Phase Transitions and Electrochemical Properties of Ionic Liquids and Ionic Liquid—Solvent Mixtures
Abstract
1. Introduction
2. Classical Theories of Electrical Double Layers
3. Ionic Liquids
3.1. General Properties
3.2. Structural Properties
3.3. Electrical Double Layer Differential Capacitance
3.4. Effects of Confinement
4. Demixing Phase Transitions
4.1. Phase Transitions in the Bulk
4.2. Confinement-Induced Phase Transitions
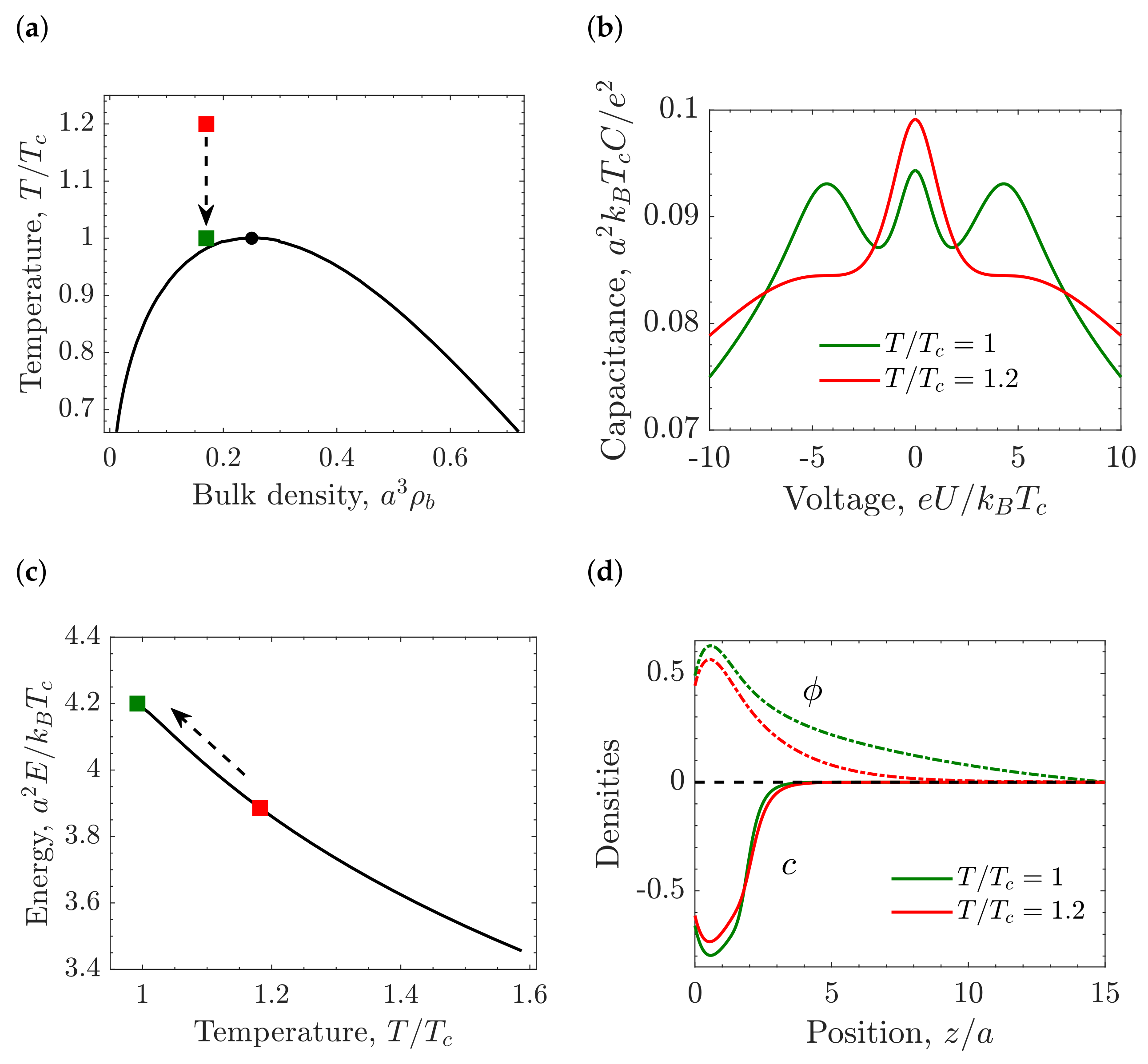
5. Effect of Phase Separation on Electrochemical Properties of Confined IL–Solvent Mixture
5.1. Il-Solvent Mixtures in Contact with a Single Electrode
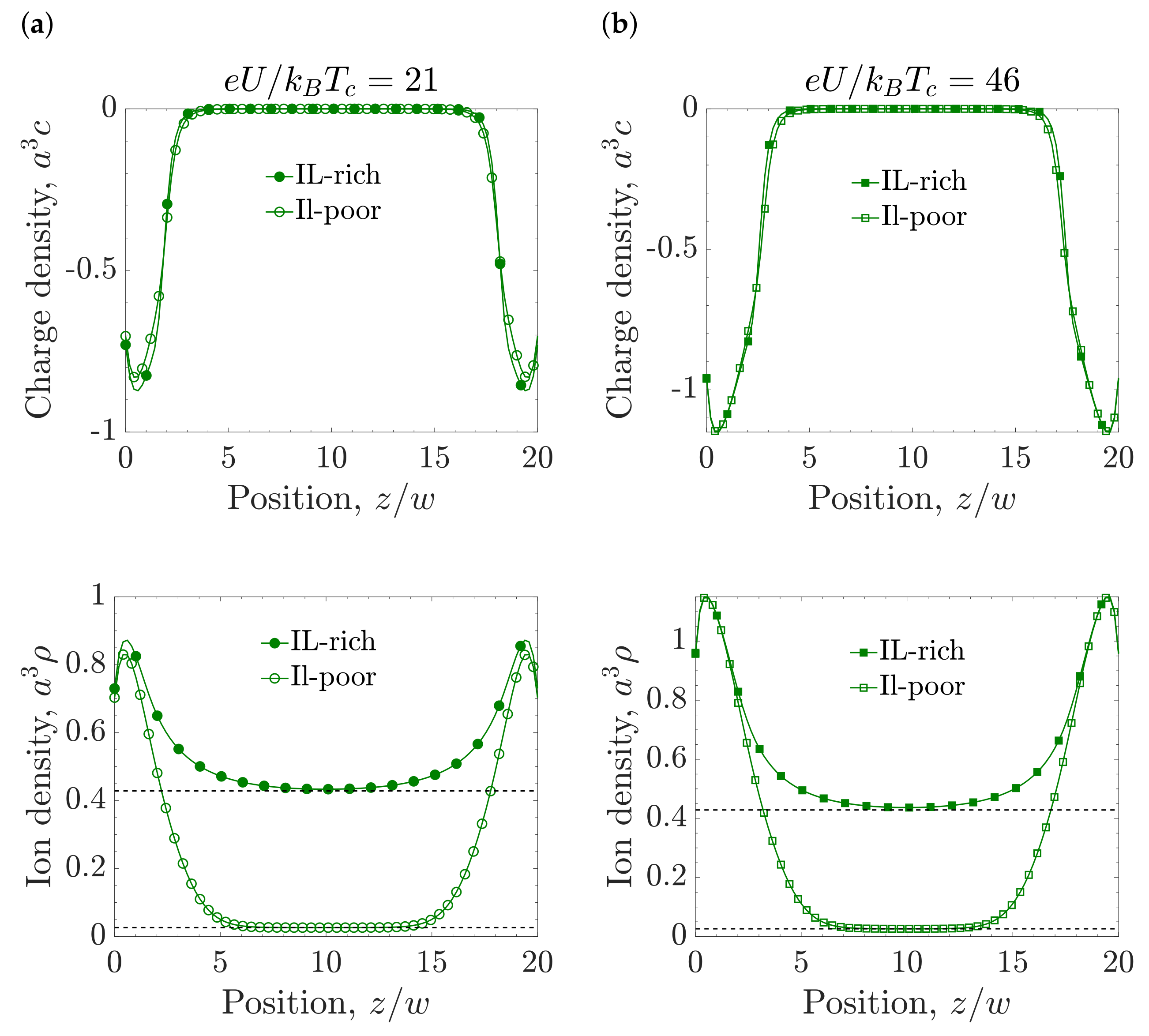
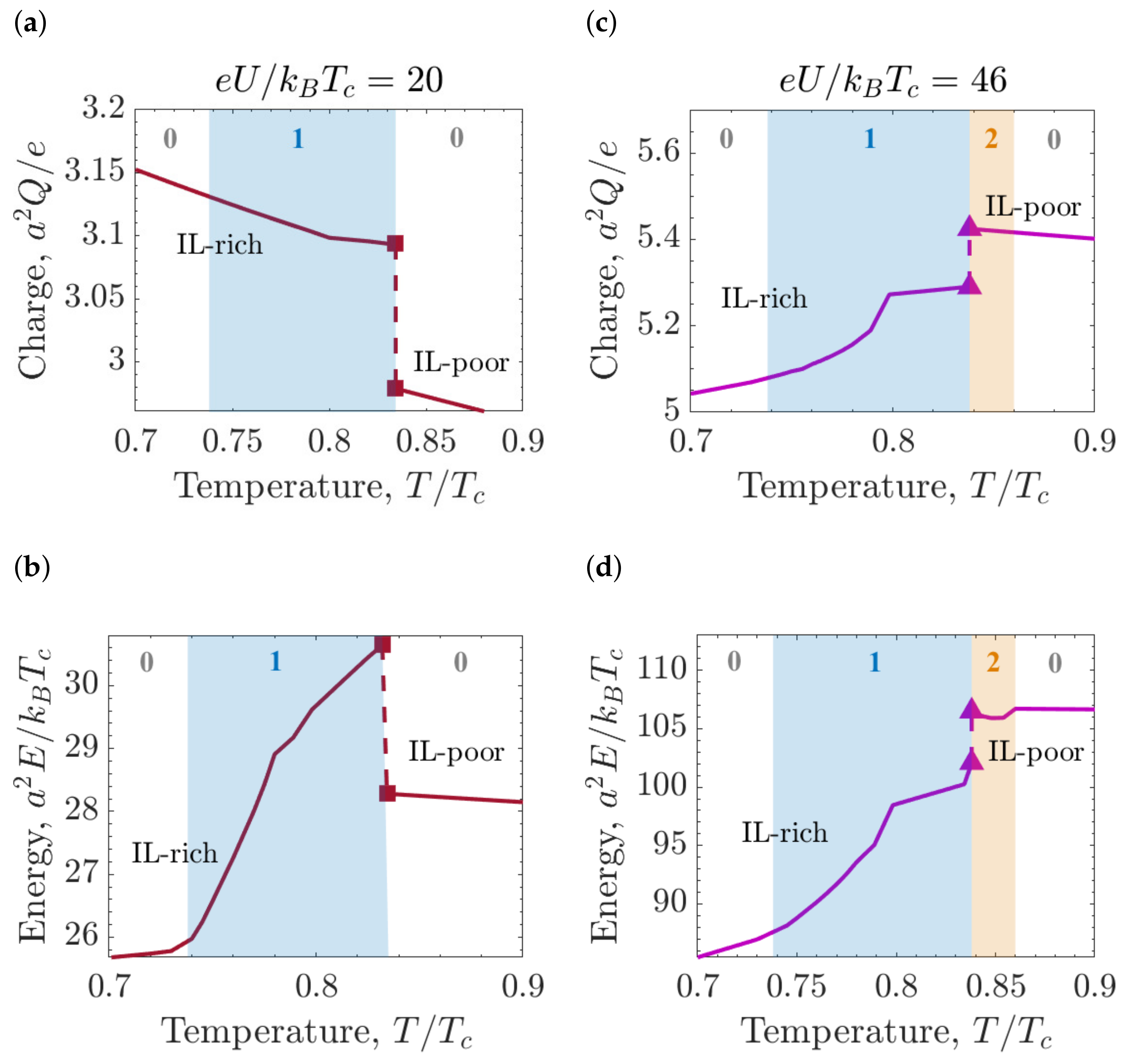
5.2. Capillary Ionization and Charging of Slit Mesopores
6. Conclusions
Author Contributions
Funding
Institutional Review Board Statement
Informed Consent Statement
Data Availability Statement
Acknowledgments
Conflicts of Interest
Abbreviations
| IL | Ionic Liquid | 
| EDL | Electrical double layer | 
| PB | Poisson-Boltzmann | 
| GCS | Gouy-Chapman-Stern | 
| EW | Electrochemical window | 
| PZC | Potential of zero charge | 
| CS | Carnahan-Starling | 
| capillary ionization | |
| APILs | Aprotic ionic liquids | 
| PILs | Protic ionic liquids | 
References
- Welton, T. Room-Temperature Ionic Liquids. Solvents for Synthesis and Catalysis. Chem. Rev. 1999, 99, 2071–2084. [Google Scholar] [CrossRef]
- Fedorov, M.V.; Kornyshev, A.A. Ionic Liquids at Electrified Interfaces. Chem. Rev. 2014, 114, 2978–3036. [Google Scholar] [CrossRef]
- Perkin, S. Ionic liquids in confined geometries. Phys. Chem. Chem. Phys. 2012, 14, 5052–5062. [Google Scholar] [CrossRef]
- Gelb, L.D.; Gubbins, K.E.; Radhakrishnan, R.; Sliwinska-Bartkowiak, M. Phase separation in confined systems. Rep. Prog. Phys. 1999, 62, 1573–1659. [Google Scholar] [CrossRef]
- Miller, J.R.; Simon, P. Materials Science—Electrochemical Capacitors for Energy Management. Science 2008, 321, 651–652. [Google Scholar] [CrossRef]
- Simon, P.; Gogotsi, Y. Materials for electrochemical capacitors. Nat. Mater. 2008, 7, 845–854. [Google Scholar] [CrossRef]
- Béguin, F.; Presser, V.; Balducci, A.; Frackowiak, E. Carbons and Electrolytes for Advanced Supercapacitors. Adv. Mater. 2014, 26, 2219–2251. [Google Scholar] [CrossRef]
- González, A.; Goikolea, E.; Barrena, J.A.; Mysyk, R. Review on supercapacitors: Technologies and materials. Renew. Sustain. Energ. Rev. 2016, 58, 1189–1206. [Google Scholar] [CrossRef]
- Porada, S.; Zhao, R.; van der Wal, A.; Presser, V.; Biesheuvel, P. Review on the science and technology of water desalination by capacitive deionization. Prog. Mater. Sci. 2013, 58, 1388–1442. [Google Scholar] [CrossRef]
- Suss, M.E.; Presser, V. Water Desalination with Energy Storage Electrode Materials. Joule 2018, 2, 10–15. [Google Scholar] [CrossRef]
- Zhang, Y.; Srimuk, P.; Aslan, M.; Gallei, M.; Presser, V. Polymer ion-exchange membranes for capacitive deionization of aqueous media with low and high salt concentration. Desalination 2020, 479, 114331. [Google Scholar] [CrossRef]
- Brogioli, D. Extracting Renewable Energy from a Salinity Difference Using a Capacitor. Phys. Rev. Lett. 2009, 103. [Google Scholar] [CrossRef]
- Härtel, A.; Janssen, M.; Weingarth, D.; Presser, V.; van Roij, R. Heat-to-current conversion of low-grade heat from a thermocapacitive cycle by supercapacitors. Energy Environ. Sci. 2015, 8, 2396–2401. [Google Scholar] [CrossRef]
- Janssen, M.; van Roij, R. Reversible Heating in Electric Double Layer Capacitors. Phys. Rev. Lett. 2017, 118, 96001. [Google Scholar] [CrossRef]
- Chmiola, J.; Yushin, G.; Gogotsi, Y.; Portet, C.; Simon, P.; Taberna, P.L. Anomalous Increase in Carbon Capacitance at Pore Sizes Less Than 1 Nanometer. Science 2006, 313, 1760. [Google Scholar] [CrossRef]
- Raymundo-Piñero, E.; Kierczek, K.; Machnikowski, J.; Béguin, F. Relationship between the nanoporous texture of activated carbons and their capacitance properties in different electrolytes. Carbon 2006, 44, 2498–2507. [Google Scholar] [CrossRef]
- Kondrat, S.; Kornyshev, A. Superionic state in double-layer capacitors with nanoporous electrodes. J. Phys. Condens. Matter 2011, 23, 022201. [Google Scholar] [CrossRef]
- Kondrat, S.; Pérez, C.R.; Presser, V.; Gogotsi, Y.; Kornyshev, A.A. Effect of pore size and its dispersity on the energy storage in nanoporous supercapacitors. Energy Environ. Sci. 2012, 5, 6474. [Google Scholar] [CrossRef]
- Péan, C.; Merlet, C.; Rotenberg, B.; Madden, P.A.; Taberna, P.L.; Daffos, B.; Salanne, M.; Simon, P. On the Dynamics of Charging in Nanoporous Carbon-Based Supercapacitors. ACS Nano 2014, 8. [Google Scholar] [CrossRef] [PubMed]
- Pak, A.J.; Hwang, G.S. Charging Rate Dependence of Ion Migration and Stagnation in Ionic-Liquid-Filled Carbon Nanopores. J. Phys. Chem. C 2016, 120, 24560. [Google Scholar] [CrossRef]
- Breitsprecher, K.; Holm, C.; Kondrat, S. Charge Me Slowly, I Am in a Hurry: Optimizing Charge–Discharge Cycles in Nanoporous Supercapacitors. ACS Nano 2018, 12, 9733–9741. [Google Scholar] [CrossRef]
- Breitsprecher, K.; Janssen, M.; Srimuk, P.; Mehdi, B.L.; Presser, V.; Holm, C.; Kondrat, S. How to speed up ion transport in nanopores. Nat. Commun. 2020, 11. [Google Scholar] [CrossRef]
- Lian, C.; Liu, H.; Li, C.; Wu, J. Hunting ionic liquids with large electrochemical potential windows. AIChE J. 2018, 65, 804–810. [Google Scholar] [CrossRef]
- Tokuda, H.; Baek, S.J.; Watanabe, M. Room-Temperature Ionic Liquid-Organic Solvent Mixtures: Conductivity and Ionic Association. Electrochemistry 2005, 73, 620–622. [Google Scholar] [CrossRef]
- Chaban, V.V.; Voroshylova, I.V.; Kalugin, O.N.; Prezhdo, O.V. Acetonitrile Boosts Conductivity of Imidazolium Ionic Liquids. J. Phys. Chem. B 2012, 116, 7719–7727. [Google Scholar] [CrossRef]
- Rilo, E.; Vila, J.; García-Garabal, S.; Varela, L.M.; Cabeza, O. Electrical Conductivity of Seven Binary Systems Containing 1-Ethyl-3-methyl Imidazolium Alkyl Sulfate Ionic Liquids with Water or Ethanol at Four Temperatures. J. Phys. Chem. B 2013, 117, 1411–1418. [Google Scholar] [CrossRef]
- Montes-Campos, H.; Kondrat, S.; Rilo, E.; Cabeza, O.; Varela, L.M. Random-Alloy Model for the Conductivity of Ionic Liquid–Solvent Mixtures. J. Phys. Chem. C 2020, 124, 11754–11759. [Google Scholar] [CrossRef]
- Burt, R.; Breitsprecher, K.; Daffos, B.; Taberna, P.L.; Simon, P.; Birkett, G.; Zhao, X.S.; Holm, C.; Salanne, M. Capacitance of Nanoporous Carbon-Based Supercapacitors Is a Trade-Off between the Concentration and the Separability of the Ions. J. Chem. Phys. Lett. 2016, 7, 4015–4021. [Google Scholar] [CrossRef] [PubMed]
- Evans, R.; Marconi, U.M.B.; Tarazona, P. Fluids in narrow pores: Adsorption, capillary condensation, and critical points. J. Chem. Phys. 1986, 84, 2376–2399. [Google Scholar] [CrossRef]
- Evans, R. Fluids adsorbed in narrow pores: Phase equilibria and structure. J. Condens. Matter Phys. 1990, 2, 8989–9007. [Google Scholar] [CrossRef]
- Bonn, D.; Eggers, J.; Indekeu, J.; Meunier, J.; Rolley, E. Wetting and spreading. Rev. Mod. Phys. 2009, 81, 739–805. [Google Scholar] [CrossRef]
- Jagiello, J.; Thommes, M. Comparison of DFT characterization methods based on N2, Ar, CO2, and H2 adsorption applied to carbons with various pore size distributions. Carbon 2004, 42, 1227–1232. [Google Scholar] [CrossRef]
- Ravikovitch, P.I.; Neimark, A.V. Density Functional Theory Model of Adsorption on Amorphous and Microporous Silica Materials. Langmuir 2006, 22, 11171–11179. [Google Scholar] [CrossRef] [PubMed]
- Kupgan, G.; Liyana-Arachchi, T.P.; Colina, C.M. NLDFT Pore Size Distribution in Amorphous Microporous Materials. Langmuir 2017, 33, 11138–11145. [Google Scholar] [CrossRef]
- Cruz, C.; Ciach, A.; Lomba, E.; Kondrat, S. Electrical Double Layers Close to Ionic Liquid-Solvent Demixing. J. Phys. Chem. C 2019, 123, 1596–1601. [Google Scholar] [CrossRef]
- Cruz, C.; Kondrat, S.; Lomba, E.; Ciach, A. Effect of proximity to ionic liquid-solvent demixing on electrical double layers. J. Mol. Liq. 2019, 294, 111368. [Google Scholar] [CrossRef]
- Cruz, C.; Kondrat, S.; Lomba, E.; Ciach, A. Capillary Ionization and Jumps of Capacitive Energy Stored in Mesopores. J. Phys. Chem. C 2021, 10243–10249. [Google Scholar] [CrossRef]
- Parsons, R. The electrical double layer: Recent experimental and theoretical developments. Chem. Rev. 1990, 90, 813–826. [Google Scholar] [CrossRef]
- Hansen, J.P.; Löwen, H. Effective interactions between electric double layers. Annu. Rev. Phys. Chem. 2000, 51, 209–242. [Google Scholar] [CrossRef]
- Wang, H.; Pilon, L. Accurate Simulations of Electric Double Layer Capacitance of Ultramicroelectrodes. J. Phys. Chem. C 2011, 115, 16711–16719. [Google Scholar] [CrossRef]
- Ben-Yaakov, D.; Andelman, D.; Podgornik, R.; Harries, D. Ion-specific hydration effects: Extending the Poisson-Boltzmann theory. Curr. Opin. Colloid Interface Sci. 2011, 16, 542–550. [Google Scholar] [CrossRef]
- Butt, H.; Graf, K.; Kappl, M. Physics and Chemistry of Interfaces; Wiley-VCH Verlag GmbH & Co. KGaA: Weinheim, Germany, 2003. [Google Scholar]
- Gavish, N.; Elad, D.; Yochelis, A. From Solvent-Free to Dilute Electrolytes: Essential Components for a Continuum Theory. J. Phys. Chem. Lett. 2017, 9, 36–42. [Google Scholar] [CrossRef]
- Minton, G.; Lue, L. The influence of excluded volume and excess ion polarisability on the capacitance of the electric double layer. Mol. Phys. 2016, 114, 2477–2491. [Google Scholar] [CrossRef]
- Gagliardi, L.G.; Castells, C.B.; Ràfols, C.; Rosés, M.; Bosch, E. Static Dielectric Constants of Acetonitrile/Water Mixtures at Different Temperatures and Debye–Hückel A and a 0 B Parameters for Activity Coefficients. J. Chem. Eng. Data 2007, 52, 1103–1107. [Google Scholar] [CrossRef]
- Riniker, S.; Horta, B.A.C.; Thijssen, B.; Gupta, S.; van Gunsteren, W.F.; Hünenberger, P.H. Temperature Dependence of the Dielectric Permittivity of Acetic Acid, Propionic Acid and Their Methyl Esters: A Molecular Dynamics Simulation Study. ChemPhysChem 2012, 13, 1182–1190. [Google Scholar] [CrossRef]
- Orhan, M. Dielectric and Transport Properties of Acetonitrile at Varying Temperatures: A Molecular Dynamics Study. Bull. Korean Chem. Soc. 2014, 35, 1469–1478. [Google Scholar] [CrossRef]
- Gongadze, E.; Iglič, A. Decrease of permittivity of an electrolyte solution near a charged surface due to saturation and excluded volume effects. Bioelectrochemistry 2012, 87, 199–203. [Google Scholar] [CrossRef]
- Fedorov, M.; Kornyshev, A.A. Towards understanding the structure and capacitance of electrical double layer in ionic liquids. Electrochim. Acta 2008, 53, 6835–6840. [Google Scholar] [CrossRef]
- Fedorov, M.V.; Georgi, N.; Kornyshev, A.A. Double layer in ionic liquids: The nature of the camel shape of capacitance. Electrochem. Commun. 2010, 12, 296–299. [Google Scholar] [CrossRef]
- Girotto, M.; dos Santos, A.P.; Levin, Y. Simulations of ionic liquids confined by metal electrodes using periodic Green functions. J. Chem. Phys. 2017, 147, 074109. [Google Scholar] [CrossRef]
- Borukhov, I.; Andelman, D.; Orland, H. Steric Effects in Electrolytes: A Modified Poisson-Boltzmann Equation. Phys. Rev. Lett. 1997, 79, 435–438. [Google Scholar] [CrossRef]
- Di Caprio, D.; Borkowska, Z.; Stafiej, J. Simple extension of the Gouy–Chapman theory including hard sphere effects. J. Electroanal. Chem. 2003, 540, 17–23. [Google Scholar] [CrossRef]
- Kornyshev, A.A. Double-Layer in Ionic Liquids: Paradigm Change? J. Phys. Chem. B 2007, 111, 5545–5557. [Google Scholar] [CrossRef] [PubMed]
- Oldham, K.B. A Gouy-Chapman-Stern model of the double layer at a (metal)/(ionic liquid) interface. J. Electroanal. Chem. 2008, 613, 131–138. [Google Scholar] [CrossRef]
- Girotto, M.; Malossi, R.M.; dos Santos, A.P.; Levin, Y. Lattice model of ionic liquid confined by metal electrodes. J. Chem. Phys. 2018, 148, 193829. [Google Scholar] [CrossRef] [PubMed]
- Chen, M.; Goodwin, Z.A.H.; Feng, G.; Kornyshev, A.A. On the Temperature Dependence of the Double Layer Capacitance of Ionic Liquids. J. Electroanal. Chem. 2018, 819, 347–358. [Google Scholar] [CrossRef]
- McEldrew, M.; Goodwin, Z.A.; Kornyshev, A.A.; Bazant, M.Z. Theory of the Double Layer in Water-in-Salt Electrolytes. J. Phys. Chem. Lett. 2018, 9, 5840–5846. [Google Scholar] [CrossRef] [PubMed]
- Fedorov, M.V.; Kornyshev, A.A. Ionic Liquid Near a Charged Wall: Structure and Capacitance of Electrical Double Layer. J. Phys. Chem. B 2008, 112, 11868–11872. [Google Scholar] [CrossRef]
- Silva, W.; Zanatta, M.; Ferreira, A.S.; Corvo, M.C.; Cabrita, E.J. Revisiting ionic liquid structure-property relationship: A critical analysis. Int. J. Mol. Sci. 2020, 21, 7745. [Google Scholar] [CrossRef]
- Vekariya, R.L. A review of ionic liquids: Applications towards catalytic organic transformations. J. Mol. Liq. 2017, 227, 44–60. [Google Scholar] [CrossRef]
- Ghandi, K. A Review of Ionic Liquids, Their Limits and Applications. Green Sustain. Chem. 2014, 4, 44–53. [Google Scholar] [CrossRef]
- Azov, V.A.; Egorova, K.S.; Seitkalieva, M.M.; Kashin, A.S.; Ananikov, V.P. “Solvent-in-Salt” Systems for Design of New Materials in Chemistry, Biology and Energy Research. Chem. Soc. Rev. 2018, 47, 1250–1284. [Google Scholar] [CrossRef]
- Markusson, H.; Belières, J.P.; Johansson, P.; Angell, C.A.; Jacobsson, P. Prediction of Macroscopic Properties of Protic Ionic Liquids by Ab Initio Calculations. J. Phys. Chem. A 2007, 111, 8717–8723. [Google Scholar] [CrossRef] [PubMed]
- Magna, L.; Chauvin, Y.; Niccolai, G.P.; Basset, J.M. The importance of imidazolium substituents in the use of imidazolium-based room-temperature ionic liquids as solvents for palladium-catalyzed telomerization of butadiene with methanol. Organometallics 2003, 22, 4418–4425. [Google Scholar] [CrossRef]
- Harper, N.D.; Nizio, K.D.; Hendsbee, A.D.; Masuda, J.D.; Robertson, K.N.; Murphy, L.J.; Johnson, M.B.; Pye, C.C.; Clyburne, J.A.C. Survey of Carbon Dioxide Capture in Phosphonium-Based Ionic Liquids and End-Capped Polyethylene Glycol Using DETA (DETA = Diethylenetriamine) as a Model Absorbent§. Ind. Eng. Chem. Res. 2011, 2822–2830. [Google Scholar] [CrossRef]
- Aparicio, S.; Atilhan, M.; Karadas, F. Thermophysical Properties of Pure Ionic Liquids: Review of Present Situation. Ind. Eng. Chem. Res. 2010, 49, 9580–9595. [Google Scholar] [CrossRef]
- Earle, M.J.; Esperança, J.M.; Gilea, M.A.; Canongia Lopes, J.N.; Rebelo, L.P.; Magee, J.W.; Seddon, K.R.; Widegren, J.A. The distillation and volatility of ionic liquids. Nature 2006, 439, 831–834. [Google Scholar] [CrossRef]
- Macfarlane, D.R.; Tachikawa, N.; Forsyth, M.; Pringle, J.M.; Howlett, P.C.; Elliott, G.D.; Davis, J.H.; Watanabe, M.; Simon, P.; Angell, C.A. Energy applications of ionic liquids. Energy Environ. Sci. 2014, 7, 232–250. [Google Scholar] [CrossRef]
- Borges, R.S.; Ribeiro, H.; Lavall, R.L.; Silva, G.G. Temperature stable supercapacitors based on ionic liquid and mixed functionalized carbon nanomaterials. J. Solid State Electrochem. 2012, 16, 3573–3580. [Google Scholar] [CrossRef]
- Fletcher, S.; Black, V.J.; Kirkpatrick, I.; Varley, T.S. Quantum design of ionic liquids for extreme chemical inertness and a new theory of the glass transition. J. Solid State Electrochem. 2013, 17, 327–337. [Google Scholar] [CrossRef][Green Version]
- Plechkova, N.V.; Seddon, K.R. (Eds.) Ionic Liquids Completely UnCOILed; John Wiley & Sons: Hoboken, NJ, USA, 2015. [Google Scholar] [CrossRef]
- Gaune-Escard, M.; Seddon, K.R. Molten Salts and Ionic Liquids: Never the Twain? John Wiley & Sons: Hoboken, NJ, USA, 2012. [Google Scholar]
- Ong, S.P.; Andreussi, O.; Wu, Y.; Marzari, N.; Ceder, G. Electrochemical Windows of Room-Temperature Ionic Liquids from Molecular Dynamics and Density Functional Theory Calculations. Chem. Mater. 2011, 23, 2979–2986. [Google Scholar] [CrossRef]
- Hayyan, M.; Mjalli, F.S.; Hashim, M.A.; AlNashef, I.M.; Mei, T.X. Investigating the electrochemical windows of ionic liquids. J. Ind. Eng. Chem. 2013, 19, 106–112. [Google Scholar] [CrossRef]
- Kazemiabnavi, S.; Zhang, Z.; Thornton, K.; Banerjee, S. Electrochemical Stability Window of Imidazolium-Based Ionic Liquids as Electrolytes for Lithium Batteries. J. Phys. Chem. B 2016, 120, 5691–5702. [Google Scholar] [CrossRef]
- Nishida, T.; Tashiro, Y.; Yamamoto, M. Physical and electrochemical properties of 1-alkyl-3-methylimidazolium tetrafluoroborate for electrolyte. J. Fluor. Chem. 2003, 135–141. [Google Scholar] [CrossRef]
- François, Y.; Zhang, K.; Varenne, A.; Gareil, P. New integrated measurement protocol using capillary electrophoresis instrumentation for the determination of viscosity, conductivity and absorbance of ionic liquid–molecular solvent mixtures. Anal. Chim. Acta 2006, 164–170. [Google Scholar] [CrossRef]
- Diaw, M.; Chagnes, A.; Carré, B.; Willmann, P.; Lemordant, D. Mixed ionic liquid as electrolyte for lithium batteries. J. Power Sources 2005, 682–684. [Google Scholar] [CrossRef]
- Kühnel, R.S.; Böckenfeld, N.; Passerini, S.; Winter, M.; Balducci, A. Mixtures of ionic liquid and organic carbonate as electrolyte with improved safety and performance for rechargeable lithium batteries. Electrochim. Acta 2011, 4092–4099. [Google Scholar] [CrossRef]
- Appetecchi, G.B.; Montanino, M.; Balducci, A.; Lux, S.F.; Winterb, M.; Passerini, S. Lithium insertion in graphite from ternary ionic liquid-lithium salt electrolytesI. Electrochemical characterization of the electrolytes. J. Power Sources 2009, 599–605. [Google Scholar] [CrossRef]
- McEwen, A.B.; McDevitt, S.F.; Koch, V.R. Nonaqueous Electrolytes for Electrochemical Capacitors: Imidazolium Cations and Inorganic Fluorides with Organic Carbonates. J. Electrochem. Soc. 1997, L84–L86. [Google Scholar] [CrossRef]
- McEwen, A.B.; Ngo, H.L.; LeCompte, K.; Goldman, J.L. Electrochemical Properties of Imidazolium Salt Electrolytes for Electrochemical Capacitor Applications. J. Electrochem. Soc. 1999, 1687–1695. [Google Scholar] [CrossRef]
- Ruiz, V.; Huynh, T.; Sivakkumar, S.R.; Pandolfo, A.G. Ionic liquid–solvent mixtures as supercapacitor electrolytes for extreme temperature operation. RSC Adv. 2012, 5591. [Google Scholar] [CrossRef]
- Jarosik, A.; Krajewski, S.R.; Lewandowski, A.; Radzimski, P. Conductivity of ionic liquids in mixtures. J. Mol. Liq. 2006, 43–50. [Google Scholar] [CrossRef]
- Spohr, H.V.; Patey, G.N. Structural and dynamical properties of ionic liquids: The influence of ion size disparity. J. Chem. Phys. 2008, 064517. [Google Scholar] [CrossRef]
- Chiappe, C.; Pieraccini, D. Ionic liquids: Solvent properties and organic reactivity. J. Phys. Org. Chem. 2005, 18, 275–297. [Google Scholar] [CrossRef]
- Ngo, H.L.; LeCompte, K.; Hargens, L.; McEwen, A.B. Thermal properties of imidazolium ionic liquids. Thermochim. Acta 2000, 97–102. [Google Scholar] [CrossRef]
- Xu, W.; Wang, L.M.; Nieman, R.A.; Angell, C.A. Ionic Liquids of Chelated Orthoborates as Model Ionic Glassformers. J. Phys. Chem. B 2003, 11749–11756. [Google Scholar] [CrossRef]
- Hayes, R.; Warr, G.G.; Atkin, R. Structure and Nanostructure in Ionic Liquids. Chem. Rev. 2015, 115, 6357–6426. [Google Scholar] [CrossRef]
- Wang, Y.L.; Li, B.; Sarman, S.; Mocci, F.; Lu, Z.Y.; Yuan, J.; Laaksonen, A.; Fayer, M.D. Microstructural and Dynamical Heterogeneities in Ionic Liquids. Chem. Rev. 2020, 5798–5877. [Google Scholar] [CrossRef] [PubMed]
- Castner, E.W.; Margulis, C.J.; Maroncelli, M.; Wishart, J.F. Ionic Liquids: Structure and Photochemical Reactions. Annu. Rev. Phys. Chem. 2011, 85–105. [Google Scholar] [CrossRef] [PubMed]
- Sha, M.; Liu, Y.; Dong, H.; Luo, F.; Jiang, F.; Tang, Z.; Zhu, G.; Wu, G. Origin of heterogeneous dynamics in local molecular structures of ionic liquids. Soft Matter 2016, 8942–8949. [Google Scholar] [CrossRef]
- Salanne, M. Ionic Liquids for Supercapacitor Applications. Top. Curr. Chem. 2017, 375, 63. [Google Scholar] [CrossRef]
- Atkin, R.; Warr, G.G. Structure in confined room-temperature ionic liquids. J. Phys. Chem. C 2007, 111, 5162–5168. [Google Scholar] [CrossRef]
- Endres, F. Physical chemistry of ionic liquids. Phys. Chem. Chem. 2010, 12, 1648. [Google Scholar] [CrossRef]
- Atkin, R.; Borisenko, N.; Drüschler, M.; El Abedin, S.Z.; Endres, F.; Hayes, R.; Huber, B.; Roling, B. An in situ STM/AFM and impedance spectroscopy study of the extremely pure 1-butyl-1-methylpyrrolidinium tris(pentafluoroethyl)trifluorophosphate/Au(111) interface: Potential dependent solvation layers and the herringbone reconstruction. Phys. Chem. Chem. 2011, 13, 6849–6857. [Google Scholar] [CrossRef] [PubMed]
- Mezger, M.; Schroder, H.; Reichert, H.; Schramm, S.; Okasinski, J.S.; Schoder, S.; Honkimaki, V.; Deutsch, M.; Ocko, B.M.; Ralston, J.; et al. Molecular Layering of Fluorinated Ionic Liquids at a Charged Sapphire (0001) Surface. Science 2008, 322, 424–428. [Google Scholar] [CrossRef]
- Mezger, M.; Roth, R.; Schröder, H.; Reichert, P.; Pontoni, D.; Reichert, H. Solid-liquid interfaces of ionic liquid solutions—Interfacial layering and bulk correlations. J. Chem. Phys. 2015, 142. [Google Scholar] [CrossRef]
- Perkin, S.; Crowhurst, L.; Niedermeyer, H.; Welton, T.; Smith, A.M.; Gosvami, N.N. Self-assembly in the electrical double layer of ionic liquids. Chem. Commun. 2011, 47, 6572–6574. [Google Scholar] [CrossRef]
- Otero-Mato, J.M.; Montes-Campos, H.; Cabeza, O.; Diddens, D.; Ciach, A.; Gallego, L.J.; Varela, L.M. 3D structure of the electric double layer of ionic liquid–alcohol mixtures at the electrochemical interface. Phys. Chem. Chem. 2018, 30412–30427. [Google Scholar] [CrossRef] [PubMed]
- Uralcan, B.; Aksay, I.A.; Debenedetti, P.G.; Limmer, D.T. Concentration Fluctuations and Capacitive Response in Dense Ionic Solutions. J. Phys. Chem. Lett. 2016, 7, 2333–2338. [Google Scholar] [CrossRef]
- Ciach, A. Simple theory for oscillatory charge profile in ionic liquids near a charged wall. J. Mol. Liq. 2018, 270, 138–144. [Google Scholar] [CrossRef]
- Montes-Campos, H.; Otero-Mato, J.M.; Méndez-Morales, T.; Cabeza, O.; Gallego, L.J.; Ciach, A.; Varela, L.M. Two-dimensional pattern formation in ionic liquids confined between graphene walls. Phys. Chem. Chem. 2017, 24505–24512. [Google Scholar] [CrossRef]
- Lockett, V.; Horne, M.; Sedev, R.; Rodopoulos, T.; Ralston, J. Differential capacitance of the double layer at the electrode/ionic liquids interface. Phys. Chem. Chem. 2010, 12, 12499–12512. [Google Scholar] [CrossRef] [PubMed]
- Bikerman, J. XXXIX. Structure and capacity of electrical double layer. Lond. Edinb. Dubl. Philos. Mag. 1942, 33, 384–397. [Google Scholar] [CrossRef]
- Wicke, E.; Eigen, M. Über den Einfluß des Raumbedarfs von Ionen in wäßriger Lösung auf ihre Verteilung in elektrischen Feld und ihre Aktivitätskoeffizienten. Z. Elektrochem. Berichte Der Bunsenges. Phys. Chem. 1952, 56, 551–561. [Google Scholar]
- Freise, V. Zur Theorie der diffusen Doppelschicht. Z. Elektrochem. 1952, 56, 822–827. [Google Scholar]
- Eigen, M.; Wicke, E. The thermodynamics of electrolytes at higher concentration. J. Phys. Chem. 1954, 58, 702–714. [Google Scholar] [CrossRef]
- Bohinc, K.; Kralj-Iglič, V.; Iglič, A. Thickness of electrical double layer. Effect of ion size. Electrochim. Acta 2001, 46, 3033–3040. [Google Scholar] [CrossRef]
- Alam, M.T.; Islam, M.M.; Okajima, T.; Ohsaka, T. Measurements of differential capacitance at mercury/room-temperature ionic liquids interfaces. J. Phys. Chem. C 2007, 111, 18326–18333. [Google Scholar] [CrossRef]
- Di Caprio, D.; Borkowska, Z.; Stafiej, J. Specific ionic interactions within a simple extension of the Gouy-Chapman theory including hard sphere effects. J. Electroanal. Chem. 2004, 572, 51–59. [Google Scholar] [CrossRef]
- Kilic, M.S.; Bazant, M.Z.; Ajdari, A. Steric effects in the dynamics of electrolytes at large applied voltages. I. Double-layer charging. Phys. Rev. E 2007, 75, 021502. [Google Scholar] [CrossRef]
- Georgi, N.; Kornyshev, A.A.; Fedorov, M.V. The Anatomy of the Double Layer and Capacitance in Ionic Liquids with Anisotropic Ions: Electrostriction vs Lattice Saturation. J. Electroanal. Chem. 2010, 649, 261. [Google Scholar] [CrossRef]
- Vatamanu, J.; Borodin, O.; Smith, G.D. Molecular Simulations of the Electric Double Layer Structure, Differential Capacitance, and Charging Kinetics for N-Methyl-N-propylpyrrolidinium Bis(fluorosulfonyl)imide at Graphite Electrodes. J. Phys. Chem. B 2011, 115, 3073–3084. [Google Scholar] [CrossRef] [PubMed]
- Lockett, V.; Sedev, R.; Ralston, J.; Horne, M.; Rodopoulos, T. Differential Capacitance of the Electrical Double Layer in Imidazolium-Based Ionic Liquids: Influence of Potential, Cation Size, and Temperature. J. Phys. Chem. C 2008, 112, 7486–7495. [Google Scholar] [CrossRef]
- Islam, M.M.; Alam, M.T.; Okajima, T.; Ohsaka, T. Electrical Double Layer Structure in Ionic Liquids: An Understanding of the Unusual Capacitance-Potential Curve at a Nonmetallic Electrode. J. Phys. Chem. C 2009, 113, 3386–3389. [Google Scholar] [CrossRef]
- Silva, F.; Gomes, C.; Figueiredo, M.; Costa, R.; Martins, A.; Pereira, C.M. The electrical double layer at the [BMIM][PF6] ionic liquid/electrode interface - Effect of temperature on the differential capacitance. J. Electroanal. Chem. 2008, 622, 153–160. [Google Scholar] [CrossRef]
- Drüschler, M.; Borisenko, N.; Wallauer, J.; Winter, C.; Huber, B.; Endres, F.; Roling, B. New insights into the interface between a single-crystalline metal electrode and an extremely pure ionic liquid: Slow interfacial processes and the influence of temperature on interfacial dynamics. Phys. Chem. Chem. 2012, 14, 5090–5099. [Google Scholar] [CrossRef] [PubMed]
- Ivaništšev, V.B.; Kirchner, K.; Fedorov, M.V. Double layer in ionic liquids: Capacitance vs. temperature. arXiv 2017, arXiv:1711.06854. [Google Scholar]
- Holovko, M.; Kapko, V.; Henderson, D.; Boda, D. On the Influence of Ionic Association on the Capacitance of an Electrical Double Layer. Chem. Phys. Lett. 2001, 341, 363–368. [Google Scholar] [CrossRef]
- Reszko-Zygmunt, J.; Sokołowski, S.; Henderson, D.; Boda, D. Temperature dependence of the double layer capacitance for the restricted primitive model of an electrolyte solution from a density functional approach. J. Chem. Phys. 2005, 122, 084504. [Google Scholar] [CrossRef]
- Docampo-Álvarez, B.; Gómez-González, V.; Cabeza, O.; Ivaništšev, V.B.; Gallego, L.J.; Varela, L.M. Molecular dynamics simulations of novel electrolytes based on mixtures of protic and aprotic ionic liquids at the electrochemical interface: Structure and capacitance of the electric double layer. Electrochim. Acta 2019, 305, 223–231. [Google Scholar] [CrossRef]
- Sha, M.; Dou, Q.; Luo, F.; Zhu, G.; Wu, G. Molecular Insights into the Electric Double Layers of Ionic Liquids on Au(100) Electrodes. ACS Appl. Mater. Interfaces 2014, 6, 12556–12565. [Google Scholar] [CrossRef]
- Pizio, O.; Sokołowski, S.; Sokołowska, Z. Electric double layer capacitance of restricted primitive model for an ionic fluid in slit-like nanopores: A density functional approach. J. Chem. Phys. 2012, 137, 1–11. [Google Scholar] [CrossRef]
- Górniak, R.; Lamperski, S. On the influence of physical parameters on the properties of the electric double layer modelled by soft potentials. A Monte Carlo study. Electrochim. Acta 2018, 286, 279–286. [Google Scholar] [CrossRef]
- Forse, A.C.; Griffin, J.M.; Merlet, C.; Bayley, P.M.; Wang, H.; Simon, P.; Grey, C.P. NMR Study of Ion Dynamics and Charge Storage in Ionic Liquid Supercapacitors. J. Am. Chem. Soc. 2015, 137, 7231–7242. [Google Scholar] [CrossRef]
- Brüssel, M.; Brehm, M.; Voigt, T.; Kirchner, B. Ab initio molecular dynamics simulations of a binary system of ionic liquids. Phys. Chem. Chem. 2011, 13, 13617–13620. [Google Scholar] [CrossRef]
- Wu, P.; Huang, J.; Meunier, V.; Sumpter, B.G.; Qiao, R. Voltage dependent charge storage modes and capacity in subnanometer pores. J. Phys. Chem. Lett. 2012, 3, 1732–1737. [Google Scholar] [CrossRef] [PubMed]
- Feng, G.; Cummings, P.T. Supercapacitor Capacitance Exhibits Oscillatory Behavior as a Function of Nanopore Size. J. Phys. Chem. Lett. 2011, 2, 2859–2864. [Google Scholar] [CrossRef]
- Jiang, D.E.; Jin, Z.H.; Wu, J.Z. Oscillation of Capacitance inside Nanopores. Nano Lett. 2011, 11, 5373–5377. [Google Scholar] [CrossRef] [PubMed]
- Gebbie, M.A.; Valtiner, M.; Banquy, X.; Fox, E.T.; Henderson, W.A.; Israelachvili, J.N. Ionic liquids behave as dilute electrolyte solutions. Proc. Natl. Acad. Sci. USA 2013. [Google Scholar] [CrossRef]
- Smith, A.M.; Lee, A.A.; Perkin, S. The electrostatic screening lenght in concentrated electrolyte increases with concentration. J. Phys. Chem. Lett. 2016, 7, 2157. [Google Scholar] [CrossRef] [PubMed]
- Lee, A.; Perez-Martinez, C.S.; Smith, A.M.; Perkin, S. Scaling analysis of the screening length in concentrated electrolytes. Phys. Rev. Lett. 2017, 119, 026002. [Google Scholar] [CrossRef]
- Gaddam, P.; Ducker, W. Electrostatic Screening Length in Concentrated Salt Solutions. Langmuir 2019, 35, 5719. [Google Scholar] [CrossRef]
- Goodwin, Z.A.; Kornyshev, A.A. Underscreening, overscreening and double-layer capacitance. Electrochem. Commun. 2017, 82, 129–133. [Google Scholar] [CrossRef]
- Ludwig, N.B.; Dasbiswas, K.; Talapin, D.V.; Vaikuntanathan, S. Describing screening in dense ionic fluids with a charge-frustrated Ising model. J. Chem. Phys. 2018, 149, 164505. [Google Scholar] [CrossRef] [PubMed]
- Rotenberg, B.; Bernard, O.; Hansen, J.P. Underscreening in ionic liquids: A first principles analysis. J. Phys. Condens. Matter. 2018, 30, 054005. [Google Scholar] [CrossRef] [PubMed]
- Adar, R.M.; Safran, S.A.; Diamant, H.; Andelman, D. Screening length for finite-size ions in concentrated electrolytes. Phys. Rev. E 2019, 100. [Google Scholar] [CrossRef] [PubMed]
- De Souza, J.P.; Goodwin, Z.A.H.; McEldrew, M.; Kornyshev, A.A.; Bazant, M.Z. Interfacial Layering in the Electric Double Layer of Ionic Liquids. Phys. Rev. Lett. 2020, 125, 116001. [Google Scholar] [CrossRef] [PubMed]
- Ciach, A.; Patsahan, O. Correct scaling of the correlation length from a theory for concentrated electrolytes. arXiv 2021, arXiv:2102.00878. [Google Scholar]
- Coles, S.W.; Park, C.; Nikam, R.; Kanduč, M.; Dzubiella, J.; Rotenberg, B. Correlation Length in Concentrated Electrolytes: Insights from All-Atom Molecular Dynamics Simulations. J. Phys. Chem. B 2020, 124, 1778–1786. [Google Scholar] [CrossRef]
- Zeman, J.; Kondrat, S.; Holm, C. Bulk ionic screening lengths from extremely large-scale molecular dynamics simulations. Chem. Comm. 2020, 56, 15635–15638. [Google Scholar] [CrossRef] [PubMed]
- Nishimori, H.; Ortiz, G. Elements of Phase Transitions and Critical Phenomena; Oxford University Press: Oxford, UK, 2010. [Google Scholar]
- Stell, G.; Wu, K.; Larsen, B. Critical Point in a Fluid of Charged Hard Spheres. Phys. Rev. Lett. 1976, 37, 1369. [Google Scholar] [CrossRef]
- Stell, G. Criticality and phase transitions in ionic fluids. J. Stat. Phys. 1995, 78, 197. [Google Scholar] [CrossRef]
- Patsahan, O. Critical behaviour of the restricted primitive model. Condens. Matter Phys. 2004, 7, 35. [Google Scholar] [CrossRef]
- Ciach, A.; Stell, G. Mesoscopic Field Theory of Ionic Systems. Int. J. Mod. Phys. B 2005, 19, 3309. [Google Scholar] [CrossRef]
- Fisher, M.E.; Levin, Y. Criticality in ionic fluids: Debye-Hückel theory, Bjerrum, and beyond. Phys. Rev. Lett. 1993, 71, 3826. [Google Scholar] [CrossRef]
- Cheong, D.; Panagiotopoulos, A. Critical parameters of unrestricted primitive model electrolytes with charge asymmetries up to 10:1. J. Chem. Phys. 2003, 119, 8526. [Google Scholar] [CrossRef]
- Luijten, E.; Fisher, M.; Panagiotopoulos, A. Universality class in the restricted primitive model electrolyte. Phys. Rev. Lett. 2002, 88, 185701. [Google Scholar] [CrossRef]
- Kleemeier, M.; Wiegand, S.; Schröer, W.; Weingärtner, H. The liquid-liquid phase transition in ionic solutions: Coexistence curves of tetra-n-butylammonium picrate in alkyl alcohols. J. Chem. Phys. 1999, 110, 3085–3099. [Google Scholar] [CrossRef]
- Kostko, A.F.; Anisimov, M.A.; Sengers, J.V. Criticality in aqueous solutions of 3-methylpyridine and sodium bromide. Phys. Rev. E 2004, 70, 026118. [Google Scholar] [CrossRef]
- Wiegand, S.; Briggs, M.; Sengers, J.L.; Kleemeier, M.; Schröer, W. Turbidity, light scattering, and coexistence curve data for the ionic binart mixture triethyl n-hexyl ammonium triethyl n-hexyl borate in diphenyl ether. J. Chem. Phys. 1998, 109, 9038–9051. [Google Scholar] [CrossRef]
- Ciach, A.; Stell, G. Effect of competition between Coulomb and dispersion forces on phase transitions in ionic systems. J. Chem. Phys. 2001, 114, 3617. [Google Scholar] [CrossRef]
- Rotrekl, J.; Storch, J.; Velíšek, P.; Schröer, W.; Jacquemin, J.; Wagner, Z.; Husson, P.; Bendová, M. Liquid Phase Behavior in Systems of 1-Butyl-3-alkylimidazolium bis{(trifluoromethyl)sulfonyl}imide Ionic Liquids with Water: Influence of the Structure of the C5 Alkyl Substituent. J. Solution Chem. 2017, 46, 1456–1474. [Google Scholar] [CrossRef]
- Butka, A.; Vale, V.R.; Saracsan, D.; Rybarsch, C.; Weiss, V.C.; Schröer, W. Liquid-liquid phase transition in solutions of ionic liquids with halide anions: Criticality and corresponding states. Pure Appl. Chem. 2008, 80, 1613–1630. [Google Scholar] [CrossRef]
- Yatsyshin, P.; Savva, N.; Kalliadasis, S. Geometry-induced phase transition in fluids: Capillary prewetting. Phys. Rev. E 2013, 87, 020402. [Google Scholar] [CrossRef]
- Jiang, J.; Sandler, S.I. Capillary phase transitions of linear and branched alkanes in carbon nanotubes from molecular simulation. Langmuir 2006, 22, 7391–7399. [Google Scholar] [CrossRef]
- Malijevský, A.; Parry, A.O. Condensation and evaporation transitions in deep capillary grooves. J. Condens. Matter Phys. 2014, 26. [Google Scholar] [CrossRef]
- Monfared, S.; Zhou, T.; Andrade, J.E.; Ioannidou, K.; Radjai, F.; Ulm, F.J.; Pellenq, R.J.M. The Effect of Confinement on Capillary Phase Transition In Granular Aggregates. arXiv 2020, arXiv:2008.04201. [Google Scholar]
- Binder, K.; Landau, D.P. Capillary condensation in the lattice gas model: A Monte Carlo study. J. Chem. Phys. 1992, 96, 1444–1454. [Google Scholar] [CrossRef]
- Mugele, F.; Baret, J.C. Electrowetting: From basics to applications. J. Condens. Matter Phys. 2005, 17. [Google Scholar] [CrossRef]
- Berthier, J. Electrowetting Theory. In Micro-Drops and Digital Microfluidics; Elsevier: Oxford, UK, 2013; pp. 161–224. [Google Scholar] [CrossRef]
- Láng, G.G. Interface stress measurements in an electrochemical environment. Encycl. Interfacial Chem. Surf. Sci. Electrochem. 2018, 195–206. [Google Scholar] [CrossRef]
- Lippmann, G. Relations Entre les Phénoménes électriques et Capillaires. Ph.D. Thesis, Gauthier-Villars, Paris Faculté des Sciences, Paris, France, 1875. [Google Scholar]
- Szparaga, R.; Woodward, C.E.; Forsman, J. Capillary condensation of ionic liquid solutions in porous electrodes. J. Phys. Chem. C 2013, 117, 1728–1734. [Google Scholar] [CrossRef][Green Version]
- Comtet, J.; Niguès, A.; Kaiser, V.; Coasne, B.; Bocquet, L.; Siria, A. Nanoscale capillary freezing of ionic liquids confined between metallic interfaces and the role of electronic screening. Nat. Mater. 2017, 16, 634–639. [Google Scholar] [CrossRef] [PubMed]
- Carnahan, N.F.; Starling, K.E. Equation of State for Nonattracting Rigid Spheres. J. Chem. Phys. 1969, 51, 635–636. [Google Scholar] [CrossRef]
- Pousaneh, F.; Ciach, A.; Maciołek, A. Effect of ions on confined near-critical binary aqueous mixture. Soft Matter 2012, 8, 7567–7581. [Google Scholar] [CrossRef]
- Pousaneh, F.; Ciach, A.; Maciołek, A. How ions in solution can change the sign of the critical Casimir potential. Soft Matter 2014, 10, 470–483. [Google Scholar] [CrossRef] [PubMed]
- Kralj-Iglič, V.; Iglič, A. A Simple Statistical Mechanical Approach to the free Energy of the Electric Double Layer Including the Excluded Volume Effect. J. Phys. 1996, 6, 477–491. [Google Scholar] [CrossRef]
- Ciach, A.; Pȩkalski, J.; Góźdź, W.T. Origin of similarity of phase diagrams in amphiphilic and colloidal systems with competing interactions. Soft Matter 2013, 9, 6301. [Google Scholar] [CrossRef]
- Alam, M.T.; Islam, M.M.; Okajima, T.; Ohsaka, T. Capacitance Measurements in a Series of Room-Temperature Ionic Liquids at Glassy Carbon and Gold Electrode Interfaces. J. Phys. Chem. C 2008, 112, 16600–16608. [Google Scholar] [CrossRef]
- Janssen, M.; Härtel, A.; van Roij, R. Boosting Capacitive Blue-Energy and Desalination Devices with Waste Heat. Phys. Rev. Lett. 2014, 113, 268501. [Google Scholar] [CrossRef]
- Wang, J.; Feng, S.P.; Yang, Y.; Hau, N.Y.; Munro, M.; Ferreira-Yang, E.; Chen, G. “Thermal Charging” Phenomenon in Electrical Double Layer Capacitors. Nano Lett. 2015, 15, 5784–5790. [Google Scholar] [CrossRef]
- Janssen, M.; Griffioen, E.; Biesheuvel, P.; van Roij, R.; Erné, B. Coulometry and Calorimetry of Electric Double Layer Formation in Porous Electrodes. Phys. Rev. Lett. 2017, 119, 166002. [Google Scholar] [CrossRef] [PubMed]
- Saam, W.F. Wetting, Capillary Condensation and More. J. Low. Temp. Phys. 2009, 157, 77–100. [Google Scholar] [CrossRef]
- Cruz, C.; Lomba, E.; Ciach, A. Capacitance response and concentration fluctuations close to ionic liquid-solvent demixing. J. Mol. Liq. 2021, submitted. [Google Scholar]











| Publisher’s Note: MDPI stays neutral with regard to jurisdictional claims in published maps and institutional affiliations. | 
© 2021 by the authors. Licensee MDPI, Basel, Switzerland. This article is an open access article distributed under the terms and conditions of the Creative Commons Attribution (CC BY) license (https://creativecommons.org/licenses/by/4.0/).
Share and Cite
Cruz, C.; Ciach, A. Phase Transitions and Electrochemical Properties of Ionic Liquids and Ionic Liquid—Solvent Mixtures. Molecules 2021, 26, 3668. https://doi.org/10.3390/molecules26123668
Cruz C, Ciach A. Phase Transitions and Electrochemical Properties of Ionic Liquids and Ionic Liquid—Solvent Mixtures. Molecules. 2021; 26(12):3668. https://doi.org/10.3390/molecules26123668
Chicago/Turabian StyleCruz, Carolina, and Alina Ciach. 2021. "Phase Transitions and Electrochemical Properties of Ionic Liquids and Ionic Liquid—Solvent Mixtures" Molecules 26, no. 12: 3668. https://doi.org/10.3390/molecules26123668
APA StyleCruz, C., & Ciach, A. (2021). Phase Transitions and Electrochemical Properties of Ionic Liquids and Ionic Liquid—Solvent Mixtures. Molecules, 26(12), 3668. https://doi.org/10.3390/molecules26123668
 
         
                                                

