extract of Tamarix aphylla as Corrosion Inhibitor for Carbon Steel Used in Desalination Plants" Molecules 26, no. 12: 3679. https://doi.org/10.3390/molecules26123679
APA StyleAli, I. H. (2021). Experimental, DFT and MD Assessments of Bark Extract of Tamarix aphylla as Corrosion Inhibitor for Carbon Steel Used in Desalination Plants. Molecules, 26(12), 3679. https://doi.org/10.3390/molecules26123679

